IEC 60480:2019
(Main)Specifications for the re-use of sulphur hexafluoride (SF6) and its mixtures in electrical equipment
Specifications for the re-use of sulphur hexafluoride (SF<sub>6</sub>) and its mixtures in electrical equipment
IEC 60480:2019 provides criteria for the re-use of sulphur hexafluoride (SF6) and its mixtures after recovery and reclaiming from electrical equipment (e.g. for maintenance, at the end-of-life).
Sulphur hexafluoride (SF6), nitrogen (N2) and carbon tetrafluoride (CF4), are gases commonly used for electrical equipment. Taking into account environmental concerns, particular attention is paid to re-use criteria for SF6 and its mixtures with N2 and CF4 for its use in electrical equipment. Procedures for recovering and reclaiming used SF6 and its mixtures are outside the scope of this document and are described in IEC 62271-4.
This document provides several annexes on the description of the different methods of analysis, on by-products, on the procedure for evaluating the potential health effects from by-products, on cryogenic reclaiming of SF6, and on reclaiming recommendations.
Storage, transportation and disposal of SF6 and its mixtures are outside the scope of this document and are covered by IEC 62271-4. Procedures to determine SF6 leakages are described in IEC 60068-2-17.
For the purposes of this document, the complementary gases used in SF6 mixtures will be limited to N2 or CF4.
This third edition cancels and replaces the second edition, published in 2004. This edition constitutes a technical revision.
This edition includes the following significant technical changes with respect to the previous edition:
• specifications for the re-use of SF6 have been confirmed;
• specifications for the re-use of SF6 mixtures, namely SF6/N2 and SF6/CF4 mixtures are included;
• as a result of a new repartition of annexes in IEC 60376, IEC 60480 and IEC 62271-4, this new edition now contains the following five annexes:
– Annex A: Description of methods of analysis (on-site and laboratory);
– Annex B: By–products of SF6 and its mixtures;
– Annex C: Procedure for evaluating the potential effects on health from by products of SF6 and its mixtures;
– Annex D: Reclaiming recommendations.
– Annex E: Cryogenic reclaiming of SF6;
Spécifications pour la réutilisation de l’hexafluorure de soufre (SF<sub>6</sub>) et des mélanges contenant du SF<sub>6</sub> dans le matériel électrique
L'IEC 60480:2019 spécifie des critères de réutilisation de l’hexafluorure de soufre (SF6) et des mélanges contenant du SF6 après reprise et régénération depuis le matériel électrique (par exemple, pour la maintenance ou en fin de vie).
L’hexafluorure de soufre (SF6), l’azote (N2) et le tétrafluorure de carbone (CF4) sont des gaz communément utilisés pour le matériel électrique. Une attention particulière est accordée aux critères de réutilisation du SF6 et de ses mélanges avec N2 et CF4 pour leur utilisation dans le matériel électrique, afin de prendre en compte les aspects d’environnement. Les procédures de reprise et de régénération du SF6 usagé et des mélanges contenant du SF6 usagé ne relèvent pas du domaine d’application du présent document. Elles sont décrites dans l’IEC 62271-4.
Le présent document comprend plusieurs annexes qui décrivent les différentes méthodes d’analyse, traitent des sous-produits, de la procédure d’évaluation des effets potentiels des sous-produits sur la santé, de la régénération cryogénique du SF6 et donnent des recommandations relatives à la régénération.
Les procédures de stockage, de transport et d’élimination du SF6 et des mélanges contenant du SF6 ne relèvent pas du domaine d’application du présent document. Elles sont décrites dans l’IEC 62271-4. Les procédures de détermination des fuites de SF6 sont décrites dans l’IEC 60068-2-17.
Pour les besoins du présent document, les gaz complémentaires utilisés dans les mélanges du SF6 sont limités à l’azote (N2) ou au tétrafluorure de carbone (CF4).
Cette troisième édition annule et remplace la deuxième édition parue en 2004. Cette édition constitue une révision technique.
Cette édition inclut les modifications techniques majeures suivantes par rapport à l'édition précédente:
• les spécifications pour la réutilisation du SF6 ont été confirmées;
• les spécifications pour la réutilisation des mélanges contenant du SF6 en particulier SF6/N2 et SF6/CF4 sont incluses;
• les annexes de l’IEC 60376, l’IEC 60480 et de l’IEC 62271-4 ayant fait l’objet d’une nouvelle répartition, cette nouvelle édition contient à présent les cinq annexes suivantes:
– Annexe A: Description des méthodes d’analyse (sur site et en laboratoire);
– Annexe B: Sous-produits du SF6 et mélanges contenant du SF6;
– Annexe C: Procédure d’évaluation des effets potentiels sur la santé générés par des sous-produits de SF6 et des mélanges contenant du SF6;
– Annexe D: Recommandations relatives à la régénération;
– Annexe E: Régénération cryogénique du SF6.
General Information
- Status
- Published
- Publication Date
- 03-Apr-2019
- Technical Committee
- TC 10 - Fluids for electrotechnical applications
- Drafting Committee
- MT 26 - TC 10/MT 26
- Current Stage
- PPUB - Publication issued
- Start Date
- 04-Apr-2019
- Completion Date
- 26-Apr-2019
Relations
- Effective Date
- 05-Sep-2023
Overview
IEC 60480:2019 is an international standard published by the International Electrotechnical Commission (IEC) that specifies criteria for the re-use of sulphur hexafluoride (SF₆) and its mixtures in electrical equipment. SF₆, along with nitrogen (N₂) and carbon tetrafluoride (CF₄), are gases commonly used for insulation and switching in high-voltage electrical apparatus. With growing environmental concerns and the high global warming potential (GWP) of SF₆, this standard emphasizes responsible re-use practices after SF₆ and SF₆ mixtures are recovered and reclaimed, particularly during maintenance or at the end of equipment life.
IEC 60480:2019 replaces the previous 2004 edition, confirming existing specifications for SF₆ re-use while expanding guidance to SF₆ mixtures (SF₆/N₂ and SF₆/CF₄). It complements other IEC standards such as IEC 62271-4 concerning recovery and handling procedures and IEC 60068-2-17 for SF₆ leak detection.
Key Topics
Re-use Specifications
The standard defines the required purity and contaminant limits for reclaimed SF₆ and its mixtures to ensure reliable performance and environmental safety when re-used in electrical equipment.Contaminant Identification and Removal
Detailed descriptions and limits are provided for contaminants arising from handling, equipment use, and by-products formed during electrical discharges or arcs. The standard includes recommendations for filtering and purification to maintain gas quality.Methods of Analysis
IEC 60480:2019 covers both on-site and laboratory gas analysis techniques to assess the quality of SF₆, including gas chromatography, infrared spectroscopy, and moisture measurement.Health and Safety Considerations
The document includes procedures for evaluating potential health effects from SF₆ decomposition by-products, alongside comprehensive safety guidelines and first aid practices when handling SF₆ and its mixtures.Reclaiming Technologies
Annexes provide insights into cryogenic reclaiming processes, which enable the effective purification and recovery of SF₆ for reuse, reducing environmental impact.Environmental Impact
Emphasizing sustainability, the standard encourages minimizing SF₆ emissions by promoting reuse and reclamation to address the gas's significant global warming potential.
Applications
IEC 60480:2019 is essential for industries and professionals involved in the lifecycle management of high-voltage electrical equipment such as circuit breakers, gas-insulated switchgear (GIS), transformers, and other apparatus utilizing SF₆ gas. Applications include:
- Maintenance and servicing of electrical equipment requiring SF₆ topping or replacement.
- End-of-life SF₆ recovery and recycling processes.
- Quality control during SF₆ gas handling to ensure compliance with international environmental and safety standards.
- Environmental compliance programs aiming to reduce greenhouse gas emissions from SF₆.
- Design and operation of gas reclamation facilities employing advanced purification technologies like cryogenic methods.
Related Standards
IEC 60480:2019 works alongside several critical IEC standards that address different aspects of SF₆ management:
- IEC 62271-4: Specifies procedures for recovery, handling, storage, and transportation of SF₆ and its mixtures.
- IEC 60068-2-17: Describes methods for detecting SF₆ leakages in electrical installations.
- IEC 60376: Provides specifications for new SF₆ gas and its mixtures.
- IEC 60376 & IEC 62271 series: Cover technical requirements and testing related to SF₆ electrical equipment and environmental considerations.
Together, these standards form a comprehensive framework for the sustainable and safe use of SF₆ in electrical power systems globally.
Keywords: IEC 60480:2019, sulphur hexafluoride re-use, SF6 mixtures, electrical equipment maintenance, SF6 recovery, gas purification, environmental standards, SF6 contamination, cryogenic reclaiming, SF6 leak detection, SF6 safety guidelines, SF6 environmental impact, IEC standards on SF6.
Get Certified
Connect with accredited certification bodies for this standard

Intertek Testing Services NA Inc.
Intertek certification services in North America.

UL Solutions
Global safety science company with testing, inspection and certification.

ANCE
Mexican certification and testing association.
Sponsored listings
Frequently Asked Questions
IEC 60480:2019 is a standard published by the International Electrotechnical Commission (IEC). Its full title is "Specifications for the re-use of sulphur hexafluoride (SF<sub>6</sub>) and its mixtures in electrical equipment". This standard covers: IEC 60480:2019 provides criteria for the re-use of sulphur hexafluoride (SF6) and its mixtures after recovery and reclaiming from electrical equipment (e.g. for maintenance, at the end-of-life). Sulphur hexafluoride (SF6), nitrogen (N2) and carbon tetrafluoride (CF4), are gases commonly used for electrical equipment. Taking into account environmental concerns, particular attention is paid to re-use criteria for SF6 and its mixtures with N2 and CF4 for its use in electrical equipment. Procedures for recovering and reclaiming used SF6 and its mixtures are outside the scope of this document and are described in IEC 62271-4. This document provides several annexes on the description of the different methods of analysis, on by-products, on the procedure for evaluating the potential health effects from by-products, on cryogenic reclaiming of SF6, and on reclaiming recommendations. Storage, transportation and disposal of SF6 and its mixtures are outside the scope of this document and are covered by IEC 62271-4. Procedures to determine SF6 leakages are described in IEC 60068-2-17. For the purposes of this document, the complementary gases used in SF6 mixtures will be limited to N2 or CF4. This third edition cancels and replaces the second edition, published in 2004. This edition constitutes a technical revision. This edition includes the following significant technical changes with respect to the previous edition: • specifications for the re-use of SF6 have been confirmed; • specifications for the re-use of SF6 mixtures, namely SF6/N2 and SF6/CF4 mixtures are included; • as a result of a new repartition of annexes in IEC 60376, IEC 60480 and IEC 62271-4, this new edition now contains the following five annexes: – Annex A: Description of methods of analysis (on-site and laboratory); – Annex B: By–products of SF6 and its mixtures; – Annex C: Procedure for evaluating the potential effects on health from by products of SF6 and its mixtures; – Annex D: Reclaiming recommendations. – Annex E: Cryogenic reclaiming of SF6;
IEC 60480:2019 provides criteria for the re-use of sulphur hexafluoride (SF6) and its mixtures after recovery and reclaiming from electrical equipment (e.g. for maintenance, at the end-of-life). Sulphur hexafluoride (SF6), nitrogen (N2) and carbon tetrafluoride (CF4), are gases commonly used for electrical equipment. Taking into account environmental concerns, particular attention is paid to re-use criteria for SF6 and its mixtures with N2 and CF4 for its use in electrical equipment. Procedures for recovering and reclaiming used SF6 and its mixtures are outside the scope of this document and are described in IEC 62271-4. This document provides several annexes on the description of the different methods of analysis, on by-products, on the procedure for evaluating the potential health effects from by-products, on cryogenic reclaiming of SF6, and on reclaiming recommendations. Storage, transportation and disposal of SF6 and its mixtures are outside the scope of this document and are covered by IEC 62271-4. Procedures to determine SF6 leakages are described in IEC 60068-2-17. For the purposes of this document, the complementary gases used in SF6 mixtures will be limited to N2 or CF4. This third edition cancels and replaces the second edition, published in 2004. This edition constitutes a technical revision. This edition includes the following significant technical changes with respect to the previous edition: • specifications for the re-use of SF6 have been confirmed; • specifications for the re-use of SF6 mixtures, namely SF6/N2 and SF6/CF4 mixtures are included; • as a result of a new repartition of annexes in IEC 60376, IEC 60480 and IEC 62271-4, this new edition now contains the following five annexes: – Annex A: Description of methods of analysis (on-site and laboratory); – Annex B: By–products of SF6 and its mixtures; – Annex C: Procedure for evaluating the potential effects on health from by products of SF6 and its mixtures; – Annex D: Reclaiming recommendations. – Annex E: Cryogenic reclaiming of SF6;
IEC 60480:2019 is classified under the following ICS (International Classification for Standards) categories: 01 - GENERALITIES. TERMINOLOGY. STANDARDIZATION. DOCUMENTATION; 29.040.20 - Insulating gases; 29.130.01 - Switchgear and controlgear in general. The ICS classification helps identify the subject area and facilitates finding related standards.
IEC 60480:2019 has the following relationships with other standards: It is inter standard links to IEC 60480:2004. Understanding these relationships helps ensure you are using the most current and applicable version of the standard.
IEC 60480:2019 is available in PDF format for immediate download after purchase. The document can be added to your cart and obtained through the secure checkout process. Digital delivery ensures instant access to the complete standard document.
Standards Content (Sample)
IEC 60480 ®
Edition 3.0 2019-04
INTERNATIONAL
STANDARD
NORME
INTERNATIONALE
colour
inside
Specifications for the re-use of sulphur hexafluoride (SF6) and its mixtures
in electrical equipment
Spécifications pour la réutilisation de l’hexafluorure de soufre (SF6)
et des mélanges contenant du SF6 dans le matériel électrique
All rights reserved. Unless otherwise specified, no part of this publication may be reproduced or utilized in any form
or by any means, electronic or mechanical, including photocopying and microfilm, without permission in writing from
either IEC or IEC's member National Committee in the country of the requester. If you have any questions about IEC
copyright or have an enquiry about obtaining additional rights to this publication, please contact the address below or
your local IEC member National Committee for further information.
Droits de reproduction réservés. Sauf indication contraire, aucune partie de cette publication ne peut être reproduite
ni utilisée sous quelque forme que ce soit et par aucun procédé, électronique ou mécanique, y compris la photocopie
et les microfilms, sans l'accord écrit de l'IEC ou du Comité national de l'IEC du pays du demandeur. Si vous avez des
questions sur le copyright de l'IEC ou si vous désirez obtenir des droits supplémentaires sur cette publication, utilisez
les coordonnées ci-après ou contactez le Comité national de l'IEC de votre pays de résidence.
IEC Central Office Tel.: +41 22 919 02 11
3, rue de Varembé info@iec.ch
CH-1211 Geneva 20 www.iec.ch
Switzerland
About the IEC
The International Electrotechnical Commission (IEC) is the leading global organization that prepares and publishes
International Standards for all electrical, electronic and related technologies.
About IEC publications
The technical content of IEC publications is kept under constant review by the IEC. Please make sure that you have the
latest edition, a corrigendum or an amendment might have been published.
IEC publications search - webstore.iec.ch/advsearchform Electropedia - www.electropedia.org
The advanced search enables to find IEC publications by a The world's leading online dictionary on electrotechnology,
variety of criteria (reference number, text, technical containing more than 22 000 terminological entries in English
committee,…). It also gives information on projects, replaced and French, with equivalent terms in 16 additional languages.
and withdrawn publications. Also known as the International Electrotechnical Vocabulary
(IEV) online.
IEC Just Published - webstore.iec.ch/justpublished
Stay up to date on all new IEC publications. Just Published IEC Glossary - std.iec.ch/glossary
details all new publications released. Available online and 67 000 electrotechnical terminology entries in English and
once a month by email. French extracted from the Terms and Definitions clause of
IEC publications issued since 2002. Some entries have been
IEC Customer Service Centre - webstore.iec.ch/csc collected from earlier publications of IEC TC 37, 77, 86 and
If you wish to give us your feedback on this publication or CISPR.
need further assistance, please contact the Customer Service
Centre: sales@iec.ch.
A propos de l'IEC
La Commission Electrotechnique Internationale (IEC) est la première organisation mondiale qui élabore et publie des
Normes internationales pour tout ce qui a trait à l'électricité, à l'électronique et aux technologies apparentées.
A propos des publications IEC
Le contenu technique des publications IEC est constamment revu. Veuillez vous assurer que vous possédez l’édition la
plus récente, un corrigendum ou amendement peut avoir été publié.
Recherche de publications IEC - Electropedia - www.electropedia.org
webstore.iec.ch/advsearchform Le premier dictionnaire d'électrotechnologie en ligne au
La recherche avancée permet de trouver des publications IEC monde, avec plus de 22 000 articles terminologiques en
en utilisant différents critères (numéro de référence, texte, anglais et en français, ainsi que les termes équivalents dans
comité d’études,…). Elle donne aussi des informations sur les 16 langues additionnelles. Egalement appelé Vocabulaire
projets et les publications remplacées ou retirées. Electrotechnique International (IEV) en ligne.
IEC Just Published - webstore.iec.ch/justpublished Glossaire IEC - std.iec.ch/glossary
Restez informé sur les nouvelles publications IEC. Just 67 000 entrées terminologiques électrotechniques, en anglais
Published détaille les nouvelles publications parues. et en français, extraites des articles Termes et Définitions des
Disponible en ligne et une fois par mois par email. publications IEC parues depuis 2002. Plus certaines entrées
antérieures extraites des publications des CE 37, 77, 86 et
Service Clients - webstore.iec.ch/csc CISPR de l'IEC.
Si vous désirez nous donner des commentaires sur cette
publication ou si vous avez des questions contactez-nous:
sales@iec.ch.
IEC 60480 ®
Edition 3.0 2019-04
INTERNATIONAL
STANDARD
NORME
INTERNATIONALE
colour
inside
Specifications for the re-use of sulphur hexafluoride (SF ) and its mixtures
in electrical equipment
Spécifications pour la réutilisation de l’hexafluorure de soufre (SF )
et des mélanges contenant du SF dans le matériel électrique
INTERNATIONAL
ELECTROTECHNICAL
COMMISSION
COMMISSION
ELECTROTECHNIQUE
INTERNATIONALE
ICS 29.040.20; 29.130.01 ISBN 978-2-8322-6697-7
– 2 – IEC 60480:2019 © IEC 2019
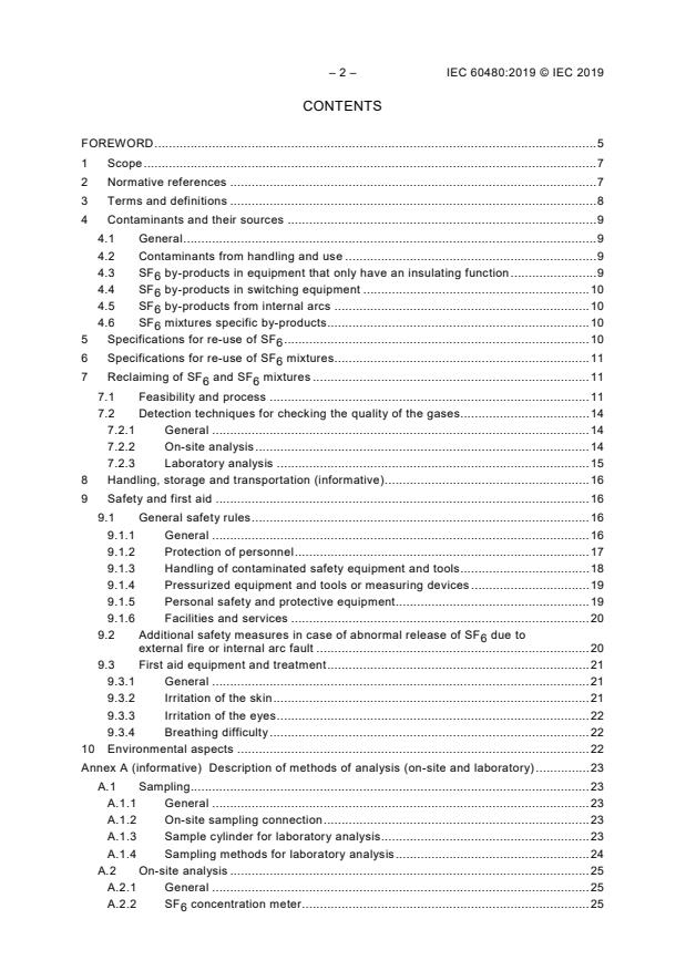
CONTENTS
FOREWORD . 5
1 Scope . 7
2 Normative references . 7
3 Terms and definitions . 8
4 Contaminants and their sources . 9
4.1 General . 9
4.2 Contaminants from handling and use . 9
4.3 SF by-products in equipment that only have an insulating function . 9
4.4 SF by-products in switching equipment . 10
4.5 SF by-products from internal arcs . 10
4.6 SF mixtures specific by-products . 10
5 Specifications for re-use of SF . 10
6 Specifications for re-use of SF mixtures . 11
7 Reclaiming of SF and SF mixtures . 11
6 6
7.1 Feasibility and process . 11
7.2 Detection techniques for checking the quality of the gases. 14
7.2.1 General . 14
7.2.2 On-site analysis . 14
7.2.3 Laboratory analysis . 15
8 Handling, storage and transportation (informative) . 16
9 Safety and first aid . 16
9.1 General safety rules . 16
9.1.1 General . 16
9.1.2 Protection of personnel . 17
9.1.3 Handling of contaminated safety equipment and tools . 18
9.1.4 Pressurized equipment and tools or measuring devices . 19
9.1.5 Personal safety and protective equipment . 19
9.1.6 Facilities and services . 20
9.2 Additional safety measures in case of abnormal release of SF due to
external fire or internal arc fault . 20
9.3 First aid equipment and treatment . 21
9.3.1 General . 21
9.3.2 Irritation of the skin . 21
9.3.3 Irritation of the eyes . 22
9.3.4 Breathing difficulty . 22
10 Environmental aspects . 22
Annex A (informative) Description of methods of analysis (on-site and laboratory) . 23
A.1 Sampling. 23
A.1.1 General . 23
A.1.2 On-site sampling connection . 23
A.1.3 Sample cylinder for laboratory analysis . 23
A.1.4 Sampling methods for laboratory analysis . 24
A.2 On-site analysis . 25
A.2.1 General . 25
A.2.2 SF concentration meter . 25
A.2.3 Hygrometers . 25
A.3 Laboratory analysis . 26
A.3.1 Gas chromatography . 26
A.3.2 Infrared spectroscopy . 28
Annex B (informative) By-products of SF6 and its mixtures . 31
B.1 Decomposition of SF and its mixtures . 31
B.1.1 General . 31
B.1.2 Behaviour of SF in an electric arc . 31
B.1.3 SF6 decomposition with low current discharges . 33
B.1.4 Catalytic decomposition of SF (high-temperature behaviour) . 33
B.2 Corrosion behaviour of SF and its by-products . 33
B.3 Measures for the removal of by-products . 33
B.4 Physiological characteristics of by-products . 34
Annex C (informative) Procedures for evaluating the potential effects on health from
by-products of SF and its mixtures . 35
C.1 General . 35
C.2 Formation and health effects of SF by-products . 35
C.2.1 Formation of SF by-products . 35
C.2.2 Effects of SF by-products on health . 36
C.2.3 Quantitative estimation of gaseous by-products . 37
C.2.4 Procedures for health risk evaluation . 38
C.3 Conclusion . 40
Annex D (informative) Reclaiming recommendations . 42
D.1 General . 42
D.2 Filtering recommendations . 42
D.3 Transport of used SF in gas cylinders and containers by road . 42
Annex E (informative) Cryogenic reclaiming of SF . 43
E.1 General . 43
E.2 Applications . 43
E.3 Physical background . 43
E.4 Cryogenic processes. 44
E.5 Description of a cryogenic reclaimer . 44
Bibliography . 47
Figure 1 – Decision flow chart for recovered SF . 13
Figure A.1 – One-sampling cylinder method set-up . 24
Figure A.2 – Two-sampling cylinder method set-up . 24
Figure A.3 – Example of a gas chromatogram in one print out showing the different
possible by-products after decomposition . 27
Figure A.4 – Typical GCMS chromatogram of decomposed SF /CF mixture . 28
6 4
Figure A.5 – IR spectrum of contaminated SF . 30
Figure C.1 – Procedure for the evaluation of the potential effects on health due
to arcing . 39
Figure C.2 – Procedure for the evaluation of the potential effects on health due to low
energy discharges . 40
Figure D.1 – Saturated vapour pressure of various gases as a function of temperature. 43
Figure D.2 – Typical cryogenic reclaimer for SF recovery on site . 45
Figure D.3 – Typical cryogenic reclaimer for removing contaminants . 45
– 4 – IEC 60480:2019 © IEC 2019
Table 1 – SF contaminants . 9
Table 2 – Specifications for re-use of SF . 10
Table 3 – Specifications for re-use of SF /N mixtures . 11
6 2
Table 4 – Specifications for re-use of SF /CF mixtures . 11
6 4
Table 5 – General contaminants and methods for their removal . 12
Table 6 – Typical adsorbents for various SF contaminants . 12
Table 7 – On-site methods . 15
Table 8 – Laboratory methods . 16
Table 9 – Measures when working with SF electric power equipment . 17
Table 10 – Safety measures when opening or accessing gas compartments . 18
Table 11 – Neutralizing solutions . 19
Table 12 – Additional safety measures . 21
Table A.1 – Peak absorption of SF and contaminants . 29
Table C.1 – OELs for SO2, HF, and S2F10 . 37
Table C.2 – SOF production rate . 37
INTERNATIONAL ELECTROTECHNICAL COMMISSION
____________
SPECIFICATIONS FOR THE RE-USE OF SULPHUR HEXAFLUORIDE (SF )
AND ITS MIXTURES IN ELECTRICAL EQUIPMENT
FOREWORD
1) The International Electrotechnical Commission (IEC) is a worldwide organization for standardization comprising
all national electrotechnical committees (IEC National Committees). The object of IEC is to promote
international co-operation on all questions concerning standardization in the electrical and electronic fields. To
this end and in addition to other activities, IEC publishes International Standards, Technical Specifications,
Technical Reports, Publicly Available Specifications (PAS) and Guides (hereafter referred to as “IEC
Publication(s)”). Their preparation is entrusted to technical committees; any IEC National Committee interested
in the subject dealt with may participate in this preparatory work. International, governmental and non-
governmental organizations liaising with the IEC also participate in this preparation. IEC collaborates closely
with the International Organization for Standardization (ISO) in accordance with conditions determined by
agreement between the two organizations.
2) The formal decisions or agreements of IEC on technical matters express, as nearly as possible, an international
consensus of opinion on the relevant subjects since each technical committee has representation from all
interested IEC National Committees.
3) IEC Publications have the form of recommendations for international use and are accepted by IEC National
Committees in that sense. While all reasonable efforts are made to ensure that the technical content of IEC
Publications is accurate, IEC cannot be held responsible for the way in which they are used or for any
misinterpretation by any end user.
4) In order to promote international uniformity, IEC National Committees undertake to apply IEC Publications
transparently to the maximum extent possible in their national and regional publications. Any divergence
between any IEC Publication and the corresponding national or regional publication shall be clearly indicated in
the latter.
5) IEC itself does not provide any attestation of conformity. Independent certification bodies provide conformity
assessment services and, in some areas, access to IEC marks of conformity. IEC is not responsible for any
services carried out by independent certification bodies.
6) All users should ensure that they have the latest edition of this publication.
7) No liability shall attach to IEC or its directors, employees, servants or agents including individual experts and
members of its technical committees and IEC National Committees for any personal injury, property damage or
other damage of any nature whatsoever, whether direct or indirect, or for costs (including legal fees) and
expenses arising out of the publication, use of, or reliance upon, this IEC Publication or any other IEC
Publications.
8) Attention is drawn to the Normative references cited in this publication. Use of the referenced publications is
indispensable for the correct application of this publication.
9) Attention is drawn to the possibility that some of the elements of this IEC Publication may be the subject of
patent rights. IEC shall not be held responsible for identifying any or all such patent rights.
International Standard IEC 60480 has been prepared by IEC technical committee 10: Fluids
for electrotechnical applications.
This third edition cancels and replaces the second edition, published in 2004. This edition
constitutes a technical revision.
This edition includes the following significant technical changes with respect to the previous
edition:
• specifications for the re-use of SF have been confirmed;
• specifications for the re-use of SF mixtures, namely SF /N and SF /CF mixtures are
6 6 2 6 4
included;
• as a result of a new repartition of annexes in IEC 60376, IEC 60480 and IEC 62271-4, this
new edition now contains the following five annexes:
– Annex A: Description of methods of analysis (on-site and laboratory);
– Annex B: By–products of SF and its mixtures;
– 6 – IEC 60480:2019 © IEC 2019
– Annex C: Procedure for evaluating the potential effects on health from by-products of SF
and its mixtures;
– Annex D: Reclaiming recommendations.
– Annex E: Cryogenic reclaiming of SF ;
The text of this International Standard is based on the following documents:
FDIS Report on voting
10/1075/FDIS 10/1080/RVD
Full information on the voting for the approval of this International Standard can be found in
the report on voting indicated in the above table.
This document has been drafted in accordance with the ISO/IEC Directives, Part 2.
The committee has decided that the contents of this document will remain unchanged until the
stability date indicated on the IEC website under "http://webstore.iec.ch" in the data related to
the specific document. At this date, the document will be
• reconfirmed,
• withdrawn,
• replaced by a revised edition, or
• amended.
IMPORTANT – The 'colour inside' logo on the cover page of this publication indicates
that it contains colours which are considered to be useful for the correct
understanding of its contents. Users should therefore print this document using a
colour printer.
SPECIFICATIONS FOR THE RE-USE OF SULPHUR HEXAFLUORIDE (SF )
AND ITS MIXTURES IN ELECTRICAL EQUIPMENT
1 Scope
This document provides criteria for the re-use of sulphur hexafluoride (SF ) and its mixtures
after recovery and reclaiming from electrical equipment (e.g. for maintenance, at the end-of-
life).
Sulphur hexafluoride (SF ), nitrogen (N ) and carbon tetrafluoride (CF ), are gases commonly
6 2 4
used for electrical equipment. Taking into account environmental concerns, particular
attention is paid to re-use criteria for SF and its mixtures with N and CF for its use in
6 2 4
electrical equipment. Procedures for recovering and reclaiming used SF and its mixtures are
outside the scope of this document and are described in IEC 62271-4.
This document provides several annexes on the description of the different methods of
analysis, on by-products, on the procedure for evaluating the potential health effects from by-
products, on cryogenic reclaiming of SF , and on reclaiming recommendations.
Storage, transportation and disposal of SF and its mixtures are outside the scope of this
document and are covered by IEC 62271-4. Procedures to determine SF leakages are
described in IEC 60068-2-17 [4] .
mixtures will be
For the purposes of this document, the complementary gases used in SF
limited to N or CF .
2 4
2 Normative references
The following documents are referred to in the text in such a way that some or all of their
content constitutes requirements of this document. For dated references, only the edition
cited applies. For undated references, the latest edition of the referenced document (including
any amendments) applies.
IEC 60050-192, International Electrotechnical Vocabulary – Part 192: Dependability (available
at http://www.electropedia.org)
IEC 60050-212, International Electrotechnical Vocabulary – Part 212: Electrical insulating
solids, liquids and gases (available at http://www.electropedia.org)
IEC 60050-441, International Electrotechnical Vocabulary – Part 441: Switchgear, controlgear
and fuses (available at http://www.electropedia.org)
IEC 60050-826, International Electrotechnical Vocabulary – Part 826: Electrical installations
(available at http://www.electropedia.org)
IEC 62271-4:2013, High-voltage switchgear and controlgear – Part 4: Handling procedures for
sulphur hexafluoride (SF ) and its mixtures
___________
Numbers in square brackets refer to the bibliography.
– 8 – IEC 60480:2019 © IEC 2019
3 Terms and definitions
For the purposes of this document, the terms and definitions given in IEC 60050-192,
IEC 60050-212, IEC 60050-441 and IEC 60050-826, and the following apply.
ISO and IEC maintain terminological databases for use in standardization at the following
addresses:
• IEC Electropedia: available at http://www.electropedia.org/
• ISO Online browsing platform: available at http://www.iso.org/obp
3.1
electrical equipment
item used for such purposes as generation, conversion, transmission, distribution or utilization
of electrical energy, such as electric machines, transformers, switchgear and controlgear,
measuring instruments, protective devices, wiring systems, current-using equipment,
insulated bushings, surge arresters
[SOURCE: IEC 60050-826:2004, 826-16-01, modified – "insulated bushings, surge arresters"
has been added.]
3.2
container
vessel (cylinder) suitable for the containment of pressurized gases either in gaseous or liquid
phase, according to local and/or international safety and transportation regulations
3.3
used sulphur hexafluoride
SF which has been introduced into electrical equipment
3.4
reclaiming
process of contaminants removal from an insulating liquid or gas
3.5
recovery
process of transferring gas from electrical equipment to an alternate container
3.6
SF mixture
gas mixture formed by SF and a complementary gas, typically N or CF
6 2 4
3.7
contaminant
foreign substance or material in an insulating liquid or gas which usually has a deleterious
effect on one or more properties
[SOURCE: IEC 60050-212:2010, 212-17-27, modified – "or solid" has been deleted.]
3.8
by-products
contaminants which are formed by the degradation of SF and its mixtures by electrical arcs
or sparks
3.9
ambient air
normal atmosphere surrounding the equipment
[SOURCE: IEC 60079-29-2:2015, 3.1.1]
4 Contaminants and their sources
4.1 General
SF recovered from electrical equipment in operation contains several kinds of contaminants.
Contaminants in recovered SF come both from gas handling and from use.
Table 1 summarizes the main contaminants and their sources. Additional information is
available in Annex B.
contaminants
Table 1 – SF
SF situation and use Origin Possible contaminant
Leaks and incomplete evacuation For pure SF : Air, oil, H O
6 2
Handling and in service
Desorption For SF mixtures: Air, oil, H O, N CF
6 2 2, 4
Gaseous by-products: HF, SO , SOF ,
2 2
SOF SO F
Partial discharges (e.g. corona) and low 4, 2 2
Insulating function
energy flashovers and sparkovers
For SF mixtures: HF, SO , SOF SOF
6 2 2, 4,
SO F , NO , NF
2 2 x X
Gaseous by-products: HF, SO , SOF ,
2 2
SOF , SO F , SF , CF WF
4 2 2 4 4, 6
Solid by-products: Metal dusts, particles,
Switching arc erosion
AlF , FeF WO CuF
Switching equipment 3 3, 3, 2
For SF mixtures: HF, SO , SOF , SOF ,
6 2 2 4
SO F NO , NF
2 2, x X
Mechanical erosion Metal dusts, particles
Gaseous by-products: HF, SO , SOF ,
2 2
SOF , SO F , SF , CF , WF
4 2 2 4 4 6
Solid by-products: Metal dusts, particles,
Internal arc Melting and decomposition of materials
AlF , FeF , WO , CuF
3 3 3, 2
For SF mixtures: HF, SO , SOF , SOF ,
6 2 2 4
SO F , NO , NF
2 2 x X
4.2 Contaminants from handling and use
Filling and recovering gas leads to the additional contamination with ambient air and water
(humidity).
Moisture desorbs from internal surfaces of the equipment and from polymeric parts. Oil from
handling equipment (pumps and compressors) may also be inadvertently introduced.
When using gas mixtures, the possibility of cross contamination shall be considered
(contaminating one gas mixture by another).
4.3 SF by-products in equipment that only have an insulating function
The essential process is the decomposition of SF by partial discharges (e.g. corona) and low
energy flashovers and sparkovers. The immediate products are fragments of SF , such as
SF , SF and F, combining with O and H O to form compounds, mainly HF, SO , SOF ,
5 4 2 2 2 2
SOF and SO F . Due to low energy of the partial discharges, flashovers or sparkovers, the
4 2 2
accumulated quantities of these compounds are usually negligible.
– 10 – IEC 60480:2019 © IEC 2019
4.4 SF by-products in switching equipment
During current interruption, the existence of high temperature arcs leads to the formation of
by-products of SF , vaporized electrode metal, polymeric materials and contaminants. In
addition, chemical reactions take place among the products formed (see Table 1).
The quantity of these by-products depends on the number of operations, the cumulative short
circuit current, the design of equipment and the use of adsorbers (solid adsorbents).
Switching equipment may also contain particles and metal dust coming from the rubbing of
contacts.
4.5 SF by-products from internal arcs
The occurrence of an internal arc is extremely rare. The expected contaminants in SF in
faulted equipment are similar to those normally found in switching equipment. The difference
lies in the quantity of compounds, which create a potential toxic risk (see Clause 9). In
addition, significant vaporization of metallic material occurs and creates additional reaction
products such as dust.
4.6 SF mixtures specific by-products
For SF mixtures, the usual SF by-products mentioned in Table 1 and specific mixture by-
6 6
products, such as nitrogen oxide(s) and nitrogen fluoride(s) for SF /N and fluorocarbon(s) for
6 2
SF /CF , are produced. The quantities depend on the mixture composition, contaminants and
6 4
energy introduced. For typical SF mixtures, the gas decomposition rates are not expected to
exceed those for SF .
Within the by-products generated in mixtures, SF by-products are generally predominant in
terms of quantity and toxicity. Safety procedures related to the presence of the usual SF by-
products shall also apply in applications with SF mixtures.
5 Specifications for re-use of SF
Table 2 – Specifications for re-use of SF
a
Substance Concentration
SF > 97 % volume
Air and/or CF < 30 000 µl/l (i.e. 3 % volume)
H O < 200 µl/l (i.e. 200 ppmv)
b
Mineral oil < 10 mg/kg (i.e. 10 ppmw)
< 50 µl/l total (i.e. 50 ppmv) or 12 µl/l (i.e. 12 ppmv) for (SO +SOF ) or
2 2
Acidity
25 µl/l (i.e. 25 ppmv) HF
Key
ppmv = part per million by volume
ppmw = part per million by weight
a
H S and CO have been considered irrelevant due to lack of valuable data.
b
If gas handling equipment (pump, compressor) containing oil is used, it may be necessary to measure the oil
content of the SF . If all equipment in contact with the SF is oil-free, then it is not necessary to measure the
6 6
oil content.
For the determination of total acidity, the sum of all acidic compounds is reported as one
value. Alternatively, total acidity can be measured in terms of (SO + SOF ) or in terms of HF
2 2
with a limit value of 12 µl/l and 25 µl/l respectively.
6 Specifications for re-use of SF mixtures
Table 3 – Specifications for re-use of SF /N mixtures
6 2
Substance Concentration
N As per OEM specifications
a
SF percentage ±5 % volume of the specified percentage
a
Air and CF < 30 000 µl/l (i.e. 3 % volume)
H O < 200 µl/l (.i.e. 200 ppmv)
b
Mineral oil < 10 mg/kg (i.e. 10 ppmw)
Total acidity < 50 µl/l total (i.e. 50 ppmv) or 12 µl/l (i.e. 12 ppmv) for
(SO +SOF ) or 25 µl/l (i.e. 25 ppmv) HF
2 2
Storage conditions
Shall comply with IEC 62271-4:2013, Clause J.7 in order to prevent liquefaction of SF .
Key
ppmv = part per million by volume
ppmw = part per million by weight
a
Or unless otherwise specified by the original equipment manufacturer (OEM).
b
If gas handling equipment (pump, compressor) containing oil is used, it may be necessary to measure the oil
content of the SF . If all equipment in contact with the SF is oil-free, then it is not necessary to measure the
6 6
oil content.
Table 4 – Specifications for re-use of SF /CF mixtures
6 4
Substance Concentration
CF As per OEM specifications
a
SF percentage ±5 % volume of the specified percentage
a
Air and N < 30 000 µl/l (i.e. 3% volume)
H O < 200 µl/l (.i.e. 200 ppmv)
b
Mineral oil < 10 mg/kg (i.e. 10 ppmw)
Total acidity < 50 µl/l total (i.e. 50 ppmv) or 12 µl/l (i.e. 12 ppmv) for
(SO +SOF ) or 25 µl/l (i.e. 25 ppmv) HF
2 2
Storage conditions
Shall comply with IEC 62271-4:2013, Clause J.7 in order to prevent liquefaction of SF .
Key
ppmv = part per million by volume
ppmw = par per million by weight
a
Or unless otherwise specified by the original equipment manufacturer (OEM).
b
If gas handling equipment (pump, compressor) containing oil is used, it may be necessary to measure the oil
content of the SF . If all equipment in contact with the SF is oil-free, then it is not necessary to measure the
6 6
oil content.
7 Reclaiming of SF and SF mixtures
6 6
7.1 Feasibility and process
The quality of reclaimed SF shall meet the requirements of this document.
– 12 – IEC 60480:2019 © IEC 2019
All occurring contaminants are formed in normal operation and can generally be eliminated
on-site. Table 5 lists methods recommended for removing the contaminants as given in
Table 1.
Table 5 – General contaminants and methods for their removal
Gaseous by- Solid by-
Contaminant Humidity Air, N , CF Mineral oil
2 4
products products
(water vapour)
Removal method Adsorption with Adsorption with Retaining with Separation by Adsorption with
molecular sieve activated solid filters cryogenic activated
aluminium oxide process or charcoal filter
membrane
filtration
For SF and its mixtures, these gaseous contaminants cannot be removed easily on-site. In each situation, an
evaluation of the reclaiming options should be done to determine if the SF and its mixture could be reclaimed
on-site.
Various types of adsorbent materials are available to remove contaminants from SF gas
(see Table 6).
Table 6 – Typical adsorbents for various SF contaminants
Adsorbent Contaminants removed
Molecular sieve 4A Water, SO , SOF , SF
2 2 4
Molecular sieve 13X Water, SO , SOF , SF
2 2 4
(also adsorbs some SF )
Activated aluminium oxide Water, SO , SOF , SF , HF
2 2 4
Soda lime (CaO-NaOH) Water, SO F , HF
2 2
Activated charcoal Oil vapour
If the results of the gas analysis exceed the specifications for re-use of SF and its mixtures
given in Table 2, Table 3 or Table 4, a decision regarding the reclaiming method has to be
made depending on the level and type of contamination. In general, re-purifying the gas on-
site with a service device plus a separation device will be the most favourable way. However,
if re-use is not possible, reclaiming by the gas manufacturer or disposal will be necessary. In
this case, the gas shall be sent to the SF manufacturer or reclaimer.
Figure 1 defines the selection procedure to determine the best use of SF after recovery for
potential treatment.
Figure 1 – Decision flow chart for recovered SF
• For contaminants of water or by-products, the question of whether the SF is reclaimable
on-site depends only on the performance of the filters available. The addition of external
pre-filters may be required to increase the efficiency of the reclaiming process. If the SF
is not reclaimable on-site, then it shall be returned to the SF manufacturer or sent to a
reclaiming or disposal company.
• The case of contamination with air, N and/or CF shall be considered separately.
2 4
• For non-mixed SF , if the concentration of air and/or CF exceeds the maximum
6 4
acceptable contaminant level as given in Table 2, and if the container from which the
sample has been taken contains liquid SF , then transfer SF from the gas phase into a
6 6
second container. The transfer should be continued until a sample from the first reservoir
satisfies the maximum acceptable level. The contents of the second container cannot be
– 14 – IEC 60480:2019 © IEC 2019
reclaimed on-site. Any container that contains no liquid SF , i.e. only the gas phase,
requires the analysis of only one sample for air and CF to determine if it is suitable for re-
use or cannot be reclaimed on-site.
• For mixed SF , if the concentration of air, N and/or CF exceeds the maximum
6 2 4
acceptable contaminant level as given in Table 3 or Table 4, an evaluation of the
reclaiming options should be done to determine if the mixture could be reclaimed on-site.
7.2 Detection techniques for checking the quality of the gases
7.2.1 General
The detection techniques shall be used on gas samples. Details of the procedures for
obtaining a sample and of the analytical methods are provided in Annex A.
7.2.2 On-site analysis
If on-site analysis systems are used, they shall be equipped with a gas recovery system. The
into the atmosphere shall be avoided and the safety of personnel shall be
release of SF
ensured. On-site available analytical methods are shown respectively in Table 7 and Annex A.
In case of high concentration of by-products (see Clause 4), care should be taken to avoid
damage to the measuring instrument.
Table 7 – On-site methods
Substance Detection technique
Portable gas chromatography with thermal conductivity detector (GC-TCD)
Infrared absorption
SF
Condensation method
Speed of sound method
Portable gas chromatography with thermal conductivity detector (GC-TCD)
N in SF mixture Infrared absorption (NOTE 1)
2 6
Speed of sound method (NOTE 1) (NOTE 2)
Portable gas chromatography with thermal conductivity detector (GC-TCD)
CF in SF mixture Infrared absorption
4 6
Speed of sound method (NOTE 1) (NOTE 2)
Portable gas chromatography with thermal conductivity detector (GC-TCD)
By-products:
Infrared absorption
SO , SOF , SO F
2 2 2 2
Electrochemical sensor
Infrared absorption
HF
Electrochemical sensor
Density meter (for the % of SF )
Air and CF Portable gas chromatography with thermal conductivity detector (GC-TCD) (NOTE 3)
Infrared absorption
Electronic hygrometer
Chilled mirror hygrometer
Water (humidity)
Infrared absorption
Electrochemical sensor
Mineral oil Tube for mineral oil
NOTE 1 Indirect quantification done by the subtraction of the SF content.
NOTE 2 Applicable only to known mixture composition.
NOTE 3 Gas chromatography is only used to determine the concentration of N or CF in SF mixtures.
2 4 6
7.2.3 Laboratory analysis
If no equipment is available on-site, the following recommended techniques should be used
(see Table 8). Laboratory methods are intended to provide a quantitative assessment of the
contaminants in a gas sample.
Water is the only contaminant that cannot be determined accurately from a sampling cylinder.
The water content of a sample in a cylinder taken from a container is not representative of the
water content in the container because water adsorbs on all surfaces. Therefore, the water
analysis shall always be carried out directly on the container on-site. There is no recom-
mended order of analysis.
– 16 – IEC 60480:2019 © IEC 2019
Table 8 – Laboratory methods
Contaminants Methods available
SF Gas chromatograph (NOTE 2). Infrared absorption
N in gas mixture Gas chromatograph (NOTE 2)
CF in gas mixture Gas (NOTE 2). Infrared absorption
Air: oxygen and nitrogen Gas chromatograph (NOTE 2)
CF Gas chromatograph (NOTE 2). Infrared absorption
as contaminant
Infrared absorption
Oil
Gas chromatograph (NOTE 2)
Gas chromatograph (NOTE 2)
Decomposition products (total acidity): Ion chromatography
SO , SOF , SO F , SF , HF (NOTE 1) Infrared absorption
2 2 2 2 4
Wet chemistry
NOTE 1 Ion chromatography, infrared absorption and wet chemistry are the only methods available to quantify
HF.
NOTE 2 Gas chromatography can be performed by using adequate detectors for the determination of
contaminants or to control the mixing gas concentrations.
More information about reclaiming recommendations can be found in Annex D. Information
about cryogenic reclaiming, an example of reclaiming technique, can be found in Annex E.
8 Handling, storage and transportation (informative)
Refer to IEC 62271-4.
9 Safety and first aid
9.1 General safety rules
9.1.1 General
Before starting any maintenance/service work on electric power equipment, a detailed
inspection of the state of the equipment shall be carried out and documented. In addition to
the local safety regulations, at least the following general safety rules shall be followed:
• switch off and isolate;
• secure against re-closing;
• verify that equipment is de-energized;
• earth and short-circuit the equipment;
• cover or fence off nearby live parts.
Written documents giving permission to work on the electric power equipment should be
agreed and signed by both the owner/user of the equipment and the service provider.
Table 9 lists the major issues to consider when working with SF electric power equipment.
Table 9 – Measures when working with SF electric power equipment
Item Work in the vicinity
...




Questions, Comments and Discussion
Ask us and Technical Secretary will try to provide an answer. You can facilitate discussion about the standard in here.
Loading comments...