ISO 9223:1992
(Main)Corrosion of metals and alloys — Corrosivity of atmospheres — Classification
Corrosion of metals and alloys — Corrosivity of atmospheres — Classification
Specifies the three key factors in the atmospheric corrosion that are: the time of wetness, pollution by sulfur dioxide, air-borne salinity. Defines 5 categories of corrosivity of the atmosphere. Gives terms and definitions.
Corrosion des métaux et alliages — Corrosivité des atmosphères — Classification
La présente Norme internationale prescrit les facteurs de la corrosion atmosphérique des métaux et alliages, dont la durée de persistance de l'humidité sur les surfaces (r), la pollution par le dioxyde de soufre (SO2) (P) et le sel contenu dans l'air (S). Les classes de corrosivité (C) définies sur la base de ces trois facteurs sont utilisées en vue de la classification des atmosphères. La classification retenue dans la présente Norme internationale peut servir à l'évaluation directe de la corrosivité des atmosphères pour les métaux et alliages utilisés dans des conditions connues de durée de persistance de l'humidité sur les surfaces et de pollution par le dioxyde de soufre (SO2) et/ou de salinité de l'air. La présente Norme internationale rie caractérise pas la corrosivité d'atmosphères de service spécifique, du type atmosphères des industries chimiques ou métallurgiques. Les propriétés de ces environnements en matière de pollution et de durée de persistance de l'humidité sur les surfaces ne sont pas généralisables. Les catégories de pollution et les classes de corrosivité retenues peuvent être utilisées directement dans les analyses techniques et économiques des dommages causés par la corrosion et pour le choix rationnel des mesures de protection. L'annexe A résume le contenu technique de la présente Norme internationale sous une forme facile à étudier.
Korozija kovin in zlitin - Korozivnost atmosfer – Razvrstitev
General Information
- Status
- Withdrawn
- Publication Date
- 18-Feb-1992
- Withdrawal Date
- 18-Feb-1992
- Technical Committee
- ISO/TC 156 - Corrosion of metals and alloys
- Current Stage
- 9599 - Withdrawal of International Standard
- Start Date
- 27-Jan-2012
- Completion Date
- 12-Feb-2026
Relations
- Effective Date
- 10-Feb-2026
- Effective Date
- 10-Feb-2026
- Effective Date
- 10-Feb-2026
- Effective Date
- 28-Feb-2009
ISO 9223:1992 - Corrosion of metals and alloys -- Corrosivity of atmospheres -- Classification
ISO 9223:1992 - Corrosion des métaux et alliages -- Corrosivité des atmospheres -- Classification
ISO 9223:1992 - Corrosion des métaux et alliages -- Corrosivité des atmospheres -- Classification
Get Certified
Connect with accredited certification bodies for this standard

Element Materials Technology
Materials testing and product certification.
Inštitut za kovinske materiale in tehnologije
Institute of Metals and Technology. Materials testing, metallurgical analysis, NDT.
Sponsored listings
Frequently Asked Questions
ISO 9223:1992 is a standard published by the International Organization for Standardization (ISO). Its full title is "Corrosion of metals and alloys — Corrosivity of atmospheres — Classification". This standard covers: Specifies the three key factors in the atmospheric corrosion that are: the time of wetness, pollution by sulfur dioxide, air-borne salinity. Defines 5 categories of corrosivity of the atmosphere. Gives terms and definitions.
Specifies the three key factors in the atmospheric corrosion that are: the time of wetness, pollution by sulfur dioxide, air-borne salinity. Defines 5 categories of corrosivity of the atmosphere. Gives terms and definitions.
ISO 9223:1992 is classified under the following ICS (International Classification for Standards) categories: 77.060 - Corrosion of metals. The ICS classification helps identify the subject area and facilitates finding related standards.
ISO 9223:1992 has the following relationships with other standards: It is inter standard links to EN 60439-5:2006, EN 60439-5:1996, EN 61439-5:2011, ISO 9223:2012. Understanding these relationships helps ensure you are using the most current and applicable version of the standard.
ISO 9223:1992 is available in PDF format for immediate download after purchase. The document can be added to your cart and obtained through the secure checkout process. Digital delivery ensures instant access to the complete standard document.
Standards Content (Sample)
SLOVENSKI STANDARD
01-oktober-1999
Korozija kovin in zlitin - Korozivnost atmosfer – Razvrstitev
Corrosion of metals and alloys -- Corrosivity of atmospheres -- Classification
Corrosion des métaux et alliages -- Corrosivité des atmosphères -- Classification
Ta slovenski standard je istoveten z: ISO 9223:1992
ICS:
77.060 Korozija kovin Corrosion of metals
2003-01.Slovenski inštitut za standardizacijo. Razmnoževanje celote ali delov tega standarda ni dovoljeno.
ISO
INTERNATIONAL
STANDARD
First edition
Corrosion of metals and alloys - Corrosivity of
atmospheres - Classification
Corrosivite des atmosphb-es -
Corrosion des metaux et alliages -
Classifka tion
Reference number
ISO 9223: 1992(F)
Foreword
ISO (the International Organization for Standardization) is a worldwide
federation of national Standards bodies (ISO member bodies). The work
of preparing International Standards is not-mally carried out through ISO
technical committees. Esch member body interested in a subject for
which a technical committee has been established has the right to be
represented on that committee. International organizations, govern-
mental and non-governmental, in liaison with ISO, also take part in the
work. ISO collaborates closely with the International ElectrotechnicaJ
Commission (IEC) on all matters of electrotechnical standardization.
Oraft International Standards adopted by the technical committees are
circulated to the member bodies for voting. Publication as an Inter-
national Standard requires approval by at least 75 % of the member
bodies casting a vote.
International Standard ISO 9223 was prepared by Technical Committee
ISO/TC 156, Corrosion of metals and alloys.
Annex A forms an integral part of this International Standard. Annex B
is for information only.
0 ISO 1992
All rights reserved. No part of this publication may be reproduced or utilized in any form
or by any means, electronie or mechanical, including photocopying and microfilrn, withorrt
Permission in writing from the publisher.
International Organkation for Standardkation
Case Postale 56 l CH-1211 Geneve 20 l Switzerland
Printed in Switzerland
ii
Introduction
Metals, alloys and metallic coatings may suffer atmospheric corrosion
when their surfaces are wetted. The nature and rate of the attack will
depend upon the properties of surface-formed electrolytes, particularly
with regard to the level and type of gaseous and particulate pollutants
in the atmosphere and to the duration of their action on the metallic
srrrface.
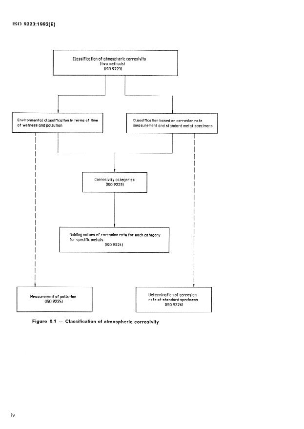
There are two ways of determining the corrosivity category of a given
location according to this International Standard (see figure 0.1).
The corrosivity categories arc defined by the corrosion effects on stan-
dard specimens as specified in ISO 9226. The corrosivity categories may
be assessed in terms of the most significant atmospheric factors influ-
encing the corrosion of metals and alloys i.e. time of wetness and pol-
lution level.
The corrosivity cateqory is a technical characteristic which provides a
basis for the selecti‘on of materials and protective measures in atmos-
pheric environments subject to the demands of the specific application,
particularly Lp\iith regard to Service life.
This International Standard does not take into consideration the design
and mode of Operation of the product which tan influence its corrosion
resistance, since these effects are highly specific and cannot be gener-
alized.
. . .
ClasslflcatIon of atmospkrlc corrosfvlty
(two methods)
(ISO 9223)
Classiflcatfon based on corroslon rate
Envlronmental classlflcatlon In terms of Urne
measwement and Standard metal specfmens
of wetness and pollution
I
.
I
l
Corroslvlty categorles
I
(ISO 9223) I
I
l
I
I
I
I
I
I
i I
.
l
I
Guldlng values at corroslon rate for each category
l
for speclflc metals I
I (ISO 9224)
I
I
l
/l
rate of Standard specTmens
- Classification of atmospkeric corrosivity
Figure 0.1
iv
INTERNATIONAL STANDARD ISO 9223:1992(E)
Corrosion of metals and alloys - Corrosivity of atmospheres
- Classification
dicated below. Members of IEC and ISO maintain
1 Scape
registers of currently valid International Standards.
1.1 This International Standard specifies the key ISO 8044: 1989, Corrosio~~ of metals and alloys - Vo-
factors in the atmospheric corrosion of metals and cabulary.
alloys. These are the time of wctness (T), pollution
by Sulfur dioxide (SO,) (1’) and ah--borne salinity ISO 9224: 1992, Corrosion of meials and alioys -
(S). Corrosivity categories (C), which ar-e defined on Corrosivity of atmospheres -- Guidinq values for the
.
the basis of these three factors, at-e used for the corrosivity categories.
classification of atmospheres.
ISO 92253992, Corrosion of mefals and alloys -
Corrosivity of atmospheres -- Measurement of pol-
1.2 The classification given in this International
lution.
Standard tan be used directly to evaluate the
corrosivity of atrnospheres for metals and alloys
ISO 9226:1992, Corrosion of metals and alloys -
under known conditions of time of wetness, pollution
Corrosivity of atmospheres --- Determination of cor-
by Sulfur dioxide (SO,) and/or airborne salinity.
rosion rate of Standard specimens for the evaluation
of corrosivity.
This International Standard does not characterize
the corrosivity of specific Service atmospheres, e.g.
atmospheres in the Chemical or metallurgical in-
dustries. The pollution and time of wetness charac- 3 Definitions
environments
terization of these cannot be
generalized.
For the purposes of this International Standard, the
following definitions apply.
The classified pollution and corrosivity cateqories
tan be directly used for technical and economical
3.1 corrosivity l) of the atmosphere: The ability of
analyses of corrosion darnage and for a rational
the atmosphere to Cause corrosion in a given cor-
choice of protection measures.
rosion System (e.g. atmospheric corrosion of a given
metal or alloy).
Annex A sumtnarizes the t echn ical GOI Iterit of this
International Standard in an easi ly read form.
3.2 time of wetness: The period during which a
metallic surface is covered by adsorptive and/or
liquid filmt; of electrolyte that are capable of causing
2 Normative references
afmospheric corrosion.
The following Standards contain provisions which,
3.2.1 calculated time of wetness: The time of
through reference in this text, constitute provisions
wetness estimated from the ternperature-humidity
of this International Standard. At the time of publi-
complex (see 5.2).
cation, the editions indicated were valid. All stan-
dards are subject to revision, and Parties to
3.2.2 experimental time of wetness: The time of
agreernents based on this International Standard
wetness indicated directly by various measuring
are encouraged to investigate the possibility of ap-
plying the most recent editions of the Standards in- systems (see 5.3).
1) See ISO 8044:1989, subclause 2.18.
the calculated t ime of wetness
3.3 pollution category: A numbered rank based on (T) of corroding sur-
faces (see note
quantitative measurements of specific chernically
?).
active substances, corrosive gases or suspended
particles in the air (both natura1 and the result of
5.3 The experimental time of wctness tan be de-
human activity) that are different from the normal
termined directly by various rneasurin(j Systems
,
components of the air.
(see note 2).
3.4 type of atmosphere: Characterization of the at-
5.4 The most irnportant factor within a pst ticular
mosphere on the basis of appropriate classification
category of time of wetness is the pollution level
criteria other than corrosivity (industt-ial, marine,
caused by sulphur dioxide or airborne salinity.
etc.) or of complementary operational factors
(Chemical, etc.).
5.5 The pollution level shall be rneasured in ac-
3.5 temperature-humidity complex: The combined
cordante with the specifications of ISO 9225.
effect of temperature and relative humidity on the
corrosivity of the atmosphere.
5.6 Other kinds of pollution tan also exer-t an effect
[Oxides of nitrogen, (NO,) and industrial dust in
3.6 category of location: Conventionally defined
populated and industrial zonesj or the specific op-
typical exposure conditions of a component or
erational and technological p&lution of microcli-
structure, e.g. in the open air, under Shelter-, in a
mates [chloride, (Cl,), hygrogen sulfide, (H,S),
closed space etc.
organic acids and de-iceing agents). These types of
pollution have not been used as classification ct-i-
teria.
4 Symbols and abbreviations
Accordinq to this International Standard, the other
z Time of wetness
kinds of‘ pollution should be considered as ac-
companying ones [for example: oxides of nitrogen
P Pollution category with Sulfur compounds
(NO,) in urban atmospheresl or specific operational
based on Sulfur dioxide (SO,) levels
ones (for example: vapours-of acids in operational
microclimates).
S Pollution category based on airborne salinity
contamination
NOTES
c Atmospheric corrosivity category
1 The time of wetness calculated by this method does
not necessarily correspond with the actuc71 time of ex-
0 Air temperature
posure to wetness, because wefness is influenced by: the
type of metal, the shape, mass and orientation of the ob-
h/a Hours per yeat
ject, the quantity of corrosion product, the nature of
pollutants on the surface and other factors. These con-
rate for the first year of atmospheric
r Corrosion
cot-r
siderations may increase or decrease the actual tirne of
exposure
wetness. However, this criterion is usually sufficiently ac-
curate for the characterization of atmospheres. The rel-
Y Average cor ,rosion rate for the first IO years of
C3V
evance of the time of wetness decreases with the degree
atmosph leric exposure
of sheltering.
state cot .rosion ra te derived from lonq
Steady
\
‘1 i n
2 The indicateci time may depend upon thc type of in-
c exposu re
term at mospheri
strument and the Sensor used. The tirnes of wetness indi-
cated by various Systems are not directly comparablci and
arc Convertible only within a limited extent of tempera-
ture-humidi ty characteristics.
5 Characterization of the atmosphere in
relation to its corrosivity
6 Classification of time of wetness
5.1 For the purposes of this International Standard,
the key corrosion factors of the atmosphere for
6.1 The time of wetness (according to 5.2 and 5.3)
metals and alloys at-e time of wetness, and Sulfur
depends upon the macroclimatic Zone and the cat-
dioxide (SO,) and chloride pollution levels.
egory of the location.
5.2 The wetting of surfaces is caused by many
6.2 The classification of tirne of wetness for at-
factors, for example, dew, rainfall, melting snow and rnospheres is given in table 1. The classified values
a high humidity level. The length of time whcn the at-e based on the long term characteristics of
relative humidity is greater than 80 % at a tem- macroclimatic zones for typical conditions of tlie Io-
perature (0) greater than 0 “C is used to estimate
cation categories.
6.4 For times of wetness rf, almost no conden-
6.3 The calculated times of wetness and selected
climatological characteristics of the macroclimatic sation is expected. For r2, the probability of liquid
zones of the Earth are shown in annex B as general forming on the metallic surface is low. Times zn to
guidelines. 75 include periods of condensation and precipitation.
Table 1 - Classification of time of wetness
Time of wetness
Category Example of occurrence
-- ---
7 < 0,l Internal microclimates with climatic control
Il
Internal microclimates without climatic control except for
IO<7 < 250 0,l < 7 < 3
l2
internal non-air-conditioned spaces in damp climates
Outdoor atmospheres in dry, cold climates and part of temper-
250 < 7 < 2 500 3<7<30
T3
ate climates; properly ventilated sheds in temperate climates
Outdoor atmospheres in all climates (except for the dry and cold
2 500 < 7 < 5 500 30 < 7 < 60 clirnates); ventilated sheds in humid conditions; unventilated
sheds in temperate climates
5 500 < 7 60 < 7 Part of damp climates; unventilated sheds in humid conditions
________ --_-----. ----- - ___-----_.-_--__------ --.- -- --- .---. I.---I_-._ -~-__I __ _____ __ _,_ ._--__ __ ._.___ ---.----- ---- -
NOTES
1 The time of wetness of a given locality depends on the temperature-humidity complex of the open air atmosphere
and the category of the location and is expressed in hours per year or as Part of exposure time (in percentage).
2 The values of time of wetness in percentage are rounded and informative only.
3 The occurrence column does not include all the possibilities due to the degree of sheltering.
4 Sheltered surfaces in marine atmospheres where chlorides are deposited may experience substantially increased
Limes of wetness, due to the presence of hygroscopic salts and should be classified in the category T~.
5 In indoor atmospheres without climatic control, the time of wetness categories r3 to ~~ tan occur when sources of
water vapour are present.
6 For the times of wetness q and r2, the probability of corrosinn is higher for dusty surfaces.
\
-----p.-P
7.2 The classification of pollution by sulfw- dioxicle
7 Classification of pollution categories
(SO,) fm- Standard outdoor atmospheres is qiven in
. .
table 2.
7.1 Atmospheric pollution is divided into two cat-
egories: pollution by Sulfur dioxide (SO,) and by air-
borne saiinity. These two types of pollution arc
representative for rural, urban, industrial and mar-
ine atmospheres.
Table 2 - Classification of pollution by sulphur-containing substahces represented by (SO,)
Deposition rate of SO, Concentration of SO,
Category
-- -m-P-
..--
P, < 10 Pc < 12
po
10<1’,<35 12 < Pc < 40
Pl
35 < Pd < 80 40 < Pc < 90
p2
80 < P, < 200 90 < Pc < 250
p3
~--------- .-_- -- -- -.----.-- -- --.-_---- .--~-.- -- .- .- -- .--. ----.- - .- -.--_--- _. -._.__.___ _ . . _. - _-_.--. . .- - ^- -- ----- --- - ---._---_ - _._____
NOTES
1 Methods of determination of Sulfur dioxide (SO,) are specified in ISO 9225.
2 The Sulfur dioxide (SO,) values determined by the deposition (I’,) and volumetric (I’,) methods at-e equivalent for the
purpose of classification. The relationship between measurements using both methods could he approximately ex-
pressed as: Pd = 0,8 Pc.
3 For the purposes of this Internation
...
ISO
INTERNATIONAL
STANDARD
First edition
Corrosion of metals and alloys - Corrosivity of
atmospheres - Classification
Corrosivite des atmosphb-es -
Corrosion des metaux et alliages -
Classifka tion
Reference number
ISO 9223: 1992(F)
Foreword
ISO (the International Organization for Standardization) is a worldwide
federation of national Standards bodies (ISO member bodies). The work
of preparing International Standards is not-mally carried out through ISO
technical committees. Esch member body interested in a subject for
which a technical committee has been established has the right to be
represented on that committee. International organizations, govern-
mental and non-governmental, in liaison with ISO, also take part in the
work. ISO collaborates closely with the International ElectrotechnicaJ
Commission (IEC) on all matters of electrotechnical standardization.
Oraft International Standards adopted by the technical committees are
circulated to the member bodies for voting. Publication as an Inter-
national Standard requires approval by at least 75 % of the member
bodies casting a vote.
International Standard ISO 9223 was prepared by Technical Committee
ISO/TC 156, Corrosion of metals and alloys.
Annex A forms an integral part of this International Standard. Annex B
is for information only.
0 ISO 1992
All rights reserved. No part of this publication may be reproduced or utilized in any form
or by any means, electronie or mechanical, including photocopying and microfilrn, withorrt
Permission in writing from the publisher.
International Organkation for Standardkation
Case Postale 56 l CH-1211 Geneve 20 l Switzerland
Printed in Switzerland
ii
Introduction
Metals, alloys and metallic coatings may suffer atmospheric corrosion
when their surfaces are wetted. The nature and rate of the attack will
depend upon the properties of surface-formed electrolytes, particularly
with regard to the level and type of gaseous and particulate pollutants
in the atmosphere and to the duration of their action on the metallic
srrrface.
There are two ways of determining the corrosivity category of a given
location according to this International Standard (see figure 0.1).
The corrosivity categories arc defined by the corrosion effects on stan-
dard specimens as specified in ISO 9226. The corrosivity categories may
be assessed in terms of the most significant atmospheric factors influ-
encing the corrosion of metals and alloys i.e. time of wetness and pol-
lution level.
The corrosivity cateqory is a technical characteristic which provides a
basis for the selecti‘on of materials and protective measures in atmos-
pheric environments subject to the demands of the specific application,
particularly Lp\iith regard to Service life.
This International Standard does not take into consideration the design
and mode of Operation of the product which tan influence its corrosion
resistance, since these effects are highly specific and cannot be gener-
alized.
. . .
ClasslflcatIon of atmospkrlc corrosfvlty
(two methods)
(ISO 9223)
Classiflcatfon based on corroslon rate
Envlronmental classlflcatlon In terms of Urne
measwement and Standard metal specfmens
of wetness and pollution
I
.
I
l
Corroslvlty categorles
I
(ISO 9223) I
I
l
I
I
I
I
I
I
i I
.
l
I
Guldlng values at corroslon rate for each category
l
for speclflc metals I
I (ISO 9224)
I
I
l
/l
rate of Standard specTmens
- Classification of atmospkeric corrosivity
Figure 0.1
iv
INTERNATIONAL STANDARD ISO 9223:1992(E)
Corrosion of metals and alloys - Corrosivity of atmospheres
- Classification
dicated below. Members of IEC and ISO maintain
1 Scape
registers of currently valid International Standards.
1.1 This International Standard specifies the key ISO 8044: 1989, Corrosio~~ of metals and alloys - Vo-
factors in the atmospheric corrosion of metals and cabulary.
alloys. These are the time of wctness (T), pollution
by Sulfur dioxide (SO,) (1’) and ah--borne salinity ISO 9224: 1992, Corrosion of meials and alioys -
(S). Corrosivity categories (C), which ar-e defined on Corrosivity of atmospheres -- Guidinq values for the
.
the basis of these three factors, at-e used for the corrosivity categories.
classification of atmospheres.
ISO 92253992, Corrosion of mefals and alloys -
Corrosivity of atmospheres -- Measurement of pol-
1.2 The classification given in this International
lution.
Standard tan be used directly to evaluate the
corrosivity of atrnospheres for metals and alloys
ISO 9226:1992, Corrosion of metals and alloys -
under known conditions of time of wetness, pollution
Corrosivity of atmospheres --- Determination of cor-
by Sulfur dioxide (SO,) and/or airborne salinity.
rosion rate of Standard specimens for the evaluation
of corrosivity.
This International Standard does not characterize
the corrosivity of specific Service atmospheres, e.g.
atmospheres in the Chemical or metallurgical in-
dustries. The pollution and time of wetness charac- 3 Definitions
environments
terization of these cannot be
generalized.
For the purposes of this International Standard, the
following definitions apply.
The classified pollution and corrosivity cateqories
tan be directly used for technical and economical
3.1 corrosivity l) of the atmosphere: The ability of
analyses of corrosion darnage and for a rational
the atmosphere to Cause corrosion in a given cor-
choice of protection measures.
rosion System (e.g. atmospheric corrosion of a given
metal or alloy).
Annex A sumtnarizes the t echn ical GOI Iterit of this
International Standard in an easi ly read form.
3.2 time of wetness: The period during which a
metallic surface is covered by adsorptive and/or
liquid filmt; of electrolyte that are capable of causing
2 Normative references
afmospheric corrosion.
The following Standards contain provisions which,
3.2.1 calculated time of wetness: The time of
through reference in this text, constitute provisions
wetness estimated from the ternperature-humidity
of this International Standard. At the time of publi-
complex (see 5.2).
cation, the editions indicated were valid. All stan-
dards are subject to revision, and Parties to
3.2.2 experimental time of wetness: The time of
agreernents based on this International Standard
wetness indicated directly by various measuring
are encouraged to investigate the possibility of ap-
plying the most recent editions of the Standards in- systems (see 5.3).
1) See ISO 8044:1989, subclause 2.18.
the calculated t ime of wetness
3.3 pollution category: A numbered rank based on (T) of corroding sur-
faces (see note
quantitative measurements of specific chernically
?).
active substances, corrosive gases or suspended
particles in the air (both natura1 and the result of
5.3 The experimental time of wctness tan be de-
human activity) that are different from the normal
termined directly by various rneasurin(j Systems
,
components of the air.
(see note 2).
3.4 type of atmosphere: Characterization of the at-
5.4 The most irnportant factor within a pst ticular
mosphere on the basis of appropriate classification
category of time of wetness is the pollution level
criteria other than corrosivity (industt-ial, marine,
caused by sulphur dioxide or airborne salinity.
etc.) or of complementary operational factors
(Chemical, etc.).
5.5 The pollution level shall be rneasured in ac-
3.5 temperature-humidity complex: The combined
cordante with the specifications of ISO 9225.
effect of temperature and relative humidity on the
corrosivity of the atmosphere.
5.6 Other kinds of pollution tan also exer-t an effect
[Oxides of nitrogen, (NO,) and industrial dust in
3.6 category of location: Conventionally defined
populated and industrial zonesj or the specific op-
typical exposure conditions of a component or
erational and technological p&lution of microcli-
structure, e.g. in the open air, under Shelter-, in a
mates [chloride, (Cl,), hygrogen sulfide, (H,S),
closed space etc.
organic acids and de-iceing agents). These types of
pollution have not been used as classification ct-i-
teria.
4 Symbols and abbreviations
Accordinq to this International Standard, the other
z Time of wetness
kinds of‘ pollution should be considered as ac-
companying ones [for example: oxides of nitrogen
P Pollution category with Sulfur compounds
(NO,) in urban atmospheresl or specific operational
based on Sulfur dioxide (SO,) levels
ones (for example: vapours-of acids in operational
microclimates).
S Pollution category based on airborne salinity
contamination
NOTES
c Atmospheric corrosivity category
1 The time of wetness calculated by this method does
not necessarily correspond with the actuc71 time of ex-
0 Air temperature
posure to wetness, because wefness is influenced by: the
type of metal, the shape, mass and orientation of the ob-
h/a Hours per yeat
ject, the quantity of corrosion product, the nature of
pollutants on the surface and other factors. These con-
rate for the first year of atmospheric
r Corrosion
cot-r
siderations may increase or decrease the actual tirne of
exposure
wetness. However, this criterion is usually sufficiently ac-
curate for the characterization of atmospheres. The rel-
Y Average cor ,rosion rate for the first IO years of
C3V
evance of the time of wetness decreases with the degree
atmosph leric exposure
of sheltering.
state cot .rosion ra te derived from lonq
Steady
\
‘1 i n
2 The indicateci time may depend upon thc type of in-
c exposu re
term at mospheri
strument and the Sensor used. The tirnes of wetness indi-
cated by various Systems are not directly comparablci and
arc Convertible only within a limited extent of tempera-
ture-humidi ty characteristics.
5 Characterization of the atmosphere in
relation to its corrosivity
6 Classification of time of wetness
5.1 For the purposes of this International Standard,
the key corrosion factors of the atmosphere for
6.1 The time of wetness (according to 5.2 and 5.3)
metals and alloys at-e time of wetness, and Sulfur
depends upon the macroclimatic Zone and the cat-
dioxide (SO,) and chloride pollution levels.
egory of the location.
5.2 The wetting of surfaces is caused by many
6.2 The classification of tirne of wetness for at-
factors, for example, dew, rainfall, melting snow and rnospheres is given in table 1. The classified values
a high humidity level. The length of time whcn the at-e based on the long term characteristics of
relative humidity is greater than 80 % at a tem- macroclimatic zones for typical conditions of tlie Io-
perature (0) greater than 0 “C is used to estimate
cation categories.
6.4 For times of wetness rf, almost no conden-
6.3 The calculated times of wetness and selected
climatological characteristics of the macroclimatic sation is expected. For r2, the probability of liquid
zones of the Earth are shown in annex B as general forming on the metallic surface is low. Times zn to
guidelines. 75 include periods of condensation and precipitation.
Table 1 - Classification of time of wetness
Time of wetness
Category Example of occurrence
-- ---
7 < 0,l Internal microclimates with climatic control
Il
Internal microclimates without climatic control except for
IO<7 < 250 0,l < 7 < 3
l2
internal non-air-conditioned spaces in damp climates
Outdoor atmospheres in dry, cold climates and part of temper-
250 < 7 < 2 500 3<7<30
T3
ate climates; properly ventilated sheds in temperate climates
Outdoor atmospheres in all climates (except for the dry and cold
2 500 < 7 < 5 500 30 < 7 < 60 clirnates); ventilated sheds in humid conditions; unventilated
sheds in temperate climates
5 500 < 7 60 < 7 Part of damp climates; unventilated sheds in humid conditions
________ --_-----. ----- - ___-----_.-_--__------ --.- -- --- .---. I.---I_-._ -~-__I __ _____ __ _,_ ._--__ __ ._.___ ---.----- ---- -
NOTES
1 The time of wetness of a given locality depends on the temperature-humidity complex of the open air atmosphere
and the category of the location and is expressed in hours per year or as Part of exposure time (in percentage).
2 The values of time of wetness in percentage are rounded and informative only.
3 The occurrence column does not include all the possibilities due to the degree of sheltering.
4 Sheltered surfaces in marine atmospheres where chlorides are deposited may experience substantially increased
Limes of wetness, due to the presence of hygroscopic salts and should be classified in the category T~.
5 In indoor atmospheres without climatic control, the time of wetness categories r3 to ~~ tan occur when sources of
water vapour are present.
6 For the times of wetness q and r2, the probability of corrosinn is higher for dusty surfaces.
\
-----p.-P
7.2 The classification of pollution by sulfw- dioxicle
7 Classification of pollution categories
(SO,) fm- Standard outdoor atmospheres is qiven in
. .
table 2.
7.1 Atmospheric pollution is divided into two cat-
egories: pollution by Sulfur dioxide (SO,) and by air-
borne saiinity. These two types of pollution arc
representative for rural, urban, industrial and mar-
ine atmospheres.
Table 2 - Classification of pollution by sulphur-containing substahces represented by (SO,)
Deposition rate of SO, Concentration of SO,
Category
-- -m-P-
..--
P, < 10 Pc < 12
po
10<1’,<35 12 < Pc < 40
Pl
35 < Pd < 80 40 < Pc < 90
p2
80 < P, < 200 90 < Pc < 250
p3
~--------- .-_- -- -- -.----.-- -- --.-_---- .--~-.- -- .- .- -- .--. ----.- - .- -.--_--- _. -._.__.___ _ . . _. - _-_.--. . .- - ^- -- ----- --- - ---._---_ - _._____
NOTES
1 Methods of determination of Sulfur dioxide (SO,) are specified in ISO 9225.
2 The Sulfur dioxide (SO,) values determined by the deposition (I’,) and volumetric (I’,) methods at-e equivalent for the
purpose of classification. The relationship between measurements using both methods could he approximately ex-
pressed as: Pd = 0,8 Pc.
3 For the purposes of this International Standard, the Sulfur dioxide (SO,) deposition rate and concentration at-e cal-
culated from continuous measurements during at least one year and are expressed as the annual average. The result
of short term measurements may differ considerably from lang term averages. Such results arc only used for guidance.
4 Any concentration of Sulfur dioxide (SO,) within cateqory P, is considered to he the background concentration and
is insignificant from the Point of view of corrosive nttack.
5 Pollution by Sulfur dioxide (SO,) withi
...
NORME
INTERNATIONALE
Première édition
1992-02-l 5
Corrosion des métaux et alliages - Corrosivité
des atmosphères - Classification
Corrosivity of atmospheres -
Corrosion of metals and alloys -
Classitïca tien
Numéro de référence
ISO 9223: 1992(F)
- -
----__---
Avant-propos
L’ISO (Organisation internationale de normalisation) est une fédération
mondiale d’organismes nationaux de normalisation (comités membres
de I’ISO). L’élaboration des Normes internationales est en général
confiée aux comités techniques de I’ISO. Chaque comité membre inté-
ressé par une étude a le droit de faire partie du comité technique créé
à cet effet. Les organisations internationales, gouvernementales et non
gouvernementales, en liaison avec I’ISO participent également aux tra-
vaux. L’ISO collabore étroitement avec la Commission électrotechnique
internationale (CEI) en ce qui concerne la normalisation électrotech-
nique.
Les projets de Normes internationales adoptés par les comités techni-
ques sont soumis aux comités membres pour vote. Leur publication
comme Normes internationales requiert l’approbation de 75 % au moins
des comités membres votants.
La Norme internationale ISO 9223 a été élaborée par le comité techni-
que ISO/TC 156, Corrosion des métaux et alliages.
L’annexe A fait partie i ntégrante de I a présente Norme internationale.
L’annexe B est donnée uniqueme nt à ti tre d’information.
0 ISO 1992
Droits de reproduction réservés. Aucune partie de cette publication ne peut être repro-
duite ni utilisée sous quelque forme que ce soit et par aucun procédé, électronique ou
mécanique, y compris la photocopie et les microfilms, sans l’accord écrit de l’éditeur.
Organisation internationale de normalisation
Case Postale 56 l CH-121 1 Genève 20 l Suisse
Imprimé en Suisse
ii
Introduction
Les métaux, alliages et revêtements métalliques peuvent être affectés
par la corrosion lorsque leur surface est humide. La nature et la vitesse
de l’attaque correspondante dépendent des propriétés des électrolytes
qui se forment en surface, du niveau et du type des polluants gazeux
et particulaires dans l’atmosphère et de la durée de leur action sur la
surface métallique.
Les données relatives à la corrosivité de l’atmosphère sont essentielles
pour la mise au point et la spécifïcation de produits manufacturés ayant
une résistance optimale à la corrosion.
II existe deux manières, selon la présente Norme internationale, de dé-
terminer la classe de corrosivité de l’atmosphère d’un lieu donné (voir
figure 0.1).
Les classes de corrosivité se définissent en termes d’effets de la cor-
rosion sur des éprouvettes conformes aux prescriptions de I’ISO 9226.
Elles peuvent aussi s’évaluer en fonction des facteurs atmosphériques
jouant le rôle le plus significatif en matière de corrosion des métaux et
alliages, à savoir la durée d’exposition à l’humidité et le niveau de pol-
lution.
La classe de corrosivité est une caractéristique technique permettant
de choisir des matériaux et des techniques de protection adaptés aux
conditions atmosphériques et aux exigences particulières de I’utili-
sation, notamment en matière de durée de vie.
La présente Norme internationale ne tient pas compte de la conception
et du fonctionnement du produit qui peuvent influencer sa résistance à
la corrosion, donc sa durabilité. Ces facteurs sont en effet extrknement
spécifiques et ne peuvent pas etre généralisés.
. . .
Ill
Classtflca tlon de la corroslvtte de l’a tmosphere
(deux methodes)
wo 9223)
t
Classtflcatton de l’envIronnement en termes de Classfflcatlon fondee sur le mesurage de la
durtie d’exposition h l’humidltio et de pollutfon vftesse de corrosion et des metaux @talons
I
I
l
I
I
I
I
I
I
I
I
Valeurs de WClrence de la vitesse de carrasfan dans
chaque classe pour des metaux specIfIques
(KO 9224)
r
Détermlnatlon de la vitesse de
Mesurage de la pollution
corroslond'éprouvettestypes
US0 9225)
OS0 9226)
Figure 0.1 - Classification de la corrosivité atmosphérique
iv
NORME INTERNATIONALE ISO 9223:1992(F)
Corrosion des métaux et alliages - Corrosivité des
atmosphères - Classification
sente Norme internationale. Au moment de la pu-
1 Domaine d’application
blication, les éditions indiquées étaient en vigueur.
Toute norme est sujette à révision et les parties
1.1 La présente Norme internationale prescrit les
prenantes des accords fondés sur la présente
facteurs de la corrosion atmosphérique des métaux
Norme internationale sont invitées à rechercher la
et alliages, dont la durée de persistance de I’humi-
possibilité d’appliquer les éditions les plus récentes
dité sur les surfaces (t), la pollution par le dioxyde
des normes indiquées ci-après. Les membres de la
de soufre (SO,) (P) et le sel contenu dans l’air (S).
CEI et de I’ISO possèdent le registre des Normes
Les classes de corrosivité (C) définies sur la base
internationales en vigueur à un moment donné.
de ces trois facteurs sont utilisées en vue de la
classification des atmosphères.
ISO 8044:1989, Corrosior~ des métaux ef alliages -
Vocabcrlaire.
1.2 La classification retenue dans la présente
ISO 9224:1992, Corrosion des métaux et alliages -
Norme internationale peut servir à l’évaluation di-
Corrosivité des atmosphères - Valeurs de référence
recte de la corrosivité des atmosphères pour les
relatives aux classes de corrosivité.
métaux et alliages utilisés dans des conditions
connues de durée de persistance de l’humidité sur
ISO 9225:1992, Corrosion des métaux et alliages --
les surfaces et de pollution par le dioxyde de soufre
(SO,) et/ou de salinité de l’air. Corrosivité des atmosphkes - Mesurage de la pol-
Intion.
La présente Norme internationale ne caractérise
pas la corrosivité d’atmosphères de service spécifi-
ISO 92263992, Corrosion des nMalJx et alliages -
que, du type atmosphères des industries chimiques
Corrosivité des atmosphères - Détermination de la
ou métallurgiques. Les propriétés de ces environ-
vitesse de corrosion d’éprorwettes types pour I’éva-
nements en matière de pollution et de durée de
luation de la corrosivité.
persistance de l’humidité sur les surfaces ne sont
pas généralisables.
Les catégories de pollution et les classes de
3 Définitions
corrosivité retenues peuvent être utilisées direc-
tement dans les analyses techniques et économi-
Pour les besoins de la présente Norme internatio-
ques des dommages causés par la corrosion et pour
nale, les définitions suivantes s’appliquent.
le choix rationnel des mesures de protection.
3.1 corrosivitél) de l’atmosphère: Capacité de I’at-
L’annexe A résume le contenu technique de la pré-
mosphère de provoquer une corrosion dans un sys-
sente Norme internationale sous une forme facile à
tème donné (par exemple corrosion atmosphérique
étudier.
d’un métal ou d’un alliage donné).
3.2 durée de persistance de l’humidité sur la sur-
2 Références normatives
face: Intervalle de temps pendant lequel une surface
Les normes suivantes contiennent des dispositions métallique est recouverte d’une pellicule adsorbée
qui, par suite de la référence qui en est faite, et/ou liquide d’électrolyte capable de provoquer une
corrosion atmosphérique.
constituent des dispositions valables pour la pré-
.
1) Voir ISO 8044:1989, paragraphe 2.18.
3.2.1 durée calculée de persistance de l’humidité 5.1 Les facteurs, dès qu’ils ont été retenus pour
sur les surfaces: Durée de persistance de l’humidité les besoins de la présente Norme internationale afin
sur les surfaces estimée en fonction de la relation de caractériser la corrosion des métaux et alliages ”
température-humidité (voir 5.2). par l’atmosphère, sont la durée de persistance de i;;’
l’humidité sur les surfaces et les niveaux de pollu- i
tion par le dioxyde de soufre (SO,) et les chlorures. )
3.2.2 durée expérimentale de persistance de I’hu-
midité sur les surfaces: Durée de persistance de
l’humidité sur les surfaces indiquée directement par
5.2 De nombreux facteurs peuvent humidifier les
divers systèmes de mesurage (voir 5.3).
surfaces, par exemple la rosée, la pluie, la neige
fondue et un taux d’humidité élevé. Pour estimer la
3.3 catégorie de pollution: Rang numéroté basé sur
durée calculée de persistance de l’humidité (7) sur
les mesurages quantitatifs de substances chimiques
les surfaces corrodées, on se fonde sur la durée
actives prescrites, de gaz corrosifs ou de particules
pendant laquelle l’humidité relative (RH) dépasse
tant naturelles qui proviennent des activites humai-
80 % à une température 0 supérieure à 0 OC (voir
nes en suspension dans l’air et différentes des
note 1).
composants ordinaires de l’air.
3.4 type d’atmosphère: Notion caractérisant I’at- 5.3 La durée expérimentale de persistance de
mosphère sur la base de critères de classification l’humidité sur les surfaces peut être déterminée di-
rectement à l’aide de divers systèmes de mesurage
appropriés qui ne sont pas la corrosivité (indus-
(voir note 2).
trielle, maritime, etc.) ou des facteurs opérationnels
complémentaires (chimiques, etc.).
5.4 Le facteur le plus important dans une classe
3.5 relation température-humidité: Effet conjoint de
particulière de durée de persistance de l’humidité
la température et de l’humidité relative sur la
sur les surfaces est le niveau de pollution par le
corrosivité de l’atmosphère.
dioxyde de soufre ou le sel contenu dans l’air.
3.6 catégorie d’emplacement: Condition type d’ex-
position d’un composant ou d’une structure définie 5.5 Le niveau de pollution doit être mesuré
par convention, par exemple: a l’air libre! sous abri, conformément aux prescriptions de I’ISO 9225.
dans un espace clos, etc.
5.6 D’autres types de pollution peuvent également
excercer un effet [notamment les oxydes d’azote
4 Symboles et abréviations
(NO,) et les poussières industrielles dans les zones
peuplées et industrialisées] ou encore la pollution
Durée de persistance de 1’humidit.é sur les
opérationnelle et technologique des
spécifique,
surfaces
microclimats [notamment le chlore (Cl,), le sulfure
d’hydrogène (H2S), les acides organiques et les
P Catégorie de pollution par les composés du
dégivrants]. Ces types de pollution n’ont pas été
soufre, fonction des niveaux de dioxyde de
retenus comme critères de classification.
soufre (SO,)
Conformément a la présente Norme internationale,
S Catégorie de pollution fondée sut- la contami-
les autres types de pollution doivent être considérés
nation par le sel contenu dans l’air
des facteurs d’accompagnement [par
comme
c Classe de corrosivité atmosphérique oxydes d’azote (NO,) dans les atmo-
exemple:
sphères urbaines] ou des facteurs opérationnels
0 Température de l’air
spécifiques (par exemple: les vapeurs d’acides des
microclimats opérationnels).
hla Heures par an
NOTES
Vitesse de corrosion pour la première année
Garr
d’exposition atmosphérique
1 La durée de persistance de l’humidité sur les surfaces
calculée par la présente méthode ne correspond pas né-
Y
Vitesse moyenne de corrosion sur les 10 pre-
cessairement à la durée réelle de persistance de l’humi-
aV
mières années d’exposition atmosphérique dité sur les surfaces car de nombreux facteurs entrent en
jeu: type de métal, forme, masse et orientation de l’objet,
Vitesse stabilisée de corrosion résultant d’une
quantité de produit de corrosion, nature des polluants de
h
longue exposition atmosphérique surfaces et autres. Ces considérations peuvent augmen-
ter ou diminuer la durée réelle de persistance de I’humi-
dité. Ce critére est néanmoins considéré comme
suffisamment précis pour caractériser les atmosphères.
5 Caractérisation de l’atmosphère en
Son importance diminue cependant lorsqu’on peut mettre
le produit sous abri.
fonction de sa corrosivité
La durée indiquée dépend du type d’instrument et de
zones macroclimatiques dans des conditions types
capteur utilisé. Les durées de persistance de l’humidité
de catégories d’emplacement.
indiquées par différents systèmes ne sont pas direc-
tement comparables et ne sont convertibles que dans la
limite des conditions de température et d’humidité consi-
dérées.
6.3 Les durées calculées de persistance de I’hu-
midité sur les surfaces et les caractéristiques cli-
matologiques retenues des zones macrocli
6 Classification des durées de
de la terre sont données à titre de
persistance de l’humidité sur les surfaces
générale dans l’annexe B.
\
------_-/
6.1 La durée de persistance de l’humidité (selon
5.2 et 5.3) dépend de la zone macroclimatique et de
la catégorie d’emplacement considérées.
6.4 A la durée de persistance de l’humidité zl, on
ne prévoit quasi aucune condensation. Pour Tu, la
6.2 La classification des durées de persistance de probabilité de formation d’une pellicule liquide à la
l’humidité en fonction des atmosphères est donnée surface du métal est faible. Les durées 73 à r5 com-
dans le tableau 1. Les valeurs correspondantes se portent des périodes de condensation et de précipi-
fondent sur les caractéristiques à long ter-me des tations.
Tableau 1 - Classification de la durée de persistance de I’humidité sur les surfaces
Durée de persistance de l’humidité
Classe Exemple de situation correspondante
h/a
7 < 10 7 < 0,l Microclimats intisrieurs avec climatisation
Tl
Microclimats intérieurs sans climatisation sauf espaces inté-
0,l < z < 3
lO
rieurs non climatisés des zones climatiques humides
Atmosphères extérieures des zones clitnatiques sèches, froides
250 < z < 2 500 3<7<30 et d’une partie des zones tempérées; hangars convenablement
ventilés dans les zones climatiques tempérées
Atmosphères extérieures de toutes les zones climatiques (sauf
2 500 < 7 < 5 500 30 < -T < 60 sèches et froides); hangars ventilés en climat humide; hangars
non ventilés en climat tempéré
Partie des zones climatiques humides; hangars non ventilés en
5 500 < 7 60 < z
climat !wmide
NOTES
1 La durée de persistance de l’humidité dans une localité donnée dépend de la relation température-humidité de
l’atmosphère en air libre et de la catégorie de I’etnplacement. Elle s’exprime en heures par an ou en pourcentage de
durée de persistance de l’humidité (Oh).
2 Les valeurs de durée de persistance de l’humidité exprimées en pourcentage sont arrondies et ne sont données qu’à
titre d’information.
La colonne indiquant les situations correspondantes ne tient pas compte de toutes les possibilités de mise sous abri
qui peuvent s’offrir.
4 Les surfaces protégées en atmosphères maritimes où peuvent se produire des dépôts de chlorures peuvent voir
leurs durées de persistance de l’humidité s’accroître de facon substantielle en raison de la présence de sels hygro-
scopiques. Elles doivent être rang
...
NORME
INTERNATIONALE
Première édition
1992-02-l 5
Corrosion des métaux et alliages - Corrosivité
des atmosphères - Classification
Corrosivity of atmospheres -
Corrosion of metals and alloys -
Classitïca tien
Numéro de référence
ISO 9223: 1992(F)
- -
----__---
Avant-propos
L’ISO (Organisation internationale de normalisation) est une fédération
mondiale d’organismes nationaux de normalisation (comités membres
de I’ISO). L’élaboration des Normes internationales est en général
confiée aux comités techniques de I’ISO. Chaque comité membre inté-
ressé par une étude a le droit de faire partie du comité technique créé
à cet effet. Les organisations internationales, gouvernementales et non
gouvernementales, en liaison avec I’ISO participent également aux tra-
vaux. L’ISO collabore étroitement avec la Commission électrotechnique
internationale (CEI) en ce qui concerne la normalisation électrotech-
nique.
Les projets de Normes internationales adoptés par les comités techni-
ques sont soumis aux comités membres pour vote. Leur publication
comme Normes internationales requiert l’approbation de 75 % au moins
des comités membres votants.
La Norme internationale ISO 9223 a été élaborée par le comité techni-
que ISO/TC 156, Corrosion des métaux et alliages.
L’annexe A fait partie i ntégrante de I a présente Norme internationale.
L’annexe B est donnée uniqueme nt à ti tre d’information.
0 ISO 1992
Droits de reproduction réservés. Aucune partie de cette publication ne peut être repro-
duite ni utilisée sous quelque forme que ce soit et par aucun procédé, électronique ou
mécanique, y compris la photocopie et les microfilms, sans l’accord écrit de l’éditeur.
Organisation internationale de normalisation
Case Postale 56 l CH-121 1 Genève 20 l Suisse
Imprimé en Suisse
ii
Introduction
Les métaux, alliages et revêtements métalliques peuvent être affectés
par la corrosion lorsque leur surface est humide. La nature et la vitesse
de l’attaque correspondante dépendent des propriétés des électrolytes
qui se forment en surface, du niveau et du type des polluants gazeux
et particulaires dans l’atmosphère et de la durée de leur action sur la
surface métallique.
Les données relatives à la corrosivité de l’atmosphère sont essentielles
pour la mise au point et la spécifïcation de produits manufacturés ayant
une résistance optimale à la corrosion.
II existe deux manières, selon la présente Norme internationale, de dé-
terminer la classe de corrosivité de l’atmosphère d’un lieu donné (voir
figure 0.1).
Les classes de corrosivité se définissent en termes d’effets de la cor-
rosion sur des éprouvettes conformes aux prescriptions de I’ISO 9226.
Elles peuvent aussi s’évaluer en fonction des facteurs atmosphériques
jouant le rôle le plus significatif en matière de corrosion des métaux et
alliages, à savoir la durée d’exposition à l’humidité et le niveau de pol-
lution.
La classe de corrosivité est une caractéristique technique permettant
de choisir des matériaux et des techniques de protection adaptés aux
conditions atmosphériques et aux exigences particulières de I’utili-
sation, notamment en matière de durée de vie.
La présente Norme internationale ne tient pas compte de la conception
et du fonctionnement du produit qui peuvent influencer sa résistance à
la corrosion, donc sa durabilité. Ces facteurs sont en effet extrknement
spécifiques et ne peuvent pas etre généralisés.
. . .
Ill
Classtflca tlon de la corroslvtte de l’a tmosphere
(deux methodes)
wo 9223)
t
Classtflcatton de l’envIronnement en termes de Classfflcatlon fondee sur le mesurage de la
durtie d’exposition h l’humidltio et de pollutfon vftesse de corrosion et des metaux @talons
I
I
l
I
I
I
I
I
I
I
I
Valeurs de WClrence de la vitesse de carrasfan dans
chaque classe pour des metaux specIfIques
(KO 9224)
r
Détermlnatlon de la vitesse de
Mesurage de la pollution
corroslond'éprouvettestypes
US0 9225)
OS0 9226)
Figure 0.1 - Classification de la corrosivité atmosphérique
iv
NORME INTERNATIONALE ISO 9223:1992(F)
Corrosion des métaux et alliages - Corrosivité des
atmosphères - Classification
sente Norme internationale. Au moment de la pu-
1 Domaine d’application
blication, les éditions indiquées étaient en vigueur.
Toute norme est sujette à révision et les parties
1.1 La présente Norme internationale prescrit les
prenantes des accords fondés sur la présente
facteurs de la corrosion atmosphérique des métaux
Norme internationale sont invitées à rechercher la
et alliages, dont la durée de persistance de I’humi-
possibilité d’appliquer les éditions les plus récentes
dité sur les surfaces (t), la pollution par le dioxyde
des normes indiquées ci-après. Les membres de la
de soufre (SO,) (P) et le sel contenu dans l’air (S).
CEI et de I’ISO possèdent le registre des Normes
Les classes de corrosivité (C) définies sur la base
internationales en vigueur à un moment donné.
de ces trois facteurs sont utilisées en vue de la
classification des atmosphères.
ISO 8044:1989, Corrosior~ des métaux ef alliages -
Vocabcrlaire.
1.2 La classification retenue dans la présente
ISO 9224:1992, Corrosion des métaux et alliages -
Norme internationale peut servir à l’évaluation di-
Corrosivité des atmosphères - Valeurs de référence
recte de la corrosivité des atmosphères pour les
relatives aux classes de corrosivité.
métaux et alliages utilisés dans des conditions
connues de durée de persistance de l’humidité sur
ISO 9225:1992, Corrosion des métaux et alliages --
les surfaces et de pollution par le dioxyde de soufre
(SO,) et/ou de salinité de l’air. Corrosivité des atmosphkes - Mesurage de la pol-
Intion.
La présente Norme internationale ne caractérise
pas la corrosivité d’atmosphères de service spécifi-
ISO 92263992, Corrosion des nMalJx et alliages -
que, du type atmosphères des industries chimiques
Corrosivité des atmosphères - Détermination de la
ou métallurgiques. Les propriétés de ces environ-
vitesse de corrosion d’éprorwettes types pour I’éva-
nements en matière de pollution et de durée de
luation de la corrosivité.
persistance de l’humidité sur les surfaces ne sont
pas généralisables.
Les catégories de pollution et les classes de
3 Définitions
corrosivité retenues peuvent être utilisées direc-
tement dans les analyses techniques et économi-
Pour les besoins de la présente Norme internatio-
ques des dommages causés par la corrosion et pour
nale, les définitions suivantes s’appliquent.
le choix rationnel des mesures de protection.
3.1 corrosivitél) de l’atmosphère: Capacité de I’at-
L’annexe A résume le contenu technique de la pré-
mosphère de provoquer une corrosion dans un sys-
sente Norme internationale sous une forme facile à
tème donné (par exemple corrosion atmosphérique
étudier.
d’un métal ou d’un alliage donné).
3.2 durée de persistance de l’humidité sur la sur-
2 Références normatives
face: Intervalle de temps pendant lequel une surface
Les normes suivantes contiennent des dispositions métallique est recouverte d’une pellicule adsorbée
qui, par suite de la référence qui en est faite, et/ou liquide d’électrolyte capable de provoquer une
corrosion atmosphérique.
constituent des dispositions valables pour la pré-
.
1) Voir ISO 8044:1989, paragraphe 2.18.
3.2.1 durée calculée de persistance de l’humidité 5.1 Les facteurs, dès qu’ils ont été retenus pour
sur les surfaces: Durée de persistance de l’humidité les besoins de la présente Norme internationale afin
sur les surfaces estimée en fonction de la relation de caractériser la corrosion des métaux et alliages ”
température-humidité (voir 5.2). par l’atmosphère, sont la durée de persistance de i;;’
l’humidité sur les surfaces et les niveaux de pollu- i
tion par le dioxyde de soufre (SO,) et les chlorures. )
3.2.2 durée expérimentale de persistance de I’hu-
midité sur les surfaces: Durée de persistance de
l’humidité sur les surfaces indiquée directement par
5.2 De nombreux facteurs peuvent humidifier les
divers systèmes de mesurage (voir 5.3).
surfaces, par exemple la rosée, la pluie, la neige
fondue et un taux d’humidité élevé. Pour estimer la
3.3 catégorie de pollution: Rang numéroté basé sur
durée calculée de persistance de l’humidité (7) sur
les mesurages quantitatifs de substances chimiques
les surfaces corrodées, on se fonde sur la durée
actives prescrites, de gaz corrosifs ou de particules
pendant laquelle l’humidité relative (RH) dépasse
tant naturelles qui proviennent des activites humai-
80 % à une température 0 supérieure à 0 OC (voir
nes en suspension dans l’air et différentes des
note 1).
composants ordinaires de l’air.
3.4 type d’atmosphère: Notion caractérisant I’at- 5.3 La durée expérimentale de persistance de
mosphère sur la base de critères de classification l’humidité sur les surfaces peut être déterminée di-
rectement à l’aide de divers systèmes de mesurage
appropriés qui ne sont pas la corrosivité (indus-
(voir note 2).
trielle, maritime, etc.) ou des facteurs opérationnels
complémentaires (chimiques, etc.).
5.4 Le facteur le plus important dans une classe
3.5 relation température-humidité: Effet conjoint de
particulière de durée de persistance de l’humidité
la température et de l’humidité relative sur la
sur les surfaces est le niveau de pollution par le
corrosivité de l’atmosphère.
dioxyde de soufre ou le sel contenu dans l’air.
3.6 catégorie d’emplacement: Condition type d’ex-
position d’un composant ou d’une structure définie 5.5 Le niveau de pollution doit être mesuré
par convention, par exemple: a l’air libre! sous abri, conformément aux prescriptions de I’ISO 9225.
dans un espace clos, etc.
5.6 D’autres types de pollution peuvent également
excercer un effet [notamment les oxydes d’azote
4 Symboles et abréviations
(NO,) et les poussières industrielles dans les zones
peuplées et industrialisées] ou encore la pollution
Durée de persistance de 1’humidit.é sur les
opérationnelle et technologique des
spécifique,
surfaces
microclimats [notamment le chlore (Cl,), le sulfure
d’hydrogène (H2S), les acides organiques et les
P Catégorie de pollution par les composés du
dégivrants]. Ces types de pollution n’ont pas été
soufre, fonction des niveaux de dioxyde de
retenus comme critères de classification.
soufre (SO,)
Conformément a la présente Norme internationale,
S Catégorie de pollution fondée sut- la contami-
les autres types de pollution doivent être considérés
nation par le sel contenu dans l’air
des facteurs d’accompagnement [par
comme
c Classe de corrosivité atmosphérique oxydes d’azote (NO,) dans les atmo-
exemple:
sphères urbaines] ou des facteurs opérationnels
0 Température de l’air
spécifiques (par exemple: les vapeurs d’acides des
microclimats opérationnels).
hla Heures par an
NOTES
Vitesse de corrosion pour la première année
Garr
d’exposition atmosphérique
1 La durée de persistance de l’humidité sur les surfaces
calculée par la présente méthode ne correspond pas né-
Y
Vitesse moyenne de corrosion sur les 10 pre-
cessairement à la durée réelle de persistance de l’humi-
aV
mières années d’exposition atmosphérique dité sur les surfaces car de nombreux facteurs entrent en
jeu: type de métal, forme, masse et orientation de l’objet,
Vitesse stabilisée de corrosion résultant d’une
quantité de produit de corrosion, nature des polluants de
h
longue exposition atmosphérique surfaces et autres. Ces considérations peuvent augmen-
ter ou diminuer la durée réelle de persistance de I’humi-
dité. Ce critére est néanmoins considéré comme
suffisamment précis pour caractériser les atmosphères.
5 Caractérisation de l’atmosphère en
Son importance diminue cependant lorsqu’on peut mettre
le produit sous abri.
fonction de sa corrosivité
La durée indiquée dépend du type d’instrument et de
zones macroclimatiques dans des conditions types
capteur utilisé. Les durées de persistance de l’humidité
de catégories d’emplacement.
indiquées par différents systèmes ne sont pas direc-
tement comparables et ne sont convertibles que dans la
limite des conditions de température et d’humidité consi-
dérées.
6.3 Les durées calculées de persistance de I’hu-
midité sur les surfaces et les caractéristiques cli-
matologiques retenues des zones macrocli
6 Classification des durées de
de la terre sont données à titre de
persistance de l’humidité sur les surfaces
générale dans l’annexe B.
\
------_-/
6.1 La durée de persistance de l’humidité (selon
5.2 et 5.3) dépend de la zone macroclimatique et de
la catégorie d’emplacement considérées.
6.4 A la durée de persistance de l’humidité zl, on
ne prévoit quasi aucune condensation. Pour Tu, la
6.2 La classification des durées de persistance de probabilité de formation d’une pellicule liquide à la
l’humidité en fonction des atmosphères est donnée surface du métal est faible. Les durées 73 à r5 com-
dans le tableau 1. Les valeurs correspondantes se portent des périodes de condensation et de précipi-
fondent sur les caractéristiques à long ter-me des tations.
Tableau 1 - Classification de la durée de persistance de I’humidité sur les surfaces
Durée de persistance de l’humidité
Classe Exemple de situation correspondante
h/a
7 < 10 7 < 0,l Microclimats intisrieurs avec climatisation
Tl
Microclimats intérieurs sans climatisation sauf espaces inté-
0,l < z < 3
lO
rieurs non climatisés des zones climatiques humides
Atmosphères extérieures des zones clitnatiques sèches, froides
250 < z < 2 500 3<7<30 et d’une partie des zones tempérées; hangars convenablement
ventilés dans les zones climatiques tempérées
Atmosphères extérieures de toutes les zones climatiques (sauf
2 500 < 7 < 5 500 30 < -T < 60 sèches et froides); hangars ventilés en climat humide; hangars
non ventilés en climat tempéré
Partie des zones climatiques humides; hangars non ventilés en
5 500 < 7 60 < z
climat !wmide
NOTES
1 La durée de persistance de l’humidité dans une localité donnée dépend de la relation température-humidité de
l’atmosphère en air libre et de la catégorie de I’etnplacement. Elle s’exprime en heures par an ou en pourcentage de
durée de persistance de l’humidité (Oh).
2 Les valeurs de durée de persistance de l’humidité exprimées en pourcentage sont arrondies et ne sont données qu’à
titre d’information.
La colonne indiquant les situations correspondantes ne tient pas compte de toutes les possibilités de mise sous abri
qui peuvent s’offrir.
4 Les surfaces protégées en atmosphères maritimes où peuvent se produire des dépôts de chlorures peuvent voir
leurs durées de persistance de l’humidité s’accroître de facon substantielle en raison de la présence de sels hygro-
scopiques. Elles doivent être rang
...
















Questions, Comments and Discussion
Ask us and Technical Secretary will try to provide an answer. You can facilitate discussion about the standard in here.
Loading comments...