ISO 3:1973
(Main)Preferred numbers — Series of preferred numbers
Preferred numbers — Series of preferred numbers
Preferred numbers are the conventionally rounded of term values of geometrical series, including the integral powers of 10 and having as ratios special factors in accordance with the specified tables. Basic, expectional, R 80 and derived series are designated.
Nombres normaux — Séries de nombres normaux
Standardna števila - Standardne vrste števil
General Information
- Status
- Published
- Publication Date
- 31-Mar-1973
- Technical Committee
- ISO/TC 19 - Preferred numbers
- Drafting Committee
- ISO/TC 19 - Preferred numbers
- Current Stage
- 9060 - Close of review
- Completion Date
- 02-Sep-2030
Relations
- Effective Date
- 10-Feb-2026
- Effective Date
- 10-Feb-2026
- Effective Date
- 10-Feb-2026
- Effective Date
- 10-Feb-2026
- Effective Date
- 10-Feb-2026
- Effective Date
- 10-Feb-2026
- Effective Date
- 10-Feb-2026
- Effective Date
- 10-Feb-2026
- Referred By
EN 60127-7:2013 - Miniature fuses - Part 7: Miniature fuse-links for special applications - Effective Date
- 10-Feb-2026
- Effective Date
- 10-Feb-2026
- Effective Date
- 10-Feb-2026
- Effective Date
- 10-Feb-2026
- Effective Date
- 10-Feb-2026
- Effective Date
- 10-Feb-2026
- Effective Date
- 10-Feb-2026
Overview
ISO 3:1973, titled Preferred numbers - Series of preferred numbers, is an international standard established by the International Organization for Standardization (ISO). Published in 1973, this standard defines a systematic series of preferred numbers created by rounding off the terms of geometric series. These series include integral powers of 10 and special ratios, facilitating consistency in design, manufacturing, and engineering applications worldwide.
Preferred numbers simplify the selection of product sizes, components, and materials by standardizing the numerical values in a way that supports compatibility, interchangeability, and efficient inventory management. ISO 3 replaces the earlier ISO Recommendation R 3-1954 and introduces standardized series symbols such as R5, R10, R20, R40, and the exceptional R80 series, detailing their properties and applications.
Key Topics
Definition and Scope:
ISO 3 specifies series of preferred numbers based on geometrical progressions and integral powers of 10, designed for unlimited use in various decimal ranges. Preferred numbers are rounded values suitable for simplification and standardization.Basic Series of Preferred Numbers:
The standard highlights multiple series identified as R5, R10, R20, and R40. These series differ by the ratio or factor between consecutive numbers, with R5 series values being generally preferred over R10, and so forth. These basic series consist of values that meet practical percentage tolerances and maintain geometrical progression.Exceptional R80 Series:
An extended set known as R80 is also defined, which includes values beyond the basic series. The basic series should be prioritized in preference over the exceptional R80 series to ensure uniformity.Derived Series:
Derived series stem from the basic series by selecting every second, third, or p-th term, creating sub-series with specific designations (e.g., R10/3 or R5/2). These are useful when finer graduations or particular ranges are required. Derived series can be limited to certain ranges within the standard.Designation and Notation:
The standard prescribes a systematic way to denote series and derived series, including limits if the series are confined to certain numerical ranges. This enables precise communication and documentation within technical fields.
Applications
Engineering and Design:
Preferred numbers serve as a foundation for choosing standard sizes of machined parts, fasteners, electrical components, and other industrial elements. Using ISO 3 series enables designers to minimize the variety of parts while meeting dimensional and functional needs.Manufacturing and Inventory:
Implementing series of preferred numbers simplifies production planning, reduces tooling complexity, and lowers inventory costs by standardizing component sizes.Quality Control and Testing:
Using a recognized set of preferred values ensures consistent testing conditions and measurement parameters, improving reproducibility and comparability across manufacturers and borders.Interchangeability in International Trade:
Harmonized preferred numbers promote global compatibility of parts, fostering international cooperation and streamlining import-export procedures.
Related Standards
ISO 286-1 (Geometrical Product Specifications – ISO System of Limits and Fits):
Complements ISO 3 by addressing tolerances and fits for standardized sizes.ISO 9001 (Quality Management Systems):
References preferred numbers indirectly through requirements for product design and process standardization.IEC 60063 (Preferred Number Series for Electronic Components):
Applies the concept of preferred numbers specifically to electronic components, further expanding on the geometric series concept in electrical engineering.DIN 69871 (Machine Tool Spindle Tapers):
Utilizes preferred numbers for taper sizes, showing practical applications in mechanical engineering.
Keywords: ISO 3, preferred numbers, series of preferred numbers, geometric series, R5 series, R10 series, R20 series, R40 series, R80 series, derived series, standardization, engineering design, manufacturing standards, international standards, preferred values, numerical standardization.
ISO 3:1973 - Preferred numbers -- Series of preferred numbers
ISO 3:1973 - Nombres normaux -- Séries de nombres normaux
ISO 3:1973 - Nombres normaux -- Séries de nombres normaux
Get Certified
Connect with accredited certification bodies for this standard
BSMI (Bureau of Standards, Metrology and Inspection)
Taiwan's standards and inspection authority.
Sponsored listings
Frequently Asked Questions
ISO 3:1973 is a standard published by the International Organization for Standardization (ISO). Its full title is "Preferred numbers — Series of preferred numbers". This standard covers: Preferred numbers are the conventionally rounded of term values of geometrical series, including the integral powers of 10 and having as ratios special factors in accordance with the specified tables. Basic, expectional, R 80 and derived series are designated.
Preferred numbers are the conventionally rounded of term values of geometrical series, including the integral powers of 10 and having as ratios special factors in accordance with the specified tables. Basic, expectional, R 80 and derived series are designated.
ISO 3:1973 is classified under the following ICS (International Classification for Standards) categories: 17.020 - Metrology and measurement in general. The ICS classification helps identify the subject area and facilitates finding related standards.
ISO 3:1973 has the following relationships with other standards: It is inter standard links to EN 60384-4:2007, EN 60317-52:2014, EN 60384-9:2015, EN IEC 60318-7:2022, EN 60947-7-3:2002, EN 60384-16:2005, EN 60317-44:1997, EN IEC 60118-0:2024, EN 60127-7:2013, EN IEC 60269-4:2025, EN 60384-21:2012, EN 60384-24:2006, EN 62391-2:2006, EN 60384-9:2005, EN 60317-0-10:2017. Understanding these relationships helps ensure you are using the most current and applicable version of the standard.
ISO 3:1973 is available in PDF format for immediate download after purchase. The document can be added to your cart and obtained through the secure checkout process. Digital delivery ensures instant access to the complete standard document.
Standards Content (Sample)
SLOVENSKI STANDARD
01-junij-1995
Standardna števila - Standardne vrste števil
Preferred numbers -- Series of preferred numbers
Nombres normaux -- Séries de nombres normaux
Ta slovenski standard je istoveten z: ISO 3:1973
ICS:
17.020 Meroslovje in merjenje na Metrology and measurement
splošno in general
2003-01.Slovenski inštitut za standardizacijo. Razmnoževanje celote ali delov tega standarda ni dovoljeno.
INTERNATIONAL STANDARD
INTERNATIONAL ORGANlZATlON FOR STANDARDIZATION l EXAYHAPOAHAR OPTAHW3AUMII l-IO CTAHAAPTW3AIJWW.ORGANISATION INTERNATIONALE DE NORMALISATION
Preferred numbers - Series of preferred numbers
First edition
- 1973-04-01
UDC 389.171
Ref. No. IS0 3-1973 (E)
Lu
Y
Descriptors : preferred numbers.
Price based on 4 pages
FOREWORD
IS0 (the International Organization for Standardization) is a worldwide federation
of national standards institutes (IS0 Member Bodies). The work of developing
International Standards is carried out through IS0 Technical Committees. Every
Member Body interested in a subject for which a Technical Committee has been set
up has the right to be represented on that Committee. International organizations,
governmental and non-governmental, in liaison with ISO, also take part in the work.
Draft International Standards adopted by the Technical Committees are circulated
to the Member Bodies for approval before their acceptance as International
Standards by the IS0 Council.
Prior to 1972, the results of the work of the Technical Committees were published
as IS0 Recommendations; these documents are now in the process of being
transformed into International Standards. As part of this process, International
Standard IS0 3 replaces IS0 Recommendation R 3-1954 drawn up by Technical
Committee I SO/TC 19, Preferred numbers.
The Member Bodies of the following countries approved the Recommendation :
Australia India Spain
Austria Israel Sweden
Belgium Italy Switzerland
Chile Mex ice United Kingdom
Denmark Netherlands U.S.A.
Finland New Zealand U.S.S.R.
France Norway Yugoslavia
Germany Portuga I
Hungary South Africa, Rep. of
No Member Body expressed disapproval of the Recommendation.
@ International Organization for Standardization, 1973 l
Printed in Switzerland
IS0 34973 (E)
INTERNATIONAL STANDARD
Series of preferred numbers
Preferred numbers -
1 SCOPE AND FIELD OF APPLICATION
This International Standard specifies series of preferred numbers.
IS0 3-1973 (E)
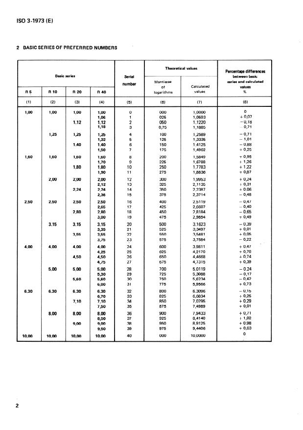
2 BASIC SERIES OF PREFERRED NUMBERS ’
Theoretical values
Percentage differences
t
Basic series
Serial between basic
Mantissae series and calculated
number
Calculated
of values
R5 R 10 R 20 R 40 logarithms values %
*
(2)
(1) (3) (4) (5) (6) (7) (8)
1,w 1 ,oo
1 ,oo 1 ,oo 0 000 1 ,oooo 0
1,w 1 025 1,0593 + 0,07
1,12 1,12 2 050 1,122o - 0,18
I,18 3 0,75 1,1885 - 0,71
1,25 1,25 13 4 100 1,2589 - 0,71
1,32 ' 5 125 1,3335 - 1,Ol
I,40 1,40 6 150 1,4125 - 0,88
1,50 7 175 1,4962 + 0,25
1,60 1,60 1,60 1,60 8 200 1,5849 + 0,95
I,70 9 225 1,6788 + I,26
1,80 1,80 10 250
1 ‘7783 + 1,22
1,90 11 275
1,8836 + 0,87
2,m 2,~ &of)
12 300 1,9953 + 0,24
2,12
13 325 2,1135 + 0,31
2,24 2,24 14 350
2,2387 + 0,06
2,36 15 375 2,3714 - 0,48
2,50 2,50 2,50 2,50 16 400 2,5119 - 0,47
2,65 17 425 2,6607 - 0,40
2,80 2,80 18 450 2,8184 - 0,65
3,00 19 475 2,9854 + 0,49
3,15 3,15 3,15 20 500 3,1623 - 0,39
3,35 21 525 3,3497 + 0,Ol
3,55 3r55 22 550 3,5481 + 0,05
3,75 23 575 3,7584 - 0,22
4m 4,00 4,00 4m 24 600 3,981l + 0,47 * .
4,25 25 625 4,217O + 0,78
4,50 4,50 26 650 4,4668 + 0,74
4,75 27 675 4 ‘7315 + 0,39
5m 5m 5,00 28 700 5,0119 - 0,24
5,30 29 725 5 JO88 - 0,17
5,60 5,60 30 750 5,6234 - 0,42
6,00 31 775 5,9566 + 0,73
6,30 6,30 6,30 6,30 32 800 63096 - 0,15
6,70 33 825 6,6834 + 0,25
7,lO 7,lO 34 850 7.0795 + 0,29
7,50 35 875 7,4989 + 0,Ol
8,00 8,00 8,m 36 900 7,9433 + 0,71
8,50
37 925 8,414O + 1,02
9m 9m 38 950
8,9125 + 0,98
9,50 39 975 9,4406 + 0,63
10,oo 10,OO 10,OO 10,OO 40 000 1 o,oooo 0
A ,
-----
...
INTERNATIONAL STANDARD
INTERNATIONAL ORGANlZATlON FOR STANDARDIZATION l EXAYHAPOAHAR OPTAHW3AUMII l-IO CTAHAAPTW3AIJWW.ORGANISATION INTERNATIONALE DE NORMALISATION
Preferred numbers - Series of preferred numbers
First edition
- 1973-04-01
UDC 389.171
Ref. No. IS0 3-1973 (E)
Lu
Y
Descriptors : preferred numbers.
Price based on 4 pages
FOREWORD
IS0 (the International Organization for Standardization) is a worldwide federation
of national standards institutes (IS0 Member Bodies). The work of developing
International Standards is carried out through IS0 Technical Committees. Every
Member Body interested in a subject for which a Technical Committee has been set
up has the right to be represented on that Committee. International organizations,
governmental and non-governmental, in liaison with ISO, also take part in the work.
Draft International Standards adopted by the Technical Committees are circulated
to the Member Bodies for approval before their acceptance as International
Standards by the IS0 Council.
Prior to 1972, the results of the work of the Technical Committees were published
as IS0 Recommendations; these documents are now in the process of being
transformed into International Standards. As part of this process, International
Standard IS0 3 replaces IS0 Recommendation R 3-1954 drawn up by Technical
Committee I SO/TC 19, Preferred numbers.
The Member Bodies of the following countries approved the Recommendation :
Australia India Spain
Austria Israel Sweden
Belgium Italy Switzerland
Chile Mex ice United Kingdom
Denmark Netherlands U.S.A.
Finland New Zealand U.S.S.R.
France Norway Yugoslavia
Germany Portuga I
Hungary South Africa, Rep. of
No Member Body expressed disapproval of the Recommendation.
@ International Organization for Standardization, 1973 l
Printed in Switzerland
IS0 34973 (E)
INTERNATIONAL STANDARD
Series of preferred numbers
Preferred numbers -
1 SCOPE AND FIELD OF APPLICATION
This International Standard specifies series of preferred numbers.
IS0 3-1973 (E)
2 BASIC SERIES OF PREFERRED NUMBERS ’
Theoretical values
Percentage differences
t
Basic series
Serial between basic
Mantissae series and calculated
number
Calculated
of values
R5 R 10 R 20 R 40 logarithms values %
*
(2)
(1) (3) (4) (5) (6) (7) (8)
1,w 1 ,oo
1 ,oo 1 ,oo 0 000 1 ,oooo 0
1,w 1 025 1,0593 + 0,07
1,12 1,12 2 050 1,122o - 0,18
I,18 3 0,75 1,1885 - 0,71
1,25 1,25 13 4 100 1,2589 - 0,71
1,32 ' 5 125 1,3335 - 1,Ol
I,40 1,40 6 150 1,4125 - 0,88
1,50 7 175 1,4962 + 0,25
1,60 1,60 1,60 1,60 8 200 1,5849 + 0,95
I,70 9 225 1,6788 + I,26
1,80 1,80 10 250
1 ‘7783 + 1,22
1,90 11 275
1,8836 + 0,87
2,m 2,~ &of)
12 300 1,9953 + 0,24
2,12
13 325 2,1135 + 0,31
2,24 2,24 14 350
2,2387 + 0,06
2,36 15 375 2,3714 - 0,48
2,50 2,50 2,50 2,50 16 400 2,5119 - 0,47
2,65 17 425 2,6607 - 0,40
2,80 2,80 18 450 2,8184 - 0,65
3,00 19 475 2,9854 + 0,49
3,15 3,15 3,15 20 500 3,1623 - 0,39
3,35 21 525 3,3497 + 0,Ol
3,55 3r55 22 550 3,5481 + 0,05
3,75 23 575 3,7584 - 0,22
4m 4,00 4,00 4m 24 600 3,981l + 0,47 * .
4,25 25 625 4,217O + 0,78
4,50 4,50 26 650 4,4668 + 0,74
4,75 27 675 4 ‘7315 + 0,39
5m 5m 5,00 28 700 5,0119 - 0,24
5,30 29 725 5 JO88 - 0,17
5,60 5,60 30 750 5,6234 - 0,42
6,00 31 775 5,9566 + 0,73
6,30 6,30 6,30 6,30 32 800 63096 - 0,15
6,70 33 825 6,6834 + 0,25
7,lO 7,lO 34 850 7.0795 + 0,29
7,50 35 875 7,4989 + 0,Ol
8,00 8,00 8,m 36 900 7,9433 + 0,71
8,50
37 925 8,414O + 1,02
9m 9m 38 950
8,9125 + 0,98
9,50 39 975 9,4406 + 0,63
10,oo 10,OO 10,OO 10,OO 40 000 1 o,oooo 0
A ,
IS0 34973 (E)
4.3 Designation of series
3 EXCEPTIONAL R 80 SERIES
All series of preferred numbers a designation
corn mencing with the lette r R.
3,15 5,60
I,00 I,80
I,85 5,80
1,03 325
4.4 Basic series
3,35
I,06 6,m
1,=
1,95 3,45 6,15
The series
...
NORME INTERNATIONALE 3
INTERNATIONAL ORGANIZATION FOR STANDARDIZATION .MEX)JYHAPOAHAA OPI-AHM3AUMII l-W CTAHAAPTM3AWM~ORGANISATION INTERNATIONALE DE NORMALISATION
Nombres normaux - Séries de nombres normaux
Première édition - 1973-04-01
CDU 389.171 Réf. No : ISO 3-1973 (F)
Descripteurs : nombres normaux.
Prix basé sur 4 pages
AVANT-PROPOS
ISO (Organisation Internationale de Normalisation) est une fédération mondiale
d’organismes nationaux de normalisation (Comités Membres KO). L’élaboration de
Normes Internationales est confiée aux Comités Techniques ISO. Chaque Comité
Membre intéressé par une étude a le droit de faire partie du Comité Technique
correspondant. Les organisations internationales, gouvernementales et non
gouvernementales, en liaison avec I’ISO, participent également aux travaux.
Les Projets de Normes Internationales adoptés par les Comités Techniques sont
soumis aux Comités Membres pour approbation, avant leur acceptation comme
Normes Internationales par le Conseil de I’ISO.
Avant 1972, les résultats des travaux des Comités Techniques étaient publiés
comme Recommandations ISO; maintenant, ces documents sont en cours de
transformation en Normes Internationales. Compte tenu de cette procédure, la
Norme Internationale ISO 3 remplace la Recommandation lSO/R 3-1954 établie
par le Comité Technique ISO/TC 19, Nombres normaux.
Les Comités Membres des pays suivants avaient approuvé la Recommandation :
Afrique du Sud, Rép. d’ France Portugal
Allemagne Hongrie Royaume-Uni
Australie Inde Suède
Autriche Israël Suisse
Belgique Italie U.R.S.S.
Chili Mexique U.S.A.
Danemark Norvège Yougoslavie
Espagne Nouvel le-Zélande
Finlande Pays-Bas
Aucun Comité Membre n’avait désapprouvé la Recommandation.
8 Organisation Internationale de Normalisation, 1973 l
Imprimé en Suisse
ISO 34973 (F)
NORME INTERNATIONALE
Séries de nombres normaux
Nombres normaux -
1 OBJET ET DOMAINE D’APPLICATION
La présente Norme Internationale fixe les séries de nombres normaux.
ISO 34973 (F)
2 SÉRIES DE BASE DES NOMBRES NORMAUX
Nombres théoriques
Séries de base Différences relatives
Numéros
des valeurs des s&ies
Mantisses
de base par rapport
d’ordre
Nombres
des
aux nombres calculés
calculés
R5 R 10
R 20 R 40 logarithmes
%
---
------
(3) (4)
(6)
(8)
1 ,oo 1 ,oo
000 1 ,oooo
I#f)6 025 1,0593
+ 0,07
1,12 1,12
050 1,122o
- 0,18
1,18 0,75 1,1885 - 0,71
l,25 1,2589 - 0‘71
1,25
1,32 125 1,3335 - 1,Ol
1,40
150 1,4125 - 0,88
1,50 175 1,4962 + 0,25
1,60
1,60 1,60 1,60 8 200 1,5849 + 0,95
1,70 9 225 1,6788 + 1,26
1,80 1,80 10 250 1,7783 + 1,22
1,90 11 275 1,8836 + 0,87
12 300 1,9953
aof) 2,~ + 0,24
2,12 13 325 2,1135 + 0,31
2,24 2,24 14 350 2,2387 + 0,06
2,36 15 375 2,3714 - 0,48
2,50 2,50 2,50 16 400 2,5119 - 0,47
2,65 17 425 2,6607 - 0,40
450 2,8184 - 0,65
2,80 2,80 18
19 475 2,9854 + 0,49
3,00
3,15 3,15 3,15 20 500 3,1623 - 0,39
3,35 21 525 3‘3497 + 0,Ol
3,55 3,55 22 550 3,5481 + 0,05
3,75 23 575 3,7584 - 0,22
4,00 24 600 3,9811 + 0,47
4,OO 4,00
4,217O + 0,78
4,25 25 625
4,4668 + 0,74
4,50 4,50 26 650
4,7315 + 0,39
4,75 27 675
5,0119
5,00 5,00 28 700 - 0,24
5,OO
5,30 29 725 5,3088 - 0,17
5,6234 - a),42
5,60 30 750
5,60
5,9566 + 0,73
6,00 31 775
6,3096 -0,15
6,30 32 800
6,30 6,30 6,30
6,6834 + 0,25
6,70 33 825
7,0795 + 0,29
7,lO 34 850
7,lO
7,4989 + 0,Ol
7,50 35 875
900 7,9433 -l- 0,71
8,00 36
8,00
8,m
+ 1,02
925 8,414O
8,50 37
950 8,9125 + 0,98
9,00 38
9,00
+ 0,63
975 9,4406
9,50
1o,ooOO 0
10,OO 10,OO 40
ISO 3-1973 (F)
4.3 Séries des nombres normaux
. 3 SÉR
...
NORME INTERNATIONALE 3
INTERNATIONAL ORGANIZATION FOR STANDARDIZATION .MEX)JYHAPOAHAA OPI-AHM3AUMII l-W CTAHAAPTM3AWM~ORGANISATION INTERNATIONALE DE NORMALISATION
Nombres normaux - Séries de nombres normaux
Première édition - 1973-04-01
CDU 389.171 Réf. No : ISO 3-1973 (F)
Descripteurs : nombres normaux.
Prix basé sur 4 pages
AVANT-PROPOS
ISO (Organisation Internationale de Normalisation) est une fédération mondiale
d’organismes nationaux de normalisation (Comités Membres KO). L’élaboration de
Normes Internationales est confiée aux Comités Techniques ISO. Chaque Comité
Membre intéressé par une étude a le droit de faire partie du Comité Technique
correspondant. Les organisations internationales, gouvernementales et non
gouvernementales, en liaison avec I’ISO, participent également aux travaux.
Les Projets de Normes Internationales adoptés par les Comités Techniques sont
soumis aux Comités Membres pour approbation, avant leur acceptation comme
Normes Internationales par le Conseil de I’ISO.
Avant 1972, les résultats des travaux des Comités Techniques étaient publiés
comme Recommandations ISO; maintenant, ces documents sont en cours de
transformation en Normes Internationales. Compte tenu de cette procédure, la
Norme Internationale ISO 3 remplace la Recommandation lSO/R 3-1954 établie
par le Comité Technique ISO/TC 19, Nombres normaux.
Les Comités Membres des pays suivants avaient approuvé la Recommandation :
Afrique du Sud, Rép. d’ France Portugal
Allemagne Hongrie Royaume-Uni
Australie Inde Suède
Autriche Israël Suisse
Belgique Italie U.R.S.S.
Chili Mexique U.S.A.
Danemark Norvège Yougoslavie
Espagne Nouvel le-Zélande
Finlande Pays-Bas
Aucun Comité Membre n’avait désapprouvé la Recommandation.
8 Organisation Internationale de Normalisation, 1973 l
Imprimé en Suisse
ISO 34973 (F)
NORME INTERNATIONALE
Séries de nombres normaux
Nombres normaux -
1 OBJET ET DOMAINE D’APPLICATION
La présente Norme Internationale fixe les séries de nombres normaux.
ISO 34973 (F)
2 SÉRIES DE BASE DES NOMBRES NORMAUX
Nombres théoriques
Séries de base Différences relatives
Numéros
des valeurs des s&ies
Mantisses
de base par rapport
d’ordre
Nombres
des
aux nombres calculés
calculés
R5 R 10
R 20 R 40 logarithmes
%
---
------
(3) (4)
(6)
(8)
1 ,oo 1 ,oo
000 1 ,oooo
I#f)6 025 1,0593
+ 0,07
1,12 1,12
050 1,122o
- 0,18
1,18 0,75 1,1885 - 0,71
l,25 1,2589 - 0‘71
1,25
1,32 125 1,3335 - 1,Ol
1,40
150 1,4125 - 0,88
1,50 175 1,4962 + 0,25
1,60
1,60 1,60 1,60 8 200 1,5849 + 0,95
1,70 9 225 1,6788 + 1,26
1,80 1,80 10 250 1,7783 + 1,22
1,90 11 275 1,8836 + 0,87
12 300 1,9953
aof) 2,~ + 0,24
2,12 13 325 2,1135 + 0,31
2,24 2,24 14 350 2,2387 + 0,06
2,36 15 375 2,3714 - 0,48
2,50 2,50 2,50 16 400 2,5119 - 0,47
2,65 17 425 2,6607 - 0,40
450 2,8184 - 0,65
2,80 2,80 18
19 475 2,9854 + 0,49
3,00
3,15 3,15 3,15 20 500 3,1623 - 0,39
3,35 21 525 3‘3497 + 0,Ol
3,55 3,55 22 550 3,5481 + 0,05
3,75 23 575 3,7584 - 0,22
4,00 24 600 3,9811 + 0,47
4,OO 4,00
4,217O + 0,78
4,25 25 625
4,4668 + 0,74
4,50 4,50 26 650
4,7315 + 0,39
4,75 27 675
5,0119
5,00 5,00 28 700 - 0,24
5,OO
5,30 29 725 5,3088 - 0,17
5,6234 - a),42
5,60 30 750
5,60
5,9566 + 0,73
6,00 31 775
6,3096 -0,15
6,30 32 800
6,30 6,30 6,30
6,6834 + 0,25
6,70 33 825
7,0795 + 0,29
7,lO 34 850
7,lO
7,4989 + 0,Ol
7,50 35 875
900 7,9433 -l- 0,71
8,00 36
8,00
8,m
+ 1,02
925 8,414O
8,50 37
950 8,9125 + 0,98
9,00 38
9,00
+ 0,63
975 9,4406
9,50
1o,ooOO 0
10,OO 10,OO 40
ISO 3-1973 (F)
4.3 Séries des nombres normaux
. 3 SÉR
...
















Questions, Comments and Discussion
Ask us and Technical Secretary will try to provide an answer. You can facilitate discussion about the standard in here.
Loading comments...