IEC TS 62257-3:2015
(Main)Recommendations for renewable energy and hybrid systems for rural electrification - Part 3: Project development and management
Recommendations for renewable energy and hybrid systems for rural electrification - Part 3: Project development and management
IEC TS 62257-3:2015(E) provides information on the responsibilities involved in the implementation of rural power systems. More particularly it covers:
- contractual relationships to be built between the different participants to a project;
- the relevant tests to be applied to renewable energy and hybrid electrification systems;
- quality assurance principles to be implemented;
- requirements for recycling and protection of the environment. The main technical changes with regard to the previous edition are as follows:
- redefine the maximum AC voltage from 500 V to 1 000 V, the maximum DC voltage from 750 V to 1 500 V;
- removal of the limitation of 100 kVA system size.
This publication is to be read in conjunction with IEC 62257 series.
General Information
- Status
- Published
- Publication Date
- 10-Dec-2015
- Technical Committee
- TC 82 - Solar photovoltaic energy systems
- Drafting Committee
- JWG 1 - TC 82/JWG 1
- Current Stage
- PPUB - Publication issued
- Start Date
- 11-Dec-2015
- Completion Date
- 15-Feb-2016
Relations
- Effective Date
- 05-Sep-2023
Overview
IEC TS 62257-3:2015 - "Recommendations for renewable energy and hybrid systems for rural electrification - Part 3: Project development and management" is a technical specification published by the IEC. It provides practical guidance on responsibilities, contractual relationships, testing, quality assurance and environmental protection for implementation of renewable energy and hybrid electrification systems in rural areas. The 2015 edition updates system voltage limits (AC up to 1 000 V, DC up to 1 500 V) and removes the previous 100 kVA system-size limitation.
Key Topics
- Roles & responsibilities: Clarifies the duties of project developers, implementers, owners, operators, technicians, users and subcontractors throughout project lifecycle.
- Contractual relationships: Describes typical contracts and commitments between participants (project developer ↔ implementer, owner ↔ operator, operator ↔ user, etc.) and verification procedures for contractual compliance.
- Relevant tests: Lists and explains environmental, safety, mechanical, electromagnetic compatibility (EMC) and functional tests for renewable energy and hybrid systems to ensure reliable rural electrification.
- Quality assurance (QA): Defines QA targets, basic principles and phases (design, procurement, installation, commissioning, maintenance) and recommends traceability, documentation and independent verification.
- Documentation & training: Specifies project implementation documentation, system installation manuals, users’ basic operation manuals and training requirements for operators and technicians.
- Environment, recycling & decommissioning: Recommends protections for the environment, recycling processes for components and procedures for safe decommissioning.
Applications
IEC TS 62257-3:2015 is practical for professionals and organizations involved in rural electrification with renewable energy and hybrid systems:
- Project developers and engineering consultants preparing proposals and contracts.
- Installers, system integrators and implementers managing procurement, testing and commissioning.
- Utilities, mini-grid owners and operators responsible for operation, maintenance and user agreements.
- NGOs, donors and policymakers defining procurement rules, funding conditions and project oversight.
- Certification bodies and QA managers assessing compliance with testing and quality procedures. Use cases include design and procurement planning, preparation of contracts, specification of test regimes, QA program development, operator training curricula and end-of-life recycling planning.
Related Standards
- Part of the IEC 62257 series - intended to be read in conjunction with other IEC 62257 documents covering technical specifications, design and operation practices for off-grid and hybrid renewable energy systems.
Keywords: IEC TS 62257-3:2015, rural electrification, renewable energy, hybrid systems, project development, quality assurance, testing, contractual relationships, recycling, environmental protection.
Frequently Asked Questions
IEC TS 62257-3:2015 is a technical specification published by the International Electrotechnical Commission (IEC). Its full title is "Recommendations for renewable energy and hybrid systems for rural electrification - Part 3: Project development and management". This standard covers: IEC TS 62257-3:2015(E) provides information on the responsibilities involved in the implementation of rural power systems. More particularly it covers: - contractual relationships to be built between the different participants to a project; - the relevant tests to be applied to renewable energy and hybrid electrification systems; - quality assurance principles to be implemented; - requirements for recycling and protection of the environment. The main technical changes with regard to the previous edition are as follows: - redefine the maximum AC voltage from 500 V to 1 000 V, the maximum DC voltage from 750 V to 1 500 V; - removal of the limitation of 100 kVA system size. This publication is to be read in conjunction with IEC 62257 series.
IEC TS 62257-3:2015(E) provides information on the responsibilities involved in the implementation of rural power systems. More particularly it covers: - contractual relationships to be built between the different participants to a project; - the relevant tests to be applied to renewable energy and hybrid electrification systems; - quality assurance principles to be implemented; - requirements for recycling and protection of the environment. The main technical changes with regard to the previous edition are as follows: - redefine the maximum AC voltage from 500 V to 1 000 V, the maximum DC voltage from 750 V to 1 500 V; - removal of the limitation of 100 kVA system size. This publication is to be read in conjunction with IEC 62257 series.
IEC TS 62257-3:2015 is classified under the following ICS (International Classification for Standards) categories: 27.160 - Solar energy engineering; 33.180.20 - Fibre optic interconnecting devices. The ICS classification helps identify the subject area and facilitates finding related standards.
IEC TS 62257-3:2015 has the following relationships with other standards: It is inter standard links to IEC TS 62257-3:2004. Understanding these relationships helps ensure you are using the most current and applicable version of the standard.
You can purchase IEC TS 62257-3:2015 directly from iTeh Standards. The document is available in PDF format and is delivered instantly after payment. Add the standard to your cart and complete the secure checkout process. iTeh Standards is an authorized distributor of IEC standards.
Standards Content (Sample)
IEC TS 62257-3 ®
Edition 2.0 2015-12
TECHNICAL
SPECIFICATION
Recommendations for renewable energy and hybrid systems for rural
electrification –
Part 3: Project development and management
All rights reserved. Unless otherwise specified, no part of this publication may be reproduced or utilized in any form
or by any means, electronic or mechanical, including photocopying and microfilm, without permission in writing from
either IEC or IEC's member National Committee in the country of the requester. If you have any questions about IEC
copyright or have an enquiry about obtaining additional rights to this publication, please contact the address below or
your local IEC member National Committee for further information.
IEC Central Office Tel.: +41 22 919 02 11
3, rue de Varembé Fax: +41 22 919 03 00
CH-1211 Geneva 20 info@iec.ch
Switzerland www.iec.ch
About the IEC
The International Electrotechnical Commission (IEC) is the leading global organization that prepares and publishes
International Standards for all electrical, electronic and related technologies.
About IEC publications
The technical content of IEC publications is kept under constant review by the IEC. Please make sure that you have the
latest edition, a corrigenda or an amendment might have been published.
IEC Catalogue - webstore.iec.ch/catalogue Electropedia - www.electropedia.org
The stand-alone application for consulting the entire The world's leading online dictionary of electronic and
bibliographical information on IEC International Standards, electrical terms containing more than 30 000 terms and
Technical Specifications, Technical Reports and other definitions in English and French, with equivalent terms in 15
documents. Available for PC, Mac OS, Android Tablets and additional languages. Also known as the International
iPad. Electrotechnical Vocabulary (IEV) online.
IEC publications search - www.iec.ch/searchpub IEC Glossary - std.iec.ch/glossary
The advanced search enables to find IEC publications by a More than 60 000 electrotechnical terminology entries in
variety of criteria (reference number, text, technical English and French extracted from the Terms and Definitions
committee,…). It also gives information on projects, replaced clause of IEC publications issued since 2002. Some entries
and withdrawn publications. have been collected from earlier publications of IEC TC 37,
77, 86 and CISPR.
IEC Just Published - webstore.iec.ch/justpublished
Stay up to date on all new IEC publications. Just Published IEC Customer Service Centre - webstore.iec.ch/csc
details all new publications released. Available online and If you wish to give us your feedback on this publication or
also once a month by email. need further assistance, please contact the Customer Service
Centre: csc@iec.ch.
IEC TS 62257-3 ®
Edition 2.0 2015-12
TECHNICAL
SPECIFICATION
Recommendations for renewable energy and hybrid systems for rural
electrification –
Part 3: Project development and management
INTERNATIONAL
ELECTROTECHNICAL
COMMISSION
ICS 27.160 ISBN 978-2-8322-3065-7
– 2 – IEC TS 62257-3:2015 IEC 2015
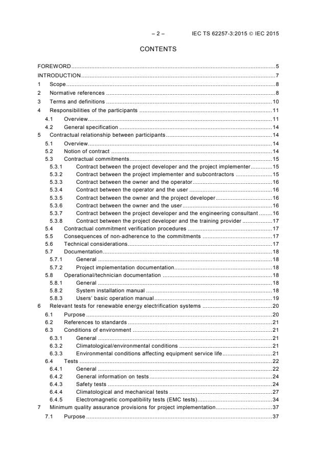
CONTENTS
FOREWORD . 5
INTRODUCTION . 7
1 Scope . 8
2 Normative references . 8
3 Terms and definitions . 10
4 Responsibilities of the participants . 11
4.1 Overview. 11
4.2 General specification . 14
5 Contractual relationship between participants . 14
5.1 Overview. 14
5.2 Notion of contract . 14
5.3 Contractual commitments . 15
5.3.1 Contract between the project developer and the project implementer . 15
5.3.2 Contract between the project implementer and subcontractors . 15
5.3.3 Contract between the owner and the operator . 16
5.3.4 Contract between the operator and the user . 16
5.3.5 Contract between the owner and the project developer . 16
5.3.6 Contract between the owner and the user . 16
5.3.7 Contract between the project developer and the engineering consultant . 16
5.3.8 Contract between the project developer and the training provider . 17
5.4 Contractual commitment verification procedures . 17
5.5 Consequences of non-adherence to the commitments . 17
5.6 Technical considerations . 17
5.7 Documentation . 18
5.7.1 General . 18
5.7.2 Project implementation documentation. 18
5.8 Operational/technician documentation . 18
5.8.1 General . 18
5.8.2 System installation manual . 18
5.8.3 Users’ basic operation manual . 19
6 Relevant tests for renewable energy electrification systems . 20
6.1 Purpose . 20
6.2 References to standards . 21
6.3 Conditions of environment . 21
6.3.1 General . 21
6.3.2 Climatological/environmental conditions . 21
6.3.3 Environmental conditions affecting equipment service life . 21
6.4 Tests . 22
6.4.1 General . 22
6.4.2 General information on tests . 24
6.4.3 Safety tests . 24
6.4.4 Climatological and mechanical tests . 27
6.4.5 Electromagnetic compatibility tests (EMC tests) . 34
7 Minimum quality assurance provisions for project implementation . 37
7.1 Purpose . 37
7.2 Quality assurance targets . 37
7.3 Quality assurance basic principles . 38
7.4 Quality assurance phases and participants . 39
7.4.1 Implementing a quality assurance procedure . 39
7.4.2 Certification of components . 39
7.4.3 Design and construction quality assurance . 39
7.4.4 Maintenance quality assurance . 40
7.4.5 Independent verification. 40
7.4.6 Processing failures and complaints . 40
7.5 Procedures . 40
7.6 Quality plan . 40
7.6.1 General . 40
7.6.2 Operation context . 41
7.6.3 Traceability and archiving of quality assurance actions . 41
7.6.4 Organization of the operation . 41
7.6.5 Quality assurance implementing supervisors . 42
8 Protection of the environment, recycling and decommissioning . 43
8.1 Purpose . 43
8.2 Protection of environment . 43
8.3 Recycling process and decommissioning . 43
8.3.1 Recycling components . 43
8.3.2 Decommissioning . 44
Annex A (informative) Technical considerations on contractual liabilities between
project participants . 45
A.1 Technical guarantees . 45
A.2 Sizing . 45
A.3 Design . 45
A.4 Procurement items . 45
A.5 Installation . 46
A.6 System commissioning . 46
A.7 Operator or technician training . 46
A.8 User training syllabus . 47
A.9 Contractual warranty . 47
A.10 Maintenance contract . 47
A.11 Replacement of components . 48
A.12 Maintenance organization . 48
Figure 1 – Contractual relationship between project participants . 15
Figure 2 – Verification of operation of differential current device . 27
Figure 3 – Distribution of the impacts of an impact test . 29
Figure 4 – Layout for overturning test . 32
Table 1 – Responsibilities of the different participants . 13
Table 2 – List of tests . 23
Table 3 – List of tests . 29
Table 4 – Analysis of the requirements and definition of quality targets . 41
Table 5 – Analysis of risks . 41
– 4 – IEC TS 62257-3:2015 IEC 2015
Table 6 – Sequence of actions and corresponding results . 41
Table 7 – Quality assurance implementing supervisors . 42
INTERNATIONAL ELECTROTECHNICAL COMMISSION
____________
RECOMMENDATIONS FOR RENEWABLE ENERGY
AND HYBRID SYSTEMS FOR RURAL ELECTRIFICATION –
Part 3: Project development and management
FOREWORD
1) The International Electrotechnical Commission (IEC) is a worldwide organization for standardization comprising
all national electrotechnical committees (IEC National Committees). The object of IEC is to promote
international co-operation on all questions concerning standardization in the electrical and electronic fields. To
this end and in addition to other activities, IEC publishes International Standards, Technical Specifications,
Technical Reports, Publicly Available Specifications (PAS) and Guides (hereafter referred to as “IEC
Publication(s)”). Their preparation is entrusted to technical committees; any IEC National Committee interested
in the subject dealt with may participate in this preparatory work. International, governmental and non-
governmental organizations liaising with the IEC also participate in this preparation. IEC collaborates closely
with the International Organization for Standardization (ISO) in accordance with conditions determined by
agreement between the two organizations.
2) The formal decisions or agreements of IEC on technical matters express, as nearly as possible, an international
consensus of opinion on the relevant subjects since each technical committee has representation from all
interested IEC National Committees.
3) IEC Publications have the form of recommendations for international use and are accepted by IEC National
Committees in that sense. While all reasonable efforts are made to ensure that the technical content of IEC
Publications is accurate, IEC cannot be held responsible for the way in which they are used or for any
misinterpretation by any end user.
4) In order to promote international uniformity, IEC National Committees undertake to apply IEC Publications
transparently to the maximum extent possible in their national and regional publications. Any divergence
between any IEC Publication and the corresponding national or regional publication shall be clearly indicated in
the latter.
5) IEC itself does not provide any attestation of conformity. Independent certification bodies provide conformity
assessment services and, in some areas, access to IEC marks of conformity. IEC is not responsible for any
services carried out by independent certification bodies.
6) All users should ensure that they have the latest edition of this publication.
7) No liability shall attach to IEC or its directors, employees, servants or agents including individual experts and
members of its technical committees and IEC National Committees for any personal injury, property damage or
other damage of any nature whatsoever, whether direct or indirect, or for costs (including legal fees) and
expenses arising out of the publication, use of, or reliance upon, this IEC Publication or any other IEC
Publications.
8) Attention is drawn to the Normative references cited in this publication. Use of the referenced publications is
indispensable for the correct application of this publication.
9) Attention is drawn to the possibility that some of the elements of this IEC Publication may be the subject of
patent rights. IEC shall not be held responsible for identifying any or all such patent rights.
The main task of IEC technical committees is to prepare International Standards. In
exceptional circumstances, a technical committee may propose the publication of a technical
specification when
• the required support cannot be obtained for the publication of an International Standard,
despite repeated efforts, or
• the subject is still under technical development or where, for any other reason, there is the
future but no immediate possibility of an agreement on an International Standard.
Technical specifications are subject to review within three years of publication to decide
whether they can be transformed into International Standards.
IEC 62257-3, which is a technical specification, has been prepared by IEC technical
committee 82: Solar photovoltaic energy systems.
– 6 – IEC TS 62257-3:2015 IEC 2015
This second edition cancels and replaces the first edition issued in 2004. It constitutes a
technical revision.
The main technical changes with regard to the previous edition are as follows:
– redefine the maximum AC voltage from 500 V to 1 000 V, the maximum DC voltage from
750 V to 1 500 V;
– removal of the limitation of 100 kVA system size. Hence the removal of the word “small” in
the title and related references in this technical specification.
This technical specification is to be used in conjunction with the latest editions of the
IEC 62257 series.
The text of this technical specification is based on the following documents:
Enquiry draft Report on voting
82/948/DTS 82/999A/RVC
Full information on the voting for the approval of this technical specification can be found in
the report on voting indicated in the above table.
This publication has been drafted in accordance with the ISO/IEC Directives, Part 2.
A list of all parts in the IEC 62257 series, published under the general title Recommendations
for renewable energy and hybrid systems for rural electrification, can be found on the IEC
website.
Future standards in this series will carry the new general title as cited above. Titles of existing
standards in this series will be updated at the time of the next edition.
The committee has decided that the contents of this publication will remain unchanged until
the stability date indicated on the IEC website under "http://webstore.iec.ch" in the data
related to the specific publication. At this date, the publication will be
• transformed into an International standard,
• reconfirmed,
• withdrawn,
• replaced by a revised edition, or
• amended.
A bilingual version of this publication may be issued at a later date.
INTRODUCTION
The IEC 62257 series intends to provide to different players involved in rural electrification
projects (such as project implementers, project contractors, project supervisors, installers,
etc.) documents for the setting up of renewable energy and hybrid systems with AC voltage
below 1 000 V and DC voltage below 1 500 V.
These documents are recommendations:
– to choose the right system for the right place;
– to design the system;
– to operate and maintain the system.
These documents are focused only on rural electrification concentrating on, but not specific
to, developing countries. They should not be considered as all-inclusive to rural electrification.
The documents try to promote the use of renewable energies in rural electrification; they do
not deal with clean mechanism developments at this time (CO emission, carbon credit, etc.).
Further developments in this field could be introduced in future steps.
This consistent set of documents is best considered as a whole with different parts
corresponding to items for safety, sustainability of systems aiming at the lowest life-cycle cost
as possible. One of the main objectives is to provide the minimum sufficient requirements,
relevant to the field of application, that is, renewable energy and hybrid off-grid systems.
The purpose of this part of the IEC 62257 series is to propose a framework for project
development and management and includes recommended information that should be taken
into consideration during all the steps of the electrification project.
– 8 – IEC TS 62257-3:2015 IEC 2015
RECOMMENDATIONS FOR RENEWABLE ENERGY
AND HYBRID SYSTEMS FOR RURAL ELECTRIFICATION –
Part 3: Project development and management
1 Scope
This part of IEC 62257 provides information on the responsibilities involved in the
implementation of rural power systems.
In Clause 5, this technical specification presents contractual relationships to be built between
the different participants to a project. Throughout the project, responsibilities are to be clearly
defined and contractual commitments controlled.
Clause 6 provides relevant tests to be applied to renewable energy and hybrid electrification
systems.
Clause 7 provides proposed quality assurance principles to be implemented.
In Clause 8, requirements are proposed for recycling and protection of the environment.
In Annex A of this technical specification, further technical considerations for contractual
liabilities are provided.
2 Normative references
The following documents, in whole or in part, are normatively referenced in this document and
are indispensable for its application. For dated references, only the edition cited applies. For
undated references, the latest edition of the referenced document (including any
amendments) applies.
IEC 60060-2, High-voltage test techniques – Part 2: Measuring systems
IEC 60068-1, Environmental testing – Part 1: General and guidance
IEC 60068-2-1, Environmental testing – Part 2-1: Tests – Test A: Cold
IEC 60068-2-2, Environmental testing – Part 2-2: Tests – Test B: Dry heat
IEC 60068-2-5, Environmental testing – Part 2-5: Tests – Test Sa: Simulated solar radiation at
ground level and guidance for solar radiation testing
IEC 60068-2-6, Environmental testing – Part 2-6: Tests − Test Fc: Vibration (sinusoidal)
IEC 60068-2-10, Environmental testing – Part 2-10: Tests – Test J and guidance: Mould
growth
IEC 60068-2-27, Environmental testing – Part 2-27: Tests – Test Ea and guidance: Shock
IEC 60068-2-30, Environmental testing – Part 2-30: Tests – Test Db: Damp heat, cyclic (12 h
+ 12 h cycle)
IEC 60068-2-31, Environmental testing – Part 2-31: Tests – Test Ec: Rough handling shocks,
primarily for equipment-type specimens
IEC 60068-2-52, Environmental testing – Part 2: Tests – Test Kb: Salt mist, cyclic (sodium
chloride solution)
IEC 60068-2-75, Environmental testing – Part 2-75: Tests − Test Eh: Hammer tests
IEC 60076-10, Power transformers – Part 10: Determination of sound levels
IEC 60364-6:2006, Low-voltage electrical installations – Part 6: Verification
IEC 60529, Degrees of protection provided by enclosures (IP Code)
IEC 60695-2-10, Fire hazard testing – Part 2-10: Glowing/hot-wire based test methods −
Glow-wire apparatus and common test procedure
IEC 60695-2-12, Fire hazard testing − Part 2-12: Glowing/hot-wire based test methods −
Glow-wire flammability index (GWFI) test method for materials
IEC 60721-1, Classification of environmental conditions – Part 1: Environmental parameters
and their severities
IEC 60721-2-1, Classification of environmental conditions − Part 2-1: Environmental
conditions appearing in nature − Temperature and humidity
IEC 60721-3-1, Classification of environmental conditions – Part 3-1: Classification of groups
of environmental parameters and their severities – Storage
IEC 60721-3-2, Classification of environmental conditions – Part 3-2: Classification of groups
of environmental parameters and their severities – Transportation
IEC 60721-3-3, Classification of environmental conditions – Part 3: Classification of groups of
environmental parameters and their severities – Section 3: Stationary use at weatherprotected
locations
IEC 60721-3-4, Classification of environmental conditions – Part 3-4: Classification of groups
of environmental parameters and their severities – Stationary use at non-weatherprotected
locations
IEC 61000-2-2, Electromagnetic compatibility (EMC) – Part 2-2: Environment − Compatibility
levels for low-frequency conducted disturbances and signalling in public low-voltage power
supply systems
IEC 61000-3-2, Electromagnetic compatibility (EMC) – Part 3-2: Limits – Limits for harmonic
current emissions (equipment input current ≤ 16 A per phase)
IEC 61000-3-5, Electromagnetic compatibility (EMC) – Part 3-5: Limits − Limitation of voltage
fluctuations and flicker in low-voltage power supply systems for equipment with rated current
greater than 75 A
IEC 61000-4-1, Electromagnetic compatibility (EMC) – Part 4-1: Testing and measurement
techniques – Overview of IEC 61000-4 series
IEC 61000-4-2, Electromagnetic compatibility − Part 4-2: Testing and measuring techniques −
Electrostatic discharge immunity test
– 10 – IEC TS 62257-3:2015 IEC 2015
IEC 61000-4-3, Electromagnetic compatibility (EMC) – Part 4-3: Testing and measurement
techniques – Radiated, radio-frequency, electromagnetic field immunity test
IEC 61000-4-4, Electromagnetic compatibility (EMC) – Part 4-4: Testing and measurement
techniques – Electrical fast transient/burst immunity test
IEC 61000-4-5, Electromagnetic compatibility (EMC) – Part 4-5: Testing and measurement
techniques – Surge immunity test
IEC 61000-4-11, Electromagnetic compatibility (EMC) – Part 4-11: Testing and measurement
techniques – Voltage dips, short interruptions and voltage variations immunity tests
IEC 61000-6-3, Electromagnetic compatibility (EMC) – Part 6-3: Generic standards –
Emission standard for residential, commercial and light-industrial environments
IEC 61140, Protection against electric shock – Common aspects for installation and
equipment
IEC 61180-1, High-voltage test techniques for low-voltage equipment – Part 1: Definitions,
test and procedure requirements
IEC TS 62257-2, Recommendations for renewable energy and hybrid systems for rural
electrification – Part 2: From requirements to a range of electrification systems
IEC TS 62257-5, Recommendations for renewable energy and hybrid systems for rural
electrification – Part 5: Protection against electrical hazards
IEC TS 62257-6, Recommendations for renewable energy and hybrid systems for rural
electrification – Part 6: Acceptance, operation, maintenance and replacement
IEC 62262, Degrees of protection provided by enclosures for electrical equipment against
external mechanical impacts (IK code)
CISPR 22, Information technology equipment – Radio disturbance characteristics – Limits and
methods of measurement
ISO 14000 (all parts), Environmental management
3 Terms and definitions
For the purposes of this document, the following terms and definitions apply.
3.1
general specification
specification prepared by the project developer using the present series of IEC 62257
documents which mainly defines the level and cost of services to be reached and project
conditions including the administrative frame and techno-economic context of the project as
well as of the project timetable
3.2
identification file
IF
document describing the equipment in terms of detailed technical specification, design and
associated performance
3.3
project developer
organization, company or person who defines and promotes the rural electrification project,
assigns the project implementer, determines compliance with the specifications and is also
responsible for obtaining resources for financing the project
3.4
engineering consultant
organization, company or person responsible for translating the needs of the potential user
into technical requirements, in accordance with the relevant IEC technical specifications, and
preparing the call for tenders
3.5
project implementer
general contractor
organization, company or person entrusted by the project developer to perform the work or
have this work performed pursuant to the general specification (possibly through some
subcontractors)
3.6
subcontractor
organization, company or person in charge of the execution of a selected part of the work
relative to the project
3.7
operator
organization, company or person in charge of system operations, management and
maintenance
3.8
maintenance contractor
organization, corporate company, operator or person contracted by the operator for
performing maintenance operations on the installation
3.9
user
person or organization that makes use of the installation service(s) to satisfy their energy
demand
3.10
training provider
organization, company or person contracted by the project developer to provide training to the
different participants in charge of using, operating and maintaining the system
3.11
owner
organization, company or person financially responsible for the whole system and maintaining
titles of all the equipment. The owner could have also another role, such as project developer
or operator, but may be a completely separate organization
4 Responsibilities of the participants
4.1 Overview
The participants mentioned in this clause refer to the terms defined in Clause 3.
The responsibilities described herein are intended to indicate function. They may be combined
into different parties depending on the structure and participants in the implementation
– 12 – IEC TS 62257-3:2015 IEC 2015
programme. In some cases, such as government-implemented programmes, many of the
different roles may actually be fulfilled by the same institution. If this is the case, it does not
dispense with the need for the different development steps discussed in this technical
specification.
Table 1 summarizes the main responsibilities to be achieved by the different participants
involved in a project.
Table 1 – Responsibilities of the different participants
Participants Responsibilities
To obtain resources for financing the project
To define the general specification
To define environmental constraints, requirements and decommissioning plan
Project developer To designate a project implementer
To decide if a quality assurance plan is necessary and to launch it
To prepare a warranty plan
To check the compliance of the installation with the general specification
To translate user needs into technical requirements
Engineering consultant
To prepare the call for tenders
To perform the sizing of the system complying with the general specification
To build the project on behalf of the project developer
To achieve the whole installation or to achieve appropriate parts of the latter pursuant to
the general specification
To implement the quality assurance process with the subcontractors decided by the
project developer
Responsible to the project developer for the conformity of the installation with the
following parts of the general specification:
− locally available materials and local skills
− local laws
− time schedule
Project implementer or
− system level specifications according to what has been written in the tender
general contractor
− warranty
− quality assurance plan (if specified), including acceptance requirements
− commissioning plan, maintenance plan, decommissioning plan (including responsibility)
− training initial operators
− education of initial users
− delivering documentation as described in the quality assurance plan
− other information as required
To negotiate the best possible warranty for system and components
To check the conformity of all or part of the installation-related work performed by other
subcontractors involved with the project
Responsible to the project implementer for the satisfactory execution of the selected part
Subcontractor of the work as agreed with the project implementer or satisfactory supply of the
equipment lot under the project implementer’s supervision
To comply with the quality assurance plan
To operate the system in accordance to safety rules for assets and persons
To provide the quality of service as contractually agreed by the user
Operator
To collect the fees
To plan the renewal of parts and components
To manage connection of new customers
To manage maintenance and repair pursuant to the contract with the operator including
Maintenance contractor
the supply of spare parts
To organize and implement the training supports and courses for operating and main-
Training provider
tenance agents and for users
User To use the installation according to the contract with the operator
– 14 – IEC TS 62257-3:2015 IEC 2015
4.2 General specification
The general specification provided by the project developer should include:
• agreed level of service to the users;
• system specification which can be done by defining:
– the level of service; or
– energy required; or
– full sizing of systems;
• financial plan (capital, recurrent, replacement);
• ability, willingness to pay;
• checking of the local energy resources (renewable or not), locally available materials and
local skills;
• local regulations (standards, laws, etc.);
• time schedule;
• quality assurance plan (if specified), including acceptance requirements;
• commissioning plan, maintenance plan, decommissioning plan (including responsibility);
• ownership transition plan when applicable (including responsibility);
• operation, training of operators and users (including responsibility);
• dispute resolution including contract or disagreement;
• provisions for warranty;
• other information as required.
Relevant documents of this general specification shall be attached to the tender or request for
proposal.
5 Contractual relationship between participants
5.1 Overview
This clause deals with contractual relations between the different participants. It is designed
to define the mutual responsibilities with regard to design, construction and operation of the
electrification system.
5.2 Notion of contract
During the progress of such phases as the request for proposal, construction, handing-over of
the installation to an operator or utilization of this installation, provisions shall be made for the
various participants to check that the other parties duly adhere to the commitments they have
made. These commitments and the resulting lines of responsibility are represented by a
contract or contracts between the parties designated by the letter “C” in Figure 1.
The notion of a contract can cover both written contracts and implicit contracts (for example,
keeping to standard practice). Each contract will require certain data that will be needed for
implementation and verification of contractual commitments.
The partners shall seek reliable data. The best way is usually to get data from existing
reputable and reliable sources, and, if not possible, the required information shall be agreed
to by all relevant parties. The quality assurance plan should provide for verification devices as
necessary (see Clause 7).
The source of the data shall be documented.
Owner
C
C
C
Training provider Project developer Engineering
consultant
C
C
Transfer of
Transfer of
responsibility
responsibility
C
Project Subcontractor
implementer
Provision
for training
C
Operator User
Provision
C
Provision for training
for training
Maintenance
contractor
IEC
Key
C represents a potential contractual arrangement between two connecting parties.
Figure 1 – Contractual relationship between project participants
5.3 Contractual commitments
5.3.1 Contract between the project developer and the project implementer
The project implementer is contracted by the project developer to build the installation in
accordance with the general specification. The latter will check the installation for compliance
with this general specification.
The project developer entrusts the project implementer with the responsibility of contractually
binding contracting companies, i.e., the subcontractor and major component manufacturers, in
order to clearly define their individual responsibilities.
To summarize, and for each project achieved within the framework of the present
specifications, the project implementer shall be responsible for the quality of the installation
and the application of the said guidelines.
Before signing any contract, the project implementer shall make sure that the project
developer and all participants have duly obtained all administrative authorizations as required.
5.3.2 Contract between the project implementer and subcontractors
The project implementer remains responsible for the basic design and suitable sizing of the
system pursuant to the general specification, regardless of subcontracts with subcontractors.
– 16 – IEC TS 62257-3:2015 IEC 2015
The subcontractors in charge of the installation (or parts of it) shall give proof of the
conformity of the installation they have built pursuant to the general specification. They are
also responsible to give proof of the conformity to the requirements of the local accreditation
organization, local standards and rules for the project implementer’s satisfaction, with regard
to performances and quality. These can be drawings, diagrams, calculation notes of the
installed equipment, measurement results, etc.
The project implementer shall check that the work executed by various subcontractors comply
with the general specification.
If decided as relevant for the project, the project implementer shall implement a quality
assurance process with the subcontractors.
5.3.3 Contract between the owner and the operator
NOTE In some cases, the project developer can be the owner.
The owner shall transfer the responsibility of the system at the time of the transaction to the
operator with the agreed performances, pursuant to the general specification. On handing
over, the operator shall verify that the actual installation performances correspond to those
stated by the owner.
There shall be an agreement between the owner and the operator about the operation of the
system.
5.3.4 Contract between the operator and the user
With regard to the user, the operator of the installation commits to keep to the agreed
characteristics of energy availability as defined in IEC TS 62257-2.
There shall be a contract between the operator and the user in order to prevent a use of the
installation that would exceed the specified limits.
Conversely, the user shall make use of the installation in conformity with the specified
clauses. He/she shall not make use of power in excess of the amount stated before sizing the
system. In case of an outage, provisions shall be made to allow the operator to check if such
failure was generated by the system itself or by clients over consumption.
The contract may include the entire clauses specific to the local legislation.
5.3.5 Contract between the owner and the project developer
In some cases the project developer and the owner can be two different bodies. The project
developer is entrusted by the owner to carry out an electrification project matching an agreed
level of performances and investment as defined by the latter.
5.3.6 Contract between the owner and the user
The user and the owner contractually commit:
• to keep the power requirements within the specified limits;
• to use the installation in accordance with the project developer’s, operator’s and
maintenance authority’s guidelines and instruction notes;
• to keep to their financial commitments.
5.3.7 Contract between the project developer and the engineering consultant
The engineering consultant shall provide the project developer with the general specification
of the project and its related justifications.
5.3.8 Contract between the project developer and the training provider
The project developer defines the training requirements. The training provider commits itself
to achieve the objectives of the training programme.
5.4 Contractual commitment verification procedures
The general specification shall provide the necessary criteria enabling the project developer
to assess the conformity of the installation. The system may have a metering or measuring
system that, if available, shall provide system performance, possible alarm and fault signals.
Depending on the size of the installation and as desired by the project implementer or the
operator, provisions shall be made to check system sizing, operation and performances using
a recording instrument capable of supplying the information specified in the aforementioned
document.
If available, this information may be collected by the operator or communicated to him by the
maintenance contractor at such frequency and in such format as specified by the maintenance
contract.
This will allow performing a preliminary analysis of the installation operation, in particular,
system over-/under-utilization coefficient.
Dispute resolution will be used to substantiate the system sizing and instrumentation data
report, allowing determination of the cause for failure. This could be, for example:
• incorrect sizing;
• client over consumption versus forecast consumption.
5.5 Consequences of non-adherence to the commitments
The contract shall make provision for the following situations:
• dispute resolution between any of the parties;
• non-adherence to warranties;
• situation resulting from “force majeure”.
5.6 Technical considerations
Technical considerations on the following items are provided in Annex A:
• technical guarantees;
• sizing;
• design;
• procurement items;
• installation;
• system commissioning;
• operator or technician training;
• user training syllabus;
• contractual warranty;
• maintenance contract;
• maintenance organization;
• replacement of c
...
記事のタイトル:IEC TS 62257-3:2015 - 地方電化のための再生可能エネルギーおよびハイブリッドシステムの推奨事項- パート3:プロジェクト開発および管理 記事の内容:IEC TS 62257-3:2015(エディションE)は、地方電力システムの実施に関連する責任についての情報を提供します。具体的には、次の点について説明しています。 - プロジェクトの異なる参加者間の契約関係 - 再生可能エネルギーやハイブリッド電化システムに適用するべき関連テスト - 実施すべき品質保証原則 - 環境保護とリサイクルの要件。前版と比較しての主な技術的変更は、以下の通りです。 - 最大交流電圧を500Vから1,000Vに再定義し、最大直流電圧を750Vから1,500Vに再定義 - 100kVAシステムサイズの制限の撤廃 この出版物は、IEC 62257シリーズと共に読まれることを推奨します。
기사 제목: IEC TS 62257-3:2015 - 시골 전기화에 대한 재생 에너지 및 하이브리드 시스템 권장사항 - 파트 3: 프로젝트 개발 및 관리 기사 내용: IEC TS 62257-3:2015(E)는 시골 전기화 시스템 구현에 관련된 책임에 대한 정보를 제공합니다. 특히 다음과 같은 내용을 다룹니다: - 프로젝트 참여자들 간의 계약 관계 구축 - 재생 에너지 및 하이브리드 전기화 시스템에 적용할 수 있는 관련 테스트 - 구현해야 할 품질 보증 원칙 - 환경 보호와 재활용 요구 사항. 이전 판과의 주요 기술적 변경 사항은 다음과 같습니다: - 최대 교류 전압을 500V에서 1,000V로 재정의하고 최대 직류 전압을 750V에서 1,500V로 재정의 - 100kVA 시스템 크기 제한 제거 이 출판물은 IEC 62257 시리즈와 함께 읽어야 합니다.
IEC TS 62257-3:2015 is a technical specification that provides information on the implementation of rural power systems for renewable energy and hybrid systems. The article covers contractual relationships, relevant tests for these systems, quality assurance principles, and requirements for recycling and environmental protection. The technical changes in the latest edition include redefining the maximum AC and DC voltage and removing the limitation on system size. The publication should be read in conjunction with the IEC 62257 series.










Questions, Comments and Discussion
Ask us and Technical Secretary will try to provide an answer. You can facilitate discussion about the standard in here.
Loading comments...