ISO 1825:2026
(Main)Rubber hoses and hose assemblies for aircraft ground fuelling and defuelling — Specification
Rubber hoses and hose assemblies for aircraft ground fuelling and defuelling — Specification
This document specifies the dimensions and construction of, and requirements for, four types of hose and hose assembly for use in all operations associated with the ground fuelling and defuelling of aircraft. All four types are designed for: use with petroleum fuels having an aromatic-hydrocarbon content not exceeding 30 % by volume; operation within the temperature range of −30 °C to +65 °C and such that they will be undamaged by climatic conditions of −40 °C to +70 °C when stored in static conditions. For LT hose, the temperature range of −40 °C to +65 °C and such that they will be undamaged by climatic conditions of −48 °C to +70 °C when stored in static conditions; operation at up to 2,0 MPa (20 bar) maximum working pressure, including surges of pressure which the hose can be subjected to in service.
Tuyaux et flexibles en caoutchouc pour le ravitaillement carburant et la vidange des avions au sol — Spécifications
Le présent document spécifie les dimensions et la construction de, et les exigences pour, quatre types de tuyaux et d'assemblages flexibles destinés à être utilisés pour toutes les opérations de ravitaillement et de déchargement de carburant des avions au sol. Les quatre types sont conçus pour: être utilisés avec des carburants à base de pétrole dont la teneur en hydrocarbures aromatiques ne dépasse pas 30 % en volume; fonctionner dans une plage de température de –30 °C à +65 °C et être ne pas être endommagés dans des conditions climatiques de –40 °C à +70 °C lorsqu’ils sont stockés en condition statique. Pour le tuyau LT, fonctionner dans une plage de température de −40 °C à +65 °C et ne pas être endommagés dans des conditions climatiques de −48 °C à +70 °C lorsqu’ils sont stockés en condition statique; fonctionner jusqu’à une pression maximale de service de 2,0 MPa (20 bar), y compris les surpressions auxquelles le tuyau peut être soumis en service.
General Information
- Status
- Published
- Publication Date
- 24-Feb-2026
- Technical Committee
- ISO/TC 45/SC 1 - Rubber and plastics hoses and hose assemblies
- Drafting Committee
- ISO/TC 45/SC 1 - Rubber and plastics hoses and hose assemblies
- Current Stage
- 6060 - International Standard published
- Start Date
- 25-Feb-2026
- Due Date
- 17-Jan-2026
- Completion Date
- 25-Feb-2026
Relations
- Effective Date
- 12-Feb-2026
- Effective Date
- 28-Jan-2023
- Effective Date
- 28-Jan-2023
Overview
ISO/FDIS 1825:2025 sets the international specifications for rubber hoses and hose assemblies used in the ground fuelling and defuelling of aircraft. This standard defines the dimensions, construction, materials, physical and electrical properties, and testing criteria for four specialized hose types designed to handle aviation fuels safely and efficiently. It addresses operational requirements for hoses dealing with petroleum fuels containing up to 30% aromatic hydrocarbons and outlines their performance under a wide temperature range and pressure conditions. The standard ensures hoses meet rigorous safety and durability standards, crucial for the aviation fuel handling industry.
Key Topics
Types and Classifications
ISO 1825 categorizes hoses into four types-B, C, E, and F-each designed with specific electrical and mechanical characteristics for different aircraft refuelling applications. Two temperature classes cover normal and low temperature operations, ensuring durability from −40 °C to +65 °C operation, and storage resistance from −48 °C to +70 °C.Dimensions and Construction
The standard specifies precise dimensions including inside diameters, wall thickness, and tolerances to ensure hoses fit uniformly with ground fuelling equipment. Construction mandates materials and layering that resist fuel contamination, ozone, abrasion, and mechanical stress, including reinforced wire helixes and conductive layers for static dissipation.Physical and Electrical Properties
Hose rubber compounds must pass stringent tests for tensile strength, flexibility, cold embrittlement, adhesion, and crush recovery. Electrical properties are critical, with some hose types electrically bonded through metallic wiring and others electrically conductive via specialized rubber compounds to prevent static electricity build-up during fuel transfer.Testing and Quality Assurance
The document details frequency and procedures for type tests, routine acceptance tests, and additional assessments such as flammability, vacuum resistance, hydrostatic pressure, and cyclic kinking. Marking requirements and documentation protocols ensure full traceability and compliance verification.
Applications
This ISO standard is pivotal for manufacturers, suppliers, and users of rubber hoses in the aerospace sector, particularly in:
Aircraft Ground Fuelling Operations
Ensuring fuel delivery and defuelling hoses comply with safety, pressure, and temperature requirements minimizes risks associated with aviation fuel handling on airport ramps.Fuel Handling Equipment
Hose assemblies are commonly used on refuelling vehicles, rail cars, and fueller trailers, where reliability and resistance to mechanical and environmental stress are mandatory.Maintenance and Safety Audits
Operators and maintenance teams use ISO 1825 to establish performance baselines, select appropriate hose types, and conduct inspections ensuring hose integrity over operational lifetimes.Regulatory Compliance
Adoption of ISO 1825 supports compliance with national regulations that reference international standards for aviation fuelling equipment, enhancing interoperability and safety.
Related Standards
ISO/FDIS 1825 complements and aligns with several global standards relevant to rubber hoses, fuel handling, and safety:
- ISO 37, ISO 188 - Rubber tensile and aging tests for material durability evaluation.
- ISO 1817:2024 - Determining effects of liquids on rubber, critical for fuel resistance assessment.
- ISO 1382, ISO 8330 - Terminology and vocabulary standards providing clear definitions in hose manufacture and use.
- ISO 8031, ISO 8033 - Methods for evaluating electrical conductivity and adhesion, essential for safe static electricity management.
- EI 1529 - Industry guidelines on aviation fuel hose specifications, harmonized with ISO 1825 for global applicability.
By adhering to ISO/FDIS 1825, stakeholders in the aviation fuelling sector ensure high-quality, safe, and efficient rubber hoses and hose assemblies tailored for demanding operational conditions while facilitating international trade and compliance.
Buy Documents
ISO 1825:2026 - Rubber hoses and hose assemblies for aircraft ground fuelling and defuelling — Specification
ISO 1825:2026 - Tuyaux et flexibles en caoutchouc pour le ravitaillement carburant et la vidange des avions au sol — Spécifications
Get Certified
Connect with accredited certification bodies for this standard

Smithers Quality Assessments
US management systems and product certification.

DEKRA North America
DEKRA certification services in North America.
Eagle Registrations Inc.
American certification body for aerospace and defense.
Sponsored listings
Frequently Asked Questions
ISO 1825:2026 is a standard published by the International Organization for Standardization (ISO). Its full title is "Rubber hoses and hose assemblies for aircraft ground fuelling and defuelling — Specification". This standard covers: This document specifies the dimensions and construction of, and requirements for, four types of hose and hose assembly for use in all operations associated with the ground fuelling and defuelling of aircraft. All four types are designed for: use with petroleum fuels having an aromatic-hydrocarbon content not exceeding 30 % by volume; operation within the temperature range of −30 °C to +65 °C and such that they will be undamaged by climatic conditions of −40 °C to +70 °C when stored in static conditions. For LT hose, the temperature range of −40 °C to +65 °C and such that they will be undamaged by climatic conditions of −48 °C to +70 °C when stored in static conditions; operation at up to 2,0 MPa (20 bar) maximum working pressure, including surges of pressure which the hose can be subjected to in service.
This document specifies the dimensions and construction of, and requirements for, four types of hose and hose assembly for use in all operations associated with the ground fuelling and defuelling of aircraft. All four types are designed for: use with petroleum fuels having an aromatic-hydrocarbon content not exceeding 30 % by volume; operation within the temperature range of −30 °C to +65 °C and such that they will be undamaged by climatic conditions of −40 °C to +70 °C when stored in static conditions. For LT hose, the temperature range of −40 °C to +65 °C and such that they will be undamaged by climatic conditions of −48 °C to +70 °C when stored in static conditions; operation at up to 2,0 MPa (20 bar) maximum working pressure, including surges of pressure which the hose can be subjected to in service.
ISO 1825:2026 is classified under the following ICS (International Classification for Standards) categories: 49.100 - Ground service and maintenance equipment; 83.140.40 - Hoses. The ICS classification helps identify the subject area and facilitates finding related standards.
ISO 1825:2026 has the following relationships with other standards: It is inter standard links to FprEN ISO 1825, ISO 23906-1:2020, ISO 1825:2017. Understanding these relationships helps ensure you are using the most current and applicable version of the standard.
ISO 1825:2026 is available in PDF format for immediate download after purchase. The document can be added to your cart and obtained through the secure checkout process. Digital delivery ensures instant access to the complete standard document.
Standards Content (Sample)
International
Standard
ISO 1825
Fifth edition
Rubber hoses and hose assemblies
2026-02
for aircraft ground fuelling and
defuelling — Specification
Tuyaux et flexibles en caoutchouc pour le ravitaillement
carburant et la vidange des avions au sol — Spécifications
Reference number
© ISO 2026
All rights reserved. Unless otherwise specified, or required in the context of its implementation, no part of this publication may
be reproduced or utilized otherwise in any form or by any means, electronic or mechanical, including photocopying, or posting on
the internet or an intranet, without prior written permission. Permission can be requested from either ISO at the address below
or ISO’s member body in the country of the requester.
ISO copyright office
CP 401 • Ch. de Blandonnet 8
CH-1214 Vernier, Geneva
Phone: +41 22 749 01 11
Email: copyright@iso.org
Website: www.iso.org
Published in Switzerland
ii
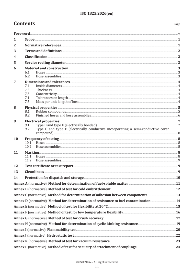
Contents Page
Foreword .v
1 Scope . 1
2 Normative references . 1
3 Terms and definitions . 2
4 Classification . 2
5 Service reeling diameter . 3
6 Material and construction . 3
6.1 Hoses .3
6.2 Hose assemblies .3
7 Dimensions and tolerances . 4
7.1 Inside diameters.4
7.2 Thickness .4
7.3 Concentricity .4
7.4 Tolerances on length.4
7.5 Mass per unit length of hose .4
8 Physical properties . 5
8.1 Rubber compounds .5
8.2 Finished hoses and hose assemblies .6
9 Electrical properties . 7
9.1 Type B and type E (electrically bonded) .7
9.2 Type C and type F (electrically conductive incorporating a semi-conductive cover
compound) .8
10 Frequency of testing . . 8
10.1 Hoses .8
10.2 Hose assemblies .8
11 Marking . . 8
11.1 Hoses .8
11.2 Hose assemblies .9
12 Test certificate or test report . 9
13 Cleanliness . 9
14 Protection for dispatch and storage .10
Annex A (normative) Method for determination of fuel-soluble matter .11
Annex B (normative) Method of test for cold embrittlement .12
Annex C (normative) Method for determination of adhesion between components .13
Annex D (normative) Method for determination of resistance to fuel contamination . 14
Annex E (normative) Method of test for flexibility at 20 °C .15
Annex F (normative) Method of test for low temperature flexibility .16
Annex G (normative) Method of test for crush recovery . 17
Annex H (normative) Method for determination of cyclic kinking resistance . 19
Annex I (normative) Flammability test .20
Annex J (normative) Hydrostatic test .22
Annex K (normative) Method of test for vacuum resistance .23
Annex L (normative) Method of test for security of attachment of couplings .24
iii
Annex M (normative) Type test and routine test .25
Annex N (informative) Recommended practice for hose flushing and handling .26
Bibliography .28
iv
Foreword
ISO (the International Organization for Standardization) is a worldwide federation of national standards
bodies (ISO member bodies). The work of preparing International Standards is normally carried out through
ISO technical committees. Each member body interested in a subject for which a technical committee
has been established has the right to be represented on that committee. International organizations,
governmental and non-governmental, in liaison with ISO, also take part in the work. ISO collaborates closely
with the International Electrotechnical Commission (IEC) on all matters of electrotechnical standardization.
The procedures used to develop this document and those intended for its further maintenance are described
in the ISO/IEC Directives, Part 1. In particular, the different approval criteria needed for the different types
of ISO document should be noted. This document was drafted in accordance with the editorial rules of the
ISO/IEC Directives, Part 2 (see www.iso.org/directives).
ISO draws attention to the possibility that the implementation of this document may involve the use of (a)
patent(s). ISO takes no position concerning the evidence, validity or applicability of any claimed patent
rights in respect thereof. As of the date of publication of this document, ISO had not received notice of (a)
patent(s) which may be required to implement this document. However, implementers are cautioned that
this may not represent the latest information, which may be obtained from the patent database available at
www.iso.org/patents. ISO shall not be held responsible for identifying any or all such patent rights.
Any trade name used in this document is information given for the convenience of users and does not
constitute an endorsement.
For an explanation of the voluntary nature of standards, the meaning of ISO specific terms and expressions
related to conformity assessment, as well as information about ISO's adherence to the World Trade
Organization (WTO) principles in the Technical Barriers to Trade (TBT), see www.iso.org/iso/foreword.html.
This document was prepared by Technical Committee ISO/TC 45, Rubber and rubber products, Subcommittee
SC 1, Rubber and plastics hoses and hose assemblies, in collaboration with the European Committee for
Standardization (CEN) Technical Committee CEN/TC 218, Rubber and plastics hoses and hose assemblies, in
accordance with the Agreement on technical cooperation between ISO and CEN (Vienna Agreement).
This fifth edition cancels and replaces the fourth edition (ISO 1825:2017), which has been technically
revised.
The main changes compared to the previous edition are as follows:
— addition of two temperature classes (to bring the document in line with EI 1529);
— addition of nominal sizes 51 and 75;
— removal of the working pressure test in Table 6 and Annex J (to bring the document in line with EI 1529);
— modification of the ozone resistance at 1 ppm instead of 0,5 ppm to align with EI 1529;
— removal of tests for production acceptance;
— revision of Annexes F and G (to bring the document in line with EI 1529);
— revision of the method specified in Annex L.
Any feedback or questions on this document should be directed to the user’s national standards body. A
complete listing of these bodies can be found at www.iso.org/members.html.
v
International Standard ISO 1825:2026(en)
Rubber hoses and hose assemblies for aircraft ground
fuelling and defuelling — Specification
1 Scope
This document specifies the dimensions and construction of, and requirements for, four types of hose and
hose assembly for use in all operations associated with the ground fuelling and defuelling of aircraft.
All four types are designed for:
a) use with petroleum fuels having an aromatic-hydrocarbon content not exceeding 30 % by volume;
b) operation within the temperature range of −30 °C to +65 °C and such that they will be undamaged by
climatic conditions of −40 °C to +70 °C when stored in static conditions. For LT hose, the temperature
range of −40 °C to +65 °C and such that they will be undamaged by climatic conditions of −48 °C to
+70 °C when stored in static conditions;
c) operation at up to 2,0 MPa (20 bar) maximum working pressure, including surges of pressure which the
hose can be subjected to in service.
2 Normative references
The following documents are referred to in the text in such a way that some or all of their content constitutes
requirements of this document. For dated references, only the edition cited applies. For undated references,
the latest edition of the referenced document (including any amendments) applies.
ISO 37, Rubber, vulcanized or thermoplastic — Determination of tensile stress-strain properties
ISO 188, Rubber, vulcanized or thermoplastic — Accelerated ageing and heat resistance tests
ISO 1382, Rubber — Vocabulary
ISO 1402, Rubber and plastics hoses and hose assemblies – Hydrostatic testing
ISO 1817:2024, Rubber, vulcanized or thermoplastic — Determination of the effect of liquids
ISO 4649:2024, Rubber, vulcanized or thermoplastic — Determination of abrasion resistance using a rotating
cylindrical drum device
ISO 4671, Rubber and plastics hoses and hose assemblies — Methods of measurement of the dimensions of hoses
and the lengths of hose assemblies
ISO 6246, Petroleum products — Gum content of fuels — Jet evaporation method
ISO 7326, Rubber and plastics hoses — Assessment of ozone resistance under static conditions
ISO 7989-1, Steel wire and wire products — Non-ferrous metallic coatings on steel wire — Part 1: General
principles
ISO 7989-2, Steel wire and wire products — Non-ferrous metallic coatings on steel wire — Part 2: Zinc or zinc-
alloy coating
ISO 8031, Rubber and plastics hoses and hose assemblies — Determination of electrical resistance and
conductivity
ISO 8033, Rubber and plastics hoses — Determination of adhesion between components
ISO 8330, Rubber and plastics hoses and hose assemblies — Vocabulary
ISO 10619-2:2021, Rubber and plastics hoses and tubing — Measurement of flexibility and stiffness — Part 2:
Bending tests at sub-ambient temperatures
3 Terms and definitions
For the purposes of this document, the terms and definitions given in ISO 1382 and ISO 8330 and the
following apply.
ISO and IEC maintain terminology databases for use in standardization at the following addresses:
— ISO Online browsing platform: available at https:// www .iso .org/ obp
— IEC Electropedia: available at https:// www .electropedia .org/
3.1
hose assembly
hose with either permanent or reusable end fittings attached
3.2
electrically bonded
hose or hose assembly (3.1) that uses a metallic wire connection to conduct static electricity
3.3
electrically conductive
hose or hose assembly (3.1) that is capable of conducting static electrical charges, using a conductive rubber
layer
4 Classification
Hoses for this application are classified into four types and two grades according to their construction and
electrical properties given in Table 1. Each type of hose shall be divided into two temperature classes.
— Normal temperature class with an ambient working temperature of –30 °C to +65 °C.
— Low temperature class (LT) with an ambient working temperature of –40 °C to +65 °C.
Table 1 — Classification
Type Grade Construction
B M Electrically bonded, incorporating at least two low-resistance electrically conductive wires
and a conductive cover compound.
C Ω Electrically conductive, incorporating a conductive cover compound.
E M Electrically bonded, incorporating at least one metallic wire helix, at least two low-resist-
ance electrically conductive wires and a conductive cover compound. Has an enhanced
defuelling capability.
F Ω Electrically conductive, incorporating at least one non-electrically conductive non-metallic
helix and a conductive cover compound.
NOTE 1 Type C hoses are intended for general pressure applications on all vehicles used for plane fuelling. They can
also be used for vehicle/rail car loading and discharge where excessive vacuum does not occur.
NOTE 2 Type F hoses can be used for plane delivery applications on vehicles that are also used for defuelling at high
flow rates where type C hoses are not suitable.
NOTE 3 Type E and F hoses can also be used for vehicle/rail car loading and discharge, for trailer to fueller transfer
and for elevation platform supply (riser) to provide greater kink resistance.
5 Service reeling diameter
Hoses shall be designed for operation on equipment fitted with hose reels of the diameters given in Table 2.
These hoses remain substantially circular in cross-section when reeled on drums and should not be confused
with hoses of the collapsible type that are intended to be reeled flat.
Table 2 — Service reeling diameters
Minimum outside diameter of
Nominal size
reeling drum used in service
of hose
mm
19 225
25 300
31,5 375
32 375
38 450
50 550
51 550
63 600
75 600
76 600
100 900
101,5 900
6 Material and construction
6.1 Hoses
If the hose is mandrel-built and vulcanized on a mandrel, particulate-type release agents shall not be used.
The hose shall be uniform in quality and be free from porosity, air holes, foreign inclusions and other defects
when inspected visually.
The hose shall comprise the following components:
— a lining of synthetic rubber resistant to petroleum fuel;
— a reinforcement consisting of layers of woven, braided or spirally wound textile material;
— an outer cover made of synthetic rubber which shall be conductive and resistant to abrasion, outdoor
exposure and petroleum fuel.
For types E and F hoses only, an embedded helix reinforcement shall be included in the construction.
For type E hoses, the wire reinforcement used shall be a hard steel and shall have a galvanized finish in
accordance with ISO 7989-1 and ISO 7989-2.
Types B and E shall also incorporate low-resistance electrically conductive wires to ensure that the hoses
are electrically conductive.
The cover may have a shallow cloth-marked finish.
6.2 Hose assemblies
In order to produce the required electrical properties, the method of attachment of the couplings shall be in
accordance with Clause 9.
7 Dimensions and tolerances
7.1 Inside diameters
The diameters of the hoses shall be measured in accordance with the most appropriate method in ISO 4671.
The inside diameter shall lie within the tolerance limits specified in Table 3.
Table 3 — Nominal size, inside diameters and tolerances
Inside diameter Tolerance limits
Nominal size
mm mm
19 19,0 ±0,8
25 25,0 ±0,8
31,5 31,5 ±0,8
32 32,0 ±0,8
38 38,0 ±0,8
50 50,0 ±1,2
51 51,0 ±1,2
63 63,0 ±1,2
75 75,0 ±1,2
76 76,0 ±1,2
100 100,0 ±1,6
101,5 101,5 ±1,6
NOTE: Other diameters than listed in the table, can be agreed with the customer
7.2 Thickness
The thickness of the lining shall be measured in accordance with the most appropriate method in ISO 4671.
The thickness of the lining shall be not less than 1,6 mm.
The thickness of the cover shall be measured in accordance with the most appropriate method in ISO 4671.
The thickness of the cover shall be not less than 1,6 mm for hoses of nominal size less than 50 and not less
than 2,0 mm for hoses of nominal size 50 and greater.
7.3 Concentricity
The concentricity of the hose shall be determined in accordance with ISO 4671. The concentricity, based on a
total indicator reading between the inside diameter and the outside surface of the cover, shall be no greater
than 1,0 mm.
7.4 Tolerances on length
The tolerances on the measured length of hose or hose assembly shall be ±1 %.
7.5 Mass per unit length of hose
The maximum mass per unit length shall be as given in Table 4.
Table 4 — Mass per unit length of hose
Maximum mass per unit length of hose
Nominal size
Types B and C Types E and F
kg/m kg/m
19 0,9 1,1
25 1,1 1,5
31,5 1,4 1,9
32 1,4 1,9
38 1,7 2,2
50 2,7 3,0
51 2,7 3,0
63 3,5 4,0
75 4,0 4,7
76 4,0 4,7
100 6,5 7,5
101,5 6,5 7,5
8 Physical properties
8.1 Rubber compounds
The physical properties of the rubber compounds used for the lining and cover shall conform to the values
given in Table 5, and shall be tested by the methods listed in Table 5. For oil resistance of rubber compounds,
the test shall be carried out in accordance with ISO 1817 by immersion in the specified fluid by heated oven or
bath for the specified time and temperature listed in Table 5. Tests shall be carried out on test pieces or test
samples taken either from the hose or from separately vulcanized sheets, except for the cold embrittlement
and abrasion resistance tests which shall be carried out on moulded test pieces vulcanized to the same state
as the hose. The tests which shall be carried out for type testing and routine testing are given in Annex M.
Table 5 — Requirements for rubber compounds
Requirement
Property Unit Method of test
Lining Cover
Tensile strength, min. MPa 7,0 7,0 ISO 37
(dumb-bell test pieces)
Elongation at break, min. % 250 300 ISO 37
(dumb-bell test pieces)
Change in volume (swelling) in fuel, max. % 50 75 ISO 1817:2024, method B
(48 h at 40 °C in liquid B)
Fuel-soluble matter, max. % 4,0 Not Annex A
applicable
Normal temperature class 6,0
Low temperature class
Cold embrittlement No cracking No cracking Annex B
Abrasion resistance, max. mm 140 ISO 4649:2024, Method A
Not
Normal temperature class 200
applicable
Low temperature class
TTabablele 5 5 ((ccoonnttiinnueuedd))
Requirement
Property Unit Method of test
Lining Cover
Ageing ISO 188 (7 days at 70 °C)
(air-oven method)
Tensile strength change. from the origi- % ±30 ±30 ISO 37 (see above)
nal value
Elongation at break change from the % ±30 ±30 ISO 37 (see above)
original value
8.2 Finished hoses and hose assemblies
Finished hoses and hose assemblies shall meet the requirements specified in Table 6.
Table 6 — Requirements for finished hoses and hose assemblies
Property Requirement Method of test
Hose dimensions
Inside diameter See Table 3 ISO 4671
Lining thickness, min. 1,6 mm ISO 4671
Cover thickness, min. 1,6 mm (inside diameter < 50) ISO 4671
2,0 mm (inside diameter ≥ 50)
Concentricity, max. 1,0 mm ISO 4671
Length tolerances ±1 % ISO 4671
Mass per unit length, max. See Table 4
Hose tests
Adhesion between components 3,0 N/mm Annex C
(dry), min.
2,0 N/mm
After contact with fuel, min.
Fuel contamination, R , max. 10 mg/100 ml Annex D
e
Fuel discolouration Not less than +15 Saybolt for normal temper- Annex D
ature class
Not less than +10 Saybolt for low temperature
class
Ozone resistance No cracking observed under ×2 ISO 7326 (72h at 40 °C)
magnification
relative humidity (55 ± 10) %
ozone concentration
(1,00 ± 0,05) ppm
elongation 20 %
Flexibility No permanent deformation or visible
structural damage, no increase in
At 20 °C
electrical resistance outside the specified
At Low temperature
Annex E (20 °C)
limits, no impairment of electrical
Annex F
continuity and shall conform to the
proof-pressure requirements in Annex J
at (20 ± 5) °C
Crush recovery (type F only) Annex G
After 1 min Regains 90 % of original diameter
After 10 min Regains 95 % of original diameter
Shall comply with the proof-pressure
requirement in Annex J at (20 ± 5) °C
TTabablele 6 6 ((ccoonnttiinnueuedd))
Property Requirement Method of test
Cyclic kinking (types B and C only) No leakage at proof pressure at (20 ± 5) °C Annex H
No increase in electrical resistance or
impairment of electrical continuity
Any adhesion between components to be less
than 2,0 N/mm
Flammability Hose shall cease burning immediately on Annex I
removal of flame or there shall be no glowing
visible after 2 min.
Change in length at working pres- ≥0 % for all types Annex J, ISO 1402
sure
Change in length at proof pressure Types B and C: -7 % to +7 % Annex J, ISO 1402
(2 x working pressure)
Types E and F: -12 % to +12 %
Proof pressure At 4,0 MPa (40 bar): Annex J
No leakage or damage
No increase in electrical continuity or
resistance beyond the specified limits
Burst pressure, min. 8,0 MPa (80 bar) Annex J
Vacuum test Types B and C at 15 kPa (0,15 bar) absolute: Annex K
no visible structural damage
Types B and C at 85 kPa (0,85 bar) absolute:
loss of circularity not
...
Norme
internationale
ISO 1825
Cinquième édition
Tuyaux et flexibles en caoutchouc
2026-02
pour le ravitaillement carburant
et la vidange des avions au sol —
Spécifications
Rubber hoses and hose assemblies for aircraft ground fuelling
and defuelling — Specification
Numéro de référence
DOCUMENT PROTÉGÉ PAR COPYRIGHT
© ISO 2026
Tous droits réservés. Sauf prescription différente ou nécessité dans le contexte de sa mise en œuvre, aucune partie de cette
publication ne peut être reproduite ni utilisée sous quelque forme que ce soit et par aucun procédé, électronique ou mécanique,
y compris la photocopie, ou la diffusion sur l’internet ou sur un intranet, sans autorisation écrite préalable. Une autorisation peut
être demandée à l’ISO à l’adresse ci-après ou au comité membre de l’ISO dans le pays du demandeur.
ISO copyright office
Case postale 401 • Ch. de Blandonnet 8
CH-1214 Vernier, Genève
Tél.: +41 22 749 01 11
E-mail: copyright@iso.org
Web: www.iso.org
Publié en Suisse
ii
Sommaire Page
Avant-propos .v
1 Domaine d’application . 1
2 Références normatives . 1
3 Termes et définitions . 2
4 Classification . 2
5 Diamètres des tambours d'enroulement . 3
6 Matériaux et construction . 4
6.1 Tuyaux .4
6.2 Assemblages flexibles.4
7 Dimensions et tolérances. 4
7.1 Diamètres intérieurs .4
7.2 Épaisseur .5
7.3 Concentricité .5
7.4 Tolérance sur la longueur.5
7.5 Masse par unité de longueur du tuyau .5
8 Propriétés physiques . 5
8.1 Mélanges de caoutchouc .5
8.2 Tuyaux et assemblages flexibles finis .6
9 Propriétés électriques . 8
9.1 Type B et type E (liés électriquement) .8
9.2 Type C et type F (électriquement conducteurs comprenant un revêtement en mélange
semi-conducteur) .8
10 Fréquence des essais . 9
10.1 Tuyaux .9
10.2 Assemblages flexibles.9
11 Marquage . 9
11.1 Tuyaux .9
11.2 Assemblages flexibles.10
12 Rapport d'essai ou certificat d'essai .10
13 Propreté . 10
14 Protection pour expédition et stockage .10
Annexe A (normative) Méthode pour la détermination des matières solubles dans le carburant .11
Annexe B (normative) Méthode d'essai de fragilité à froid.12
Annexe C (normative) Méthode de détermination de l'adhérence entre éléments.13
Annexe D (normative) Méthode de détermination de la résistance à la contamination
du carburant . 14
Annexe E (normative) Méthode d'essai de flexibilité à 20 °C .15
Annexe F (normative) Méthode d'essai de flexibilité à basse température .16
Annexe G (normative) Méthode d'essai de résistance à l'écrasement . 17
Annexe H (normative) Méthode de détermination de la résistance au cycle de coquage . 19
Annexe I (normative) Essais d'inflammabilité .20
Annexe J (normative) Essais hydrostatiques . .22
Annexe K (normative) Méthode d'essai de résistance au vide .23
Annexe L (normative) Méthode d'essai de la sécurité de la fixation des raccordements .24
iii
Annexe M (normative) Essais de type et essais de routine .25
Annexe N (informative) Pratiques recommandées pour le rinçage et la manipulation des tuyaux .26
Bibliographie .28
iv
Avant-propos
L'ISO (Organisation internationale de normalisation) est une fédération mondiale d'organismes nationaux
de normalisation (comités membres de l'ISO). L'élaboration des Normes internationales est en général
confiée aux comités techniques de l'ISO. Chaque comité membre intéressé par une étude a le droit de faire
partie du comité technique créé à cet effet. Les organisations internationales, gouvernementales et non
gouvernementales, en liaison avec l'ISO participent également aux travaux. L'ISO collabore étroitement avec
la Commission électrotechnique internationale (IEC) en ce qui concerne la normalisation électrotechnique.
Les procédures utilisées pour élaborer le présent document et celles destinées à sa mise à jour sont
décrites dans les Directives ISO/IEC, Partie 1. Il convient, en particulier, de prendre note des différents
critères d'approbation requis pour les différents types de documents ISO. Le présent document a
été rédigé conformément aux règles de rédaction données dans les Directives ISO/IEC, Partie 2 (voir
www.iso.org/directives).
L’ISO attire l’attention sur le fait que la mise en application du présent document peut entraîner l’utilisation
d’un ou de plusieurs brevets. L’ISO ne prend pas position quant à la preuve, à la validité et à l’applicabilité de
tout droit de brevet revendiqué à cet égard. À la date de publication du présent document, l’ISO n'avait pas
reçu notification qu’un ou plusieurs brevets pouvaient être nécessaires à sa mise en application. Toutefois,
il y a lieu d’avertir les responsables de la mise en application du présent document que des informations
plus récentes sont susceptibles de figurer dans la base de données de brevets, disponible à l'adresse
www.iso.org/brevets. L’ISO ne saurait être tenue pour responsable de ne pas avoir identifié tout ou partie de
tels droits de propriété.
Les appellations commerciales éventuellement mentionnées dans le présent document sont données pour
information, par souci de commodité, à l’intention des utilisateurs et ne sauraient constituer un engagement.
Pour une explication de la nature volontaire des normes, la signification des termes et expressions
spécifiques de l'ISO liés à l'évaluation de la conformité, ou pour toute information au sujet de l'adhésion de
l'ISO aux principes de l’Organisation mondiale du commerce (OMC) concernant les obstacles techniques au
commerce (OTC), voir www.iso.org/avant-propos.
Le présent document a été élaboré par le comité technique ISO/TC 45, Élastomères et produits à base
d'élastomères, sous-comité SC 1, Tuyaux et flexibles en caoutchouc et en matière plastique en collaboration
avec le comité technique CEN/TC 218, Tuyaux et flexibles en caoutchouc et en plastique, du Comité européen
de normalisation (CEN) conformément à l’Accord de coopération technique entre l’ISO et le CEN (Accord de
Vienne).
Cette cinquième édition annule et remplace la quatrième édition (ISO 1825:2017), qui a fait l’objet d’une
révision technique.
Les principales modifications par rapport à la précédente édition sont les suivantes:
— ajout de deux classes de températures (pour mettre le document en conformité avec l’EI 1529);
— ajout des dimensions nominales 51 et 75;
— suppression de la pression de service d’essai dans le Tableau 6 et Annexe J (pour mettre le document en
conformité avec l’EI 1529);
— modification de la résistance à l'ozone à 1 ppm au lieu de 0,5 ppm pour s'aligner sur l'EI 1529;
— suppression des essais d’acceptation en production;
— révision des Annexes F et G (pour mettre le document en conformité avec l’EI 1529);
— révision de la méthode spécifiée dans l'AnnexeL.
Il convient que l’utilisateur adresse tout retour d’information ou toute question concernant le présent
document à l’organisme national de normalisation de son pays. Une liste exhaustive desdits organismes se
trouve à l’adresse www.iso.org/fr/members.html.
v
Norme internationale ISO 1825:2026(fr)
Tuyaux et flexibles en caoutchouc pour le ravitaillement
carburant et la vidange des avions au sol — Spécifications
1 Domaine d’application
Le présent document spécifie les dimensions et la construction de, et les exigences pour, quatre types de
tuyaux et d'assemblages flexibles destinés à être utilisés pour toutes les opérations de ravitaillement et de
déchargement de carburant des avions au sol.
Les quatre types sont conçus pour:
a) être utilisés avec des carburants à base de pétrole dont la teneur en hydrocarbures aromatiques ne
dépasse pas 30 % en volume;
b) fonctionner dans une plage de température de –30 °C à +65 °C et être ne pas être endommagés dans des
conditions climatiques de –40 °C à +70 °C lorsqu’ils sont stockés en condition statique. Pour le tuyau
LT, fonctionner dans une plage de température de −40 °C à +65 °C et ne pas être endommagés dans des
conditions climatiques de −48 °C à +70 °C lorsqu’ils sont stockés en condition statique;
c) fonctionner jusqu’à une pression maximale de service de 2,0 MPa (20 bar), y compris les surpressions
auxquelles le tuyau peut être soumis en service.
2 Références normatives
Les documents suivants sont cités dans le texte de sorte qu’ils constituent, pour tout ou partie de leur
contenu, des exigences du présent document. Pour les références datées, seule l’édition citée s’applique. Pour
les références non datées, la dernière édition du document de référence s'applique (y compris les éventuels
amendements).
ISO 37, Caoutchouc vulcanisé ou thermoplastique — Détermination des caractéristiques de contrainte-
déformation en traction
ISO 188, Caoutchouc vulcanisé ou thermoplastique — Essais de résistance au vieillissement accéléré et à la
chaleur
ISO 1382, Caoutchouc — Vocabulaire
ISO 1402, Tuyaux et flexibles en caoutchouc et en plastique — Essais hydrostatiques
ISO 1817:2024, Caoutchouc vulcanisé ou thermoplastique — Détermination de l'action des liquides
ISO 4649:2024, Caoutchouc vulcanisé ou thermoplastique — Détermination de la résistance à l'abrasion à l'aide
d'un dispositif à tambour tournant
ISO 4671, Tuyaux et flexibles en caoutchouc et en plastique — Méthodes de mesurage des dimensions des tuyaux
et de la longueur des flexibles
ISO 6246, Produits pétroliers — Teneur en gommes des carburants — Méthode d'évaporation au jet
ISO 7326, Tuyaux en caoutchouc et en plastique — Évaluation de la résistance à l'ozone dans des conditions
statiques
ISO 7989-1, Fils et produits tréfilés en acier — Revêtements métalliques non ferreux sur fils d'acier — Partie 1:
Principes généraux
ISO 7989-2, Fils et produits tréfilés en acier — Revêtements métalliques non ferreux sur fils d'acier — Partie 2:
Revêtements de zinc ou d'alliages de zinc
ISO 8031, Tuyaux et flexibles en caoutchouc et en plastique — Détermination de la résistance et de la conductivité
électriques
ISO 8033, Tuyaux en caoutchouc et en plastique — Détermination de l'adhérence entre éléments
ISO 8330, Tuyaux et flexibles en caoutchouc et en plastiques — Vocabulaire
ISO 10619-2:2021, Tuyaux et tubes en caoutchouc et en plastique — Mesurage de la flexibilité et de la rigidité —
Partie 2: Essais de courbure à des températures inférieures à l'ambiante
3 Termes et définitions
Pour les besoins du présent document, les termes et définitions de l’ISO 1382 et l’ISO 8330 ainsi que les
suivants s’appliquent.
L’ISO et l’IEC tiennent à jour des bases de données terminologiques destinées à être utilisées en normalisation,
consultables aux adresses suivantes:
— ISO Online browsing platform: disponible à l’adresse https:// www .iso .org/ obp
— IEC Electropedia: disponible à l’adresse https:// www .electropedia .org/
3.1
assemblage flexible
tuyau équipé avec des extrémités de raccordement permanentes ou réutilisables
3.2
lié électriquement
tuyau ou assemblage flexible (3.1) utilisant une connexion via un fil métallique pour conduire l’électricité
statique
3.3
électriquement conducteur
tuyau ou assemblage flexible (3.1) pouvant transmettre des charges d’électricité statique, à l'aide d'un
revêtement de caoutchouc conducteur
4 Classification
Les tuyaux destinés à cette application sont classés en quatre types en fonction de leur construction et de
leurs caractéristiques électriques données dans le Tableau 1. Chaque type de tuyau doit être divisé en deux
classes de température:
— Classe de température normale avec une température ambiante de service de –30 °C à +65 °C.
— Classe basse température (LT) avec une température ambiante de service de –40 °C à +65 °C.
Tableau 1 — Classification
Type Qualité Construction
B M Lié électriquement, comprenant au moins deux fils électriques conducteurs à basse résis-
tance et un mélange de revêtement conducteur.
C Ω Électriquement conducteur, comprenant un mélange de revêtement conducteur.
E M Lié électriquement, comprenant au moins une spire métallique, au moins deux fils élec-
triques conducteurs à basse résistance et un mélange de revêtement conducteur. Possède
une capacité de déchargement accrue.
F Ω Électriquement conducteur, comprenant au moins une hélice non métallique et non conduc-
trice ainsi qu’un mélange de revêtement conducteur.
NOTE 1 Les tuyaux de type C sont destinés aux applications générales pour tout véhicule utilisé pour le
ravitaillement en carburant des avions. Ils peuvent aussi être utilisés pour le remplissage et le déchargement de
citerne/wagon lorsqu’il n’y a pas de vide excessif.
NOTE 2 Les tuyaux de type F peuvent être utilisés pour la livraison de carburant aux avions sur des véhicules
utilisés aussi pour le déchargement à haut débit lorsque les types C ne conviennent pas.
NOTE 3 Les tuyaux de type E et F peuvent aussi être utilisés pour le remplissage et le déchargement de citerne/
wagon, pour les remorques à transfert de carburant et pour les plates formes élévatrices afin d’avoir une meilleure
résistance au coquage.
5 Diamètres des tambours d'enroulement
Les tuyaux doivent être conçus pour fonctionnement sur des dispositifs équipés de tambours dont les
diamètres sont donnés au Tableau 2.
Ces tuyaux conservent une section quasi circulaire lorsqu’ils sont enroulés sur tambours et il convient de ne
pas les confondre avec les tuyaux de type écrasable qui sont prévus pour être enroulés à plat.
Tableau 2 — Diamètre des tambours d'enroulement
Diamètre extérieur minimum des
tambours d'enroulement utilisés
Dimension nominale du tuyau
en service
mm
19 225
25 300
31,5 375
32 375
38 450
50 550
51 550
63 600
75 600
76 600
100 900
101,5 900
6 Matériaux et construction
6.1 Tuyaux
Si le tuyau est construit et vulcanisé sur un mandrin, les agents de démoulage particulaires ne doivent pas
être utilisés. Le tuyau doit être de qualité uniforme et exempt de porosités, de trous d'air, d’impuretés et de
tous autres défauts lors d’une inspection visuelle.
Le tuyau doit comporter les éléments suivants:
— un tube intérieur en caoutchouc synthétique résistant au carburant pétrolier;
— un renforcement constitué de couches de textile tissé, tressé ou spiralé;
— un revêtement extérieur constitué de caoutchouc synthétique qui doit être conducteur et résistant à
l'abrasion, à l'exposition extérieure et au carburant pétrolier.
Pour les tuyaux de types E et F uniquement, un renforcement hélicoïdal incorporé doit être inclus dans
la construction. Pour les tuyaux de type E, le fil de renfort doit être en acier dur et doit avoir une finition
galvanisée conformément à l’ISO 7989-1 et l'ISO 7989-2.
Les types B et E doivent également incorporer des fils électriques conducteurs à basse résistance pour
permettre aux tuyaux d’être électriquement conducteurs.
Le revêtement peut avoir une légère finition grain toile.
6.2 Assemblages flexibles
Afin d’obtenir les caractéristiques électriques exigées, le mode de fixation des embouts doit être conforme à
l’Article 9.
7 Dimensions et tolérances
7.1 Diamètres intérieurs
Les diamètres des tuyaux doivent être mesurés conformément à la méthode la plus appropriée de l'ISO 4671.
Le diamètre intérieur doit se situer dans les limites de tolérance spécifiées dans le Tableau 2.
Tableau 3 — Dimension nominale, diamètres intérieurs et tolérances
Diamètre intérieur Limites de tolérance
Dimension nominale
mm mm
19 19,0 ±0,8
25 25,0 ±0,8
31,5 31,5 ±0,8
32 32,0 ±0,8
38 38,0 ±0,8
50 50,0 ±1,2
51 51,0 ±1,2
63 63,0 ±1,2
75 75,0 ±1,2
76 76,0 ±1,2
100 100,0 ±1,6
101,5 101,5 ±1,6
NOTE: D'autres diamètres que ceux indiqués dans le tableau peuvent faire l'objet d'un accord avec le client.
7.2 Épaisseur
L'épaisseur du tube intérieur doit être mesurée conformément à la méthode la plus appropriée de l'ISO 4671.
L'épaisseur du tube intérieur ne doit pas être inférieure à 1,6 mm.
L'épaisseur du revêtement doit être mesurée conformément à la méthode la plus appropriée de l'ISO 4671.
L'épaisseur du revêtement ne doit pas être inférieure à 1,6 mm pour les tuyaux de dimension nominale
inférieure à 50, et ne doit pas être inférieure à 2,0 mm pour les tuyaux de dimension nominale supérieure ou
égale à 50.
7.3 Concentricité
La concentricité doit être déterminée conformément à l'ISO 4671. La concentricité, basée sur une lecture
totale de l'indicateur, entre le diamètre intérieur et la surface extérieure du revêtement, ne doit pas être
supérieure à 1,0 mm.
7.4 Tolérance sur la longueur
La tolérance sur la longueur mesurée du tuyau ou du flexible doit être de ±1 %.
7.5 Masse par unité de longueur du tuyau
La masse maximale par unité de longueur du tuyau doit être telle que donnée dans le Tableau 4.
Tableau 4 — Masse par unité de longueur du tuyau
Masse maximale par unité de longueur du tuyau
Dimension nominale
Types B et C Types E et F
kg/m kg/m
19 0,9 1,1
25 1,1 1,5
31,5 1,4 1,9
32 1,4 1,9
38 1,7 2,2
50 2,7 3,0
51 2,7 3,0
63 3,5 4,0
75 4,0 4,7
76 4,0 4,7
100 6,5 7,5
101,5 6,5 7,5
8 Propriétés physiques
8.1 Mélanges de caoutchouc
Les propriétés physiques des mélanges caoutchouc utilisés pour le tube intérieur et le revêtement doivent
être conformes aux valeurs données dans le Tableau 5, et doivent être soumis à essai par les méthodes
listées dans le Tableau 5. Pour la résistance à l'huile des mélanges caoutchouc, l'essai doit être réalisé
conformément à l'ISO 1817 par immersion dans le fluide spécifié dans une étuve ou un bain chauffé pendant
la durée et à la température spécifiées dans le Tableau 5. Les essais doivent être réalisés sur des éprouvettes
ou des échantillons prélevés, soit sur le tuyau soit sur des feuilles vulcanisées séparément, sauf pour la
fragilité à froid et la résistance à l'abrasion dont les essais doivent être réalisés sur des éprouvettes moulées
vulcanisées au même degré que le tuyau. Les essais qui doivent être réalisés pour les essais de type et les
essais de routine sont donnés à l'Annexe M.
Tableau 5 — Exigences pour les mélanges caoutchouc
Exigence
Propriété Unité Méthode d’essai
Tube inté-
Revêtement
rieur
Résistance à la rupture, min. MPa 7,0 7,0 ISO 37
(éprouvettes haltères)
Allongement à la rupture, min. % 250 300 ISO 37
(éprouvettes haltères)
Variation de volume (gonflement) dans le % 50 75 ISO 1817:2024, méthode B
carburant, max. (48 h à 40 °C dans le liquide B)
Matière soluble dans le carburant, max. % Non Annexe A
applicable
Classe température normale 4,0
Classe basse température 6,0
Fragilité à froid Pas de Pas de Annexe B
craquelure craquelure
Résistance à l’abrasion, max. mm Non 140 ISO 4649:2024, Méthode A
applicable
Classe température normale 200
Classe basse température
Vieillissement ISO 188 (7 jours à 70 °C)
(méthode en étuve à air)
Variation de la résistance à la rupture. par % ±30 ±30 ISO 37 (voir ci-dessus)
rapport à la valeur initiale
Variation de l’allongement à la rupture par % ±30 ±30 ISO 37 (voir ci-dessus)
rapport à la valeur initiale
8.2 Tuyaux et assemblages flexibles finis
Les tuyaux et assemblages flexibles finis doivent satisfaire aux exigences spécifiées dans le Tableau 6.
Tableau 6 — Exigences relatives aux tuyaux et assemblages flexibles finis
Propriété Exigence Méthode d’essai
Dimensions du tuyau
Diamètre intérieur Voir Tableau 3 ISO 4671
Épaisseur du tube intérieur, min. 1,6 mm ISO 4671
Épaisseur du revêtement, min. 1,6 mm (diamètre intérieur < 50) ISO 4671
2,0 mm (diamètre intérieur ≥ 50)
Concentricité, max. 1,0 mm ISO 4671
Tolérances sur la longueur ±1 % ISO 4671
Masse par unité de longueur, max. Voir Tableau 4
Essais du tuyau
Adhérences entre éléments (sec), 3,0 N/mm Annexe C
min.
2,0 N/mm
Après contact avec le carburant,
min.
Contamination du carburant, R , 10 mg/100 ml Annexe D
e
max.
TTaabblleeaau 6 u 6 ((ssuuiitte)e)
Propriété Exigence Méthode d’essai
Décoloration du carburant Pas moins de +15 Saybolt pour la classe tem- Annexe D
pérature normale
Pas moins de +10 Saybolt pour la classe basse
température
Résistance à l'ozone Pas de craquelures sous un grossissement × 2 ISO 7326 (72 h à 40 °C)
humidité relative (55 ± 10) %
concentration en ozone
(1,00 ± 0,05) ppm
allongement 20 %
Flexibilité Pas de déformation permanente ou de des-
truction visible de la structure, pas d'augmen-
A 20 °C
tation de la résistance électrique en dehors
A basse température
Annexe E (20 °C)
des limites spécifiées, ni de détérioration
Annexe F
de la continuité électrique et doivent être
conforme aux exigences de pression d'épreuve
de l’Annexe J à (20 ± 5) °C
Résistance à l'écrasement (type F Annexe G
uniquement)
Après 1 min Revient à 90 % du diamètre d'origine
Après 10 min Revient à 95 % du diamètre d'origine
Doit satisfaire aux exigences de pression
d'épreuve de l’Annexe J à (20 ± 5) °C
Coquage cyclique (types B et C Pas de fuite à pression d’épreuve à (20 ± 5) °C Annexe H
uniquement)
Pas d'augmentation de la résistance élec-
trique ou de détérioration de la continuité
électrique
L’adhérence entre éléments est inférieure à
2,0 N/mm
Inflammabilité Le tuyau doit cesser immédiatement de brûler Annexe I
après le retrait de la flamme ou il ne doit y
avoir aucune incandescence visible après
2 min
Variation de longueur à la pression ≥ 0 % pour tous les types Annexe J, ISO 1402
de service
Variation de longueur à la pression Types B et C: −7 % à +7 % Annexe J, ISO 1402
d’épreuve (2 × pression de service)
Types E et F: −12 % à +12 %
Pression d’épreuve A 4,0 MPa (40 bar): Annexe J
Pas de fuite ou de dégradation
Pas d’augmentation de la continuité élec-
trique ou de la résistance, en dehors des
limites spécifiées
Pression de rupture, min. 8,0 MPa (80 bar) Annexe J
Essai au vide Types B et C à 15 kPa (0,15 bar) absolu: pas de Annexe K
dégradation structurelle visible
Types B et C à 85 kPa (0,85 bar) absolu: dimi-
nution de la circularité inférieure à 20 % du
diamètre extérieur
Type E à 15 kPa (0,15 bar) absolu: la bille
doit circuler librement et pas de dégradation
structurelle visible
Type F à 35 kPa (0,35 bar) absolu: la bille
doit circuler librement et pas de dégradation
structurelle visible
TTaabblleeaau 6 u 6 ((ssuuiitte)e)
Propriété Exigence Méthode d’essai
Propriétés électriques Les propriétés électriques du tuyau doivent 9.1, 9.2
être telles que les exigences électriques des
flexibles soient satisfaites
Essais de l'assemblage flexible
Pression d’épreuve A 4,0 MPa (40 bar): Annexe J
Pas de fuite ou dégradation
Pas d’augmentation de la continuité élec-
trique ou de la résistance en dehors des
limites spécifiées
Sécurité des raccordements Pas de fuite ni de déplacement des raccor- Annexe L
dements par rapport au tuyau aux pressions
spécifié
...








Questions, Comments and Discussion
Ask us and Technical Secretary will try to provide an answer. You can facilitate discussion about the standard in here.
Loading comments...