ASTM D7386-16
(Practice)Standard Practice for Performance Testing of Packages for Single Parcel Delivery Systems
Standard Practice for Performance Testing of Packages for Single Parcel Delivery Systems
SIGNIFICANCE AND USE
4.1 This practice provides a guide for the evaluation of shipping units in accordance with a uniform system, using established test methods at levels representative of those occurring in actual distribution. The recommended test levels are based on available information on the shipping and handling environment, and current industry/government practice and experience. The tests should be performed sequentially on the same containers in the order given. For use as a performance test, this practice requires that the shipping unit tested remain unopened until the sequence of tests are completed. If used for other purposes, such as package development, it may be useful to open and inspect shipping units at various times throughout the sequence. This may, however, prohibit evaluating the influence of the container closure on container performance.
SCOPE
1.1 This practice provides a uniform basis of evaluating, in a laboratory, the ability of shipping units, weighing up to but not exceeding 150 lb (68 kg), intended for the single parcel delivery system to withstand the hazards associated with the distribution environment. This is accomplished by subjecting them to a test plan consisting of a sequence of anticipated hazard elements encountered in the distribution cycles. This practice is not intended to supplant material specifications or existing pre-shipment test procedures.
1.2 The suitability of this practice for use with hazardous materials has not been determined.
1.3 The values stated in inch-pound units are to be regarded as standard. The values given in parentheses are mathematical conversions to SI units that are provided for information only and are not considered standard.
1.4 This standard does not purport to address all of the safety concerns, if any, associated with its use. It is the responsibility of the user of this standard to establish appropriate safety and health practices and determine the applicability of regulatory limitations prior to use. Specific precautionary statements are given in 1.1.
General Information
- Status
- Published
- Publication Date
- 31-Mar-2016
- Technical Committee
- D10 - Packaging
Relations
- Effective Date
- 01-Apr-2016
- Refers
ASTM D951-17 - Standard Test Method for Water Resistance of Shipping Containers by Spray Method - Effective Date
- 01-Sep-2017
- Effective Date
- 01-May-2017
- Effective Date
- 15-Mar-2013
- Effective Date
- 01-Dec-2010
- Effective Date
- 01-Apr-2010
- Effective Date
- 01-Nov-2009
- Effective Date
- 01-Mar-2009
- Effective Date
- 01-Mar-2009
- Refers
ASTM D5487-98(2008) - Standard Test Method for Simulated Drop of Loaded Containers by Shock Machines - Effective Date
- 01-Apr-2008
- Effective Date
- 01-Apr-2007
- Effective Date
- 01-Nov-2006
- Effective Date
- 01-Nov-2006
- Effective Date
- 01-Oct-2004
- Effective Date
- 01-Aug-2004
Overview
ASTM D7386-16: Standard Practice for Performance Testing of Packages for Single Parcel Delivery Systems is a critical standard developed by ASTM International to guide the laboratory evaluation of shipping units destined for single parcel delivery systems such as those used by major carriers (e.g., FedEx, UPS, USPS). This practice outlines a uniform testing methodology to determine a package’s ability to withstand the mechanical hazards encountered in actual distribution environments. Applicable to shipping units up to 150 lb (68 kg), it covers a sequence of tests representative of real-world transportation, handling, and environmental stressors. This document is invaluable for packaging engineers, quality control professionals, and shippers who need to verify or improve the durability and integrity of packages in single parcel logistics.
Key Topics
- Purpose and Scope: Provides a laboratory framework to test individual shipping units for durability against common hazards experienced during single parcel distribution.
- Test Methods: Recommends a sequential array of established test procedures, including drop, vibration, impact, high altitude, and concentrated impact testing.
- Shipping Unit Classification: Defines criteria for sample selection and classification based on size, weight, and shape (e.g., bagged smalls, flat packages, long packages, and others).
- Conditioning and Sample Preparation: Stresses the importance of pre-conditioning samples according to standardized environmental conditions for reliable results.
- Acceptance Criteria: Emphasizes defining clear, objective criteria for passing or failing test specimens, focusing on product and packaging condition post-testing.
- Sequential Testing: Test sequences are conducted on the same package to simulate authentic distribution cycles and to assess performance comprehensively before opening the package.
- Feedback and Validation: Encourages users to correlate laboratory test results with actual field shipment data to validate test efficacy.
Applications
ASTM D7386-16 is widely used across industries reliant on parcel shipping. Practical applications include:
- Package Design and Development: Assists packaging engineers in validating new package designs before market introduction, reducing product damage and returns.
- Quality Assurance: Provides a repeatable basis for testing new batches of shipping containers or changes in packaging materials.
- Compliance and Vendor Evaluation: Enables organizations to ensure that packaging solutions meet industry and governmental best practices, potentially reducing shipping claims and costs.
- Simulation of Distribution Hazards: Realistically reproduces vibration, drop, impact, and pressure changes seen in ground and air transport to identify potential failure points.
- Performance Benchmarking: Supports benchmarking packaging performance across multiple vendors or shipment types.
Industries including e-commerce, electronics, pharmaceuticals, and consumer goods benefit from applying ASTM D7386-16 to enhance product protection and customer satisfaction.
Related Standards
Several ASTM standards are referenced within ASTM D7386-16, supporting comprehensive packaging evaluation:
- ASTM D951: Water Resistance of Shipping Containers by Spray Method
- ASTM D996: Terminology of Packaging and Distribution Environments
- ASTM D4332: Conditioning Containers, Packages, or Packaging Components for Testing
- ASTM D5265: Bridge Impact Testing
- ASTM D5487: Simulated Drop of Loaded Containers by Shock Machines
- ASTM D6179: Rough Handling of Unitized Loads and Large Shipping Cases
- ASTM D6344: Concentrated Impacts to Transport Packages
- ASTM D6653: High Altitude Effects on Packaging Systems by Vacuum Method
Keywords: distribution cycle, shipment testing, package integrity, random vibration, drop test, shipping container, mechanical handling, packaging durability, single parcel delivery, ASTM packaging standards.
By adhering to ASTM D7386-16, organizations can systematically increase packaging resilience, minimize in-transit damages, and streamline the delivery process for single parcel delivery systems.
Buy Documents
ASTM D7386-16 - Standard Practice for Performance Testing of Packages for Single Parcel Delivery Systems
REDLINE ASTM D7386-16 - Standard Practice for Performance Testing of Packages for Single Parcel Delivery Systems
Get Certified
Connect with accredited certification bodies for this standard
BRCGS (Brand Reputation Compliance Global Standards)
Global food safety and quality standards owner.
Sponsored listings
Frequently Asked Questions
ASTM D7386-16 is a standard published by ASTM International. Its full title is "Standard Practice for Performance Testing of Packages for Single Parcel Delivery Systems". This standard covers: SIGNIFICANCE AND USE 4.1 This practice provides a guide for the evaluation of shipping units in accordance with a uniform system, using established test methods at levels representative of those occurring in actual distribution. The recommended test levels are based on available information on the shipping and handling environment, and current industry/government practice and experience. The tests should be performed sequentially on the same containers in the order given. For use as a performance test, this practice requires that the shipping unit tested remain unopened until the sequence of tests are completed. If used for other purposes, such as package development, it may be useful to open and inspect shipping units at various times throughout the sequence. This may, however, prohibit evaluating the influence of the container closure on container performance. SCOPE 1.1 This practice provides a uniform basis of evaluating, in a laboratory, the ability of shipping units, weighing up to but not exceeding 150 lb (68 kg), intended for the single parcel delivery system to withstand the hazards associated with the distribution environment. This is accomplished by subjecting them to a test plan consisting of a sequence of anticipated hazard elements encountered in the distribution cycles. This practice is not intended to supplant material specifications or existing pre-shipment test procedures. 1.2 The suitability of this practice for use with hazardous materials has not been determined. 1.3 The values stated in inch-pound units are to be regarded as standard. The values given in parentheses are mathematical conversions to SI units that are provided for information only and are not considered standard. 1.4 This standard does not purport to address all of the safety concerns, if any, associated with its use. It is the responsibility of the user of this standard to establish appropriate safety and health practices and determine the applicability of regulatory limitations prior to use. Specific precautionary statements are given in 1.1.
SIGNIFICANCE AND USE 4.1 This practice provides a guide for the evaluation of shipping units in accordance with a uniform system, using established test methods at levels representative of those occurring in actual distribution. The recommended test levels are based on available information on the shipping and handling environment, and current industry/government practice and experience. The tests should be performed sequentially on the same containers in the order given. For use as a performance test, this practice requires that the shipping unit tested remain unopened until the sequence of tests are completed. If used for other purposes, such as package development, it may be useful to open and inspect shipping units at various times throughout the sequence. This may, however, prohibit evaluating the influence of the container closure on container performance. SCOPE 1.1 This practice provides a uniform basis of evaluating, in a laboratory, the ability of shipping units, weighing up to but not exceeding 150 lb (68 kg), intended for the single parcel delivery system to withstand the hazards associated with the distribution environment. This is accomplished by subjecting them to a test plan consisting of a sequence of anticipated hazard elements encountered in the distribution cycles. This practice is not intended to supplant material specifications or existing pre-shipment test procedures. 1.2 The suitability of this practice for use with hazardous materials has not been determined. 1.3 The values stated in inch-pound units are to be regarded as standard. The values given in parentheses are mathematical conversions to SI units that are provided for information only and are not considered standard. 1.4 This standard does not purport to address all of the safety concerns, if any, associated with its use. It is the responsibility of the user of this standard to establish appropriate safety and health practices and determine the applicability of regulatory limitations prior to use. Specific precautionary statements are given in 1.1.
ASTM D7386-16 is classified under the following ICS (International Classification for Standards) categories: 55.180.40 - Complete, filled transport packages. The ICS classification helps identify the subject area and facilitates finding related standards.
ASTM D7386-16 has the following relationships with other standards: It is inter standard links to ASTM D7386-12, ASTM D951-17, ASTM D6344-04(2017), ASTM D4332-13, ASTM D996-10a, ASTM D951-99(2010), ASTM D5265-09, ASTM D5265-03(2009), ASTM D6344-04(2009), ASTM D5487-98(2008), ASTM D6179-07, ASTM D4332-01(2006), ASTM D6653-01(2006), ASTM D951-99(2004), ASTM D6344-04. Understanding these relationships helps ensure you are using the most current and applicable version of the standard.
ASTM D7386-16 is available in PDF format for immediate download after purchase. The document can be added to your cart and obtained through the secure checkout process. Digital delivery ensures instant access to the complete standard document.
Standards Content (Sample)
This international standard was developed in accordance with internationally recognized principles on standardization established in the Decision on Principles for the
Development of International Standards, Guides and Recommendations issued by the World Trade Organization Technical Barriers to Trade (TBT) Committee.
Designation: D7386 − 16
Standard Practice for
Performance Testing of Packages for Single Parcel Delivery
Systems
This standard is issued under the fixed designation D7386; the number immediately following the designation indicates the year of
original adoption or, in the case of revision, the year of last revision.Anumber in parentheses indicates the year of last reapproval.A
superscript epsilon (´) indicates an editorial change since the last revision or reapproval.
1. Scope D5487Test Method for Simulated Drop of Loaded Contain-
ers by Shock Machines
1.1 This practice provides a uniform basis of evaluating, in
D6179Test Methods for Rough Handling of Unitized Loads
a laboratory, the ability of shipping units, weighing up to but
and Large Shipping Cases and Crates
not exceeding 150 lb (68 kg), intended for the single parcel
D6344Test Method for Concentrated Impacts to Transport
delivery system to withstand the hazards associated with the
Packages
distribution environment. This is accomplished by subjecting
D6653Test Methods for Determining the Effects of High
them to a test plan consisting of a sequence of anticipated
Altitude on Packaging Systems by Vacuum Method
hazard elements encountered in the distribution cycles. This
practice is not intended to supplant material specifications or
3. Terminology
existing pre-shipment test procedures.
3.1 Definitions—General definitions for the packaging and
1.2 The suitability of this practice for use with hazardous
distribution environments are found in Terminology D996.
materials has not been determined.
3.2 Definitions of Terms Specific to This Standard:
1.3 The values stated in inch-pound units are to be regarded
3.2.1 acceptance criteria—the acceptable quality level that
as standard. The values given in parentheses are mathematical
must be met after the shipping unit has been subjected to the
conversions to SI units that are provided for information only
test plan. See Section 7.
and are not considered standard.
3.2.2 assurance level—theleveloftestintensitybasedonits
1.4 This standard does not purport to address all of the
probability of occurring in a typical shipment.
safety concerns, if any, associated with its use. It is the
3.2.3 hazard element—a specific event that occurs in a
responsibility of the user of this standard to establish appro-
shipment that may pose a hazard to a shipping unit. The
priate safety and health practices and determine the applica-
elementwillusuallybesimulatedbyasingletestschedule.See
bility of regulatory limitations prior to use. Specific precau-
Section 9.
tionary statements are given in 1.1.
3.2.4 shipping unit—the smallest complete unit that will be
subjected to the distribution environment, for example, a
2. Referenced Documents
shipping container and its contents.
2.1 ASTM Standards:
3.2.5 single parcel delivery system—distribution carrier that
D951Test Method for Water Resistance of Shipping Con-
transports packages weighing up to 150 lb through ground
tainers by Spray Method
and/or air transport systems.
D996Terminology of Packaging and Distribution Environ-
ments
3.2.6 test plan—a specific listing of the test sequence to be
D4332Practice for Conditioning Containers, Packages, or followed to simulate the hazards anticipated during the distri-
Packaging Components for Testing
bution cycle of a shipping unit. Included will be the test
D5265Test Method for Bridge Impact Testing intensity and number of sequential tests to be conducted. See
8.1.
1 3.2.7 test schedule—the specific procedure to be used,
This practice is under the jurisdiction ofASTM Committee D10 on Packaging
andisthedirectresponsibilityofSubcommitteeD10.21onShippingContainersand
including the three assurance level intensities (if applicable),
Systems - Application of Performance Test Methods.
and a reference to the test method that is the basis of the
Current edition approved April 1, 2016. Published June 2016. Originally
schedule.
approved in 2008. Last previous edition approved in 2012 as D7386 – 12. DOI:
10.1520/D7386-16.
3.2.8 unitizing bag—a bag made of a poly material, mea-
For referenced ASTM standards, visit the ASTM website, www.astm.org, or
suring approximately 39 by 27 in. (991 by 686 mm), used to
contact ASTM Customer Service at service@astm.org. For Annual Book of ASTM
contain and transport several small sized packages and enve-
Standards volume information, refer to the standard’s Document Summary page on
the ASTM website. lopes.
Copyright © ASTM International, 100 Barr Harbor Drive, PO Box C700, West Conshohocken, PA 19428-2959. United States
D7386 − 16
4. Significance and Use
4.1 This practice provides a guide for the evaluation of
shipping units in accordance with a uniform system, using
established test methods at levels representative of those
occurring in actual distribution. The recommended test levels
are based on available information on the shipping and
handling environment, and current industry/government prac-
ticeandexperience.Thetestsshouldbeperformedsequentially
on the same containers in the order given. For use as a
FIG. 1 Members of Sacks and Bags
performance test, this practice requires that the shipping unit
tested remain unopened until the sequence of tests are com-
pleted. If used for other purposes, such as package
(1)Three express envelopes from a carrier such as USPS,
development, it may be useful to open and inspect shipping
FedEx, or UPS, each filled with 25 sheets of copy paper.
units at various times throughout the sequence. This may,
(2)One padded mailer measuring 10.5 by 14.0 in. (267 by
however, prohibit evaluating the influence of the container
356 mm) filled with 50 sheets of copy paper.
closure on container performance.
(3)One padded mailer measuring 12.5 by 15.0 in. (317 by
381 mm) filled with 50 sheets of copy paper.
5. Test Specimen
(4)One each of the following box sizes in the following
5.1 Test specimens consist of representative samples of table are constructed from single wall 32 ECT or 200 bursting
complete shipping units, including actual contents. Products testcorrugatedfiberboard,withallvoidspacefilledwithpaper,
with blemishes or minor defects may be used if the defective sand, foam, etc. to achieve the specified weight and to prevent
component is not to be studied by the test and if the defect is shifting of the dummy packages.
documented in the report. Dummy or simulated test loads are
Box Size Specified Weight
8 by 5 by 2 in. (203 by 127 by 51 mm) 1 lb (0.4 kg)
acceptable if testing the actual product might be hazardous. If
9 by 6 by 2 in. (229 by 152 by 51 mm) 1 lb (0.4 kg)
a dummy load is used, it should be instrumented to determine
11 by 11 by 4 in. (279 by 279 by 102 mm) 2 lb (0.9 kg)
if the fragility level of the actual product has been exceeded.
11 by 8 by 4 in. (279 by 203 by 102 mm) 2 lb (0.9 kg)
7 by 6 by 4 in. (179 by 152 by 102 mm) 4 lb (1.8 kg)
Take care to duplicate the load characteristics of the actual
12 by 12 by 3 in. (305 by 305 by 76 mm) 4 lb (1.8 kg)
product, and to avoid unnecessary handling.
8 by 8 by 8 in. (203 by 203 by 203 mm) 10 lb (4.5 kg)
6 by 6 by 6 in. (152 by 152 by 152 mm) 2 lb (0.9 kg )
5.2 Care must be taken to ensure that no degradation has
10 by 5 by 5 in. (254 by 127 by 127 mm) 2 lb (0.9 kg)
occurred to either the product or the package if the test
5.4.2 Rectangular Containers—The procedure for identifi-
packages have been shipped to the test site. If any doubt exists
cation of the members (faces, edges, and corners) of rectangu-
as to the condition of the package, repack the product in new
lar containers as shown in Fig. 2 shall be as follows:
packaging material before testing.
5.4.2.1 Place the container in its most stable riding orienta-
5.3 The number of test replications depends on the desired
tion with one of the smallest faces directly in front of the
objectives of the testing and the availability of duplicate
observer.
products and shipping containers. Replicate testing is recom-
5.4.2.2 Label the surface that is facing up as Face 1.
mended to improve the reliability of the test results.
5.4.2.3 Label the right side as Face 2.
5.4.2.4 Label the bottom as Face 3.
5.4 Identification of Package Test Specimen Members:
5.4.2.5 Label the left side as Face 4.
5.4.1 Small Containers Bagged for Transport by Carrier,
5.4.2.6 Label the end nearest the observer as Face 5.
Sacks and Bags—Small packaged products (smaller than
5.4.2.7 Label the end farthest from the observer as Face 6.
800in. (13110cc)andlessthan10lb(4.5kg)andthelongest
5.4.3 Cylindrical Containers—The procedure for identifica-
dimension of the package is 14 in. (356 mm) or less) shipped
tion of the members (top, bottom, sidewall, and chimes) of
through the single package environment are traditionally unit-
cylindrical containers as shown in Fig. 3 shall be as follows:
ized with other packaged-products in transport bags by the
5.4.3.1 Placethecontainerinitsintendedshippingposition.
parcel delivery carriers.The procedure for the identification of
5.4.3.2 Label the surface that is facing up as Face 1.
the members of ‘packaged-products defined as test sample
TS-1’(bags and sacks) as shown in Fig. 1 shall be as follows:
5.4.1.1 With the empty unitizing bag laying flat:
(1)Label the surface that is facing up as Face 1.
(2)TurnthebagoverandmarktheoppositefaceasFace3.
(3)Label the opening of the bag as Face 2.
(4)Label the opposite end of Face 2 as Face 4.
(5)Label one of the side faces as Face 5.
(6)Label the opposite side face as Face 6.
5.4.1.2 Place the test specimen in the center of the unitizing
bag along with the following: FIG. 2 Members of Rectangular Containers
D7386 − 16
Criterion 1—Product is damage-free.
Criterion 2—Package is intact.
Criterion 3—Both criteria 1 and 2.
7.2.1 Often, this means that the shipping container and its
contents are suitable for normal sale and use at the completion
of the test cycle. Detailed acceptance criteria may allow for
accepting specified damage to a product or its package. The
form and content of acceptance criteria may vary widely, in
accordance with the particular situation. Methods may range
from simple pass-fail judgments to highly quantitative scoring
FIG. 3 Members of Cylindrical Containers
or analysis systems.
8. Hazard Elements and Test Schedules for Single Parcel
5.4.3.3 Turn the container over and label the opposite side Shipments
(bottom) as Face 3.
8.1 The Hazard Elements and Test Schedules are catego-
5.4.3.4 Draw two perpendicular lines across the diameter of
rized as follows:
the container on Faces 1 and 3. Connect the lines so there are
Schedule Hazard Element Test Section
four equidistant lines on the sidewall of the container.
A Handling—manual and Drop, impact 10
5.4.3.5 Label the line to the observer’s right as Face 2. automated
D Vibration Vibration and 11
5.4.3.6 Label the line on the observer’s left as Face 4.
Vibration under load
5.4.3.7 Label the line nearest the observer as Face 5.
I Impact, stability Bridged impact 12
5.4.3.8 Label the line farthest from the observer as Face 6. J Impact, stability Hazard impact 13
K Low pressure High altitude 14
L Impacts, punctures Concentrated impacts 15
6. Conditioning
M Impacts Tip-over impacts 16
N Drops Rotational edge drops 17
6.1 Conduct the test at standard conditions and compensate
for the effects of any climatic condition. Condition containers
9. Procedure
in accordance with Practice D4332 and document the actual
9.1 Describe shipping unit in terms of size, weight, and
conditions used. A conditioning period of 72 h, or sufficient
form of construction. See 3.2.6. Use the following criteria to
time to reach equilibrium of all parts of the package and
define the package test sample(s).
product is recommended. Tests should be conducted in the
9.1.1 Is the test specimen smaller than 800 in. (13110cc)
conditioned atmosphere whenever possible. If not possible,
ANDlessthan10lb(4.5kg)ANDthelongestdimensionofthe
conduct the tests as soon after removal from the conditioning
package is 14 in. (356 mm) or less AND the carrier unitizes
atmosphere as practicable. Recondition the shipping units to
small and light shipping units in a bag with other small and
the standard atmosphere as necessary during the test plan.
light shipping units?
6.2 In some circumstances, it may be necessary to conduct
9.1.1.1 If Yes, the test specimen is defined as TS-1.
some or all of the tests at special climatic conditions, such as
9.1.1.2 If No, proceed to 9.1.2.
thosegiveninPracticeD4332,orTestMethodD951,orothers
9.1.2 Is the test specimen’s shortest dimension 8 in.
(salt, spray, water immersion, humidity, or temperature). The
(203mm) or less,AND the next shortest dimension is four (4)
sameclimaticconditionshouldbeusedforanyassurancelevel.
or more times larger than the shortest dimension AND the
A conditioning period of 24 h, or sufficient time to reach
cubic volume of the package is more than 800 in.
equilibrium of all parts of the package and product is recom-
(13110cc)?
mended. Tests should be conducted in the conditioned atmo-
9.1.2.1 If Yes, the test specimen is defined as TS-2.
sphere whenever possible. If not possible, conduct the tests as
9.1.2.2 If No, proceed to 9.1.3.
soon after removal from the conditioning atmosphere as
9.1.3 Is the test specimen’s longest dimension 36 in.
practicable.Reconditiontheshippingunitsasnecessaryduring
(914mm)ormoreANDboththeotherdimensionsare20%or
the test plan.
less of that of the longest dimension?
9.1.3.1 If Yes, the test specimen is defined as TS-3.
7. Acceptance Criteria
9.1.3.2 If No, the test specimen is defined as TS-4.
7.1 Acceptance criteria must be established prior to testing
9.1.4 See flow chart in Fig. 4 for description and examples
and should consider the required condition of the product at
for package description and type determination.
receipt. The organizations conducting the test may choose any
9.2 Determine Acceptance Criteria—Acceptance criteria
acceptance criteria suitable for their purpose. It is advisable to
are related to the desired condition of the product and package
compare the type and quantity of damage that occurred to the
at the end of the distribution cycle. See Section 7.
test specimens with the damage that occurs during actual
distribution and handling or with test results of similar con- 9.3 Write Test Plan—Prepare a test plan by using the
tainers whose shipping history is known. sequence presented in Table 1 for the test specimen defined in
8.1.
7.2 In many cases, the acceptance criteria can be the
following: 9.4 Select Samples for Test—See Section 5.
D7386 − 16
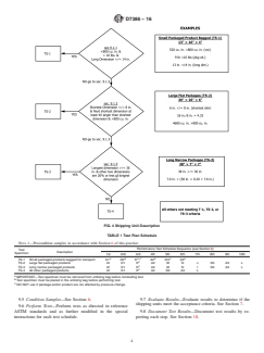
FIG. 4 Shipping Unit Description
TABLE 1 Test Plan Schedule
NOTE 1—Precondition samples in accordance with Section 6 of this practice.
Performance Test Schedule Sequence (see Section 8)
Test
Description
Specimen
1st 2nd 3rd 4th 5th 6th 7th 8th 9th 10th
A B A,C B A A
TS-1 Small packaged-products bagged for transport A1 D2 K A4 D3 A3
C
TS-2 Large flat packaged products A1 D1 K A2 M N J D3 A3 L
C
TS-3 Long narrow packaged products A1 D1 K A2 M N I D3 A3 L
C
TS-4 All other packaged-products A1 D1 K A2 D3 A3 L
A
IMPORTANT—Test specimen must be removed from unitizing bag before conducting test.
B
Test specimen must be placed in the unitizing bag before performing test.
C
DO NOT use if package and/or product are not affected by pressure change.
9.5 Condition Samples—See Section 6. 9.7 Evaluate Results—Evaluate results to determine if the
shipping units meet the acceptance criteria. See Section 7.
9.6 Perform Tests—Perform tests as directed in reference
ASTM standards and as further modified in the special 9.8 Document Test Results—Document test results by re-
instructions for each test schedule. porting each step. See Section 18.
D7386 − 16
9.9 Monitor Shipments—Whenpossible,obtainfeedbackby 11. Schedule D (D1, D2, and D3)—Vibration
monitoringshipmentsofthecontainerthatwastestedtoensure
11.1 Thetestlevelsandtestmethodsforthesetestschedules
thatthetypeandquantityofdamageobtainedbythelaboratory
are intended to determine the ability of shipping units to
testing correlates with the damage that occurs in the distribu-
withstand the vibration conditions that exist in the distribution
tion cycle. This information is very useful for the planning of
environment and the dynamic compressive forces resulting
subsequent tests of similar shipping containers.
from mixed commodity loads in a trailer. The test levels and
methodsaccountforthemagnitude,frequencyrange,duration,
10. Schedule A (A1, A2, A3, and A4)—Handling
and direction of vibration. If more detailed information is
10.1 Handling—The test levels and the test method for this
availableonthetransportvibrationenvironmentorthedamage
scheduleofthedistributioncycleareintendedtodeterminethe
history of the shipping unit, it is recommended that the
ability of the shipping unit to withstand the hazards occurring
following vibration procedure be modified to use such infor-
during transport, such as loading, unloading, stacking, sorting,
mation.
pickup, and delivery. The main hazards from these operations
11.2 Schedule D1—Vibration Under Compressive Load—
are shocks caused by impacts with other packages or solid
For all shipping units except for bagged.
objects and/or free-fall drops. Size, weight, and shape of the
11.2.1 Acompressiveloadistobeplacedonthetopsurface
shippingunitwillaffecttheintensityofthesehazards.Twotest
of the test specimen during each sequence of the vibration test
method options are permitted, free fall and simulated drop test
to simulate a mixed commodities load on top of the shipping
using shock machines.While the two methods produce similar
unit during transport.
results, the shock machine method produces more control of
11.2.2 Calculate the compressive load for each of the three
orientations of impact; see Test Method D5487 for limitations
testing orientations using the formula in 11.2.3 and distribute
of the shock machine method.
the load evenly over the entire surface of the parcel.
10.1.1 Forpurposesofthisprocedure,thebottomofaparcel
NOTE 1—To prevent unnecessary damage to the test sample due to the
is the surface on which the parcel rests in its most stable
calculated weight shifting and/or bouncing during the vibration, it is
orientation and is not dependent upon label or orientation
permissibletosecuretheweighttothesample.Thiscanbeperformedwith
arrows (see 5.4).
the use of several ligh
...
This document is not an ASTM standard and is intended only to provide the user of an ASTM standard an indication of what changes have been made to the previous version. Because
it may not be technically possible to adequately depict all changes accurately, ASTM recommends that users consult prior editions as appropriate. In all cases only the current version
of the standard as published by ASTM is to be considered the official document.
Designation: D7386 − 12 D7386 − 16
Standard Practice for
Performance Testing of Packages for Single Parcel Delivery
Systems
This standard is issued under the fixed designation D7386; the number immediately following the designation indicates the year of
original adoption or, in the case of revision, the year of last revision. A number in parentheses indicates the year of last reapproval. A
superscript epsilon (´) indicates an editorial change since the last revision or reapproval.
1. Scope
1.1 This practice provides a uniform basis of evaluating, in a laboratory, the ability of shipping units, weighing up to but not
exceeding 150 lb (68 kg), intended for the single parcel delivery system to withstand the hazards associated with the distribution
environment. This is accomplished by subjecting them to a test plan consisting of a sequence of anticipated hazard elements
encountered in the distribution cycles. This practice is not intended to supplant material specifications or existing pre-shipment test
procedures.
1.2 The suitability of this practice for use with hazardous materials has not been determined.
1.3 The values stated in inch-pound units are to be regarded as standard. The values given in parentheses are mathematical
conversions to SI units that are provided for information only and are not considered standard.
1.4 This standard does not purport to address all of the safety concerns, if any, associated with its use. It is the responsibility
of the user of this standard to establish appropriate safety and health practices and determine the applicability of regulatory
limitations prior to use. Specific precautionary statements are given in 1.1.
2. Referenced Documents
2.1 ASTM Standards:
D951 Test Method for Water Resistance of Shipping Containers by Spray Method
D996 Terminology of Packaging and Distribution Environments
D4332 Practice for Conditioning Containers, Packages, or Packaging Components for Testing
D5265 Test Method for Bridge Impact Testing
D5487 Test Method for Simulated Drop of Loaded Containers by Shock Machines
D6179 Test Methods for Rough Handling of Unitized Loads and Large Shipping Cases and Crates
D6344 Test Method for Concentrated Impacts to Transport Packages
D6653 Test Methods for Determining the Effects of High Altitude on Packaging Systems by Vacuum Method
3. Terminology
3.1 Definitions—General definitions for the packaging and distribution environments are found in Terminology D996.
3.2 Definitions of Terms Specific to This Standard:
3.2.1 acceptance criteria—the acceptable quality level that must be met after the shipping unit has been subjected to the test
plan. See Section 7.
3.2.2 assurance level—the level of test intensity based on its probability of occurring in a typical shipment.
3.2.3 hazard element—a specific event that occurs in a shipment that may pose a hazard to a shipping unit. The element will
usually be simulated by a single test schedule. See Section 9.
3.2.4 shipping unit—the smallest complete unit that will be subjected to the distribution environment, for example, a shipping
container and its contents.
This practice is under the jurisdiction of ASTM Committee D10 on Packaging and is the direct responsibility of Subcommittee D10.21 on Shipping Containers and
Systems - Application of Performance Test Methods.
Current edition approved April 1, 2012April 1, 2016. Published May 2012June 2016. Originally approved in 2008. Last previous edition approved in 20082012 as D7386
– 08.12. DOI: 10.1520/D7386-12.10.1520/D7386-16.
For referenced ASTM standards, visit the ASTM website, www.astm.org, or contact ASTM Customer Service at service@astm.org. For Annual Book of ASTM Standards
volume information, refer to the standard’s Document Summary page on the ASTM website.
Copyright © ASTM International, 100 Barr Harbor Drive, PO Box C700, West Conshohocken, PA 19428-2959. United States
D7386 − 16
3.2.5 single parcel delivery system—distribution carrier that transports packages weighing up to 150 lb through ground and/or
air transport systems.
3.2.6 test plan—a specific listing of the test sequence to be followed to simulate the hazards anticipated during the distribution
cycle of a shipping unit. Included will be the test intensity and number of sequential tests to be conducted. See 8.1.
3.2.7 test schedule—the specific procedure to be used, including the three assurance level intensities (if applicable), and a
reference to the test method that is the basis of the schedule.
3.2.8 unitizing bag—a bag made of a poly material, measuring approximately 39 by 27 in. (991 by 686 mm), used to contain
and transport several small sized packages and envelopes.
4. Significance and Use
4.1 This practice provides a guide for the evaluation of shipping units in accordance with a uniform system, using established
test methods at levels representative of those occurring in actual distribution. The recommended test levels are based on available
information on the shipping and handling environment, and current industry/government practice and experience. The tests should
be performed sequentially on the same containers in the order given. For use as a performance test, this practice requires that the
shipping unit tested remain unopened until the sequence of tests are completed. If used for other purposes, such as package
development, it may be useful to open and inspect shipping units at various times throughout the sequence. This may, however,
prohibit evaluating the influence of the container closure on container performance.
5. Test Specimen
5.1 Test specimens consist of representative samples of complete shipping units, including actual contents. Products with
blemishes or minor defects may be used if the defective component is not to be studied by the test and if the defect is documented
in the report. Dummy or simulated test loads are acceptable if testing the actual product might be hazardous. If a dummy load is
used, it should be instrumented to determine if the fragility level of the actual product has been exceeded. Take care to duplicate
the load characteristics of the actual product, and to avoid unnecessary handling.
5.2 Care must be taken to ensure that no degradation has occurred to either the product or the package if the test packages have
been shipped to the test site. If any doubt exists as to the condition of the package, repack the product in new packaging material
before testing.
5.3 The number of test replications depends on the desired objectives of the testing and the availability of duplicate products
and shipping containers. Replicate testing is recommended to improve the reliability of the test results.
5.4 Identification of Package Test Specimen Members:
5.4.1 Small Containers Bagged for Transport by Carrier, Sacks and Bags—Small packaged products (smaller than
800 in. (13 110 cc) and less than 10 lb (4.5 kg) and the longest dimension of the package is 14 in. (356 mm) or less) shipped
through the single package environment are traditionally unitized with other packaged-products in transport bags by the parcel
delivery carriers. The procedure for the identification of the members of ‘packaged-products defined as test sample TS-1’ (bags
and sacks) as shown in Fig. 1 shall be as follows:
5.4.1.1 With the empty unitizing bag laying flat:
(1) Label the surface that is facing up as Face 1.
(2) Turn the bag over and mark the opposite face as Face 3.
(3) Label the opening of the bag as Face 2.
(4) Label the opposite end of Face 2 as Face 4.
(5) Label one of the side faces as Face 5.
(6) Label the opposite side face as Face 6.
5.4.1.2 Place the test specimen in the center of the unitizing bag along with the following:
(1) Three express envelopes from a carrier such as USPS, FedEx, or UPS, each filled with 25 sheets of copy paper.
(2) One padded mailer measuring 10.5 by 14.0 in. (267 by 356 mm) filled with 50 sheets of copy paper.
FIG. 1 Members of Sacks and Bags
D7386 − 16
(3) One padded mailer measuring 12.5 by 15.0 in. (317 by 381 mm) filled with 50 sheets of copy paper.
(4) One each of the following box sizes in the following table are constructed from single wall 32 ECT or 200 bursting test
corrugated fiberboard, with all void space filled with paper, sand, foam, etc. to achieve the specified weight and to prevent shifting
of the dummy packages.
Box Size Specified Weight
8 by 5 by 2 in. (203 by 127 by 51 mm) 1 lb (0.4 kg)
9 by 6 by 2 in. (229 by 152 by 51 mm) 1 lb (0.4 kg)
11 by 11 by 4 in. (279 by 279 by 102 mm) 2 lb (0.9 kg)
11 by 8 by 4 in. (279 by 203 by 102 mm) 2 lb (0.9 kg)
7 by 6 by 4 in. (179 by 152 by 102 mm) 4 lb (1.8 kg)
12 by 12 by 3 in. (305 by 305 by 76 mm) 4 lb (1.8 kg)
8 by 8 by 8 in. (203 by 203 by 203 mm) 10 lb (4.5 kg)
6 by 6 by 6 in. (152 by 152 by 152 mm) 2 lb (0.9 kg )
10 by 5 by 5 in. (254 by 127 by 127 mm) 2 lb (0.9 kg)
5.4.2 Rectangular Containers—The procedure for identification of the members (faces, edges, and corners) of rectangular
containers as shown in Fig. 2 shall be as follows:
5.4.2.1 Place the container in its most stable riding orientation with one of the smallest faces directly in front of the observer.
5.4.2.2 Label the surface that is facing up as Face 1.
5.4.2.3 Label the right side as Face 2.
5.4.2.4 Label the bottom as Face 3.
5.4.2.5 Label the left side as Face 4.
5.4.2.6 Label the end nearest the observer as Face 5.
5.4.2.7 Label the end farthest from the observer as Face 6.
5.4.3 Cylindrical Containers—The procedure for identification of the members (top, bottom, sidewall, and chimes) of
cylindrical containers as shown in Fig. 3 shall be as follows:
5.4.3.1 Place the container in its intended shipping position.
5.4.3.2 Label the surface that is facing up as Face 1.
5.4.3.3 Turn the container over and label the opposite side (bottom) as Face 3.
5.4.3.4 Draw two perpendicular lines across the diameter of the container on Faces 1 and 3. Connect the lines so there are four
equidistant lines on the sidewall of the container.
5.4.3.5 Label the line to the observer’s right as Face 2.
5.4.3.6 Label the line on the observer’s left as Face 4.
5.4.3.7 Label the line nearest the observer as Face 5.
5.4.3.8 Label the line farthest from the observer as Face 6.
6. Conditioning
6.1 Conduct the test at standard conditions and compensate for the effects of any climatic condition. Condition containers in
accordance with Practice D4332 and document the actual conditions used. A conditioning period of 72 h, or sufficient time to reach
equilibrium of all parts of the package and product is recommended. Tests should be conducted in the conditioned atmosphere
whenever possible. If not possible, conduct the tests as soon after removal from the conditioning atmosphere as practicable.
Recondition the shipping units to the standard atmosphere as necessary during the test plan.
6.2 In some circumstances, it may be necessary to conduct some or all of the tests at special climatic conditions, such as those
given in Practice D4332, or Test Method D951, or others (salt, spray, water immersion, humidity, or temperature). The same
climatic condition should be used for any assurance level. A conditioning period of 24 h, or sufficient time to reach equilibrium
of all parts of the package and product is recommended. Tests should be conducted in the conditioned atmosphere whenever
possible. If not possible, conduct the tests as soon after removal from the conditioning atmosphere as practicable. Recondition the
shipping units as necessary during the test plan.
7. Acceptance Criteria
7.1 Acceptance criteria must be established prior to testing and should consider the required condition of the product at receipt.
The organizations conducting the test may choose any acceptance criteria suitable for their purpose. It is advisable to compare the
FIG. 2 Members of Rectangular Containers
D7386 − 16
FIG. 3 Members of Cylindrical Containers
type and quantity of damage that occurred to the test specimens with the damage that occurs during actual distribution and handling
or with test results of similar containers whose shipping history is known.
7.2 In many cases, the acceptance criteria can be the following:
Criterion 1—Product is damage-free.
Criterion 2—Package is intact.
Criterion 3—Both criteria 1 and 2.
7.2.1 Often, this means that the shipping container and its contents are suitable for normal sale and use at the completion of the
test cycle. Detailed acceptance criteria may allow for accepting specified damage to a product or its package. The form and content
of acceptance criteria may vary widely, in accordance with the particular situation. Methods may range from simple pass-fail
judgments to highly quantitative scoring or analysis systems.
8. Hazard Elements and Test Schedules for Single Parcel Shipments
8.1 The Hazard Elements and Test Schedules are categorized as follows:
Schedule Hazard Element Test Section
A Handling—manual and Drop, impact 10
automated
D Vibration Vibration and 11
Vibration under load
I Impact, stability Bridged impact 12
J Impact, stability Hazard impact 13
K Low pressure High altitude 14
L Impacts, punctures Concentrated impacts 15
M Impacts Tip-over impacts 16
N Drops Rotational edge drops 17
9. Procedure
9.1 Describe shipping unit in terms of size, weight, and form of construction. See 3.2.6. Use the following criteria to define the
package test sample(s).
9.1.1 Is the test specimen smaller than 800 in. (13 110 cc) AND less than 10 lb (4.5 kg) AND the longest dimension of the
package is 14 in. (356 mm) or less AND the carrier unitizes small and light shipping units in a bag with other small and light
shipping units?
9.1.1.1 If Yes, the test specimen is defined as TS-1.
9.1.1.2 If No, proceed to 9.1.2.
9.1.2 Is the test specimen’s shortest dimension 8 in. (203 mm) or less, AND the next shortest dimension is four (4) or more times
larger than the shortest dimension AND the cubic volume of the package is more than 800 in. (13 110 cc)?
9.1.2.1 If Yes, the test specimen is defined as TS-2.
9.1.2.2 If No, proceed to 9.1.3.
9.1.3 Is the test specimen’s longest dimension 36 in. (914 mm) or more AND both the other dimensions are 20 % or less of that
of the longest dimension?
9.1.3.1 If Yes, the test specimen is defined as TS-3.
9.1.3.2 If No, the test specimen is defined as TS-4.
9.1.4 See flow chart in Fig. 4 for description and examples for package description and type determination.
9.2 Determine Acceptance Criteria—Acceptance criteria are related to the desired condition of the product and package at the
end of the distribution cycle. See Section 7.
9.3 Write Test Plan—Prepare a test plan by using the sequence presented in Table 1 for the test specimen defined in 8.1.
9.4 Select Samples for Test—See Section 5.
9.5 Condition Samples—See Section 6.
D7386 − 16
FIG. 4 Shipping Unit Description
TABLE 1 Test Plan Schedule
NOTE 1—Precondition samples in accordance with Section 6 of this practice.
Performance Test Schedule Sequence (see Section 8)
Test
Description
Specimen
1st 2nd 3rd 4th 5th 6th 7th 8th 9th 10th
A B A,C B A A
TS-1 Small packaged-products bagged for transport A1 D2 K A4 D3 A3
C
TS-2 Large flat packaged products A1 D1 K A2 M N J D3 A3 L
C
TS-3 Long narrow packaged products A1 D1 K A2 M N I D3 A3 L
C
TS-4 All other packaged-products A1 D1 K A2 D3 A3 L
A
IMPORTANT—Test specimen must be removed from unitizing bag before conducting test.
B
Test specimen must be placed in the unitizing bag before performing test.
C
DO NOT use if package and/or product are not affected by pressure change.
9.6 Perform Tests—Perform tests as directed in reference ASTM standards and as further modified in the special instructions
for each test schedule.
9.7 Evaluate Results—Evaluate results to determine if the shipping units meet the acceptance criteria. See Section 7.
9.8 Document Test Results—Document test results by reporting each step. See Section 18.
D7386 − 16
9.9 Monitor Shipments—When possible, obtain feedback by monitoring shipments of the container that was tested to ensure that
the type and quantity of damage obtained by the laboratory testing correlates with the damage that occurs in the distribution cycle.
This information is very useful for the planning of subsequent tests of similar shipping containers.
10. Schedule A (A1, A2, A3, and A4)—Handling
10.1 Handling—The test levels and the test method for this schedule of the distribution cycle are intended to determine the
ability of the shipping unit to withstand the hazards occurring during transport, such as loading, unloading, stacking, sorting,
pickup, and delivery. The main hazards from these operations are shocks caused by impacts with other packages or solid objects
and/or free-fall drops. Size, weight, and shape of the shipping unit will affect the intensity of these hazards. Two test method
options are permitted, free fall and simulated drop test using shock machines. While the two methods produce similar results, the
shock machine method produces more control of orientations of impact; see Test Method D5487 for limitations of the shock
machine method.
10.1.1 For purposes of this procedure, the bottom of a small parcel is the surface on which the parcel rests in its most stable
orientation and is not dependent upon label or orientation arrows (see 5.4).
10.1.2 Recommended drop heights, number of drops, the sequence of drops, and the shipping unit orientation at impact for each
test schedule sequence are shown in Table 2.
11. Schedule D (D1, D2, and D3)—Vibration
11.1 The test levels and test methods for these test schedules are intended to determine the ability of shipping units to withstand
the vibration conditions that exist in the distribution environment and the dynamic compressive forces resulting from mixed
commodity loads in a trailer. The test levels and methods account for the magnitude, frequency range, duration, and direction of
vibration. If more detailed information is available on the transport vibration environment or the damage history of the shipping
unit, it is recommended that the following vibration procedure be modified to use such information.
11.2 Schedule D1—Vibration Under Compressive Load—For all shipping units except for bagged.
11.2.1 A compressive load is to be placed on the top surface of the test specimen during each sequence of the vibration test to
simulate a mixed commodities load on top of the shipping unit during transport.
11.2.2 Calculate the compressive load for each of the three testing orientations using the formula in 11.2.3 and distribute the
load evenly over the entire surface of the small parcel.
TABLE 2 Recommended Drop Test Sequence and Drop Heights
Sequence A1
1-70 lb 71-150 lb
Orientation
A.L. I A.L. II A.L. III A.L. I A.L. II A.L. III
Edge 3–4 20 in. (508 mm) 14 in. (356 mm) 12 in. (305 mm) 16 in. (406 mm) 12 in. (305 mm) 8 in. (203 mm)
Edge 3–6 20 in. (508 mm) 14 in. (356 mm) 12 in. (305 mm) 16 in. (406 mm) 12 in. (305 mm) 8 in. (203 mm)
Corner 3–4–6 20 in. (508 mm) 14 in. (356 mm) 12 in. (305 mm) 16 in. (406 mm) 12 in. (305 mm) 8 in. (203 mm)
...








Questions, Comments and Discussion
Ask us and Technical Secretary will try to provide an answer. You can facilitate discussion about the standard in here.
Loading comments...