ISO 4464:1980
(Main)Tolerances for building — Relationship between the different types of deviations and tolerances used for specification
Tolerances for building — Relationship between the different types of deviations and tolerances used for specification
Tolérances pour le bâtiment — Liaison entre les divers types d'écarts et de tolérances utilisés pour la spécification
General Information
- Status
- Withdrawn
- Publication Date
- 30-Nov-1980
- Withdrawal Date
- 30-Nov-1980
- Technical Committee
- ISO/TC 59 - Buildings and civil engineering works
- Drafting Committee
- ISO/TC 59 - Buildings and civil engineering works
- Current Stage
- 9599 - Withdrawal of International Standard
- Start Date
- 01-Oct-1997
- Completion Date
- 12-Feb-2026
Relations
- Effective Date
- 15-Apr-2008
ISO 4464:1980 - Tolerances for building -- Relationship between the different types of deviations and tolerances used for specification
ISO 4464:1980 - Tolérances pour le bâtiment -- Liaison entre les divers types d'écarts et de tolérances utilisés pour la spécification
Get Certified
Connect with accredited certification bodies for this standard

ICC Evaluation Service
Building products evaluation and certification.

QAI Laboratories
Building and construction product testing and certification.

Aboma Certification B.V.
Specialized in construction, metal, and transport sectors.
Sponsored listings
Frequently Asked Questions
ISO 4464:1980 is a standard published by the International Organization for Standardization (ISO). Its full title is "Tolerances for building — Relationship between the different types of deviations and tolerances used for specification". This standard covers: Tolerances for building — Relationship between the different types of deviations and tolerances used for specification
Tolerances for building — Relationship between the different types of deviations and tolerances used for specification
ISO 4464:1980 is classified under the following ICS (International Classification for Standards) categories: 91.010.30 - Technical aspects. The ICS classification helps identify the subject area and facilitates finding related standards.
ISO 4464:1980 has the following relationships with other standards: It is inter standard links to ISO 1803:1997. Understanding these relationships helps ensure you are using the most current and applicable version of the standard.
ISO 4464:1980 is available in PDF format for immediate download after purchase. The document can be added to your cart and obtained through the secure checkout process. Digital delivery ensures instant access to the complete standard document.
Standards Content (Sample)
International Standard
INTERNATIONAL Of?GANlZATi0&J FOR STANDARDIZATlON*ME)I(AYHAPOAHAR OPrAHM3ALplR fl0 CTAH~APTM3A~MM~RGANISATION INTERNATIONALE DE NORMALISAT~ON
Relationship between the
Tolerances for building -
different types of deviations and tolerances used for
specification
Tol&ances pour le ba^timent - Liaison entre les divers types d ’karts et de tolhances utilis& pour la sphfication
First edition - 1980-12-15
UDC 69 : 72.011
Ref. No. IS0 4464-1980 (E)
Descriptors : buildings, tolerances (mechanics), dimensional tolerances, angular tolerances, tolerances of position, form tolerances.
Price based on 9 pages
Foreword
IS0 (the International Organization for Standardization) is a worldwide federation of
national standards institutes (IS0 member bodies). The work of developing Inter-
national Standards is carried out through IS0 technical committees. Every member
body interested in a subject for which a technical committee has been set up has the-
right to be represented on that committee. International organizations, governmental
and non-governmental, in liaison with ISO, also take part in the work.
Draft International Standards adopted by the technical committees are circulated to
the member bodies for approval before their acceptance as International Standards by
the IS0 Council.
International Standard IS0 4464 was developed by Technical Committee ISO/TC 59,
Building construction, and was circulated to the member bodies in February 1977.
It has been approved by the member bodies of the following countries :
Australia Ireland South Africa, Rep. of
Israel Spain
Belgium
Bulgaria Italy Sweden
Canada Mexico Turkey
Czechoslovakia Netherlands United Kingdom
Denmark Vew Zealand USSR
Finland Vorway Yugoslavia
Poland
Germany, F. R.
Hungary Romania
No member body expressed disapproval of the document.
0 International Organization for Standardization, 1980
Printed in Switzerland
INTERNATIONALSTANDARD
IS0 44644980 (E)
Tolerances for building - Relationship between the
different types of deviations and tolerances used for
specification
0 Introduction 2 Field of application
This International Standard forms one of a series concerning This International Standard applies to components, both
tolerances for building and building components. Some of prefabricated and formed in situ, and spaces in all forms of
these are already published (see clause 3). The others currently building construction.
being prepared concern the following subjects :
-
calculation of joint clearance and prediction of fit;
-
methods for predicting deviations of assemblies and 3 References
distribution of tolerances;
IS0 1101, Technical drawings - Geometrical tolerancing -
-
series of values to be used for specification of
Tolerances of form, orientation, location and runout -
tolerances;
Generalities, definitions, symbols, indication on drawings. 1 )
-
indication of tolerances on building and civil engineer-
IS0 1803, Tolerances for building - Vocabufary.2)
ing drawing.
Part I: Basic principles
IS0 3443/ 1, Tolerances for building -
This series will continue with methods for the use of tolerances
for evaluation and specification.
in sampling, quality control and approval.
2 : Statistical basis
IS0 3443/Z, Tolerances for building - Part
Processes of manufacture, setting out, and erection on site of
for predicting fit between components having a normal
building components induce deviations. Tolerances define the
distribution of sizes.
limits of deviations and this International Standard identifies
the tolerances that need to be considered. Not all of these
IS0 4463, Measurement methods for building - Setting-out
tolerances will be relevant in every case; they may be used in-
-. Permissible measuring deviations.
and measurement
dividually.
1 Scope
4 General
This International Standard describes the various types of
This International Standard deals with induced geometrical
tolerances which can be used in specifying accuracy in
deviations in the processes of manufacture, setting out and
manufacture, setting out and erection. It illustrates where the
erection caused, for example, by human error, inaccuracy of
deviations exist which are limited by these tolerances. Ex-
.
tools and limitations in the precision of instrumental measure-
amples are given for deviations of different kinds existing
ment. Inherent deviations caused by physical and chemical
together.
changes, such as variations in temperature, moisture content,
and strain, occur at the same time. It is therefore necessary
NOTE - The indications given on each expression are not,
strictly speaking, definitions [which is the role of IS0 1803 (cur- when dealing with tolerances to specify reference conditions
rently being revised)] but aim only to distinguish each expres-
for example of temperature, humidity, loading and age under
sion from the others.
which the tolerances apply.
1) At present at the stage of draft. (Revision of ISO/R 11014969.)
2) IS0 1803 is still in force but is currently being revised. Since the ideas on which IS0 44&I is based are sometimes different, it should be used on its
own and without referring to IS0 1803, cross-referencing not always being possible between these two documents. Furthermore, the authors of the
revision of IS0 1803 which is being prepared are aware of the need for consistency between IS0 1803 revised, when its drafting is complete, and
IS0 4464. All necessary modifications to these two documents can then be made.
SO 44644980 (E)
5 Framework for tolerances a line or a surface of a component shall be situated after
manufacture.
A framework for tolerances can be illustrated according to
NOTE - Dimensional tolerance, orientation tolerance and form
figure 1.
tolerance together compose the manufacturing tolerance. The latter is
not related to any reference object on the site. See the “box principle”
In order to specify optimized values, this diagram can be read
(clause 8).
from right to left as well as from left to right.
62.2 setting-out tolerance : The width of the space on the
site within the limits of which a setting-out point or line shall be
situated.
6 Tolerancesl)
NOTE - The positional and orientation tolerances for setting out
The various types of tolerances covered by the system shown
together compose the setting-out tolerances.
in clause 5 may be described as follows.
6.2.3 erection tolerance : The width of the space on the
6.1 construction tolerance : The width of the space2) on
site, related to the actual form of a component and the actual
the site, related to reference points or lines, within the limits of
position for reference points or lines, within the limits of which
which a point, a line or a surface of a component shall be
a point, a line or a surface of a component shall be situated.
situated.
NOTE - For each component there is a reference position determined
NOTE - Manufacturing tolerance, setting-out tolerance and erection
by reference points or lines set out on the site and by the actual form of
tolerance together compose the construction tolerance. Construction
the component. This position also gives the reference position for each
tolerances are determined by the requirements of the construction for
point, line or surface of the component. From these positions, the
satisfactory performance.
erection tolerance determines the width of the space within the limits
of which a given point, line or surface of the component shall be
6.21 manufacturing tolerance : The width of the space
situated. The positional and orientation tolerances for erection
related to the reference form, within the limits of which a point, together compose the erection tolerance.
6.2.1
Dimensional tolerance 6.3.1
\
1 /
.
Manufacturing
Orientation tolerance (M .T. )
6.3.2
tolerance
(angularity)
(M.T.)
/
Form tolerance 6.3.3
Y I
6.1 6.2.2
,
6.4.1
Positional tolerance
Setting out
Construction
tolerance
tolerance
(S.O.T.)
Orientation tolerance (S.O.T.) 6.4.2
6.2.3
Positional tolerance 6.4.1
Erection
tolerance
(E.T.)
8 Orientation tolerance (E.T.) 6.4.2
Illustrative framework of tolerances
Figure 1 -
1) The numbering System used has been adopted in order to emphasize the relation between the different types of tolerance. A similar numbering
system has been used for the deviations (see clause 7).
2) This space is generally indicated by the reference size and permitted deviations or permitted limits of size.
IS0 44644980 (El
6.3.1 dimensional tolerance : The tolerance width govern- tions may be determined according to the “box principle” (cf.
ing the size of a dimension in a given direction of the compo- clause 8). This specifies direct requirements for characteristics
nent concerned : length, width, thickness, height, depth or of importance to the insertion of a component without the
diameter. necessity of differentiating between the constituent deviations.
The envelope of deviations determined in this way may be used
in calculations of the effect of deviations on fit.
6.3.2 orientation tolerance (angularity) (M.T.) : The
tolerance width governing the relative orientation of straight
Key to figures
lines or planes of a component. (See also 6.42 and figure 1.)
actual position of a point
l
6.3.3 form tolerance : The tolerance width governing the
form of a line or a surface (e.g. of a component) relative to a
reference position for said point
reference form.
actual position for a line
The tolerance width governing
6.4.1 positional tolerance :
w---mm-
reference position for said line
the position of a point, a line, a plane or a surface relative to a
reference position.
reference line
6.4.2 orientation tolerance (S.O.T.) (E.T.) : The tolerance
The location of components relative to reference lines may be
width, after setting out or erection, governing the orientation of
specified in several ways. Four examples are given in figure 2.
a straight line or plane surface relative to a reference orienta-
In this International Standard, the method shown in figure 2a)
tion. (See also 6.3.2 and figure 1.)
will be used.
7.1 construction deviation : The difference between the
7 Deviations actual position of a point, line or surface of a component and
the corresponding reference position established on the site.
The deviations corresponding to the tolerances described in
(See figure 3, stage 4.)
clause 6 are illustrated in this clause. Where it is desired to
determine con
...
Norme internationale @ 4464
~ ~~ ~
INTERNATIONAL ORGANIZATION FOR STANDARDIZATlONOME~YHAPOfiHAR OPrAHH3AUMR Il0 CTAHflAPTH3AUMH.ORGANlSATlON INTERNATIONALE DE NORMALISATION
0 Tolérances pour le bâtimeht - Liaison entre les divers
types d'écart3 et de tolérances utilisés pour la
spécification
Tolerances for building - Relationship between the different types of deviations and toierances used for specification
Première édition - 1980-12-15
- 5 CDU 69: 72.011
Ref. no : IS0 4464-1980 (FI
8 Descripteurs : bâtiment, tolérance mécanique, tolérance de dimension, tolérance angulaire, tolérance de position, tolérance de forme.
-
f
O
E Prix basé sur 9 pages
Avant-propos
L'ISO (Organisation internationale de normalisation) est une fédération mondiale
d'organismes nationaux de normalisation (comités membres de I'ISO). L'élaboration
des Normes internationals est confiée aux comités techniques de I'ISO. Chaque
comité membre intéressé par une étude a le droit de faire partie du comité technique
correspondant. Les organisations internationales, gouvernementales et non gouverne-
mentales, en liaison avec I'ISO, participent également aux travaux.
Les projets de Normes internationales adoptés par les comités techniques sont soumis
aux comités membres pour approbation, avant leur acceptation comme Normes inter-
nationales par le Conseil de I'ISO.
La Norme internationale IS0 4464 a été élaborée par le comité technique ISO/TC 59,
Construction immobilière, et a été soumise aux comités membres en février 1977.
Les comités membres des pays suivants l'ont approuvée :
Afrique du Sud, Rép. d' Hongrie Roumanie
Allemagne, R. F. Royaume-Uni
Irlande
Australie Israël Suède
Tchécoslovaquie
Belgique Italie
Bulgarie Mexique Turquie
Canada Norvège URSS
Danemark Nouvelle-Zélande Yougoslavie
Espagne Pays-Bas
Finlande
Pologne
Aucun comité membre ne l'a désapprouvée.
0 Organisation internationale de normalisation, 1980
imprimé en Suisse
NORM E I NTE R NAT1 O NA LE IS0 4464-1980 (FI
Tolérances pour le bâtiment - Liaison entre les divers
types d'écarts et de tolérances utilisés pour la spécifica-
tion
O Introduction
2 Domaine d'application
La présente Norme internationale fait partie d'une série de nor-
La présente Norme internationale s'applique aux composants,
mes sur les tolérances pour le bâtiment et pour les composants
aussi bien préfabriqués que fabriqués in situ, et aux espaces de
de construction. Certaines de celles-ci sont déjà publiées (voir
toutes sortes dans la construction immobilière.
chapitre 3). Les autres, actuellement en cours de préparation,
concernent les sujets suivants :
a
-
calcul du jeu de joint et prédiction de l'assemblage;
3 Références
-
méthodes de prédiction des écarts des assemblages et
IS0 1 101, Dessins techniques - Tolérancemen géométrique
distribution des tolérances;
- Tolérances de forme, orientation, position et battement -
Généralités, définitions, symboles, indications sur les dessins.' 1
-
séries des valeurs à utiliser pour la spécification de tolé-
rances;
IS0 1803, Tolérances pour le bâtiment - Vocabulaire.2)
-
indication des tolérances sur les dessins de bâtiment et
IS0 3443i 1, Tolérances pour le bâtiment - Partie 1 : Principes
de génie civil.
fondamentaux pour l'évaluation et la spécification.
La présente série continuera avec les méthodes pour l'utilisa-
IS0 3443i2, Tolérances pour le bâtiment - Partie 2 : Base sta-
tion des tolérances pour l'échantillonnage, le contrôle de qua-
tistique pour la prévision de possibilités d'assemblage entre
lité et l'acceptation.
composants, relevant d'une distribution normale des dimen-
sions.
Les procédures de fabrication, de mise en place et de montage
in situ des composants de construction entraînent des écarts.
IS0 4463, Méthodes de mesurage pour la construction -
Les tolérances définissent les limites de variabilité et la présente
Piquetage et mesurage - Écarts de mesurage admissibles.
Norme internationale identifie les tolérances qui doivent être
considérées. Toutes ces tolérances ne seront pas applicables
dans chaque cas; elles peuvent être utilisées individuellement.
4 Généralités
1 Objet
La présente Norme internationale traite des écarts géométri-
ques dus aux procédures de fabrication, de mise en place et de
La présente Norme internationale décrit les différents types de
montage, qui ont pour cause, par exemple, l'erreur humaine et
tolérances applicables pour spécifier l'exactitude de fabrication,
les limites dans la précision des instruments de mesure
d'implantation et de montage. Elle indique où existent les
employés. Les écarts inhérents qui ont pour cause des change-
écarts limités par ces tolérances. Elle donne des exemples des
ments physiques et chimiques, comme par exemple les varia-
écarts de différentes natures constatés.
tions de température, de teneur d'humidité, de charges, appa-
raissent en même temps. II est donc nécessaire, en traitant les
NOTE - Les indications fournies sur chaque expression ne sont
tolérances, de spécifier les conditions de référence, par exem-
pas, à proprement parler, des définitions [ceci est le rôle de
ple température, humidité, sollicitations dues aux charges et
I'ISO 1803 (actuellement en cours de révision)l, mais visent seu-
lement à la distinguer des autres expressions.
âge, pour lesquelles les tolérances sont applicables.
1) Actuellement au stade de projet. (Révision de I'ISO/R 1101-1969).
2) L'ISO 1803 est toujours en vigueur mais est actuellement en cours'de révision. L'ISO 4464 partant de notions parfois différentes, il importe de
l'utiliser indépendamment et sans se référer à I'ISO 1803, les recoupements n'étant pas toujours possibles entre ces deux documents.
Par ailleurs, les auteurs de la révision de I'ISO 1803 en cours sont conscients de la cohérence nécessaire entre I'ISO 1803 révisée, une fois sa rédaction
achevée, et I'ISO 4464. II y aura lieu alors de procéder à toutes modifications appropriées de ces deux documents.
IS0 4464-1980 IF)
situés, après fabrication, un point, une ligne ou une surface
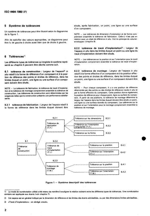
5 Système de tolérances
d'un composant.
Un système de tolérances peut être illustré selon le diagramme
de la figure 1. NOTE - Les tolérances de dimension d'orientation et de forme com-
prennent ensemble la tolérance de fabrication. Celle-ci n'est pas en
relation avec un objet de référence in sifu. Voir le ((principe du volume-
Afin de spécifier des valeurs appropriées, ce diagramme peut
enveloppe)) (chapitre 81.
être lu de gauche à droite aussi bien que de droite à gauche.
6.2.2 tolérance de tracé d'implantation3J : Largeur de
l'espace in siru dans les limites duquel un point ou une ligne du
tracé d'implantation doivent être situés.
6 Tolérances1)
NOTE - Les tolérances sur la position et sur l'orientation pour le tracé
d'implantation comprennent ensemble la tolerance de tracé dimplan-
Les différents types de tolérances qu'englobe le système repré-
tation.
senté au chapitre 5 peuvent être décrits comme suit.
6.2.3 tolérance de montage : Largeur de l'espace in situ
6.1 tolérance de construction : Largeur de l'espace*) in
relatif à la forme effective d'un composant et à la position effec-
siru relatif à la forme de référence d'un composant et à la posi-
tive des points et droites de référence, dans les limites duquel
tion de référence des points et droites de référence, dans les
un point, une ligne ou une surface d'un composant doivent être
limites duquel un point, une ligne ou une surface d'un compo-
situés.
sant doivent être situés.
NOTE - Pour chaque composant, il y a une position de référence
NOTE - La tolérance de fabrication, la tolérance de tracé d'implanta-
déterminée par des points ou des droites de référence tracés in sifu et
tion et la tolérance de montage comprennent ensemble la tolérance de
par la forme effective du composant. Cette position donne également
construction. Les tolérances de construction sont déterminées par les
la position de référence pour chaque point, ligne ou surface du compo-
exigences telles que la construction présente une performance satisfai-
sant. A partir de ces positions, la tolérance de montage détermine la
sante.
largeur de l'espace dans les limites duquel doivent être situés un point,
une ligne ou une surface donnés du composant. Les tolérances sur ta
6.2.1 tolérance de fabrication : Largeur de l'espace relatif à
position et sur l'orientation pour le montage comprennent ensemble la
la forme de référence dans les limites duquel doivent être tolérance de montage.
6.2.1
Tolérance sur les dimensions 6.3.1
Tolérance de
Tolérance sur l'orientation 6.3.2
fabrication
(angularit61 (T. F. i
1T.F.)
Tolérance sur la forme
6.3.3
- Tolérance sur la position 6.4.
Tolérance de
Tolérance
tracé
de
d'implantation
construction
Tolérance sur l'orientation
(T.1.)
6.4.2
(T.I.1
6.2.3
\
Tolérance sur la position
6.4.1
Tolérance de
(T.M.)
Tolérance sur t'orientation
6.4.2
(T.M.)
Figure 1 - Système descriptif des tolerances
1) Le mode de numérotation utilisé a été retenu de manière à souligner la relation existant entre les différents types de tolérances. Une numérotation
similaire est appliquée aux écarts (voir chapitre 7).
2) Cet espace est en général indiqué par la dimension de référence et les limites des écarts admissibles, ou par des dimensions limites admissibles.
3) «Tracé d'implantation» : en abrégé «tracé».
6.3.1 tolérance sur la dimension : Amplitude de la tolé- volume-enveloppe)) (voir chapitre 8). Selon celui-ci, les exigen-
rance sur la grandeur d’une dimension dans une direction don- ces directes des caractéristiques importantes pour la mise en
place d‘un composant s.ont spécifiées sans qu’il soit nécessaire
née du composant en question : longueur, largeur, épaisseur,
hauteur, profondeur ou diamètre. de distinguer entre les écarts suivant leur nature. L‘enveloppe
de variabilité établie de cette manière peut être utilisée dans les
calculs sur l’effet de la variabilité de l’ajustement.
6.3.2 tolérance sur l’orientation (angulaiité) (T.F.) :
Amplitude de la tolérance sur l’orientation relative des droites
Lége,nde des figures
ou des plans d’un composant. (Voir aussi 6.4.2 et figure 1 .I
O position effective d’un point
6.3.3 tolérance sur la forme : Amplitude de la tolérance sur
la forme d’une ligne ou d’une surface (d’un composant, par
position de référence de ce point
O
exemple) par rapport à une forme de référence.
position effective d’une ligne
6.4.1 tolérance sur la position : Amplitude de la tolérance
------ position de référence de cette ligne
sur la position d‘un point, d‘une ligne ou d’une surface par rap-
port à une position de référence.
droite de référence
6.4.2 tolérance sur l‘orientation (T.1,) (T.M.) : Amplitude
L’emplacement des composants, relativement aux droites de
de la tolérance sur l’orientation d‘une ligne ou d‘une surface
référence, peut être spécifié de plusieurs manières. Quatre
plane après mise en place ou montage. (Voir aussi 6.3.2 et
exemples sont donnés à la figure 2. Dans la présente Norme
figure 1.)
internationale, on utilise la méthode indiquée à la figure 2a).
7 Écarts
7.1 écart de construction : Différence entre la position
ou d‘une surface d’un compo-
effective d‘un point, d‘une ligne
Les écarts correspondant aux tolérances décrites au chapitre 6
sant et la position de référence
...








Questions, Comments and Discussion
Ask us and Technical Secretary will try to provide an answer. You can facilitate discussion about the standard in here.
Loading comments...