ISO 1386:1983
(Main)Solvent acetates for industrial use — Methods of test
Solvent acetates for industrial use — Methods of test
Gives general instructions and specifies methods of analysis for these chemical products. The methods are the following: determination of density at 20 °C; determination of dry residue after evaporation on a water bath; measurement of colour; determination of distillation characteristics; determination of water content; determination of acidity; and determination of ester content (titrimetric method). - Cancels and replaces ISO Recommendation R 1386-1970 and constitutes a technical revision thereof.
Acétates solvants à usage industriel — Méthodes d'essai
General Information
- Status
- Withdrawn
- Publication Date
- 31-Oct-1983
- Withdrawal Date
- 31-Oct-1983
- Technical Committee
- ISO/TC 47 - Chemistry
- Drafting Committee
- ISO/TC 47 - Chemistry
- Current Stage
- 9599 - Withdrawal of International Standard
- Start Date
- 27-May-2002
- Completion Date
- 14-Feb-2026
Buy Documents
ISO 1386:1983 - Solvent acetates for industrial use -- Methods of test
ISO 1386:1983 - Acétates solvants a usage industriel -- Méthodes d'essai
ISO 1386:1983 - Acétates solvants a usage industriel -- Méthodes d'essai
Get Certified
Connect with accredited certification bodies for this standard

ECOCERT
Organic and sustainability certification.

Eurofins Food Testing Global
Global leader in food, environment, and pharmaceutical product testing.

Intertek Bangladesh
Intertek certification and testing services in Bangladesh.
Sponsored listings
Frequently Asked Questions
ISO 1386:1983 is a standard published by the International Organization for Standardization (ISO). Its full title is "Solvent acetates for industrial use — Methods of test". This standard covers: Gives general instructions and specifies methods of analysis for these chemical products. The methods are the following: determination of density at 20 °C; determination of dry residue after evaporation on a water bath; measurement of colour; determination of distillation characteristics; determination of water content; determination of acidity; and determination of ester content (titrimetric method). - Cancels and replaces ISO Recommendation R 1386-1970 and constitutes a technical revision thereof.
Gives general instructions and specifies methods of analysis for these chemical products. The methods are the following: determination of density at 20 °C; determination of dry residue after evaporation on a water bath; measurement of colour; determination of distillation characteristics; determination of water content; determination of acidity; and determination of ester content (titrimetric method). - Cancels and replaces ISO Recommendation R 1386-1970 and constitutes a technical revision thereof.
ISO 1386:1983 is classified under the following ICS (International Classification for Standards) categories: 71.080.70 - Esters. The ICS classification helps identify the subject area and facilitates finding related standards.
ISO 1386:1983 is available in PDF format for immediate download after purchase. The document can be added to your cart and obtained through the secure checkout process. Digital delivery ensures instant access to the complete standard document.
Standards Content (Sample)
International Standard
INTERNATIONAL ORGANIZATION FOR STANDARDIZATION.ME)I(L1YHAPOAHAR OPTAHH3AUHR ll0 CTAH~APTM3AL&WWORGANISATION INTERNATIONALE DE NORMALISATION
Solvent acetates for industrial use -’ Methods of test
Acetates solvants a wage industriel - Methodes d’essai
First edition - 1983-11-15
UDC 661.731 : 631.75: 543
Ref. No. ISO 13864983 (EI
Desctiptors : industrial products, acetates, solvent acetate, tests, determination, acidity, determination of content, esters, volumetric analysis.
Price based on 4 pages
Foreword
ISO (the International Organization for Standardization) is a worldwide federation of
national Standards bodies (ISO member bodies). The work of developing International
Standards is carried out, through ISO technical committees. Every member body
interested in a subject for which a technical committee has been authorized has the
right to be represented on that committee. International organizations, governmental
and non-governmental, in liaison with ISO, also take part in the work.
Draft International Standards adopted by the technical committees are circulated to
the member bodies for approval before their acceptance as International Standards by
the ISO Council.
International Standard ISO 1386 was developed by Technical Committee ISO/TC 47,
Chemistry. lt results from the combination into one Single document of draft lnter-
national Standards ISO/DIS 1386/1, ISO/DIS 1386/2 and ISO/DIS 1386/3, which
were circulated to the member bodies in September 1982 and have been approved by
the member bodies of the following countries:
Australia Germany, F. R. New Zealand
Austria Hungary (DIS 1386/3)
Belgium Nigeria
India
Bulgaria Italy Poland
China (DIS 1386/2) Korea, Rep. of Portugal .
Czechoslovakia Netherlands Romania
Egypt, Arab Rep. of South Africa, Rep. of
(DIS 1386/2 and
France DIS 1386/3) Switzerland
The member body of the following country expressed disapproval of ISO/DIS 1386/1
on technical grounds :
Netherlands
No member body expressed disapproval of Parts 2 and 3 of the draft.
This International Standard cancels and replaces ISO Recommendation R 1386-1970,
of which it constitutes a technical revision.
0 International Organkation for Standardkation, 1983
Printed in Switzerland
INTERNATIONAL STANDARD ISO 1386-1983 (E)
Solvent acetates for industrial use - Methods of test
1 Scope and field of application - Determination of ester content - Titrimetric method
after saponification
This International Standard gives general instructions and
specifies methods of test for the analysis of solvent acetates
most frequently used in industry. 2 References
The methods of test relating to solvent acetates for industrial ISO 758, Liquid Chemical products for industrial use - Deter-
use are the following : mination of density at 20 OC.
- Determination of density at 20 OC ISO 759, Volatile organic liquids for industrial use - Deter-
mination of dry residue after evaporation on a water bath -
- Determination of dry residue after evaporation on a General method.
water bath
ISO 760, Determination of water - Karl Fischer method
- Measurement of colour (General methodl.
- Determination of distillation characteristics ISO 918, Volatile organic liquids for industrial use - Deter-
mination of distillation characteristics.
- Determination of water content
ISO 2211, Liquid Chemical products - Measuremen t o f colour
- Determination of acidity - Titrimetric method in Hazen units lpla tinum-Cobalt scale).
General instructions
a) an identification of the Sample;
3 Samplingl)
Store the laboratory Sample in a clean, dry and air-tight bottle
fitted either with a ground glass stopper or with a screw cap
b) the reference of the method used;
containing an air-tight inert plastics Seal. The bottle should be
of such capacity that it is almost entirely filled by the Sample. If
it is necessary to seal the Container, take care to avoid any con-
c) the results and the method of expression used
tamination of the contents.
NOTE - A Sample of not less than 500 ml is necessary for performing
all the tests specified for these products.
d) any unusual features noted during the determination;
4 Test report
e) any Operation not included in this International Stan-
The test report, for each determination, shall contain the dard or in the International Standards to which reference is
following particulars : made, or regarded as optional.
1) The sampling of liquid Chemical products for industrial use will form the subject of a future International Standard.
ISO 13864983 (El
Methods of test
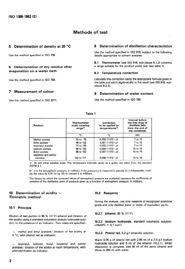
8 Determination of distillation characteristics
5 Determination of density at 20 OC
Use the method specified in ISO 918, subject to the following
Use the method specified in ISO 758.
details appropriate to solvent acetates.
8.1 Thermometer (sec ISO 918, sub-clause 5.1.2) covering
a range suitable for the product under test (see table 1).
6 Determination of dry residue after
evaporation on a water bath
8.2 Temperature correction
Calculate this correction using the appropriate formula given in
Use the method specified in ISO 759.
the table and add it algebraically to the result (see ISO 918, sub-
clause 9.2.2).
7 Measurement of colour
9 Determination of water content
Use the method specified in ISO 760.
Use the method specified in ISO 2211.
Table 1
Interval before
Thermometer Correction the first drop of
Product scale covering to be applied to distillate falls
rangell temperatures from the end of
the condenser
OC min
OC
Methyl acetate 24 to 78 0,030 (1 013~p) 7to 12
Ethyl acetate 48 to 102 0,031 (1 013~p) 7to 12
Isopropyl acetate 72 to 126 0,032 (1 013-9) 7to 12
Isobutyl acetate 98
to 152 0,034 (1 013~p) 10 to 15
Butyl acetate 98 to 152 0,037 (1 013~p) 10 to 15
Isopentyl and pentyl
acetates 123 to 177 0,038 (1 013~p) 10 to 15
1) Or any other suitable scale. The temperature intervals, given as a guide, are taken from the Standard
ASTM E 1.
2) p is the atmospheric pressure, in millibars. If the pressure p is measured in Pascals (or in kilopascals), multi-
ply the value by 0,Ol (or by IO) to convert it to millibars.
The factors by which the corrected values of atmospheric pressure are multiplied represent the coefficients of
Variation of the distillation Point of products given as a function of atmospheric pressure, in millibars.
10 Determination of acidity - 10.2 Reagents
Tltrimetric method
During the analysis, use only reagents of recognized analytical
grade and only distilled water or water of equivalent purity.
10.1 Principle
10.2.1 Ethanol, 95 % (VW).
Dilution of test portion in 95 % (V/ v) ethanol and titration of
the acidity using a Standard volumetric sodium hydroxide solu-
10.2.2 Sodium hydroxide, Standard volumetric Solution,
tion, in the presence of an indicator. Two cases are specified :
c(NaOH) = 0,l mol/l.
-
methyl and ethyl acetates: titration of the acidity at
10.2.3 Phenol red, 0,2 g/l ethanolic Solution.
0 OC, with Phenol red as indicator;
Warm 0,05 g of Phenol red with 2,85 ml of a 2,0 g/l sodium
hydroxide Solution and 5 ml of the etha
...
Norme internationale
INTERNATIONAL ORGANlZATlON FOR STANDARDIZATION.ME)KLIYHAPOflHAR OPrAHH3AUMR IlO CTAHL\APTH3AUHM~RGANISATION INTERNATIONALE DE NORMALISATION
Acétates solvants à usage industriel - Méthodes d’essai
Solvent acetates for industrial use - Methods of test
Première édition - 1983-11-15
-
L CDU 661.731 : 531.75 : 543
Réf. no-: ISO 1386-1983 (FI
Descripteurs : produit industriel,
acétate, acétate solvant, essai, détermination, acidité, dosage, ester, méthode volumétrique.
v,
Prix basé sur 4 pages
Avant-propos
L’ISO (Organisation internationale de normalisation) est une fédération mondiale
d’organismes nationaux de normalisation (comités membres de I’ISO). L’élaboration
des Normes internationales est confiée aux comités techniques de I’ISO. Chaque
comité membre intéressé par une étude a le droit de faire partie du comité technique
correspondant. Les organisations internationales, gouvernementales et non gouverne-
mentales, en liaison avec I’ISO, participent également aux travaux.
Les projets de Normes internationales adoptés par les comités techniques sont soumis
aux comités membres pour approbation, avant leur acceptation comme Normes inter-
nationales par le Conseil de I’ISO.
La Norme internationale ISO 1386 a été élaborée par le comité technique ISO/TC 47,
Chimie. Elle résulte de la fusion en un seul document des projets de Normes internatio-
nales ISO/DIS 1386/1, ISO/DIS 1386/2 et ISO/DIS 1386/3, qui ont été soumis aux
comités membres en septembre 1982, et ont été approuvés par les comités membres
des pays suivants:
Afrique du Sud, Rép. d’
Égypte, Rép. arabe d’ Pays-Bas (DIS 1386/2
Allemagne, R.F.
France et 1386/3)
Australie Hongrie Pologne
Autriche
Inde Portugal
Belgique Italie Roumanie
Bulgarie Suisse
Nigeria
Chine (DIS X386/2) Nouvelle-Zélande Tchécoslovaquie
Corée, Rép. de (DIS 1386/3)
Le comité membre du pays suivant a désapprouvé le projet ISO/DIS 1386/1 pour des
raisons techniques :
Pays-Bas
Aucun comité membre n’a désapprouvé les parties 2 et 3 du projet.
Cette Norme internationale annule et remplace la Recommandation ISO/R 1386-1970,
dont elle constitue une révision technique.
0 Organisation internationale de normalisation, 1983
Imprimé en Suisse
ISO 1386-1983 (FI
NORME INTERNATIONALE
Acétates solvants à usage industriel - Méthodes d’essai
- Dosage des esters - Méthode titrimétrique après
1 Objet et domaine d’application
saponification
La présente Norme internationale donne des instructions géné-
rales et spécifie des méthodes d’essai pour l’analyse des acéta-
2 Références
tes solvants les plus fréquemment utilisés dans l’industrie.
Les méthodes d’essai relatives aux acétates solvants à usage ISO 758, Produits chimiques liquides a usage industriel -
Détermination de la masse volumique a 20 OC.
industriel sont les suivantes :
-
ISO 759, Liquides organiques volatrIs a usage industriel -
Détermination de la masse volumique à 20 OC
Détermination du résidu sec apres évaporation sur bain d’eau
- Methode générale.
- Détermination du résidu sec après évaporation sur bain
d’eau
ISO 760, Dosage de /‘eau - Méthode de Karl Fischer (Methode
- Détermination de la coloration générale).
ISO 918, Liquides organiques volatlics a usage industriel -
- Détermination des caractéristiques de distillation
De termina tion des carat teris tiques de distillation.
- Dosage de l’eau
ISO 2211, Produits chimiques liquides - Determination de la
coloration en unités Hazen (Échelle platine-cobalt).
- Détermination de l’acidité - Méthode titrimétrique
Instructions générales
a) identification de l’échantillon;
3 Échantillonnagel)
Placer l’échantillon pour laboratoire dans un flacon en verre,
b) référence de la méthode utilisée;
propre, sec et étanche, à bouchon rodé, ou dans un flacon
muni d’un bouchon à vis avec un joint d’étanchéité en matiére
plastique inerte. Le flacon doit être de capacité telle qu’il soit
c) résultats, ainsi que la forme sous laquelle ils sont
presque entierement rempli par l’échantillon. S’il a été néces-
exprimés;
saire de sceller le flacon, prendre soin d’éviter tout risque de
contamination de son contenu.
d) compte rendu de tous détails particuliers éventuels rele-
NOTE - Un échantillon non inférieur à 500 ml est nécessaire pour
vés au cours de l’essai;
effectuer la série des essais spécifiés pour ces produits.
e) compte rendu de toutes opérations non prévues dans la
4 Procès-verbal d’essai
présente Norme internationale ou dans les Normes interna-
Le procès-verbal d’essai, pour chaque détermination, doit con- tionales auxquelles il est fait référence, ou de toutes opéra-
tenir les indications ci-contre : tions facultatives.
1) L’échantillonnage des produits chimiques liquides à usage industriel fera l’objet d’une Norme internationale ultérieure.
Iso 13864983 (F)
Méthodes d’essai
8 Détermination des caractéristiques de
5 Détermination de la masse volumique
distillation
à 20 OC
Utiliser la méthode spécifiée dans I’ISO 918, en y apportant les
modifications suivantes particulières aux acétates solvants.
Utiliser la méthode spécifiée dans I’ISO 758.
8.1 Thermomètre (voir ISO 918, paragraphe 5.1.2)’ cou-
vrant un intervalle approprié au produit à soumettre à l’essai
(voir tableau 1).
6 Détermination du résidu sec après
évaporation sur bain d’eau
8.2 Correction à apporter aux températures
Utiliser la méthode spécifiée dans I’ISO 759.
Calculer cette correction en utilisant la formule appropriée don-
née dans le tableau et l’ajouter algébriquement au résultat (voir
ISO 918, paragraphe 9.2.2).
7 Détermination de la coloration
9 Dosage de l’eau
Utiliser l’une des méthodes spécifiées dans I’ISO 760.
Utiliser la méthode spécifiée dans I’ISO 2211 l
Tableau 1
t
Intervalle de temps
Échelle thermo- Correction pour la chute de
métrique couvrant à apporter la première goutte
Produit
I’intervallel) aux températures2) de I’extrémitb
du réfrigérant
OC OC min
24 à 78 0,030 (1 013-p) 7à 12
Acétate de méthyle
48à 102 0,031 (1 013-p) 7à 12
Acétate d’éthyle
72 à 126 0,032 (1 013-p) 7à 12
Acétate d’isopropyle
98 à 152 10 à 15
Acétate d’isobutyle 0,034 (1 013-p)
98 à 152 0,037 (1 013-p) 10 à 15
Acétate de butyle
Acétates d’isopentyle et
123 à 177 0,038 (1 013-p) 10 à 15
de pentyle
1) Ou toute autre échelle convenable. Les intervalles de température, indiqués à titre d’exemple, sont extraits
de la norme ASTM E 1.
2) p est la pression atmosphérique, en millibars. Si la pression p est mesurée en pascals (ou en kilopascals),
multiplier la valeur par 0,Ol (ou par 10) pour la convertir en millibars.
Les facteurs qui multiplient les valeurs de la pression atmosphérique corrigée, représentent les coefficients de
variation du point de distillation des produits indiqués en fonction de la pression atmosphérique, en millibars.
10 Détermination de l’acidité - Méthode
10.2 Réactifs
titrimétrique
Au cours de.l’analyse, utiliser uniquement des réactifs de qua-
lité analytique reconnue, et de l’eau distillée ou de l’eau de
10.1 Principe
pureté équivalente.
Dilution d’une prise d’essai avec de I’éthanol à 95 % (V/ v) et
10.2.1 Éthanol, à 95 % WV).
titrage de l’acidité avec une solution titrée d’hydroxyde de
sodium, en présence d’un indicateur.
10.2.2 Hydroxyde de sodium, solution titrée,
c(NaOH) = Of1 mol/l.
Deux cas sont prévus:
-
acétates de méthyle et d’éthyle: titrage de l’acidité à
10.2.3 Rouge de phénol, solution éthanolique à Of2 g/l.
0 OC, en présence de rouge de phénol comme indicateur;
Chauffer Of05 g de rouge de phénol avec 2’85 ml d’une solution
-
acétates d’isopr
...
Norme internationale
INTERNATIONAL ORGANlZATlON FOR STANDARDIZATION.ME)KLIYHAPOflHAR OPrAHH3AUMR IlO CTAHL\APTH3AUHM~RGANISATION INTERNATIONALE DE NORMALISATION
Acétates solvants à usage industriel - Méthodes d’essai
Solvent acetates for industrial use - Methods of test
Première édition - 1983-11-15
-
L CDU 661.731 : 531.75 : 543
Réf. no-: ISO 1386-1983 (FI
Descripteurs : produit industriel,
acétate, acétate solvant, essai, détermination, acidité, dosage, ester, méthode volumétrique.
v,
Prix basé sur 4 pages
Avant-propos
L’ISO (Organisation internationale de normalisation) est une fédération mondiale
d’organismes nationaux de normalisation (comités membres de I’ISO). L’élaboration
des Normes internationales est confiée aux comités techniques de I’ISO. Chaque
comité membre intéressé par une étude a le droit de faire partie du comité technique
correspondant. Les organisations internationales, gouvernementales et non gouverne-
mentales, en liaison avec I’ISO, participent également aux travaux.
Les projets de Normes internationales adoptés par les comités techniques sont soumis
aux comités membres pour approbation, avant leur acceptation comme Normes inter-
nationales par le Conseil de I’ISO.
La Norme internationale ISO 1386 a été élaborée par le comité technique ISO/TC 47,
Chimie. Elle résulte de la fusion en un seul document des projets de Normes internatio-
nales ISO/DIS 1386/1, ISO/DIS 1386/2 et ISO/DIS 1386/3, qui ont été soumis aux
comités membres en septembre 1982, et ont été approuvés par les comités membres
des pays suivants:
Afrique du Sud, Rép. d’
Égypte, Rép. arabe d’ Pays-Bas (DIS 1386/2
Allemagne, R.F.
France et 1386/3)
Australie Hongrie Pologne
Autriche
Inde Portugal
Belgique Italie Roumanie
Bulgarie Suisse
Nigeria
Chine (DIS X386/2) Nouvelle-Zélande Tchécoslovaquie
Corée, Rép. de (DIS 1386/3)
Le comité membre du pays suivant a désapprouvé le projet ISO/DIS 1386/1 pour des
raisons techniques :
Pays-Bas
Aucun comité membre n’a désapprouvé les parties 2 et 3 du projet.
Cette Norme internationale annule et remplace la Recommandation ISO/R 1386-1970,
dont elle constitue une révision technique.
0 Organisation internationale de normalisation, 1983
Imprimé en Suisse
ISO 1386-1983 (FI
NORME INTERNATIONALE
Acétates solvants à usage industriel - Méthodes d’essai
- Dosage des esters - Méthode titrimétrique après
1 Objet et domaine d’application
saponification
La présente Norme internationale donne des instructions géné-
rales et spécifie des méthodes d’essai pour l’analyse des acéta-
2 Références
tes solvants les plus fréquemment utilisés dans l’industrie.
Les méthodes d’essai relatives aux acétates solvants à usage ISO 758, Produits chimiques liquides a usage industriel -
Détermination de la masse volumique a 20 OC.
industriel sont les suivantes :
-
ISO 759, Liquides organiques volatrIs a usage industriel -
Détermination de la masse volumique à 20 OC
Détermination du résidu sec apres évaporation sur bain d’eau
- Methode générale.
- Détermination du résidu sec après évaporation sur bain
d’eau
ISO 760, Dosage de /‘eau - Méthode de Karl Fischer (Methode
- Détermination de la coloration générale).
ISO 918, Liquides organiques volatlics a usage industriel -
- Détermination des caractéristiques de distillation
De termina tion des carat teris tiques de distillation.
- Dosage de l’eau
ISO 2211, Produits chimiques liquides - Determination de la
coloration en unités Hazen (Échelle platine-cobalt).
- Détermination de l’acidité - Méthode titrimétrique
Instructions générales
a) identification de l’échantillon;
3 Échantillonnagel)
Placer l’échantillon pour laboratoire dans un flacon en verre,
b) référence de la méthode utilisée;
propre, sec et étanche, à bouchon rodé, ou dans un flacon
muni d’un bouchon à vis avec un joint d’étanchéité en matiére
plastique inerte. Le flacon doit être de capacité telle qu’il soit
c) résultats, ainsi que la forme sous laquelle ils sont
presque entierement rempli par l’échantillon. S’il a été néces-
exprimés;
saire de sceller le flacon, prendre soin d’éviter tout risque de
contamination de son contenu.
d) compte rendu de tous détails particuliers éventuels rele-
NOTE - Un échantillon non inférieur à 500 ml est nécessaire pour
vés au cours de l’essai;
effectuer la série des essais spécifiés pour ces produits.
e) compte rendu de toutes opérations non prévues dans la
4 Procès-verbal d’essai
présente Norme internationale ou dans les Normes interna-
Le procès-verbal d’essai, pour chaque détermination, doit con- tionales auxquelles il est fait référence, ou de toutes opéra-
tenir les indications ci-contre : tions facultatives.
1) L’échantillonnage des produits chimiques liquides à usage industriel fera l’objet d’une Norme internationale ultérieure.
Iso 13864983 (F)
Méthodes d’essai
8 Détermination des caractéristiques de
5 Détermination de la masse volumique
distillation
à 20 OC
Utiliser la méthode spécifiée dans I’ISO 918, en y apportant les
modifications suivantes particulières aux acétates solvants.
Utiliser la méthode spécifiée dans I’ISO 758.
8.1 Thermomètre (voir ISO 918, paragraphe 5.1.2)’ cou-
vrant un intervalle approprié au produit à soumettre à l’essai
(voir tableau 1).
6 Détermination du résidu sec après
évaporation sur bain d’eau
8.2 Correction à apporter aux températures
Utiliser la méthode spécifiée dans I’ISO 759.
Calculer cette correction en utilisant la formule appropriée don-
née dans le tableau et l’ajouter algébriquement au résultat (voir
ISO 918, paragraphe 9.2.2).
7 Détermination de la coloration
9 Dosage de l’eau
Utiliser l’une des méthodes spécifiées dans I’ISO 760.
Utiliser la méthode spécifiée dans I’ISO 2211 l
Tableau 1
t
Intervalle de temps
Échelle thermo- Correction pour la chute de
métrique couvrant à apporter la première goutte
Produit
I’intervallel) aux températures2) de I’extrémitb
du réfrigérant
OC OC min
24 à 78 0,030 (1 013-p) 7à 12
Acétate de méthyle
48à 102 0,031 (1 013-p) 7à 12
Acétate d’éthyle
72 à 126 0,032 (1 013-p) 7à 12
Acétate d’isopropyle
98 à 152 10 à 15
Acétate d’isobutyle 0,034 (1 013-p)
98 à 152 0,037 (1 013-p) 10 à 15
Acétate de butyle
Acétates d’isopentyle et
123 à 177 0,038 (1 013-p) 10 à 15
de pentyle
1) Ou toute autre échelle convenable. Les intervalles de température, indiqués à titre d’exemple, sont extraits
de la norme ASTM E 1.
2) p est la pression atmosphérique, en millibars. Si la pression p est mesurée en pascals (ou en kilopascals),
multiplier la valeur par 0,Ol (ou par 10) pour la convertir en millibars.
Les facteurs qui multiplient les valeurs de la pression atmosphérique corrigée, représentent les coefficients de
variation du point de distillation des produits indiqués en fonction de la pression atmosphérique, en millibars.
10 Détermination de l’acidité - Méthode
10.2 Réactifs
titrimétrique
Au cours de.l’analyse, utiliser uniquement des réactifs de qua-
lité analytique reconnue, et de l’eau distillée ou de l’eau de
10.1 Principe
pureté équivalente.
Dilution d’une prise d’essai avec de I’éthanol à 95 % (V/ v) et
10.2.1 Éthanol, à 95 % WV).
titrage de l’acidité avec une solution titrée d’hydroxyde de
sodium, en présence d’un indicateur.
10.2.2 Hydroxyde de sodium, solution titrée,
c(NaOH) = Of1 mol/l.
Deux cas sont prévus:
-
acétates de méthyle et d’éthyle: titrage de l’acidité à
10.2.3 Rouge de phénol, solution éthanolique à Of2 g/l.
0 OC, en présence de rouge de phénol comme indicateur;
Chauffer Of05 g de rouge de phénol avec 2’85 ml d’une solution
-
acétates d’isopr
...












Questions, Comments and Discussion
Ask us and Technical Secretary will try to provide an answer. You can facilitate discussion about the standard in here.
Loading comments...