ASTM E592-20
(Guide)Standard Guide to Obtainable ASTM Equivalent Penetrameter Sensitivity for Film Radiography of Steel Plates 14 to 2 in. (6 to 51 mm) Thick with X-Rays and 1 to 6 in. (25 to 152 mm) Thick with Cobalt-60
Standard Guide to Obtainable ASTM Equivalent Penetrameter Sensitivity for Film Radiography of Steel Plates <fraction><num>1</num><den>4 </den> </fraction> to 2 in. (6 to 51 mm) Thick with X-Rays and 1 to 6 in. (25 to 152 mm) Thick with <brk/>Cobalt-60
SIGNIFICANCE AND USE
4.1 A key consideration with any radiographic system is its contrast resolution and spatial resolution capability (that is, sensitivity). The degree of obtainable sensitivity with a given system is dependent upon several radiographic parameters such as source energy level, film system class, type and thickness of intensifying screens, exposure (density), etc. This guide permits the user to estimate the degree of sensitivity that may be obtained with X-rays and Cobalt-60 gamma rays when using a prescribed set of radiographic parameters. This guide may also be used in conjunction with Practices E746 or E1735 to provide a basis for developing data for evaluation of a user's specific system. This data may assist a user in determining appropriate parameters for obtaining desired degrees of radiographic system sensitivity. An alternate to this approach is the use of those adjunct radiographic illustrations detailed in Section 6.
SCOPE
1.1 This guide to obtainable equivalent penetrameter sensitivity covers the minimum penetrameter thicknesses for which the image of the 1T and 2T holes is visible for a few practical radiographic conditions using industrial X-ray film. The values represent near optimum sensitivity for flat steel plates. Radiographic conditions that give higher values of scatter buildup from the specimen or backscattered radiation at the image plane will give poorer sensitivity.
1.2 Eight radiographs that illustrate sensitivities obtainable with practical radiographic systems are included as adjuncts to this guide and must be purchased from ASTM.
1.3 Units—The values stated in inch-pound units are to be regarded as standard. The values given in parentheses are mathematical conversions to SI units that are provided for information only and are not considered standard.
1.4 This standard does not purport to address all of the safety concerns, if any, associated with its use. It is the responsibility of the user of this standard to establish appropriate safety, health, and environmental practices and determine the applicability of regulatory limitations prior to use.
1.5 This international standard was developed in accordance with internationally recognized principles on standardization established in the Decision on Principles for the Development of International Standards, Guides and Recommendations issued by the World Trade Organization Technical Barriers to Trade (TBT) Committee.
General Information
- Status
- Published
- Publication Date
- 31-May-2020
- Technical Committee
- E07 - Nondestructive Testing
- Drafting Committee
- E07.02 - Reference Radiological Images
Relations
- Effective Date
- 01-Feb-2024
- Effective Date
- 01-Dec-2023
- Effective Date
- 01-Dec-2019
- Effective Date
- 01-Dec-2019
- Effective Date
- 01-Mar-2019
- Effective Date
- 01-Feb-2018
- Effective Date
- 01-Feb-2018
- Effective Date
- 01-Jan-2018
- Effective Date
- 01-Nov-2017
- Effective Date
- 15-Jun-2017
- Effective Date
- 01-Feb-2017
- Effective Date
- 01-Aug-2016
- Effective Date
- 01-Feb-2016
- Effective Date
- 01-Dec-2015
- Effective Date
- 01-Sep-2015
Overview
ASTM E592-20 provides a comprehensive guide on obtainable ASTM equivalent penetrameter sensitivity for the film radiography of steel plates. Specifically, it addresses thickness ranges of 1/4 to 2 inches (6 to 51 mm) for X-rays and 1 to 6 inches (25 to 152 mm) for Cobalt-60 gamma rays. Developed by ASTM Committee E07 on Nondestructive Testing, this standard guides users in estimating attainable radiographic sensitivity under a variety of practical conditions.
Penetrameter sensitivity is crucial in determining the contrast and spatial resolution capability of radiographic systems. This guide serves both as a reference for near optimum sensitivity levels and as an aid in system evaluation when used alongside related ASTM practices such as E746 and E1735.
Key Topics
Penetrameter Sensitivity Criteria
The standard covers minimum penetrameter thicknesses ensuring visibility of 1T and 2T holes under specific radiographic conditions. It is designed for use with industrial X-ray film and includes guidelines covering both X-rays and Cobalt-60 gamma ray sources.Radiographic Parameters
The degree of achievable sensitivity depends on several factors, including:- Source energy level (e.g., voltage for X-rays or activity for Cobalt-60)
- Film system class and speed
- Types and thicknesses of intensifying screens
- Exposure levels and film density
- Scatter and backscatter effects
Reference Radiographs
The guide refers to eight demonstrative radiographs, available for purchase from ASTM, which illustrate typical sensitivity levels under various system setups.Calculation and Application
Users can estimate system performance and select parameters by comparing their setup against the guide’s recommended reference conditions. Equations and examples in the document facilitate interpolation for intermediate sensitivity and exposure scenarios.
Applications
ASTM E592-20 is essential for a range of industrial applications involving nondestructive testing and radiographic examination of steel plates. Practical uses include:
- Weld and Plate Inspection
Ensures detection of flaws or discontinuities in steel plates by setting standards for image quality and sensitivity. - Quality Assurance in Manufacturing
Provides manufacturers with a benchmark for radiographic system performance, supporting documentation and quality audits. - System Evaluation and Optimization
Assists radiographers and quality managers in evaluating their specific radiographic setups, aiding in parameter selection for desired sensitivity. - Training and Reference
Serves as an educational resource for radiographers and inspectors on the achievable sensitivity under standardized conditions.
Related Standards
Users of ASTM E592-20 may also find the following standards relevant for further guidance and best practices:
- ASTM E746 - Practice for Determining Relative Image Quality Response of Industrial Radiographic Imaging Systems
- ASTM E999 - Guide for Controlling the Quality of Industrial Radiographic Film Processing
- ASTM E1025 - Practice for Design, Manufacture, and Material Grouping Classification of Hole-Type Image Quality Indicators (IQI) Used for Radiography
- ASTM E1316 - Terminology for Nondestructive Examinations
- ASTM E1742 - Practice for Radiographic Examination
- ASTM E1735 - Practice for Determining Relative Image Quality Response from 4 to 25 MeV
- ASTM E1815 - Test Method for Classification of Film Systems for Industrial Radiography
- ISO 7004 - Photography-Industrial Radiographic Films-Determination of ISO Speed and Gradients
- NAVSEA T9074-AS-GIB-010/271 - Military standard for Nondestructive Testing Methods
Keywords: penetrameter sensitivity, steel plates, film radiography, X-ray radiography, Cobalt-60 gamma rays, radiographic image quality, ASTM E592-20, nondestructive testing, industrial radiography
By applying ASTM E592-20, professionals in nondestructive testing can reliably estimate and optimize the radiographic sensitivity achievable with their specific equipment and procedures, ensuring compliance with industry best practices and quality requirements.
Buy Documents
ASTM E592-20 - Standard Guide to Obtainable ASTM Equivalent Penetrameter Sensitivity for Film Radiography of Steel Plates <fraction><num>1</num><den>4 </den> </fraction> to 2 in. (6 to 51 mm) Thick with X-Rays and 1 to 6 in. (25 to 152 mm) Thick with <brk/>Cobalt-60
REDLINE ASTM E592-20 - Standard Guide to Obtainable ASTM Equivalent Penetrameter Sensitivity for Film Radiography of Steel Plates <fraction><num>1</num><den>4 </den> </fraction> to 2 in. (6 to 51 mm) Thick with X-Rays and 1 to 6 in. (25 to 152 mm) Thick with <brk/>Cobalt-60
Get Certified
Connect with accredited certification bodies for this standard

Element Materials Technology
Materials testing and product certification.
Inštitut za kovinske materiale in tehnologije
Institute of Metals and Technology. Materials testing, metallurgical analysis, NDT.
Sponsored listings
Frequently Asked Questions
ASTM E592-20 is a guide published by ASTM International. Its full title is "Standard Guide to Obtainable ASTM Equivalent Penetrameter Sensitivity for Film Radiography of Steel Plates <fraction><num>1</num><den>4 </den> </fraction> to 2 in. (6 to 51 mm) Thick with X-Rays and 1 to 6 in. (25 to 152 mm) Thick with <brk/>Cobalt-60". This standard covers: SIGNIFICANCE AND USE 4.1 A key consideration with any radiographic system is its contrast resolution and spatial resolution capability (that is, sensitivity). The degree of obtainable sensitivity with a given system is dependent upon several radiographic parameters such as source energy level, film system class, type and thickness of intensifying screens, exposure (density), etc. This guide permits the user to estimate the degree of sensitivity that may be obtained with X-rays and Cobalt-60 gamma rays when using a prescribed set of radiographic parameters. This guide may also be used in conjunction with Practices E746 or E1735 to provide a basis for developing data for evaluation of a user's specific system. This data may assist a user in determining appropriate parameters for obtaining desired degrees of radiographic system sensitivity. An alternate to this approach is the use of those adjunct radiographic illustrations detailed in Section 6. SCOPE 1.1 This guide to obtainable equivalent penetrameter sensitivity covers the minimum penetrameter thicknesses for which the image of the 1T and 2T holes is visible for a few practical radiographic conditions using industrial X-ray film. The values represent near optimum sensitivity for flat steel plates. Radiographic conditions that give higher values of scatter buildup from the specimen or backscattered radiation at the image plane will give poorer sensitivity. 1.2 Eight radiographs that illustrate sensitivities obtainable with practical radiographic systems are included as adjuncts to this guide and must be purchased from ASTM. 1.3 Units—The values stated in inch-pound units are to be regarded as standard. The values given in parentheses are mathematical conversions to SI units that are provided for information only and are not considered standard. 1.4 This standard does not purport to address all of the safety concerns, if any, associated with its use. It is the responsibility of the user of this standard to establish appropriate safety, health, and environmental practices and determine the applicability of regulatory limitations prior to use. 1.5 This international standard was developed in accordance with internationally recognized principles on standardization established in the Decision on Principles for the Development of International Standards, Guides and Recommendations issued by the World Trade Organization Technical Barriers to Trade (TBT) Committee.
SIGNIFICANCE AND USE 4.1 A key consideration with any radiographic system is its contrast resolution and spatial resolution capability (that is, sensitivity). The degree of obtainable sensitivity with a given system is dependent upon several radiographic parameters such as source energy level, film system class, type and thickness of intensifying screens, exposure (density), etc. This guide permits the user to estimate the degree of sensitivity that may be obtained with X-rays and Cobalt-60 gamma rays when using a prescribed set of radiographic parameters. This guide may also be used in conjunction with Practices E746 or E1735 to provide a basis for developing data for evaluation of a user's specific system. This data may assist a user in determining appropriate parameters for obtaining desired degrees of radiographic system sensitivity. An alternate to this approach is the use of those adjunct radiographic illustrations detailed in Section 6. SCOPE 1.1 This guide to obtainable equivalent penetrameter sensitivity covers the minimum penetrameter thicknesses for which the image of the 1T and 2T holes is visible for a few practical radiographic conditions using industrial X-ray film. The values represent near optimum sensitivity for flat steel plates. Radiographic conditions that give higher values of scatter buildup from the specimen or backscattered radiation at the image plane will give poorer sensitivity. 1.2 Eight radiographs that illustrate sensitivities obtainable with practical radiographic systems are included as adjuncts to this guide and must be purchased from ASTM. 1.3 Units—The values stated in inch-pound units are to be regarded as standard. The values given in parentheses are mathematical conversions to SI units that are provided for information only and are not considered standard. 1.4 This standard does not purport to address all of the safety concerns, if any, associated with its use. It is the responsibility of the user of this standard to establish appropriate safety, health, and environmental practices and determine the applicability of regulatory limitations prior to use. 1.5 This international standard was developed in accordance with internationally recognized principles on standardization established in the Decision on Principles for the Development of International Standards, Guides and Recommendations issued by the World Trade Organization Technical Barriers to Trade (TBT) Committee.
ASTM E592-20 is classified under the following ICS (International Classification for Standards) categories: 77.040.20 - Non-destructive testing of metals. The ICS classification helps identify the subject area and facilitates finding related standards.
ASTM E592-20 has the following relationships with other standards: It is inter standard links to ASTM E1316-24, ASTM E746-23, ASTM E1316-19b, ASTM E1735-19, ASTM E1316-19, ASTM E746-18, ASTM E1025-18, ASTM E1316-18, ASTM E746-17, ASTM E1316-17a, ASTM E1316-17, ASTM E1316-16a, ASTM E1316-16, ASTM E1316-15a, ASTM E1316-15. Understanding these relationships helps ensure you are using the most current and applicable version of the standard.
ASTM E592-20 is available in PDF format for immediate download after purchase. The document can be added to your cart and obtained through the secure checkout process. Digital delivery ensures instant access to the complete standard document.
Standards Content (Sample)
This international standard was developed in accordance with internationally recognized principles on standardization established in the Decision on Principles for the
Development of International Standards, Guides and Recommendations issued by the World Trade Organization Technical Barriers to Trade (TBT) Committee.
Designation: E592 − 20
Standard Guide to
Obtainable ASTM Equivalent Penetrameter Sensitivity for
Film Radiography of Steel Plates ⁄4 to 2 in. (6 to 51 mm)
Thick with X-Rays and 1 to 6 in. (25 to 152 mm) Thick with
Cobalt-60
This standard is issued under the fixed designation E592; the number immediately following the designation indicates the year of
original adoption or, in the case of revision, the year of last revision. A number in parentheses indicates the year of last reapproval. A
superscript epsilon (´) indicates an editorial change since the last revision or reapproval.
1. Scope* 2. Referenced Documents
2.1 ASTM Standards:
1.1 This guide to obtainable equivalent penetrameter sensi-
E746 Practice for Determining Relative Image Quality Re-
tivity covers the minimum penetrameter thicknesses for which
sponse of Industrial Radiographic Imaging Systems
the image of the 1T and 2T holes is visible for a few practical
E999 Guide for Controlling the Quality of Industrial Radio-
radiographic conditions using industrial X-ray film. The values
graphic Film Processing
represent near optimum sensitivity for flat steel plates. Radio-
E1025 Practice for Design, Manufacture, and Material
graphic conditions that give higher values of scatter buildup
Grouping Classification of Hole-Type Image Quality In-
from the specimen or backscattered radiation at the image
plane will give poorer sensitivity. dicators (IQI) Used for Radiography
E1316 Terminology for Nondestructive Examinations
1.2 Eight radiographs that illustrate sensitivities obtainable
E1742 Practice for Radiographic Examination
with practical radiographic systems are included as adjuncts to
E1735 Practice for Determining Relative Image Quality
this guide and must be purchased from ASTM.
Response of Industrial Radiographic Imaging Systems
1.3 Units—The values stated in inch-pound units are to be
from 4 to 25 MeV
regarded as standard. The values given in parentheses are
E1815 Test Method for Classification of Film Systems for
mathematical conversions to SI units that are provided for
Industrial Radiography
information only and are not considered standard.
2.2 ISO Standard:
ISO 7004 Photography—Industrial Radiographic Films—
1.4 This standard does not purport to address all of the
Determination of ISO Speed, ISO Average Gradient, and
safety concerns, if any, associated with its use. It is the
ISO Gradients G2 and G4 When Exposed to X- and
responsibility of the user of this standard to establish appro-
Gamma-Radiation
priate safety, health, and environmental practices and deter-
2.3 Military Standard:
mine the applicability of regulatory limitations prior to use.
NAVSEA Technical Publication T9074-AS-GIB-010/
1.5 This international standard was developed in accor-
271 Requirements for Nondestructive Testing Methods
dance with internationally recognized principles on standard-
2.4 ASTM Adjuncts:
ization established in the Decision on Principles for the
Guide for Equivalent Penetrameter Sensitivity Between
Development of International Standards, Guides and Recom-
X-Rays and Cobalt-60
mendations issued by the World Trade Organization Technical
Barriers to Trade (TBT) Committee.
For referenced ASTM standards, visit the ASTM website, www.astm.org, or
contact ASTM Customer Service at service@astm.org. For Annual Book of ASTM
Standards volume information, refer to the standard’s Document Summary page on
This guide is under the jurisdiction of ASTM Committee E07 on Nondestruc- the ASTM website.
tive Testing and is the direct responsibility of Subcommittee E07.02 on Reference Available from American National Standards Institute (ANSI), 25 W. 43rd St.,
Radiological Images. 4th Floor, New York, NY 10036, http://www.ansi.org.
Current edition approved June 1, 2020. Published June 2020. Originally Available from Naval Sea Systems Command (NAVSEA), 1333 Isaac Hull
approved in 1977. Last previous edition approved in 2015 as E592 – 15. DOI: Avenue, SE, Washington Navy Yard, DC 20376, https://www.navsea.navy.mil.
10.1520/E0592-20. Available from ASTM Headquarters. Order RRE0592.
*A Summary of Changes section appears at the end of this standard
Copyright © ASTM International, 100 Barr Harbor Drive, PO Box C700, West Conshohocken, PA 19428-2959. United States
E592 − 20
NOTE 1—The demonstration radiograph numbers on curves refer to
exposure conditions given in Table 1.
FIG. 1 Obtainable Penetrameter Sensitivity for Cobalt-60 Radiog-
raphy of 1 and 4 in. (25 and 102 mm) Thick Steel at 36 in.
(914 mm) Distance
3. Terminology radiograph was taken as the criterion for determining sensitiv-
ity. Most radiographs will show slightly better sensitivity than
3.1 Definitions—For definitions of terms used in this
indicated in Figs. 3-5 because of the statistical nature of
standard, refer to Terminology E1316, Section D.
recording information from a beam of X-rays, but occasionally,
3.2 Definitions of Terms Specific to This Standard:
one will not show quite as good sensitivity.
3.2.1 demonstration radiograph, n—radiographs from
5.1.2 Equivalent Penetrameter Sensitvity (EPS) is defined in
which data was gathered for Fig. 1 and Fig. 2.
Eq 1. For a full discussion of EPS see Appendix X1 of Practice
3.2.2 reference radiograph, n—the adjunct materials illus-
E1025.
trations.
1⁄2
EPS, % 5 70.7 dT ⁄t (1)
~ !
4. Significance and Use
where:
4.1 A key consideration with any radiographic system is its d = diameter of penetrameter hole,
T = thickness of penetrameter, and
contrast resolution and spatial resolution capability (that is,
t = specimen thickness.
sensitivity). The degree of obtainable sensitivity with a given
system is dependent upon several radiographic parameters such
A clear definition of equivalent penetrameter sensitivity has
as source energy level, film system class, type and thickness of
not been established for penetrameters less than 10 mils
intensifying screens, exposure (density), etc. This guide per-
(0.25 mm) thick. For this work, it was calculated as in Eq 1.
mits the user to estimate the degree of sensitivity that may be
Fig. 4 and
The change in slope of the steel thickness curves on
obtained with X-rays and Cobalt-60 gamma rays when using a
Fig. 5 is a result of the established 10 mil minimum hole
prescribed set of radiographic parameters. This guide may also
diameter in Practice E1025 and Practice E1742, Appendix A1.
be used in conjunction with Practices E746 or E1735 to
5.1.3 Fig. 3 illustrates obtainable equivalent penetrameter
provide a basis for developing data for evaluation of a user’s
sensitivity for four X-ray films. The films are identified by
specific system. This data may assist a user in determining
reciprocal speed (see Test Method E1815) when exposed in
appropriate parameters for obtaining desired degrees of radio-
accordance with ISO 7004 in a 200 kV range, and processed in
graphic system sensitivity. An alternate to this approach is the
accordance with the manufacturer’s recommendations (see
use of those adjunct radiographic illustrations detailed in
Guide E999).
Section 6.
Roentgen
Film Type ISO Speed ASTM Class
Speed
5. Procedure
1 17 1700 none
5.1 Sensitivity for ⁄4 to 2 in. (6 to 51 mm) Thick Steel Using
2 4.0 400 III
X-Rays: 3 1.2 120 I
4 0.35 35 Special
5.1.1 The values of sensitivity were determined from a
statistical study of visibility of images of penetrameter holes. 5.1.4 The radiographic exposure conditions for reference
Near 100 % certainty of seeing the image of a hole on any radiographs 1, 2, 3, and 4 were: 36 in. (914 mm) focus-film
E592 − 20
NOTE 1—The demonstration radiograph numbers on curves refer to
exposure conditions given in Table 1.
FIG. 2 Obtainable Penetrameter Sensitivity for Cobalt-60 Radiog-
raphy of 2 and 6 in. (51 and 152 mm) Steel at 36 in. (914 mm)
Distance
NOTE 1—See 5.1.4 for exposure conditions.
FIG. 3 Obtainable Penetrameter Sensitivity for ⁄4 to 2 in. (6 to 51 mm) Thick Steel When Radiographing with X-Rays
distance, 5 mil (0.13 mm) front and 10 mil (0.25 mm) back Practice E1025 and those for Practice E1742, Annex A1 (also
lead screens, 20 mA·min exposure, and kilovoltage adjusted to NAVSEA Technical Publication T9074-AS-GIB-010/271 and
give a density of near 2.0. The focal spot size was not recorded former MIL-STD-453 penetrameter markings). The intersec-
with the original data. tion projected to the left ordinate gives the minimum penetram-
5.1.5 Most high-quality industrial X-ray films intended for eter marking (thickness in mils) in accordance with Practice
direct or lead screen exposure, that are exposed and developed E1025 for which the image of the 2T hole will be visible. The
accordingly to give these speed values, will provide similar right ordinate gives the minimum penetrameter marking in
illustrations of sensitivity. Interpolation will give illustrations
...
This document is not an ASTM standard and is intended only to provide the user of an ASTM standard an indication of what changes have been made to the previous version. Because
it may not be technically possible to adequately depict all changes accurately, ASTM recommends that users consult prior editions as appropriate. In all cases only the current version
of the standard as published by ASTM is to be considered the official document.
Designation: E592 − 15 E592 − 20
Standard Guide to
Obtainable ASTM Equivalent Penetrameter Sensitivity for
Film Radiography of Steel Plates ⁄4 to 2 in. (6 to 51 mm)
Thick with X-Rays and 1 to 6 in. (25 to 152 mm) Thick with
Cobalt-60
This standard is issued under the fixed designation E592; the number immediately following the designation indicates the year of
original adoption or, in the case of revision, the year of last revision. A number in parentheses indicates the year of last reapproval. A
superscript epsilon (´) indicates an editorial change since the last revision or reapproval.
1. Scope*
1.1 This guide to obtainable equivalent penetrameter sensitivity covers the minimum penetrameter thicknesses for which the
image of the 1T and 2T holes is visible for a few practical radiographic conditions. conditions using industrial X-ray film. The
values represent near optimum sensitivity for flat steel plates. Radiographic conditions that give higher values of scatter buildup
from the specimen or backscattered radiation at the image plane will give poorer sensitivity.
1.2 Eight radiographs that illustrate sensitivities obtainable with practical radiographic systems are included as adjuncts to this
guide and maymust be obtainedpurchased from ASTM.
1.3 Units—The values stated in inch-pound units are to be regarded as the standard. The values given in parentheses are for
information only. mathematical conversions to SI units that are provided for information only and are not considered standard.
1.4 This standard does not purport to address all of the safety concerns, if any, associated with its use. It is the responsibility
of the user of this standard to establish appropriate safety safety, health, and healthenvironmental practices and determine the
applicability of regulatory limitations prior to use.
1.5 This international standard was developed in accordance with internationally recognized principles on standardization
established in the Decision on Principles for the Development of International Standards, Guides and Recommendations issued
by the World Trade Organization Technical Barriers to Trade (TBT) Committee.
2. Referenced Documents
2.1 ASTM Standards:
E746 Practice for Determining Relative Image Quality Response of Industrial Radiographic Imaging Systems
E999 Guide for Controlling the Quality of Industrial Radiographic Film Processing
E1025 Practice for Design, Manufacture, and Material Grouping Classification of Hole-Type Image Quality Indicators (IQI)
Used for Radiography
E1316 Terminology for Nondestructive Examinations
E1742 Practice for Radiographic Examination
E1735 Practice for Determining Relative Image Quality Response of Industrial Radiographic Imaging Systems from 4 to 25
MeV
E1815 Test Method for Classification of Film Systems for Industrial Radiography
2.2 ISO Standard:
ISO 7004 Photography—Industrial Radiographic Films—Determination of ISO Speed, ISO Average Gradient, and ISO
Gradients G2 and G4 When Exposed to X- and Gamma-Radiation
2.3 Military Standard:
NAVSEA Technical Publication T9074-AS-GIB-010/271 Requirements for Nondestructive Testing Methods
This guide is under the jurisdiction of ASTM Committee E07 on Nondestructive Testing and is the direct responsibility of Subcommittee E07.02 on Reference
Radiological Images.
Current edition approved June 1, 2015June 1, 2020. Published June 2015June 2020. Originally approved in 1977. Last previous edition approved in 20092015 as
ε1
E592 - 99E592 – 15.(2009) . DOI: 10.1520/E0592-99R15.10.1520/E0592-20.
For referenced ASTM standards, visit the ASTM website, www.astm.org, or contact ASTM Customer Service at service@astm.org. For Annual Book of ASTM Standards
volume information, refer to the standard’s Document Summary page on the ASTM website.
Available from American National Standards Institute (ANSI), 25 W. 43rd St., 4th Floor, New York, NY 10036.10036, http://www.ansi.org.
Available from Naval Sea Systems Command (NAVSEA), 1333 Isaac Hull Avenue, SE, Washington Navy Yard, DC 20376, https://www.navsea.navy.mil.
*A Summary of Changes section appears at the end of this standard
Copyright © ASTM International, 100 Barr Harbor Drive, PO Box C700, West Conshohocken, PA 19428-2959. United States
E592 − 20
NOTE 1—The demonstration radiograph numbers on curves refer to
exposure conditions given in Table 1Table 1.
FIG. 41 Obtainable Penetrameter Sensitivity for Cobalt-60 Radiog-
raphy of 1 and 4-in.4 in. (25 and 102-mm)102 mm) Thick Steel at
36-in. (914-mm) Distance.36 in. (914 mm) Distance
2.4 ASTM Adjuncts:
Guide for Equivalent Penetrameter Sensitivity Between X-Rays and Cobalt-60
3. Terminology
3.1 Definitions—For definitions of terms used in this standard, refer to Terminology E1316, Section D.
3.2 Definitions:Definitions of Terms Specific to This Standard:
3.2.1 demonstration radiograph, n—radiographs from which data was gathered for Fig. 1 and Fig. 2.For
3.2.2 reference radiograph, n—the adjunct materials illustrations. definitions of terms used in this standard, refer to
Terminology E1316, Section D.
4. Significance and Use
4.1 A key consideration with any radiographic system is its contrast resolution and spatial resolution capability (that is,
sensitivity). The degree of obtainable sensitivity with a given system is dependent upon several radiographic parameters such as
source energy level, film system class, type and thickness of intensifying screens, exposure (density), etc. This guide permits the
user to estimate the degree of sensitivity that may be obtained with X-rays and cobalt-60Cobalt-60 gamma rays when using a
prescribed set of radiographic parameters. This guide may also be used in conjunction with Test Methods Practices E746 or E1735
to provide a basis for developing data for evaluation of a user’s specific system. This data may assist a user in determining
appropriate parameters for obtaining desired degrees of radiographic system sensitivity. An alternate to this approach is the use of
those adjunct radiographic illustrations detailed in Section 6.
5. Procedure
5.1 Sensitivity for ⁄4 to 2-in.2 in. (6 to 51-mm)51 mm) Thick Steel Using X-Rays:
5.1.1 The values of sensitivity were determined from a statistical study of visibility of images of penetrameter holes. Near
100 % certainty of seeing the image of a hole on any radiograph was taken as the criterion for determining sensitivity. Most
radiographs will show slightly better sensitivity than indicated in Figs. 1-3-35 because of the statistical nature of recording
information from a beam of X-raysX-rays, but occasionally, one will not show quite as good sensitivity.
5.1.2 Equivalent Penetrameter Sensitvity (EPS) is defined in Eq 1. For a full discussion of EPS see Appendix X1 of Practice
E1025.
1⁄2
EPS, % 5 70.7 dT ⁄t (1)
~ !
Available from ASTM Headquarters. Order RRE0592.
E592 − 20
NOTE 1—The demonstration radiograph numbers on curves refer to
exposure conditions given in Table 1.
FIG. 52 Obtainable Penetrameter Sensitivity for Cobalt-60 Radiog-
raphy of 2 and 6-in.6 in. (51 and 152-mm)152 mm) Steel at 36-in.
(914-mm) Distance.36 in. (914 mm) Distance
NOTE 1—See 5.1.4 for exposure conditions.
FIG. 13 Obtainable Penetrameter Sensitivity for ⁄4 to 2-in.2 in. (6 to 51-mm)51 mm) Thick Steel When Radiographing with X-Rays.X-Rays
where:
d = diameter of penetrameter hole,
T = thickness of penetrameter, and
t = specimen thickness.
A clear definition of equivalent penetrameter sensitivity has not been established for penetrameters less than 10 mils (0.25 mm)
thick. For this work, it was calculated as in Eq 1. The change in slope of the steel thickness curves on Fig. 24 and Fig. 35 is a
result of the established 10-mil10 mil minimum hole diameter in Practice E1025 and Practice E1742, Appendix A1.
5.1.3 Fig. 13 illustrates obtainable equivalent penetrameter sensitivity for four X-ray films. The films are identified by reciprocal
speed (see Test Method E1815) when exposed in accordance with ISO 7004 in a 200-kV200 kV range, and processed in
accordance with the manufacturer’s recommendations (see Guide E999).
E592 − 20
NOTE 1—See 5.1.4 for exposure conditions.
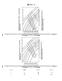
FIG. 24 Penetrameter Sensitivity and Minimum Penetrameter Markings for Showing the 2T Hole When Radiographing ⁄4 to 2-in.2 in. (6 to
51-mm)51 mm) Thick Steel with X-Rays.X-Rays
NOTE 1—See 5.1.4 for exposure conditions.
FIG. 35 Penetrameter Sensitivity and Minimum Penetrameter Markings for Showing the 1T Hole When Radiographing ⁄4 to 2-in.2 in. (6 to
51-mm)51 mm) Thick Steel with X-Rays.X-Rays
Roentgen
Film Type ISO Speed ASTM Class
Speed
1 17 1700 none
2 4.0 400 III
3 1.2 120 I
4 0.35 35 Special
E592 − 20
5.1.4 The radiographic exposure conditions for reference radiographs 1, 2, 3, and 4 were: 36-in. (914-mm)36 in. (914 mm)
focus-film distance, 5-mil (0.13-mm)5 mil (0.13 mm) front and 10-mil (0.25-mm)10 mil (0.25 mm) back lead screens, 20 mA·min
exposure, and kilovoltage adjusted to give a density of near 2.0. The focal spot size was not recorded with the original data.
5.1.5 Most high-quality industrial X-ray films intended for direct or lead screen exposure, that are exposed and developed
accordingly to give thes
...








Questions, Comments and Discussion
Ask us and Technical Secretary will try to provide an answer. You can facilitate discussion about the standard in here.
Loading comments...