ASTM E1268-19
(Practice)Standard Practice for Assessing the Degree of Banding or Orientation of Microstructures
Standard Practice for Assessing the Degree of Banding or Orientation of Microstructures
SIGNIFICANCE AND USE
5.1 This practice is used to assess the nature and extent of banding or orientation of microstructures of metals and other materials where deformation and processing produce a banded or oriented condition.
5.2 Banded or oriented microstructures can arise in single phase, two phase or multiphase metals and materials. The appearance of the orientation or banding is influenced by processing factors such as the solidification rate, the extent of segregation, the degree of hot or cold working, the nature of the deformation process used, the heat treatments, and so forth.
5.3 Microstructural banding or orientation influence the uniformity of mechanical properties determined in various test directions with respect to the deformation direction.
5.4 The stereological methods can be applied to measure the nature and extent of microstructural banding or orientation for any metal or material. The microindentation hardness test procedure should only be used to determine the difference in hardness in banded heat-treated metals, chiefly steels.
5.5 Isolated segregation may also be present in an otherwise reasonably homogeneous microstructure. Stereological methods are not suitable for measuring individual features, instead use standard measurement procedures to define the feature size. The microindentation hardness method may be used for such structures.
5.6 Results from these test methods may be used to qualify material for shipment in accordance with guidelines agreed upon between purchaser and manufacturer, for comparison of different manufacturing processes or process variations, or to provide data for structure-property-behavior studies.
SCOPE
1.1 This practice describes a procedure to qualitatively describe the nature of banded or oriented microstructures based on the morphological appearance of the microstructure.
1.2 This practice describes stereological procedures for quantitative measurement of the degree of microstructural banding or orientation.
Note 1: Although stereological measurement methods are used to assess the degree of banding or alignment, the measurements are only made on planes parallel to the deformation direction (that is, a longitudinal plane) and the three-dimensional characteristics of the banding or alignment are not evaluated.
1.3 This practice describes a microindentation hardness test procedure for assessing the magnitude of the hardness differences present in banded heat-treated steels. For fully martensitic carbon and alloy steels (0.10–0.65 %C), in the as-quenched condition, the carbon content of the matrix and segregate may be estimated from the microindentation hardness values.
1.4 This practice does not cover chemical analytical methods for evaluating banded structures.
1.5 This practice deals only with the recommended test methods and nothing in it should be construed as defining or establishing limits of acceptability.
1.6 The measured values are stated in SI units, which are regarded as standard. Equivalent inch-pound values, when listed, are in parentheses and may be approximate.
1.7 This standard does not purport to address all of the safety concerns, if any, associated with its use. It is the responsibility of the user of this standard to establish appropriate safety, health, and environmental practices and determine the applicability of regulatory limitations prior to use.
1.8 This international standard was developed in accordance with internationally recognized principles on standardization established in the Decision on Principles for the Development of International Standards, Guides and Recommendations issued by the World Trade Organization Technical Barriers to Trade (TBT) Committee.
General Information
- Status
- Published
- Publication Date
- 31-May-2019
- Technical Committee
- E04 - Metallography
- Drafting Committee
- E04.14 - Quantitative Metallography
Relations
- Effective Date
- 01-Apr-2024
- Effective Date
- 01-Mar-2024
- Effective Date
- 01-Nov-2023
- Effective Date
- 15-Aug-2019
- Effective Date
- 01-Jul-2019
- Refers
ASTM A370-17a - Standard Test Methods and Definitions for Mechanical Testing of Steel Products - Effective Date
- 15-Nov-2017
- Effective Date
- 01-Jun-2017
- Effective Date
- 01-Jan-2017
- Effective Date
- 01-Nov-2015
- Effective Date
- 01-Jun-2015
- Effective Date
- 01-Jun-2015
- Effective Date
- 01-Nov-2014
- Effective Date
- 15-May-2014
- Effective Date
- 15-Nov-2013
- Refers
ASTM A370-12a - Standard Test Methods and Definitions for Mechanical Testing of Steel Products - Effective Date
- 15-Oct-2012
Overview
ASTM E1268-19: Standard Practice for Assessing the Degree of Banding or Orientation of Microstructures is a crucial standard developed by ASTM International for the qualitative and quantitative assessment of microstructural banding or orientation in metals and other materials. This standard is fundamental in materials science and engineering, especially for quality control, research, and process validation of ferrous and non-ferrous metals where microstructure uniformity directly affects mechanical properties.
Microstructural banding or orientation typically occurs during processing methods such as casting, hot or cold working, and heat treatment. These processes can result in layers or alignment of different phases within the material, which in turn influence the reliability, strength, and performance consistency of final products.
Key Topics
Qualitative Description: The standard provides guidelines to describe the nature of microstructural banding or orientation based on morphological appearance. Typical examples include ferrite-pearlite banding in steels and carbides in tool steels.
Quantitative Stereological Methods: Stereological techniques are prescribed to measure the degree of banding or orientation, based on the distribution and orientation of phases or constituents on two-dimensional polished sections, specifically on planes parallel to the deformation direction.
Microindentation Hardness Testing: For banded, heat-treated metals (notably steels), this method is recommended to assess hardness variations between different bands, which may relate to chemical segregation or phase differences.
Sampling and Preparation: The standard emphasizes proper specimen selection and preparation, typically requiring longitudinal sections that reflect the direction of material deformation, as well as consistent metallographic preparation and etching to reveal microstructural features.
Test Procedures and Reporting: ASTM E1268-19 details systematic procedures for counting feature interceptions and intersections using test grids, calculation of indices such as the Anisotropy Index (AI) and Banding Rate (BR), and statistical treatment of results. Comprehensive test reporting is required for traceability and comparison.
Applications
ASTM E1268-19 is highly valuable in various industrial and research settings, including:
- Quality Control in Manufacturing: Assessing the homogeneity of rolled or forged metals, ensuring material meets end-use property requirements.
- Process Development and Optimization: Comparing different metallurgical processing routes or evaluating the impact of process parameter variations on microstructure orientation and banding.
- Metallurgical Failure Analysis: Diagnosing issues related to anisotropy or mechanical property variation in structural components, especially in safety-critical applications such as pipelines, automotive, and aerospace.
- Structure-Property Correlation Studies: Providing quantitative data for studies that relate microstructure characteristics to mechanical behavior, which supports the design of advanced alloys and materials.
Related Standards
Several ASTM standards are referenced or complement the use of E1268-19, including:
- ASTM E3: Guide for Preparation of Metallographic Specimens, ensuring consistent sample quality.
- ASTM E7: Terminology Relating to Metallography, for clear definitions.
- ASTM E384: Test Method for Microindentation Hardness of Materials, which outlines practices for hardness testing.
- ASTM E407: Practice for Microetching Metals and Alloys, crucial for revealing microstructural features.
- ASTM E562: Test Method for Determining Volume Fraction by Systematic Manual Point Count.
- ASTM E140: Hardness Conversion Tables for Metals.
- ASTM A370: Test Methods and Definitions for Mechanical Testing of Steel Products.
Practical Value
By following ASTM E1268-19, organizations can:
- Ensure products meet stringent mechanical property requirements through microstructure control.
- Provide reliable, repeatable data for material certification and qualification.
- Support supplier-purchaser agreements by delivering standardized, comparable results.
- Facilitate global trade and compliance with internationally recognized metallographic standards.
Keywords: microstructure banding, orientation, stereology, hardness testing, ASTM E1268, metallography, anisotropy, banded structure, material quality control, mechanical properties.
Buy Documents
ASTM E1268-19 - Standard Practice for Assessing the Degree of Banding or Orientation of Microstructures
REDLINE ASTM E1268-19 - Standard Practice for Assessing the Degree of Banding or Orientation of Microstructures
Frequently Asked Questions
ASTM E1268-19 is a standard published by ASTM International. Its full title is "Standard Practice for Assessing the Degree of Banding or Orientation of Microstructures". This standard covers: SIGNIFICANCE AND USE 5.1 This practice is used to assess the nature and extent of banding or orientation of microstructures of metals and other materials where deformation and processing produce a banded or oriented condition. 5.2 Banded or oriented microstructures can arise in single phase, two phase or multiphase metals and materials. The appearance of the orientation or banding is influenced by processing factors such as the solidification rate, the extent of segregation, the degree of hot or cold working, the nature of the deformation process used, the heat treatments, and so forth. 5.3 Microstructural banding or orientation influence the uniformity of mechanical properties determined in various test directions with respect to the deformation direction. 5.4 The stereological methods can be applied to measure the nature and extent of microstructural banding or orientation for any metal or material. The microindentation hardness test procedure should only be used to determine the difference in hardness in banded heat-treated metals, chiefly steels. 5.5 Isolated segregation may also be present in an otherwise reasonably homogeneous microstructure. Stereological methods are not suitable for measuring individual features, instead use standard measurement procedures to define the feature size. The microindentation hardness method may be used for such structures. 5.6 Results from these test methods may be used to qualify material for shipment in accordance with guidelines agreed upon between purchaser and manufacturer, for comparison of different manufacturing processes or process variations, or to provide data for structure-property-behavior studies. SCOPE 1.1 This practice describes a procedure to qualitatively describe the nature of banded or oriented microstructures based on the morphological appearance of the microstructure. 1.2 This practice describes stereological procedures for quantitative measurement of the degree of microstructural banding or orientation. Note 1: Although stereological measurement methods are used to assess the degree of banding or alignment, the measurements are only made on planes parallel to the deformation direction (that is, a longitudinal plane) and the three-dimensional characteristics of the banding or alignment are not evaluated. 1.3 This practice describes a microindentation hardness test procedure for assessing the magnitude of the hardness differences present in banded heat-treated steels. For fully martensitic carbon and alloy steels (0.10–0.65 %C), in the as-quenched condition, the carbon content of the matrix and segregate may be estimated from the microindentation hardness values. 1.4 This practice does not cover chemical analytical methods for evaluating banded structures. 1.5 This practice deals only with the recommended test methods and nothing in it should be construed as defining or establishing limits of acceptability. 1.6 The measured values are stated in SI units, which are regarded as standard. Equivalent inch-pound values, when listed, are in parentheses and may be approximate. 1.7 This standard does not purport to address all of the safety concerns, if any, associated with its use. It is the responsibility of the user of this standard to establish appropriate safety, health, and environmental practices and determine the applicability of regulatory limitations prior to use. 1.8 This international standard was developed in accordance with internationally recognized principles on standardization established in the Decision on Principles for the Development of International Standards, Guides and Recommendations issued by the World Trade Organization Technical Barriers to Trade (TBT) Committee.
SIGNIFICANCE AND USE 5.1 This practice is used to assess the nature and extent of banding or orientation of microstructures of metals and other materials where deformation and processing produce a banded or oriented condition. 5.2 Banded or oriented microstructures can arise in single phase, two phase or multiphase metals and materials. The appearance of the orientation or banding is influenced by processing factors such as the solidification rate, the extent of segregation, the degree of hot or cold working, the nature of the deformation process used, the heat treatments, and so forth. 5.3 Microstructural banding or orientation influence the uniformity of mechanical properties determined in various test directions with respect to the deformation direction. 5.4 The stereological methods can be applied to measure the nature and extent of microstructural banding or orientation for any metal or material. The microindentation hardness test procedure should only be used to determine the difference in hardness in banded heat-treated metals, chiefly steels. 5.5 Isolated segregation may also be present in an otherwise reasonably homogeneous microstructure. Stereological methods are not suitable for measuring individual features, instead use standard measurement procedures to define the feature size. The microindentation hardness method may be used for such structures. 5.6 Results from these test methods may be used to qualify material for shipment in accordance with guidelines agreed upon between purchaser and manufacturer, for comparison of different manufacturing processes or process variations, or to provide data for structure-property-behavior studies. SCOPE 1.1 This practice describes a procedure to qualitatively describe the nature of banded or oriented microstructures based on the morphological appearance of the microstructure. 1.2 This practice describes stereological procedures for quantitative measurement of the degree of microstructural banding or orientation. Note 1: Although stereological measurement methods are used to assess the degree of banding or alignment, the measurements are only made on planes parallel to the deformation direction (that is, a longitudinal plane) and the three-dimensional characteristics of the banding or alignment are not evaluated. 1.3 This practice describes a microindentation hardness test procedure for assessing the magnitude of the hardness differences present in banded heat-treated steels. For fully martensitic carbon and alloy steels (0.10–0.65 %C), in the as-quenched condition, the carbon content of the matrix and segregate may be estimated from the microindentation hardness values. 1.4 This practice does not cover chemical analytical methods for evaluating banded structures. 1.5 This practice deals only with the recommended test methods and nothing in it should be construed as defining or establishing limits of acceptability. 1.6 The measured values are stated in SI units, which are regarded as standard. Equivalent inch-pound values, when listed, are in parentheses and may be approximate. 1.7 This standard does not purport to address all of the safety concerns, if any, associated with its use. It is the responsibility of the user of this standard to establish appropriate safety, health, and environmental practices and determine the applicability of regulatory limitations prior to use. 1.8 This international standard was developed in accordance with internationally recognized principles on standardization established in the Decision on Principles for the Development of International Standards, Guides and Recommendations issued by the World Trade Organization Technical Barriers to Trade (TBT) Committee.
ASTM E1268-19 is classified under the following ICS (International Classification for Standards) categories: 07.030 - Physics. Chemistry. The ICS classification helps identify the subject area and facilitates finding related standards.
ASTM E1268-19 has the following relationships with other standards: It is inter standard links to ASTM E883-11(2024), ASTM A370-24, ASTM E407-23, ASTM E562-19e1, ASTM A370-19, ASTM A370-17a, ASTM E883-11(2017), ASTM A370-17, ASTM A370-15, ASTM E7-15, ASTM E407-07(2015)e1, ASTM E7-14, ASTM A370-14, ASTM A370-13, ASTM A370-12a. Understanding these relationships helps ensure you are using the most current and applicable version of the standard.
ASTM E1268-19 is available in PDF format for immediate download after purchase. The document can be added to your cart and obtained through the secure checkout process. Digital delivery ensures instant access to the complete standard document.
Standards Content (Sample)
This international standard was developed in accordance with internationally recognized principles on standardization established in the Decision on Principles for the
Development of International Standards, Guides and Recommendations issued by the World Trade Organization Technical Barriers to Trade (TBT) Committee.
Designation: E1268 − 19
Standard Practice for
Assessing the Degree of Banding or Orientation of
Microstructures
This standard is issued under the fixed designation E1268; the number immediately following the designation indicates the year of
original adoption or, in the case of revision, the year of last revision.Anumber in parentheses indicates the year of last reapproval.A
superscript epsilon (´) indicates an editorial change since the last revision or reapproval.
INTRODUCTION
Segregation occurs during the dendritic solidification of metals and alloys and is aligned by
subsequent deformation. Solid-state transformations may be influenced by the resulting microsegre-
gation pattern leading to development of a layered or banded microstructure. The most common
example of banding is the layered ferrite-pearlite structure of wrought low-carbon and low-carbon
alloy steels. Other examples of banding include carbide banding in hypereutectoid tool steels and
martensite banding in heat-treated alloy steels. This practice covers procedures to describe the
appearance of banded structures, procedures for characterizing the extent of banding, and a
microindentationhardnessprocedurefordeterminingthedifferenceinhardnessbetweenbandsinheat
treated specimens. The stereological methods may also be used to characterize non-banded
microstructures with second phase constituents oriented (elongated) in varying degrees in the
deformation direction.
1. Scope 1.5 This practice deals only with the recommended test
methods and nothing in it should be construed as defining or
1.1 This practice describes a procedure to qualitatively
establishing limits of acceptability.
describethenatureofbandedororientedmicrostructuresbased
on the morphological appearance of the microstructure. 1.6 The measured values are stated in SI units, which are
regarded as standard. Equivalent inch-pound values, when
1.2 This practice describes stereological procedures for
listed, are in parentheses and may be approximate.
quantitative measurement of the degree of microstructural
1.7 This standard does not purport to address all of the
banding or orientation.
safety concerns, if any, associated with its use. It is the
NOTE 1—Although stereological measurement methods are used to
responsibility of the user of this standard to establish appro-
assess the degree of banding or alignment, the measurements are only
priate safety, health, and environmental practices and deter-
madeonplanesparalleltothedeformationdirection(thatis,alongitudinal
plane) and the three-dimensional characteristics of the banding or align- mine the applicability of regulatory limitations prior to use.
ment are not evaluated.
1.8 This international standard was developed in accor-
dance with internationally recognized principles on standard-
1.3 This practice describes a microindentation hardness test
ization established in the Decision on Principles for the
procedure for assessing the magnitude of the hardness differ-
Development of International Standards, Guides and Recom-
ences present in banded heat-treated steels. For fully marten-
mendations issued by the World Trade Organization Technical
sitic carbon and alloy steels (0.10–0.65%C), in the as-
Barriers to Trade (TBT) Committee.
quenched condition, the carbon content of the matrix and
segregate may be estimated from the microindentation hard-
2. Referenced Documents
ness values.
2.1 ASTM Standards:
1.4 This practice does not cover chemical analytical meth-
A370Test Methods and Definitions for Mechanical Testing
ods for evaluating banded structures.
of Steel Products
E3Guide for Preparation of Metallographic Specimens
This practice is under the jurisdiction of ASTM Committee E04 on Metallog-
raphy and is the direct responsibility of Subcommittee E04.14 on Quantitative
Metallography. For referenced ASTM standards, visit the ASTM website, www.astm.org, or
CurrenteditionapprovedJune1,2019.PublishedJuly2019.Originallyapproved contact ASTM Customer Service at service@astm.org. For Annual Book of ASTM
in 1988. Last previous edition approved in 2018 as E1268–18. DOI: 10.1520/ Standards volume information, refer to the standard’s Document Summary page on
E1268-19 the ASTM website.
Copyright © ASTM International, 100 Barr Harbor Drive, PO Box C700, West Conshohocken, PA 19428-2959. United States
E1268 − 19
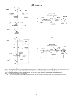
the whole field of view. Fig. 2 describes this classification using a
E7Terminology Relating to Metallography
qualitative description of the nature and extent of the banding or
E140Hardness Conversion Tables for Metals Relationship
orientation of microstructures.
Among Brinell Hardness, Vickers Hardness, Rockwell
3.3 Symbols:
Hardness, Superficial Hardness, Knoop Hardness, Sclero-
scope Hardness, and Leeb Hardness
N = number of feature interceptions with test lines
'
E384Test Method for Microindentation Hardness of Mate-
perpendicular to the deformation direction.
rials
E407Practice for Microetching Metals and Alloys
N = number of feature interceptions with test lines
||
E562Test Method for Determining Volume Fraction by
parallel to the deformation direction.
Systematic Manual Point Count
E883Guide for Reflected–Light Photomicrography
P = number of feature boundary intersections with
'
test lines perpendicular to the deformation
3. Terminology
direction.
3.1 Definitions—For definitions of terms used in this
practice, see Terminology E7.
P = number of feature boundary intersections with
||
3.2 Definitions of Terms Specific to This Standard:
test lines parallel to the deformation direction.
3.2.1 banded microstructure—separation, of one or more
phases or constituents in a two-phase or multiphase L = summarized length of feature interceptions by a
||
microstructure, or of segregated regions in a single phase or single test line, parallel to the deformation direc-
constituent microstructure, into distinct layers parallel to the tion (mm).
deformation axis due to elongation of microsegregation; other
L = summarized length of feature interceptions by a
factorsmayalsoinfluencebandformation,forexample,thehot
'
workingfinishingtemperature,thedegreeofhot-orcold-work single test line, perpendicular to the deformation
direction (mm).
reduction, or split transformations due to limited hardenability
or insufficient quench rate.
M = magnification.
3.2.2 feature interceptions—the number of particles (or
clusters of particles) of a phase or constituent of interest that
L = true test line length in mm, that is, the test line
t
are crossed by the lines of a test grid. (see Fig. 1).
length divided by M.
3.2.3 feature intersections—the number of boundaries be-
tween the matrix phase and the phase or constituent of interest N
N = '
L'
that are crossed by the lines of a test grid (see Fig. 1). For
L
t
isolated particles in a matrix, the number of feature intersec-
tions will equal twice the number of feature interceptions.
N
N =
||
L||
L
3.2.4 oriented constituents—one or more second-phases t
(constituents) elongated in a non-banded (that is, random
P
P =
'
distribution) manner parallel to the deformation axis; the L'
>2N
L'
L
t
degree of elongation varies with the size and deformability of
the phase or constituent and the degree of hot- or cold-work
P
P = ||
L||
reduction.
>2N
L ||
L
t
3.2.5 stereological methods—procedures used to character-
ize three-dimensional microstructural features based on mea-
L = linear fraction of a feature on a single test line
L||
surements made on two-dimensional sectioning planes.
parallel to the deformation direction
NOTE 2—Microstructural examples are presented in Annex A1 that
3,4
illustrate a quantitative method to assess the degree of banding (BR) .
L = linear fraction of a feature on a single test line
L'
Thedegreeofbandingvaries:BR<1.3-nobanding;BR>1.9-oneortwo
perpendicular to the deformation direction
solid bands across the whole field of view and several broken bands;
BR>2.6 - several solid bands intersecting the whole field of view; BR>4
L
L =
||
L||
and BR>5 - uniform and non-uniform solid bands alternately intersecting
L
t
Kazakov A., Kiselev D., Andreeva S., Chigintsev L., Golovin S., Egorov V.,
and Markov S., “Development of a procedure for the quantitative estimation of
L
L =
'
L'
microstructural banding of low-alloyed pipeline steels using an automatic image
L
t
analyzer ,” Chernye metally, 2007, No. 7-8, pp. 31-37.
Kazakov,A.,Kiselev,D.,Kazakova,E.,VanderVoort,G.F.,andChigintsev,L.,
“Quantitative Description of Microstructural Banding in Steels,” Materials Perfor-
mance and Characterization, Vol. 6, No. 3, 2017, pp. 224-236, https://doi.org/
10.1520/MPC20160009.
E1268 − 19
NOTE 1—The test grid lines have been shown oriented perpendicular (A, C) to the deformation axis and parallel (B, D) to the deformation axis. The
counts for N , N , P , P , L , and L are shown for counts made from top to bottom (A, C) or from left to right (B, D).
' || ' || ' ||
NOTE 2—T indicates a tangent hit and E indicates that the grid line ended within the particle; both situations are handled as shown.
NOTE 3—L indicates full length of a test grid line.
t
FIG. 1 Illustration of the Counting of Particle Interceptions (N) and Boundary Intersections (P) for an Oriented Microstructure
E1268 − 19
FIG. 2 Qualitative Classification Scheme for Oriented or Banded Microstructures
n = number of measurement fields or number of SB = mean center-to-center spacing of the bands.
'
microindentation impressions.
SB =
'
.
¯
m = number of the test lines parallel to the deforma-
N
L'
tion direction
V = volume fraction of the banded phase
V
k = number of the test lines perpendicular to the
(constituent).
deformation direction
λ = mean edge-to-edge spacing of the bands, mean
'
¯
N
N = (
L' free path (distance).
L'
n
12V
λ =
V
'
¯ N
¯
N = (
L ||
L|| N
L'
n
Ω = degree of orientation of partially oriented linear
¯
P
P =
( L'
L' ¯ structureelementsonthetwo-dimensionalplane-
>2N
L'
n
of-polish.
¯
P
P = (
L ||
L|| ¯ ¯
Ω =
¯ N 2N
>2N L ' L ||
L ||
n
¯ ¯
N 10.571 N
L' L ||
¯
L
= (
L L||
L||
¯ ¯
Ω =
P 2P
m 12
L' L ||
¯ ¯
P 10.571 P
L' L||
¯ L
= (
L L'
L'
k
σ = standard deviation of linear fraction of a feature
L
L||
for all test lines that are parallel to the deforma-
AI = anisotropy index.
tion direction on a single field of view
m
σ =
L 2
L||
¯
N
AI = L' L 2 L
~ !
( L|| L||
i
i51
N
L||
!
m21
¯ ΣAI
=
AI
n
E1268 − 19
5.3 Microstructural banding or orientation influence the
σ = standard deviation of linear fraction of a feature
L
L'
uniformity of mechanical properties determined in various test
for all test lines that are perpendicular to the
directions with respect to the deformation direction.
deformation direction on a single field of view
5.4 Thestereologicalmethodscanbeappliedtomeasurethe
k
σ =
L 2 nature and extent of microstructural banding or orientation for
L'
¯
~L 2 L !
(
L' L'
i
i51
any metal or material. The microindentation hardness test
!
k21
procedure should only be used to determine the difference in
hardness in banded heat-treated metals, chiefly steels.
BR = banding rate in a single field of view
5.5 Isolatedsegregationmayalsobepresentinanotherwise
reasonably homogeneous microstructure. Stereological meth-
σ
BR =
L
Li
ods are not suitable for measuring individual features, instead
σ
L
L'
use standard measurement procedures to define the feature
size. The microindentation hardness method may be used for
¯ ΣBR
=
BR
such structures.
n
5.6 Results from these test methods may be used to qualify
¯ ¯¯
X = ¯ ¯ ¯ ¯
mean values (N , N , P , P , AI,BR) material for shipment in accordance with guidelines agreed
L' L|| L' L||
upon between purchaser and manufacturer, for comparison of
different manufacturing processes or process variations, or to
s = estimate of standard deviation (σ).
provide data for structure-property-behavior studies.
t = a multiplier related to the number of fields
6. Apparatus
examined and used in conjunction with the stan-
dard deviation of the measurements to determine
6.1 A metallurgical (reflected-light) microscope is used to
the 95 % CI.
examine the microstructure of test specimens. Banding or
orientation is best observed using low magnifications, for
95% CI = 95% confidence interval.
example, 50× to 200×.
6.2 Stereologicalmeasurementsaremadebysuperimposing
ts
95% CI =
a test grid (consisting of a number of closely spaced parallel
=n
lines of known length) on the projected image of the micro-
structure or on a photomicrograph. Measurements are made
% RA = % relative accuracy.
withthetestlinesparallelandperpendiculartothedeformation
direction. The total length of the grid lines should be at least
95% CI
% RA =
500 mm.
¯
X
6.3 These stereological measurements may be made using a
semiautomatic tracing type image analyzer. The test grid is
4. Summary of Practice
placed over the image projected onto the digitizing tablet and
4.1 The degree of microstructural banding or orientation is a cursor is used for counting.
described quantitatively using metallographic specimens
6.4 For certain microstructures where the contrast between
aligned parallel to the deformation direction of the product.
the banded or oriented constituents is adequate, an automatic
4.2 Stereological methods are used to measure the number
imageanalyzermaybeusedforcounting,wherethepixellines
of bands per unit length, the inter-band or interparticle spacing of the bitmap images, generated by high resolution digital
and the degree of anisotropy or orientation.
cameras, are used rather than the grid lines of the plastic
overlay or reticle.
4.3 Microindentation hardness testing is used to determine
the hardness of each type band present in hardened specimens 6.5 Amicroindentation hardness tester is used to determine
and the difference in hardness between the band types. thehardnessofeachtypeofbandinheat-treatedsteelsorother
metals. The Knoop indenter is particularly well suited for this
5. Significance and Use
work.
5.1 This practice is used to assess the nature and extent of
banding or orientation of microstructures of metals and other 7. Sampling and Test Specimens
materials where deformation and processing produce a banded
7.1 In general, specimens should be taken from the final
or oriented condition.
product form after all processing steps have been performed,
5.2 Banded or oriented microstructures can arise in single particularly those that would influence the nature and extent of
phase, two phase or multiphase metals and materials. The banding. Because the degree of banding or orientation may
appearance of the orientation or banding is influenced by vary through the product cross section, the test plane should
processing factors such as the solidification rate, the extent of sample the entire cross section. If the section size is too large
segregation,thedegreeofhotorcoldworking,thenatureofthe to permit full cross sectioning, samples should be taken at
deformation process used, the heat treatments, and so forth. standard locations, for example, subsurface, mid-radius (or
E1268 − 19
quarter-point), and center, or at specific locations based upon specimen so that the deformation direction is horizontal on the
producer-purchaser agreements. projection screen. Randomly select the initial field by arbi-
trarily moving the stage and accepting the new field without
7.2 The degree of banding or orientation present is deter-
further stage adjustment.
mined using longitudinal test specimens, that is, specimens
10.1.1 Bright field illumination will be used for most
where the plane of polish is parallel to the deformation
measurements. However, depending on the alloy or material
direction.Forplateorsheetproducts,aplanaroriented(thatis,
being examined, other illumination modes, such as polarized
polishedsurfaceparalleltothesurfaceoftheplateorsheet)test
light or differential interference contrast illumination, may be
specimen, at subsurface, mid-thickness, or center locations,
used.
mayalsobepreparedandtesteddependingonthenatureofthe
10.1.2 Measurements may also be made by placing the test
product application.
grid on photomicrographs (see Guide E883), taken of ran-
7.3 Banding or orientation may also be assessed on inter-
domly selected fields, at suitable magnifications.
mediate product forms, such as billets or bars, for material
10.2 Qualitatively define the nature and extent of the band-
qualification or quality control purposes. These test results,
ing or orientation present in accordance with the following
however, may not correlate directly with test results on final
guidelines. Examination at higher magnification may be re-
productforms.Testspecimensshouldbepreparedasdescribed
quired to identify and classify the constituents present. Fig. 2
in 7.1 and 7.2 but with the added requirement of choosing test
describes the classification approach.
locations with respect to ingot or continuously cast slab/strand
10.2.1 Determine if the banding or orientation present
locations. The number and location of such test specimens
represents variations in the etch intensity of a single phase or
should be defined by producer-purchaser agreement.
constituent, such as might result from segregation in a tem-
7.4 Individual metallographic test specimens should have a
pered martensite alloy steel specimen, or is due to preferential
polished surface area covering the entire cross section if
alignmentofoneormorephasesorconstituentsinatwo-phase
possible. The length of full cross-section samples, in the
or multi-phase specimen.
deformationdirection,shouldbeatleast10mm(0.4in.).Ifthe
10.2.2 For orientation or banding in a two-phase or multi-
product form is too large to permit preparation of full cross
phasespecimen,determineifonlytheminorphaseorconstitu-
sections, the samples prepared at the desired locations should
ent is preferentially aligned within the matrix phase.
2 2
have a minimum polished surface area of 100 mm (0.16 in. )
Alternatively, both phases may be aligned with neither appear-
with the sample length in the longitudinal direction at least 10
ing as a matrix phase.
mm (0.4 in.).
10.2.3 For two-phase (constituent) or multiphase (constitu-
ent) microstructures, determine if the aligned second phase
8. Specimen Preparation
(constituent) is banded in a layered manner or exists in an
8.1 Metallographic specimen preparation should be per-
oriented, non-banded, randomly distributed manner.
formed in accordance with the guidelines and recommended
10.2.4 For cases where a second phase or constituent is
practices given in Methods E3. The preparation procedure
banded or oriented within a non-banded, nonoriented matrix,
must reveal the microstructure without excessive influence
determine if the banded or oriented constituent exists as
from preparation-induced deformation or smearing.
discrete particles (the particles may be globular or elongated)
or as a continuously aligned constituent.
8.2 Mountingofspecimensmaybeperformeddependingon
10.2.5 Describe the appearance of the distribution of the
the nature of the test sample or if needed to accommodate
secondphase(or,eitherlighterordarkeretchingregionswithin
automatic polishing devices.
a single phase microstructure) in terms of the pattern present,
8.3 Themicrostructureshouldberevealedinstrongcontrast
for example: isotropic (non-oriented or non-banded), nearly
byanyappropriatechemicalorelectrolyticetchingmethod,by
isotropic,partiallybanded,partiallyoriented,diffuselybanded,
tinting or staining, etc. Test Methods E407 list appropriate
narrow bands, broad bands, mixed narrow and broad bands,
etchants for most metals and alloys. For certain materials,
fully oriented, etc.
etching may not be necessary as the naturally occurring
10.3 Place the grid lines over the projected image or
reflectivity differences between the constituents may produce
photomicrographoftherandomlyselectedfieldsothatthegrid
adequate contrast.
lines are perpendicular to the deformation direction. The grid
should be placed without operator bias. Decide which phase or
9. Calibration
constituent is banded. If both phases or constituents are
9.1 Use a stage micrometer to determine the magnification
banded, with no obvious matrix phase, choose one of the
of the projected image or at the photographic plane.
phases(constituents)forcounting.Generally,itisbesttocount
9.2 Use a ruler to determine the length of the test lines on
the banded phase present in least amount. Either N or P,or
L L
the grid overlay in mm.
both (see 10.3.1 – 10.3.4 for definitions), may be measured,
usinggridorientationsperpendicular(')andparallel(||)tothe
10. Procedure
deformation direction, depending on the purpose of the mea-
10.1 Place the polished and etched specimen on the micro- surements or as required by other specifications.
scope stage, select a suitable low magnification, for example, 10.3.1 Measurement of N —with the test grid perpendicu-
L'
50× or 100×, and examine the microstructure. Align the lar to the deformation direction, count the number of discrete
E1268 − 19
TABLE 1 Rules for N and P Counts
the band or not. Do not count phase or constituent boundaries
between like particles, grains, or patches. Count only phase or
NOTE 1—Fig. 1 illustrates some of these counting rules.
constituent boundary intersections between unlike particles,
1. N Interceptions—Count the number of individual particles, grains, or
grains,orpatches.Tangenthitsarecountedasoneintersection.
patches of the constituent of interest crossed by the grid lines.
2. P Intersections—Count the number of unlike phase boundaries or
Table 1 provides rules for counting while Fig. 1 illustrates the
A
constituent boundaries crossed by the grid lines.
counting procedure. Calculate the number of boundary inter-
3. If two or more contiguous particles, grains, or patches of the phase
sections per unit length perpendicular to the deformation axis,
or constituent of interest are crossed by the grid lines (none of the
other phase or constituent between the particles where crossed)
P , in accordance with:
L'
count them as one particle intercepted (N = 1). For P intersections,
do not count phase or constituent boundaries between like particles,
P
'
P 5 (3)
grains, etc. This problem occurs most commonly in N and P
L|| L|| L'
L
t
measurements in highly banded structures.
4. When a test line is tangent to the particle, grain, or patch of interest,
where:
N is counted as ⁄2 and P as 1.
5. If a test line ends within a particle, count N as ⁄2 and P as 1.
L = true test line length as defined in 10.3.1.
t
6. If the entire test line lies completely within the phase or feature of
interest (this can occur for parallel counts of a highly banded
10.3.4 Measurement of P —Rotate the test grid over the
L||
material), count N as ⁄2 and P as 0.
same field and location measured for P so that the lines are
L
A
If possible, etch the specimens so that like phase or constituent boundaries are
oriented parallel to the deformation direction and count the
not revealed, only unlike boundaries.
number of all particle, phase, or constituent boundary
intersections, P ,withthetestlineforthefeatureofinterest(in
||
thesamewaysasdescribedin10.3.3).Calculatethenumberof
particles or features intercepted by the test lines. For a
boundary intersections per unit test length parallel to the
two-phase structure, count all of the interceptions of the phase
deformation axis, P , in accordance with:
L||
of interest, that is, those that are clearly part of the bands and
P
??
those that are not. When two or more contiguous particles,
P 5 (4)
L ??
L
t
grains, or patches of the phase or constituent of interest are
crossed by the grid line, that is, none of the other phase or
where:
constituent is present between the like particles, grains, or
L = true test line length as defined in 10.3.1.
t
patches, count them as one interception (N =1). Tangent hits
10.3.5 Measurement of AI—for every single analyzed field
are counted as one half an interception. If a line ends within a
of view divide N by N
L' L||
particle, patch or grain, count it as one half an interception.
10.3.6 Measurement of BR—for every single analyzed field
Table 1 provides rules for counting while Fig. 1 illustrates the
of view the following cal
...
This document is not an ASTM standard and is intended only to provide the user of an ASTM standard an indication of what changes have been made to the previous version. Because
it may not be technically possible to adequately depict all changes accurately, ASTM recommends that users consult prior editions as appropriate. In all cases only the current version
of the standard as published by ASTM is to be considered the official document.
Designation: E1268 − 18 E1268 − 19
Standard Practice for
Assessing the Degree of Banding or Orientation of
Microstructures
This standard is issued under the fixed designation E1268; the number immediately following the designation indicates the year of
original adoption or, in the case of revision, the year of last revision. A number in parentheses indicates the year of last reapproval. A
superscript epsilon (´) indicates an editorial change since the last revision or reapproval.
INTRODUCTION
Segregation occurs during the dendritic solidification of metals and alloys and is aligned by
subsequent deformation. Solid-state transformations may be influenced by the resulting microsegre-
gation pattern leading to development of a layered or banded microstructure. The most common
example of banding is the layered ferrite-pearlite structure of wrought low-carbon and low-carbon
alloy steels. Other examples of banding include carbide banding in hypereutectoid tool steels and
martensite banding in heat-treated alloy steels. This practice covers procedures to describe the
appearance of banded structures, procedures for characterizing the extent of banding, and a
microindentation hardness procedure for determining the difference in hardness between bands in heat
treated specimens. The stereological methods may also be used to characterize non-banded
microstructures with second phase constituents oriented (elongated) in varying degrees in the
deformation direction.
1. Scope
1.1 This practice describes a procedure to qualitatively describe the nature of banded or oriented microstructures based on the
morphological appearance of the microstructure.
1.2 This practice describes stereological procedures for quantitative measurement of the degree of microstructural banding or
orientation.
NOTE 1—Although stereological measurement methods are used to assess the degree of banding or alignment, the measurements are only made on
planes parallel to the deformation direction (that is, a longitudinal plane) and the three-dimensional characteristics of the banding or alignment are not
evaluated.
1.3 This practice describes a microindentation hardness test procedure for assessing the magnitude of the hardness differences
present in banded heat-treated steels. For fully martensitic carbon and alloy steels (0.10–0.65 %C), in the as-quenched condition,
the carbon content of the matrix and segregate may be estimated from the microindentation hardness values.
1.4 This standardpractice does not cover chemical analytical methods for evaluating banded structures.
1.5 This practice deals only with the recommended test methods and nothing in it should be construed as defining or establishing
limits of acceptability.
1.6 The measured values are stated in SI units, which are regarded as standard. Equivalent inch-pound values, when listed, are
in parentheses and may be approximate.
1.7 This standard does not purport to address all of the safety concerns, if any, associated with its use. It is the responsibility
of the user of this standard to establish appropriate safety, health, and environmental practices and determine the applicability of
regulatory limitations prior to use.
1.8 This international standard was developed in accordance with internationally recognized principles on standardization
established in the Decision on Principles for the Development of International Standards, Guides and Recommendations issued
by the World Trade Organization Technical Barriers to Trade (TBT) Committee.
This practice is under the jurisdiction of ASTM Committee E04 on Metallography and is the direct responsibility of Subcommittee E04.14 on Quantitative Metallography.
Current edition approved June 1, 2018June 1, 2019. Published March 2019July 2019. Originally approved in 1988. Last previous edition approved in 20162018 as
E1268 – 01E1268 – 18.(2016). DOI: 10.1520/E1268-1810.1520/E1268-19
Copyright © ASTM International, 100 Barr Harbor Drive, PO Box C700, West Conshohocken, PA 19428-2959. United States
E1268 − 19
2. Referenced Documents
2.1 ASTM Standards:
A370 Test Methods and Definitions for Mechanical Testing of Steel Products
E3 Guide for Preparation of Metallographic Specimens
E7 Terminology Relating to Metallography
E140 Hardness Conversion Tables for Metals Relationship Among Brinell Hardness, Vickers Hardness, Rockwell Hardness,
Superficial Hardness, Knoop Hardness, Scleroscope Hardness, and Leeb Hardness
E384 Test Method for Microindentation Hardness of Materials
E407 Practice for Microetching Metals and Alloys
E562 Test Method for Determining Volume Fraction by Systematic Manual Point Count
E883 Guide for Reflected–Light Photomicrography
3. Terminology
3.1 Definitions—For definitions of terms used in this practice, see Terminology E7.
3.2 Definitions of Terms Specific to This Standard:
3.2.1 banded microstructure—separation, of one or more phases or constituents in a two-phase or multiphase microstructure,
or of segregated regions in a single phase or constituent microstructure, into distinct layers parallel to the deformation axis due
to elongation of microsegregation; other factors may also influence band formation, for example, the hot working finishing
temperature, the degree of hot- or cold-work reduction, or split transformations due to limited hardenability or insufficient quench
rate.
3.2.2 feature interceptions—the number of particles (or clusters of particles) of a phase or constituent of interest that are crossed
by the lines of a test grid. (see Fig. 1).
3.2.3 feature intersections—the number of boundaries between the matrix phase and the phase or constituent of interest that are
crossed by the lines of a test grid (see Fig. 1). For isolated particles in a matrix, the number of feature intersections will equal twice
the number of feature interceptions.
3.2.4 oriented constituents—one or more second-phases (constituents) elongated in a non-banded (that is, random distribution)
manner parallel to the deformation axis; the degree of elongation varies with the size and deformability of the phase or constituent
and the degree of hot- or cold-work reduction.
3.2.5 stereological methods—procedures used to characterize three-dimensional microstructural features based on measure-
ments made on two-dimensional sectioning planes.
3,4
NOTE 2—Microstructural examples are presented in Annex A1 that illustrate a quantitative method to assess the degree of banding (BR).(BR) . The
degree of banding varies: BR<1.3 - no banding; BR >1.9 - one or two solid bands across the whole field of view and several broken bands; BR>2.6 -
several solid bands intersecting the whole field of view; BR>4 and BR>5 - uniform and non-uniform solid bands alternately intersecting the whole field
of view. Fig. 2 describes this classification using a qualitative description of the nature and extent of the banding or orientation of microstructures.
3.3 Symbols:
N = number of feature interceptions with test lines perpendicular to the deformation direction.
'
N = number of feature interceptions with test lines parallel to the deformation direction.
||
P = number of feature boundary intersections with test lines perpendicular to the deformation direction.
'
P = number of feature boundary intersections with test lines parallel to the deformation direction.
||
L = summarized length of feature interceptions by a single test line, parallel to the deformation direction (mm)
||
L = summarized length of feature interceptions by a single test line, parallel to the deformation direction (mm).
||
For referenced ASTM standards, visit the ASTM website, www.astm.org, or contact ASTM Customer Service at service@astm.org. For Annual Book of ASTM Standards
volume information, refer to the standard’s Document Summary page on the ASTM website.
Lépine, M., “Image Convolutions and their Application to Quantitative Metallography,” Microstructural Science, Vol. 17, Image Analysis and Metallography, ASM
International, Metals Park, OH, 1989, pp. 103–114.Kazakov A., Kiselev D., Andreeva S., Chigintsev L., Golovin S., Egorov V., and Markov S., “Development of a procedure
for the quantitative estimation of microstructural banding of low-alloyed pipeline steels using an automatic image analyzer ,” Chernye metally, 2007, No. 7-8, pp. 31-37.
Fowler, D.B., “A Method for Evaluating Plasma Spray Coating Porosity Content Using Stereological Data Collected by Automatic Image Analysis,” Microstructural
Science, Vol. 18, Computer-Aided Microscopy and Metallography, ASM International, Materials Park, OH, 1990, pp. 13–21.Kazakov, A., Kiselev, D., Kazakova, E., Vander
Voort, G. F., and Chigintsev, L., “Quantitative Description of Microstructural Banding in Steels,” Materials Performance and Characterization, Vol. 6, No. 3, 2017, pp.
224-236, https://doi.org/10.1520/MPC20160009.
E1268 − 19
NOTE 1—The test grid lines have been shown oriented perpendicular (A, C) to the deformation axis and parallel (B, D) to the deformation axis. The
counts for N , N , P , P , L , and L are shown for counts made from top to bottom (A, C) or from left to right (B, D).
' || ' || ' ||
NOTE 2—T indicates a tangent hit and E indicates that the grid line ended within the particle; both situations are handled as shown.
NOTE 3—L indicates full length of a test grid line.
t
FIG. 1 Illustration of the Counting of Particle Interceptions (N) and Boundary Intersections (P) for an Oriented Microstructure
E1268 − 19
FIG. 2 Qualitative Classification Scheme for Oriented or Banded Microstructures
L = summarized length of feature interceptions by a single test line, perpendicular to the deformation direction (mm)
'
L = summarized length of feature interceptions by a single test line, perpendicular to the deformation direction (mm).
'
M = magnification.
L = true test line length in mm, that is, the test line length divided by M.
t
N
N = '
L'
L
t
N
N = ||
L||
L
t
P
P =
'
L'
>2N
L'
L
t
P
P =
||
L||
>2N
L ||
L
t
L = linear fraction of a feature on a single test line parallel to the deformation direction
L||
L = linear fraction of a feature on a single test line perpendicular to the deformation direction
L'
L
L = ||
L||
L
t
L
L = '
L'
L
t
n = number of measurement fields or number of microindentation impressions.
m = number of the test lines parallel to the deformation direction
k = number of the test lines perpendicular to the deformation direction
N
N¯ = (
L'
L'
n
E1268 − 19
N
N¯ =
( L ||
L||
n
P
P¯ = (
L'
L'
¯
>2N
L'
n
P
P¯ = (
L'
L'
¯
>2N
L'
n
P
P¯ = (
L ||
L||
¯
>2N
L ||
n
P
P¯ =
( L ||
L||
¯
>2N
L ||
n
¯
L
= (
L L||
L||
m
¯
L
= (
L L'
L'
k
AI = anisotropy index.
N
AI =
L'
N
L||
¯ ΣAI
=
AI
n
SB = mean center-to-center spacing of the bands.
'
SB =
'
.
¯
N
L'
V = volume fraction of the banded phase (constituent).
V
λ = mean edge-to-edge spacing of the bands, mean free path (distance).
'
12V
λ = V
'
¯
N
L'
Ω = degree of orientation of partially oriented linear structure elements on the two-dimensional plane-of-polish.
¯ ¯
Ω =
N 2N
L ' L ||
¯ ¯
N 10.571 N
L' L ||
¯ ¯
Ω =
P 2P
L' L ||
¯ ¯
P 10.571 P
L' L||
σ = standard deviation of linear fraction of a feature for all test lines that are parallel to the deformation direction on a
L
L||
single field of view
m
σ =
L 2
L||
¯
L 2 L
~ !
(
L|| L||
i
i51
!
m21
E1268 − 19
σ = standard deviation of linear fraction of a feature for all test lines that are perpendicular to the deformation direction
L
L'
on a single field of view
k
σ =
L 2
L'
¯
L 2 L
~ !
( L' L'
i
i51
!
k21
BR = banding rate in a single field of view
σ
BR = L
Li
σ
L
L'
¯ ΣBR
=
BR
n
¯ ¯
X¯ =
mean values (N¯ , N¯ , P¯ , P¯ , AI,BR)
L' L|| L' L||
s = estimate of standard deviation (σ).
t = a multiplier related to the number of fields examined and used in conjunction with the standard deviation of the
measurements to determine the 95 % CI.
95 % CI = 95 % confidence interval.
ts
95 % CI =
=
n
% RA = % relative accuracy.
95 % CI
% RA =
¯
X
4. Summary of Practice
4.1 The degree of microstructural banding or orientation is described quantitatively using metallographic specimens aligned
parallel to the deformation direction of the product.
4.2 Stereological methods are used to measure the number of bands per unit length, the inter-band or interparticle spacing and
the degree of anisotropy or orientation.
4.3 Microindentation hardness testing is used to determine the hardness of each type band present in hardened specimens and
the difference in hardness between the band types.
5. Significance and Use
5.1 This practice is used to assess the nature and extent of banding or orientation of microstructures of metals and other
materials where deformation and processing produce a banded or oriented condition.
5.2 Banded or oriented microstructures can arise in single phase, two phase or multiphase metals and materials. The appearance
of the orientation or banding is influenced by processing factors such as the solidification rate, the extent of segregation, the degree
of hot or cold working, the nature of the deformation process used, the heat treatments, and so forth.
5.3 Microstructural banding or orientation influence the uniformity of mechanical properties determined in various test
directions with respect to the deformation direction.
5.4 The stereological methods can be applied to measure the nature and extent of microstructural banding or orientation for any
metal or material. The microindentation hardness test procedure should only be used to determine the difference in hardness in
banded heat-treated metals, chiefly steels.
5.5 Isolated segregation may also be present in an otherwise reasonably homogeneous microstructure. Stereological methods
are not suitable for measuring individual features, instead use standard measurement procedures to define the feature size. The
microindentation hardness method may be used for such structures.
E1268 − 19
5.6 Results from these test methods may be used to qualify material for shipment in accordance with guidelines agreed upon
between purchaser and manufacturer, for comparison of different manufacturing processes or process variations, or to provide data
for structure-property-behavior studies.
6. Apparatus
6.1 A metallurgical (reflected-light) microscope is used to examine the microstructure of test specimens. Banding or orientation
is best observed using low magnifications, for example, 50× to 200×.
6.2 Stereological measurements are made by superimposing a test grid (consisting of a number of closely spaced parallel lines
of known length) on the projected image of the microstructure or on a photomicrograph. Measurements are made with the test lines
parallel and perpendicular to the deformation direction. The total length of the grid lines should be at least 500 mm.
6.3 These stereological measurements may be made using a semiautomatic tracing type image analyzer. The test grid is placed
over the image projected onto the digitizing tablet and a cursor is used for counting.
6.4 For certain microstructures where the contrast between the banded or oriented constituents is adequate, an automatic image
analyzer may be used for counting, where the TV scan lines for a live image, or image convolutionspixel lines of the bitmap
images, generated by high, electronically-generated test grids resolution digital cameras,, or other methods, for a digitized image,
are used rather than the grid lines of the plastic overlay or reticle.
6.5 A microindentation hardness tester is used to determine the hardness of each type of band in heat-treated steels or other
metals. The Knoop indenter is particularly well suited for this work.
7. Sampling and Test Specimens
7.1 In general, specimens should be taken from the final product form after all processing steps have been performed,
particularly those that would influence the nature and extent of banding. Because the degree of banding or orientation may vary
through the product cross section, the test plane should sample the entire cross section. If the section size is too large to permit
full cross sectioning, samples should be taken at standard locations, for example, subsurface, mid-radius (or quarter-point), and
center, or at specific locations based upon producer-purchaser agreements.
7.2 The degree of banding or orientation present is determined using longitudinal test specimens, that is, specimens where the
plane of polish is parallel to the deformation direction. For plate or sheet products, a planar oriented (that is, polished surface
parallel to the surface of the plate or sheet) test specimen, at subsurface, mid-thickness, or center locations, may also be prepared
and tested depending on the nature of the product application.
7.3 Banding or orientation may also be assessed on intermediate product forms, such as billets or bars, for material qualification
or quality control purposes. These test results, however, may not correlate directly with test results on final product forms. Test
specimens should be prepared as described in 7.1 and 7.2 but with the added requirement of choosing test locations with respect
to ingot or continuously cast slab/strand locations. The number and location of such test specimens should be defined by
producer-purchaser agreement.
7.4 Individual metallographic test specimens should have a polished surface area covering the entire cross section if possible.
The length of full cross-section samples, in the deformation direction, should be at least 10 mm (0.4 in.). If the product form is
too large to permit preparation of full cross sections, the samples prepared at the desired locations should have a minimum polished
2 2
surface area of 100 mm (0.16 in. ) with the sample length in the longitudinal direction at least 10 mm (0.4 in.).
8. Specimen Preparation
8.1 Metallographic specimen preparation should be performed in accordance with the guidelines and recommended practices
given in Methods E3. The preparation procedure must reveal the microstructure without excessive influence from preparation-
induced deformation or smearing.
8.2 Mounting of specimens may be performed depending on the nature of the test sample or if needed to accommodate
automatic polishing devices.
8.3 The microstructure should be revealed in strong contrast by any appropriate chemical or electrolytic etching method, by
tinting or staining, etc. Test Methods E407 list appropriate etchants for most metals and alloys. For certain materials, etching may
not be necessary as the naturally occurring reflectivity differences between the constituents may produce adequate contrast.
9. Calibration
9.1 Use a stage micrometer to determine the magnification of the projected image or at the photographic plane.
9.2 Use a ruler to determine the length of the test lines on the grid overlay in mm.
E1268 − 19
TABLE 1 Rules for N and P Counts
NOTE 1—Fig. 1 illustrates some of these counting rules.
1. N Interceptions—Count the number of individual particles, grains, or
patches of the constituent of interest crossed by the grid lines.
2. P Intersections—Count the number of unlike phase boundaries or
A
constituent boundaries crossed by the grid lines.
3. If two or more contiguous particles, grains, or patches of the phase
or constituent of interest are crossed by the grid lines (none of the
other phase or constituent between the particles where crossed)
count them as one particle intercepted (N = 1). For P intersections,
do not count phase or constituent boundaries between like particles,
grains, etc. This problem occurs most commonly in N and P
L|| L||
measurements in highly banded structures.
4. When a test line is tangent to the particle, grain, or patch of interest,
N is counted as ⁄2 and P as 1.
5. If a test line ends within a particle, count N as ⁄2 and P as 1.
6. If the entire test line lies completely within the phase or feature of
interest (this can occur for parallel counts of a highly banded
material), count N as ⁄2 and P as 0.
A
If possible, etch the specimens so that like phase or constituent boundaries are
not revealed, only unlike boundaries.
10. Procedure
10.1 Place the polished and etched specimen on the microscope stage, select a suitable low magnification, for example, 50× or
100×, and examine the microstructure. Align the specimen so that the deformation direction is horizontal on the projection screen.
Randomly select the initial field by arbitrarily moving the stage and accepting the new field without further stage adjustment.
10.1.1 Bright field illumination will be used for most measurements. However, depending on the alloy or material being
examined, other illumination modes, such as polarized light or differential interference contrast illumination, may be used.
10.1.2 Measurements may also be made by placing the test grid on photomicrographs (see Guide E883), taken of randomly
selected fields, at suitable magnifications.
10.2 Qualitatively define the nature and extent of the banding or orientation present in accordance with the following guidelines.
Examination at higher magnification may be required to identify and classify the constituents present. Fig. 2 describes the
classification approach.
10.2.1 Determine if the banding or orientation present represents variations in the etch intensity of a single phase or constituent,
such as might result from segregation in a tempered martensite alloy steel specimen, or is due to preferential alignment of one or
more phases or constituents in a two-phase or multi-phase specimen.
10.2.2 For orientation or banding in a two-phase or multi-phase specimen, determine if only the minor phase or constituent is
preferentially aligned within the matrix phase. Alternatively, both phases may be aligned with neither appearing as a matrix phase.
10.2.3 For two-phase (constituent) or multiphase (constituent) microstructures, determine if the aligned second phase
(constituent) is banded in a layered manner or exists in an oriented, non-banded, randomly distributed manner.
10.2.4 For cases where a second phase or constituent is banded or oriented within a non-banded, nonoriented matrix, determine
if the banded or oriented constituent exists as discrete particles (the particles may be globular or elongated) or as a continuously
aligned constituent.
10.2.5 Describe the appearance of the distribution of the second phase (or, either lighter or darker etching regions within a single
phase microstructure) in terms of the pattern present, for example: isotropic (nonoriented(non-oriented or non-banded), nearly
isotropic, partially banded, partially oriented, diffusely banded, narrow bands, broad bands, mixed narrow and broad bands, fully
oriented, etc.
10.3 Place the grid lines over the projected image or photomicrograph of the randomly selected field so that the grid lines are
perpendicular to the deformation direction. The grid should be placed without operator bias. Decide which phase or constituent
is banded. If both phases or constituents are banded, with no obvious matrix phase, choose one of the phases (constituents) for
counting. Generally, it is best to count the banded phase present in least amount. Either N or P , or both (see 10.3.1 – 10.3.4 for
L L
definitions), may be measured, using grid orientations perpendicular (') and parallel (||) to the deformation direction, depending
on the purpose of the measurements or as required by other specifications.
10.3.1 Measurement of N —with the test grid perpendicular to the deformation direction, count the number of discrete
LL'
particles or features intercepted by the test lines. For a two-phase structure, count all of the interceptions of the phase of interest,
that is, those that are clearly part of the bands and those that are not. When two or more contiguous particles, grains, or patches
of the phase or constituent of interest are crossed by the grid line, that is, none of the other phase or constituent is present between
the like particles, grains, or patches, count them as one interception (N = 1). Tangent hits are counted as one half an interception.
If a line ends within a particle, patch or grain, count it as one half an interception. Table 1 provides rules for counting while Fig.
E1268 − 19
1 illustrates the counting procedure. Calculate the number of feature interceptions per unit length perpendicular to the deformation
axis,
N , in accordance with:
L'
N
'
N 5 (1)
L'
L
t
where:
N = number of interceptions and
'
L = true test line length in mm, that is, the length of the grid lines in mm divided by the magnification, M.
t
10.3.2 Measurement of N —Rotate the test grid over the same field and location measured for N so that the test lines are
L|| L
oriented parallel to the deformation direction. Do not deliberately orient the grid lines over any particular microstructural feature
or features. Count all of the feature interceptions, N , with the test lines (in the same way as described in 10.3.1) whether they are
||
obviously part of the banded region or not. Calculate the number of interceptions per unit length parallel to the deformation axis,
N , in accordance with:
L||
N
??
N 5 (2)
L ??
L
t
where:
L = true test line length as defined in 10.3.1.
t
10.3.3 Measurement of P —With the test grid perpendicular to the deformation direction, count the number of times the test
L'
lines intersect a particle, phase or constituent boundary,
P , whether the particle, pha
...








Questions, Comments and Discussion
Ask us and Technical Secretary will try to provide an answer. You can facilitate discussion about the standard in here.
Loading comments...