ASTM F3153-22
(Specification)Standard Specification for Verification of Aircraft Systems and Equipment
Standard Specification for Verification of Aircraft Systems and Equipment
ABSTRACT
This specification describes a process for verifying the intended function and compliance with safety objectives of avionics systems by means of system-level testing. This verification process includes functional verification planning, testing, resolution of test failures, and regression analysis and testing. It also covers organizational requirements and the process of product definition (function identification, classification, and specification) as well as the requirements for producing a statement of verification.
SCOPE
1.1 This specification provides a process for performing system level verification of aircraft systems and equipment. It provides a means of compliance that can be used for systems and equipment with software and Airborne Electronic Hardware (AEH) that have not been addressed by traditional development assurance methods.
1.2 This process can be used to show compliance to regulations that require a demonstration that functionality was implemented as intended, including safety mitigations that address failure conditions for software and AEH aspects for aircraft systems and equipment.
1.3 While this specification was developed with systems and equipment installed on aircraft certification level 1 and 2 (or class I and II in accordance with Advisory Circular (AC) 23.1309-1) normal category aeroplanes in mind, the content may be more broadly applicable. It is the responsibility of the Applicant to substantiate broader applicability as a specific means of compliance and obtain concurrence for its use from the applicable Civil Aviation Authority (CAA).
1.4 When using this specification, regulations that govern system safety requirements applicable to the aircraft still apply. In complying with those regulations, additional architectural mitigations such as redundancy, independence, separation, system monitors, etc., may be required in addition to the verification process specified in this specification.
1.5 The system level verification activities expected by this specification increase as the severity of the failure conditions applicable to or affected by the function increase. Those functions, which have hazardous and catastrophic failure conditions, receive additional activities through this process to provide detailed scrutiny. For normal category aircraft, refer to Practice F3309, Practice F3230, or AC 23.1309-1 for more information on the identification and classification of system failure conditions. Involvement of the applicable CAA personnel or their designees in this system verification process should be discussed early in the project.
1.6 This verification process specifically addresses definition, identification, and verification of system functions. Processes conducted under this specification may not satisfy all applicable external requirements; additional review on the part of the system developer, integrator, or installer may be required to meet specific requirements or the specified mission of the aircraft, or both.
1.7 The values stated in inch-pound units are to be regarded as standard. No other units of measurement are included in this standard.
1.8 This standard does not purport to address all of the safety concerns, if any, associated with its use. It is the responsibility of the user of this standard to establish appropriate safety, health, and environmental practices and determine the applicability of regulatory limitations prior to use.
1.9 This international standard was developed in accordance with internationally recognized principles on standardization established in the Decision on Principles for the Development of International Standards, Guides and Recommendations issued by the World Trade Organization Technical Barriers to Trade (TBT) Committee.
General Information
- Status
- Published
- Publication Date
- 31-Mar-2022
- Technical Committee
- F39 - Aircraft Systems
- Drafting Committee
- F39.03 - Design of Avionics Systems
Relations
- Effective Date
- 01-Oct-2023
- Effective Date
- 01-Jan-2020
- Effective Date
- 01-Nov-2019
- Effective Date
- 01-Jun-2019
- Effective Date
- 15-Feb-2017
- Effective Date
- 01-Dec-2016
- Effective Date
- 01-Nov-2016
- Effective Date
- 01-Aug-2016
- Effective Date
- 01-Apr-2016
- Effective Date
- 01-Feb-2016
- Effective Date
- 15-Sep-2015
- Effective Date
- 01-May-2015
- Effective Date
- 01-Mar-2015
- Effective Date
- 01-Mar-2015
- Effective Date
- 01-Dec-2014
Overview
ASTM F3153-22: Standard Specification for Verification of Aircraft Systems and Equipment provides a structured process for system-level verification of aircraft systems and equipment, including software and Airborne Electronic Hardware (AEH), particularly when traditional development assurance methods are not used. Developed by ASTM International, this standard defines how to verify that avionics systems operate according to intended functions and meet aviation safety objectives. It encompasses functional verification planning, execution of testing, managing test failures, regression analysis, as well as organizational and documentation requirements. ASTM F3153-22 offers a recognized means of compliance for regulatory requirements, supporting both initial certifications and post-certification changes.
Key Topics
- Functional Verification Planning: Outlines preparation of comprehensive test plans addressing both normal operation and failure conditions, tailored to each system function's criticality.
- System-Level Testing: Specifies methodologies for conducting verification, including testing, inspection, and analysis, ensuring all functions perform safely as intended.
- Failure Condition Classification: Requires identification and documentation of system functions and their corresponding failure conditions, referencing established practices such as AC 23.1309-1.
- Documentation and Configuration Management: Mandates robust configuration control, traceability of changes, and documentation of compliance throughout the system lifecycle.
- Problem Reporting and Resolution: Establishes processes for defect reporting, tracking, and resolution, with detailed justification for any deferred issues.
- Regression Analysis and Retesting: Includes guidelines for assessment and retesting when system or installation changes could affect verified functions, ensuring ongoing compliance.
- Statement of Verification: Outlines requirements for producing compliance documentation that details the verification activities and results.
Applications
ASTM F3153-22 is designed for use by organizations developing or integrating avionics systems and equipment for aircraft, particularly when those systems involve software or AEH components not previously addressed by other assurance standards. Key application scenarios include:
- Small Aircraft and Normal Category Aeroplanes: Tailored to systems installed on aircraft certified at level 1 and 2 (Class I and II), but adaptable for broader applicability with proper authority concurrence.
- Regulatory Compliance: Provides a transparent, systematic method to demonstrate to civil aviation authorities that safety-critical functionalities have been implemented and verified as intended.
- System Integrators and Installers: Offers guidance for documenting system functions, failure conditions, test planning, and maintaining traceability throughout installation and operational changes.
- Post-Certification Changes: Facilitates change impact analysis and retesting to maintain continued compliance after modifications, upgrades, or function additions.
- Reuse of Verification Data: Encourages use of previously approved verification reports where appropriate, streamlining processes for follow-on certification or derivative installations.
Related Standards
Organizations applying ASTM F3153-22 often draw on additional industry standards and guidance documents for more comprehensive assurance and safety analysis, including:
- ASTM F3060: Terminology for Aircraft
- ASTM F3061/F3061M: Specification for Systems and Equipment in Aircraft
- ASTM F3230: Practice for Safety Assessment of Systems and Equipment in Small Aircraft
- ASTM F3309: Practice for Simplified Safety Assessment of Systems and Equipment in Small Aircraft
- FAA AC 23.1309-1E: System Safety Analysis and Assessment for Part 23 Airplanes
- ARINC 429: Digital Information Transfer System (DITS)
- RTCA DO-178: Software Considerations in Airborne Systems and Equipment Certification
- RTCA DO-254: Design Assurance Guidance for Airborne Electronic Hardware
By implementing ASTM F3153-22, aviation manufacturers, system developers, and integrators ensure systematic, traceable, and regulatorily robust verification of aircraft systems and equipment, supporting both safety and compliance objectives in the evolving landscape of avionics technology.
Buy Documents
ASTM F3153-22 - Standard Specification for Verification of Aircraft Systems and Equipment
REDLINE ASTM F3153-22 - Standard Specification for Verification of Aircraft Systems and Equipment
Get Certified
Connect with accredited certification bodies for this standard

DEKRA North America
DEKRA certification services in North America.
Eagle Registrations Inc.
American certification body for aerospace and defense.

Element Materials Technology
Materials testing and product certification.
Sponsored listings
Frequently Asked Questions
ASTM F3153-22 is a technical specification published by ASTM International. Its full title is "Standard Specification for Verification of Aircraft Systems and Equipment". This standard covers: ABSTRACT This specification describes a process for verifying the intended function and compliance with safety objectives of avionics systems by means of system-level testing. This verification process includes functional verification planning, testing, resolution of test failures, and regression analysis and testing. It also covers organizational requirements and the process of product definition (function identification, classification, and specification) as well as the requirements for producing a statement of verification. SCOPE 1.1 This specification provides a process for performing system level verification of aircraft systems and equipment. It provides a means of compliance that can be used for systems and equipment with software and Airborne Electronic Hardware (AEH) that have not been addressed by traditional development assurance methods. 1.2 This process can be used to show compliance to regulations that require a demonstration that functionality was implemented as intended, including safety mitigations that address failure conditions for software and AEH aspects for aircraft systems and equipment. 1.3 While this specification was developed with systems and equipment installed on aircraft certification level 1 and 2 (or class I and II in accordance with Advisory Circular (AC) 23.1309-1) normal category aeroplanes in mind, the content may be more broadly applicable. It is the responsibility of the Applicant to substantiate broader applicability as a specific means of compliance and obtain concurrence for its use from the applicable Civil Aviation Authority (CAA). 1.4 When using this specification, regulations that govern system safety requirements applicable to the aircraft still apply. In complying with those regulations, additional architectural mitigations such as redundancy, independence, separation, system monitors, etc., may be required in addition to the verification process specified in this specification. 1.5 The system level verification activities expected by this specification increase as the severity of the failure conditions applicable to or affected by the function increase. Those functions, which have hazardous and catastrophic failure conditions, receive additional activities through this process to provide detailed scrutiny. For normal category aircraft, refer to Practice F3309, Practice F3230, or AC 23.1309-1 for more information on the identification and classification of system failure conditions. Involvement of the applicable CAA personnel or their designees in this system verification process should be discussed early in the project. 1.6 This verification process specifically addresses definition, identification, and verification of system functions. Processes conducted under this specification may not satisfy all applicable external requirements; additional review on the part of the system developer, integrator, or installer may be required to meet specific requirements or the specified mission of the aircraft, or both. 1.7 The values stated in inch-pound units are to be regarded as standard. No other units of measurement are included in this standard. 1.8 This standard does not purport to address all of the safety concerns, if any, associated with its use. It is the responsibility of the user of this standard to establish appropriate safety, health, and environmental practices and determine the applicability of regulatory limitations prior to use. 1.9 This international standard was developed in accordance with internationally recognized principles on standardization established in the Decision on Principles for the Development of International Standards, Guides and Recommendations issued by the World Trade Organization Technical Barriers to Trade (TBT) Committee.
ABSTRACT This specification describes a process for verifying the intended function and compliance with safety objectives of avionics systems by means of system-level testing. This verification process includes functional verification planning, testing, resolution of test failures, and regression analysis and testing. It also covers organizational requirements and the process of product definition (function identification, classification, and specification) as well as the requirements for producing a statement of verification. SCOPE 1.1 This specification provides a process for performing system level verification of aircraft systems and equipment. It provides a means of compliance that can be used for systems and equipment with software and Airborne Electronic Hardware (AEH) that have not been addressed by traditional development assurance methods. 1.2 This process can be used to show compliance to regulations that require a demonstration that functionality was implemented as intended, including safety mitigations that address failure conditions for software and AEH aspects for aircraft systems and equipment. 1.3 While this specification was developed with systems and equipment installed on aircraft certification level 1 and 2 (or class I and II in accordance with Advisory Circular (AC) 23.1309-1) normal category aeroplanes in mind, the content may be more broadly applicable. It is the responsibility of the Applicant to substantiate broader applicability as a specific means of compliance and obtain concurrence for its use from the applicable Civil Aviation Authority (CAA). 1.4 When using this specification, regulations that govern system safety requirements applicable to the aircraft still apply. In complying with those regulations, additional architectural mitigations such as redundancy, independence, separation, system monitors, etc., may be required in addition to the verification process specified in this specification. 1.5 The system level verification activities expected by this specification increase as the severity of the failure conditions applicable to or affected by the function increase. Those functions, which have hazardous and catastrophic failure conditions, receive additional activities through this process to provide detailed scrutiny. For normal category aircraft, refer to Practice F3309, Practice F3230, or AC 23.1309-1 for more information on the identification and classification of system failure conditions. Involvement of the applicable CAA personnel or their designees in this system verification process should be discussed early in the project. 1.6 This verification process specifically addresses definition, identification, and verification of system functions. Processes conducted under this specification may not satisfy all applicable external requirements; additional review on the part of the system developer, integrator, or installer may be required to meet specific requirements or the specified mission of the aircraft, or both. 1.7 The values stated in inch-pound units are to be regarded as standard. No other units of measurement are included in this standard. 1.8 This standard does not purport to address all of the safety concerns, if any, associated with its use. It is the responsibility of the user of this standard to establish appropriate safety, health, and environmental practices and determine the applicability of regulatory limitations prior to use. 1.9 This international standard was developed in accordance with internationally recognized principles on standardization established in the Decision on Principles for the Development of International Standards, Guides and Recommendations issued by the World Trade Organization Technical Barriers to Trade (TBT) Committee.
ASTM F3153-22 is classified under the following ICS (International Classification for Standards) categories: 49.090 - On-board equipment and instruments. The ICS classification helps identify the subject area and facilitates finding related standards.
ASTM F3153-22 has the following relationships with other standards: It is inter standard links to ASTM F3061/F3061M-23b, ASTM F3060-20, ASTM F3061/F3061M-19a, ASTM F3061/F3061M-19, ASTM F3061/F3061M-17, ASTM F3061/F3061M-16b, ASTM F3060-16a, ASTM F3061/F3061M-16a, ASTM F3060-16, ASTM F3061/F3061M-16, ASTM F3060-15b, ASTM F3060-15a, ASTM F3060-15, ASTM F3061/F3061M-15, ASTM F3060-14. Understanding these relationships helps ensure you are using the most current and applicable version of the standard.
ASTM F3153-22 is available in PDF format for immediate download after purchase. The document can be added to your cart and obtained through the secure checkout process. Digital delivery ensures instant access to the complete standard document.
Standards Content (Sample)
This international standard was developed in accordance with internationally recognized principles on standardization established in the Decision on Principles for the
Development of International Standards, Guides and Recommendations issued by the World Trade Organization Technical Barriers to Trade (TBT) Committee.
Designation:F3153 −22
Standard Specification for
Verification of Aircraft Systems and Equipment
This standard is issued under the fixed designation F3153; the number immediately following the designation indicates the year of
original adoption or, in the case of revision, the year of last revision. A number in parentheses indicates the year of last reapproval. A
superscript epsilon (´) indicates an editorial change since the last revision or reapproval.
1. Scope nel or their designees in this system verification process should
be discussed early in the project.
1.1 This specification provides a process for performing
1.6 This verification process specifically addresses
system level verification of aircraft systems and equipment. It
definition, identification, and verification of system functions.
provides a means of compliance that can be used for systems
Processesconductedunderthisspecificationmaynotsatisfyall
and equipment with software and Airborne Electronic Hard-
applicable external requirements; additional review on the part
ware (AEH) that have not been addressed by traditional
development assurance methods. ofthesystemdeveloper,integrator,orinstallermayberequired
to meet specific requirements or the specified mission of the
1.2 This process can be used to show compliance to
aircraft, or both.
regulations that require a demonstration that functionality was
1.7 The values stated in inch-pound units are to be regarded
implemented as intended, including safety mitigations that
as standard. No other units of measurement are included in this
address failure conditions for software and AEH aspects for
standard.
aircraft systems and equipment.
1.8 This standard does not purport to address all of the
1.3 While this specification was developed with systems
safety concerns, if any, associated with its use. It is the
and equipment installed on aircraft certification level 1 and 2
responsibility of the user of this standard to establish appro-
(or class I and II in accordance with Advisory Circular (AC)
priate safety, health, and environmental practices and deter-
23.1309-1) normal category aeroplanes in mind, the content
mine the applicability of regulatory limitations prior to use.
may be more broadly applicable. It is the responsibility of the
1.9 This international standard was developed in accor-
Applicant to substantiate broader applicability as a specific
dance with internationally recognized principles on standard-
means of compliance and obtain concurrence for its use from
ization established in the Decision on Principles for the
the applicable Civil Aviation Authority (CAA).
Development of International Standards, Guides and Recom-
1.4 When using this specification, regulations that govern
mendations issued by the World Trade Organization Technical
system safety requirements applicable to the aircraft still apply.
Barriers to Trade (TBT) Committee.
In complying with those regulations, additional architectural
mitigations such as redundancy, independence, separation,
2. Referenced Documents
system monitors, etc., may be required in addition to the
2.1 ASTM Standards:
verification process specified in this specification.
F3060 Terminology for Aircraft
1.5 The system level verification activities expected by this F3061/F3061M Specification for Systems and Equipment in
specification increase as the severity of the failure conditions Aircraft
applicable to or affected by the function increase. Those F3230 Practice for Safety Assessment of Systems and
functions, which have hazardous and catastrophic failure Equipment in Small Aircraft
conditions, receive additional activities through this process to F3309 Practice for Simplified SafetyAssessment of Systems
provide detailed scrutiny. For normal category aircraft, refer to and Equipment in Small Aircraft
Practice F3309, Practice F3230, or AC 23.1309-1 for more
2.2 Aeronautical Radio, Inc. (ARINC) Standard:
information on the identification and classification of system
ARINC Mark 33 Digital Information Transfer System
failure conditions. Involvement of the applicable CAAperson-
(DITS), Specification 429, Parts 1–15, November 2012
For referenced ASTM standards, visit the ASTM website, www.astm.org, or
ThisspecificationisunderthejurisdictionofASTMCommitteeF39onAircraft contact ASTM Customer Service at service@astm.org. For Annual Book of ASTM
Systems and is the direct responsibility of Subcommittee F39.03 on Design of Standards volume information, refer to the standard’s Document Summary page on
Avionics Systems. the ASTM website.
Current edition approved April 1, 2022. Published April 2022. Originally Available from ARINC Industry Activities, SAE ITC, 16701 Melford Blvd,
approved in 2015. Last previous edition approved in 2015 as F3153–15. DOI: Suite 120, Bowie, MD 20715, https://www.aviation-ia.com/product-categories/
10.1520/F3153-22. arinc.
Copyright © ASTM International, 100 Barr Harbor Drive, PO Box C700, West Conshohocken, PA 19428-2959. United States
F3153−22
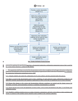
FIG. 1System Verification Process Overview
2.3 Federal Aviation Administration (FAA) Advisory Circu- 3.2 Definitions:
lar: 3.2.1 defect, n—an unexpected or improper behavior.
AC 23.1309-1E System SafetyAnalysis andAssessment for
3.2.2 intended function, n—a capability the system is de-
Part 23 Airplanes
signed to provide when installed on an aircraft.
2.4 RTCA Standards:
3.2.3 system, n—a combination of components, parts, and
DO-178( ) Software Consideration inAirborne Systems and
elements that are interconnected to perform one or more
Equipment Certification
functions.
DO-254( ) Design Assurance Guidance for Airborne Elec-
3.2.4 test case, n—a set of inputs, pre-conditions, execution
tronic Hardware
steps, expected results, and pass/fail crtieria defined by the
manufacturer to verify proper function. Test cases are derived
3. Terminology
from the intended functions established for the system.
3.1 The following are a selection of relevant terms. See
3.2.5 verification, n—confirmation, through the collection
Terminology F3060 for more definitions and abbreviations.
and review of objective evidence, that specified requirements
have been fulfilled.
Available from FAA’s Dynamic Regulatory System, Federal Aviation
Administration,800IndependenceAvenue,SW,Washington,DC20591,https://drs- 4. Process Overview
uat.faa.gov/browse.
4.1 Fig. 1 provides an overview of the system verification
Available from RTCA, 1150 18th NW, Suite 910, Washington, D.C. 20036,
https://www.rtca.org. process defined by this specification.
F3153−22
category aircraft, refer to Practice F3230, Practice F3309, or AC 23.1309
5. Configuration Management
for more information on the identification and classification of system
5.1 An organization complying with this specification must
failure conditions.
have a documented engineering configuration management
NOTE 2—The system verification should include the range of failure
conditions expected in the inputs/outputs and computation/
process that is used for any system whose function is verified
communication aspects of the various functions in the system.This would
by this process.
include hard failures (open circuits, short circuits, out-of-range input/
5.2 At a minimum, this engineering configuration manage- output (IO) devices and interfaces); and soft failures (drifts, offsets,
in-range erratic behavior, repetitive intermittence).
ment process shall:
5.2.1 Uniquely identify and control the configuration of all
6.2.3.2 Define and document the environmental and operat-
system artifacts and data generated under this process.
ing conditions to be supported by the system. While it is
5.2.2 Keep a record of the documentation used to show
beyondthescopeofthisspecificationtoaddressenvironmental
complianceofeachapprovedsystemconfigurationproducedto
qualification of the system hardware, this action will provide a
all applicable consensus specifications and regulatory require-
clear understanding of the intended system functionality and
ments in effect at the time of manufacture up to system
performance under expected operating and environmental
retirement.
conditions.Forexample,aprimarydisplaymaybeintendedfor
5.2.3 Ensure that changes to the system and documentation
installation on aircraft that support operation in Instrument
affecting compliance are tracked and the change process for
Flight Rules (IFR) into known icing conditions up to 26 000 ft.
developing, reviewing, and incorporating revisions to compli-
Therequirementsandsubsequentverificationperformedinthis
ance documentation is controlled.
specification should be appropriate to support functionality of
5.2.4 Ensurethatthemostrecentandappropriaterevisionof
the system through the range of expected conditions.
data, or the revision documented in the plans, is used during
6.3 Define System Level Requirements:
each verification activity.
6.3.1 For each function identified in 6.2.2, specify the
5.2.5 Establish a problem-reporting process to capture,
system level requirements that define the following:
document, communicate, and track system defects to their
6.3.1.1 The proper operation and performance of the system
resolutions and closure. A summary of the problem reports
when performing its intended function.
should be made available to the certifying authorities.
6.3.1.2 The system mitigations that protect against failure
5.2.5.1 Problemreportsarerequiredtotrackanydefectsand
conditions (such as monitors, annunciations, redundancy,
their impact on the system.
independence, etc.).
5.2.5.2 Problem reports must be used for tracking resolution
NOTE 3—If the mitigation is provided by another system that is not
and closure of system defects.
verified under this specification, such as Technical Standard Order
5.2.5.3 When justifying the deferral of an open (that is,
Authorization (TSOA) appliance, then this step is not required.
unresolved) problem report to a future system revision, it must
6.3.1.3 The expected system behavior given abnormal sys-
be shown that the system is safe and compliant with the
tem inputs or operating conditions.
applicable regulations.
NOTE 4—The depth of the system requirements needed to adequately
6. Product Definition Phase
define the function will depend on the criticality of the functions provided
by the system. For example, the music radio function of a datalink
6.1 System Description:
entertainment system could likely be defined by a very simple set of
6.1.1 Provide a thorough description of the system. This
high-level requirements. Whereas a function that provides primary flight
description should include information such as:
informationwouldrequireamoredetailedsetofrequirementstodefineits
6.1.1.1 Textual description of the system operation.
intended function and proper operation.
NOTE 5—The requirements of 6.1 and 6.3 may be met by a suitably
6.1.1.2 Listofallinputsandoutputparametersatthesystem
annotated copy of the system’s user or installation manual or by means of
level.
reference to a third-party specification (such as a Technical Standard
6.1.1.3 Block diagrams.
Order (TSO) minimum performance standard). Refer to Appendix X2 of
6.1.1.4 System schematics.
this specification for more guidance on ACs and Minimum Performance
Standards (MPS).
6.2 Intended Function:
6.2.1 Identify and document the intended functions per-
7. Verification Methods
formed by the system.
7.1 Verification of system level requirements established in
6.2.2 For each function identified in 6.2.1, determine and
accordancewith6.3canbeaccomplishedbyoneormoreofthe
document those functions that will be verified under this
following verification methods:
specification.Identifywhichfunctionsshallbeverifiedthrough
7.1.1 System Level Verification Testing and Demonstration:
other means, and reference the process to be used.
7.1.1.1 The “Test” verification method is the verification of
6.2.3 For each function identified in 6.2.2:
a system using a controlled and predefined series of inputs,
6.2.3.1 Identify the failure conditions applicable for each
data, or stimuli to ensure that the system will produce a very
function.
specificandpredefinedoutputasspecifiedbytherequirements.
NOTE 1—This information is typically generated as part of the system
When a system model is used to generate inputs, data, or
safety assessment process. It is not expected that the applicant recreate the
stimuli for a verification test, the predictive properties and
failure condition analysis for this specification, but to utilize the informa-
limitations as compared to the physical system should be
tion from the Functional HazardAssessment (or equivalent) that would be
generated as part of the system safety assessment process. For normal assessed and documented.
F3153−22
7.1.1.2 Demonstration is the manipulation of the system as (3) Document the test equipment required, including mod-
it is intended to be used to verify that the results are as els or simulations if used, to generate inputs, data, or stimuli,
expected. and calibration requirements.
8.1.2.2 Provideatracebetweenthetestcasesandthesystem
7.1.1.3 For purposes of this specification, testing and dem-
requirements that they verify.
onstration methods should be considered and documented in
8.1.3 Areview of the test plan shall be conducted to ensure
the same way.
that the test plan fully represents the system requirements,
7.1.1.4 Verification of system requirements by test or dem-
verifies interactions between requirements and functions, and
onstration shall be accomplished using Section 8.
performs robustness testing for normal operations and failure
7.1.2 Inspection:
conditions.
7.1.2.1 Inspection is the nondestructive examination of a
systemusingoneormoresenses(forexample,visual,auditory, NOTE 6—Applicants may choose to document their test plans as one or
more documents. Some CAAs may want participation by their specialists
tactile, etc.). It may include but is not limited to simple
or their designee in some aspects of this testing. Consideration should be
physical manipulation and measurements.
given to packaging those aspects in their own test plan(s). It is the
7.1.2.2 Verification of system requirements by inspection
responsibility of the applicant to establish participation expectations with
shall be accomplished using Section 9. the CAA early in the program.
7.1.3 Analysis:
8.2 Conducting System Level Verification Tests:
7.1.3.1 Analysis is the verification of a system using
8.2.1 Establish test article(s) and test setup(s) required by
models, calculations, or testing equipment, or combinations 8.1.2.1.
thereof. Analysis allows someone to make predictive state-
NOTE 7—Some CAAs may require some of these tests to be conducted
ments about the expected system performance based on ex-
as formal certification tests. As such, the test articles and test setups may
trapolation of known data and assumptions.
be subject to additional conformity inspection requirements prior to
formally conducting the test. It is the responsibility of the applicant to
7.1.3.2 Verificationofsystemrequirementsbyanalysisshall
establish these requirements with their CAA early in the program.
be accomplished using Section 10.
8.2.2 Execute the test plan(s) documented in 8.1.
7.2 For each function and associated system level
8.2.3 Review test results and document pass/fail for each
requirements, the applicant shall identify which verification
test case using the pass/fail criteria defined in the test plan(s).
method will be used. It is expected that most of these
8.2.4 While performing testing in accordance with 8.2.2,
requirements will be addressed by system level verification
test failures or other anomalous system behavior may be
testing. However, some requirements may be more appropri-
observed. These may fall into one of the following categories:
ately addressed by one or more of the other verification
8.2.4.1 Test failures where the result of the test does not
methods listed in 7.1.
meet the pass/fail criteria established in the test plan.
8.2.4.2 Failures or anomalous behavior not directly related
8. Verification Tests/Demonstration
to the test procedure. These may be defects observed with the
8.1 Test Planning:
specific system under test or with other systems.
8.1.1 For each system level requirement identified as requir- 8.2.5 Determine and document the technical cause of each
ing verification by test/demonstration, the applicant shall failure or anomalous behavior.
document the system verification test plan(s) that define one or
NOTE 8—For failures or anomalies in systems other than the system
more test cases and pass/fail criteria.
under test, the investigation may be limited to proving that the issue could
8.1.1.1 Whendevelopingthetestcases,theapplicantshould not have been caused by the system being certified. If there is no way that
the system under test could have caused the observed issue in the
consider known failures in similar systems or components, or
unrelated system, no further investigation is required.
both.
8.2.6 Resolve all test failures or observed anomalies by
8.1.1.2 Testing may be conducted using bench tests, aircraft
means of one or more of the following means:
groundandflighttests,oracombinationthereof,asappropriate
8.2.6.1 Repeat the failed test procedure without revision to
for the function being evaluated.
the system, specification, test set up or test plan.
8.1.1.3 These tests plans shall include test cases needed to
verify proper function of the system under normal and abnor-
NOTE 9—Repeat of the failed test procedure without changes to the
mal conditions. Appendix X1 provides guidance on the types system design, the test plan steps, or test setup would only be valid if the
cause of the failure was determined to be the technique used by the tester.
of normal and abno
...
This document is not an ASTM standard and is intended only to provide the user of an ASTM standard an indication of what changes have been made to the previous version. Because
it may not be technically possible to adequately depict all changes accurately, ASTM recommends that users consult prior editions as appropriate. In all cases only the current version
of the standard as published by ASTM is to be considered the official document.
Designation: F3153 − 15 F3153 − 22
Standard Specification for
Verification of AvionicsAircraft Systems and Equipment
This standard is issued under the fixed designation F3153; the number immediately following the designation indicates the year of
original adoption or, in the case of revision, the year of last revision. A number in parentheses indicates the year of last reapproval. A
superscript epsilon (´) indicates an editorial change since the last revision or reapproval.
1. Scope
1.1 This specification provides a process by which the intended function and compliance with safety objectives of avionics
systems may be verified by system-level testing.for performing system level verification of aircraft systems and equipment. It
provides a means of compliance that can be used for systems and equipment with software and Airborne Electronic Hardware
(AEH) that have not been addressed by traditional development assurance methods.
1.2 This process can be used to show compliance to regulations that require a demonstration that functionality was implemented
as intended, including safety mitigations that address failure conditions for software and AEH aspects for aircraft systems and
equipment.
1.3 While this specification was developed with systems and equipment installed on aircraft certification level 1 and 2 (or class
I and II in accordance with Advisory Circular (AC) 23.1309-1) normal category aeroplanes in mind, the content may be more
broadly applicable. It is the responsibility of the Applicant to substantiate broader applicability as a specific means of compliance
and obtain concurrence for its use from the applicable Civil Aviation Authority (CAA).
1.4 Software and hardware development assurance are not in the scope of this specification and this specification should not be
used if a development assurance process is required.When using this specification, regulations that govern system safety
requirements applicable to the aircraft still apply. In complying with those regulations, additional architectural mitigations such as
redundancy, independence, separation, system monitors, etc., may be required in addition to the verification process specified in
this specification.
1.5 The specification intentionally does not attempt to define its own applicability with regard to the type, category, class of
aircraft, or criticality of function to which avionics systems verified by the specification may be applied as doing so could
ultimately place system level verification activities expected by this specification increase as the severity of the failure conditions
applicable to or affected by the function increase. Those functions, which have hazardous and catastrophic failure conditions,
receive additional activities through this process to provide detailed scrutiny. For normal category aircraft, refer to Practice F3309,
Practice F3230the language of the specification in conflict with external requirements and guidance. Aircraft applicability, intended
use, and limitations must ultimately be determined by the designer, installer, and recognizing body., or AC 23.1309-1 for more
information on the identification and classification of system failure conditions. Involvement of the applicable CAA personnel or
their designees in this system verification process should be discussed early in the project.
1.6 This verification process specifically addresses definition, identification, and verification of system functions. Processes
This specification is under the jurisdiction of ASTM Committee F39 on Aircraft Systems and is the direct responsibility of Subcommittee F39.03 on Design of Avionics
Systems.
Current edition approved July 15, 2015April 1, 2022. Published September 2015April 2022. Originally approved in 2015. Last previous edition approved in 2015 as
F3153–15. DOI: 10.1520/F3153-15.10.1520/F3153-22.
Copyright © ASTM International, 100 Barr Harbor Drive, PO Box C700, West Conshohocken, PA 19428-2959. United States
F3153 − 22
conducted under this specification may not satisfy all applicable external requirements; additional review on the part of the system
developer, integrator, or installer may be required to meet specific requirements or the specified mission of the aircraft, or both.
1.7 The values stated in inch-pound units are to be regarded as standard. No other units of measurement are included in this
standard.
1.8 This standard does not purport to address all of the safety concerns, if any, associated with its use. It is the responsibility
of the user of this standard to establish appropriate safety safety, health, and healthenvironmental practices and determine the
applicability of regulatory limitations prior to use.
1.9 This international standard was developed in accordance with internationally recognized principles on standardization
established in the Decision on Principles for the Development of International Standards, Guides and Recommendations issued
by the World Trade Organization Technical Barriers to Trade (TBT) Committee.
2. Referenced Documents
2.1 ASTM Standards:
F3060 Terminology for Aircraft
F3061/F3061M Specification for Systems and Equipment in Aircraft
F3230 Practice for Safety Assessment of Systems and Equipment in Small Aircraft
F3309 Practice for Simplified Safety Assessment of Systems and Equipment in Small Aircraft
2.2 Aeronautical Radio, Inc. (ARINC) Standard:
ARINC Mark 33 Digital Information Transfer System (DITS), Specification 429, Parts 1–15, November 2012
2.3 Federal Aviation Administration (FAA) Advisory Circular:
AC 23.1309-1E System Safety Analysis and Assessment for Part 23 Airplanes
2.4 RTCA Standards:
DO-178( ) Software Consideration in Airborne Systems and Equipment Certification
DO-254( ) Design Assurance Guidance for Airborne Electronic Hardware
3. Terminology
3.1 The following are a selection of relevant terms. See Terminology F3060 for more definitions and abbreviations.
3.2 Definitions:
3.2.1 defect, n—an unexpected or improper behavior.
3.2.2 intended function, n—a capability the system is designed to provide when installed on an aircraft.
3.2.3 system, n—a combination of components, parts, and elements that are interconnected to perform one or more functions.
3.2.4 test scenario,case, n—a set of inputs, pre-conditions, execution steps, expected results, and pass/fail crtieria defined by the
manufacturer to verify proper function. Test scenarioscases are derived from the intended functions established for the system.
3.2.5 verification, n—confirmation, through the collection and review of objective evidence, that specified requirements have been
fulfilled.
4. Process Overview
4.1 Fig. 1 provides an overview of the system verification process defined by this specification.
5. Organizational RequirementsConfiguration Management
5.1 An organization complying with this specification shall manage under configuration control all life cycle data which are
For referenced ASTM standards, visit the ASTM website, www.astm.org, or contact ASTM Customer Service at service@astm.org. For Annual Book of ASTM Standards
volume information, refer to the standard’sstandard’s Document Summary page on the ASTM website.
Available from ARINC Industry Activities, SAE ITC, 16701 Melford Blvd, Suite 120, Bowie, MD 20715, https://www.aviation-ia.com/product-categories/arinc.
Available from FAA’s Dynamic Regulatory System, Federal Aviation Administration, 800 Independence Avenue, SW, Washington, DC 20591, https://drs-uat.faa.gov/
browse.
Available from RTCA, 1150 18th NW, Suite 910, Washington, D.C. 20036, https://www.rtca.org.
F3153 − 22
FIG. 1 System Verification Process Overview
generated by applying this specification.must have a documented engineering configuration management process that is used for
any system whose function is verified by this process.
5.2 The organization shall keep a record of the documentation used to show compliance of each approved system configuration
produced to all applicable consensus specifications and regulatory requirements in effect at the time of manufacture.At a minimum,
this engineering configuration management process shall:
5.2.1 Uniquely identify and control the configuration of all system artifacts and data generated under this process.
5.2.2 Keep a record of the documentation used to show compliance of each approved system configuration produced to all
applicable consensus specifications and regulatory requirements in effect at the time of manufacture up to system retirement.
5.2.3 Ensure that changes to the system and documentation affecting compliance are tracked and the change process for
developing, reviewing, and incorporating revisions to compliance documentation is controlled.
5.2.4 Ensure that the most recent and appropriate revision of data, or the revision documented in the plans, is used during each
verification activity.
5.2.5 Establish a problem-reporting process to capture, document, communicate, and track system defects to their resolutions and
closure. A summary of the problem reports should be made available to the certifying authorities.
F3153 − 22
5.2.5.1 Problem reports are required to track any defects and their impact on the system.
5.2.5.2 Problem reports must be used for tracking resolution and closure of system defects.
5.2.5.3 When justifying the deferral of an open (that is, unresolved) problem report to a future system revision, it must be shown
that the system is safe and compliant with the applicable regulations.
4.3 Revisions to documentation affecting compliance shall be tracked and the change process for developing, reviewing, and
incorporating revisions to compliance documentation shall be controlled.
4.4 The organization must ensure and verify the use of the proper revision of any compliance document.
6. Product Definition ProcessPhase
6.1 Function Identification:System Description:
6.1.1 Document the intended function(s)Provide a thorough description of the system. This description should include information
such as:
6.1.1.1 Textual description of the system operation.
6.1.1.2 List of all inputs and output parameters at the system level.
6.1.1.3 Block diagrams.
6.1.1.4 System schematics.
6.2 Function Classification:Intended Function:
6.2.1 Identify and document the intended functions performed by the system.
6.2.2 For each function identified underin 5.16.2.1, determine and document whether it is tothose functions that will be verified
under this specification or by other means.specification. Identify which functions shall be verified through other means,
NOTE 1—Other means of verification may be proprietary or may be based on other standards, as best suits the developer’s objectives with regard to safety,
marketability, and compliance concerns. and reference the process to be used.
6.2.3 For each function identified in 6.2.2:
6.2.3.1 Identify the failure conditions applicable for each function.
NOTE 1—This information is typically generated as part of the system safety assessment process. It is not expected that the applicant recreate the failure
condition analysis for this specification, but to utilize the information from the Functional Hazard Assessment (or equivalent) that would be generated
as part of the system safety assessment process. For normal category aircraft, refer to Practice F3230, Practice F3309, or AC 23.1309 for more information
on the identification and classification of system failure conditions.
NOTE 2—The system verification should include the range of failure conditions expected in the inputs/outputs and computation/communication aspects
of the various functions in the system. This would include hard failures (open circuits, short circuits, out-of-range input/output (IO) devices and
interfaces); and soft failures (drifts, offsets, in-range erratic behavior, repetitive intermittence).
6.2.3.2 Define and document the environmental and operating conditions to be supported by the system. While it is beyond the
scope of this specification to address environmental qualification of the system hardware, this action will provide a clear
understanding of the intended system functionality and performance under expected operating and environmental conditions. For
example, a primary display may be intended for installation on aircraft that support operation in Instrument Flight Rules (IFR) into
known icing conditions up to 26 000 ft. The requirements and subsequent verification performed in this specification should be
appropriate to support functionality of the system through the range of expected conditions.
F3153 − 22
6.3 Function Specification: Define System Level Requirements:
6.3.1 For each function identified for verification under this specification in 5.26.2.2, document the specifications of the function,
including:specify the system level requirements that define the following:
6.3.1.1 A description of the function,The proper operation and performance of the system when performing its intended function.
6.3.1.2 An explanation of the intended use of the function, andThe system mitigations that protect against failure conditions (such
as monitors, annunciations, redundancy, independence, etc.).
NOTE 3—If the mitigation is provided by another system that is not verified under this specification, such as Technical Standard Order Authorization
(TSOA) appliance, then this step is not required.
6.3.1.3 Operating parameters or limitations that apply to the function.The expected system behavior given abnormal system inputs
or
NOTE 2—The requirements of 5.1 and 5.3 may be met by a suitably annotated copy of the system’s user or installation manual or by means of reference
to a third-party specification (such as a TSO minimum performance standard). operating conditions.
NOTE 4—The depth of the system requirements needed to adequately define the function will depend on the criticality of the functions provided by the
system. For example, the music radio function of a datalink entertainment system could likely be defined by a very simple set of high-level requirements.
Whereas a function that provides primary flight information would require a more detailed set of requirements to define its intended function and proper
operation.
NOTE 5—The requirements of 6.1 and 6.3 may be met by a suitably annotated copy of the system’s user or installation manual or by means of reference
to a third-party specification (such as a Technical Standard Order (TSO) minimum performance standard). Refer to Appendix X2 of this specification for
more guidance on ACs and Minimum Performance Standards (MPS).
7. Verification Methods
7.1 Verification of system level requirements established in accordance with 6.3 can be accomplished by one or more of the
following verification methods:
7.1.1 System Level Verification Testing and Demonstration:
7.1.1.1 The “Test” verification method is the verification of a system using a controlled and predefined series of inputs, data, or
stimuli to ensure that the system will produce a very specific and predefined output as specified by the requirements. When a
system model is used to generate inputs, data, or stimuli for a verification test, the predictive properties and limitations as compared
to the physical system should be assessed and documented.
7.1.1.2 Demonstration is the manipulation of the system as it is intended to be used to verify that the results are as expected.
7.1.1.3 For purposes of this specification, testing and demonstration methods should be considered and documented in the same
way.
7.1.1.4 Verification of system requirements by test or demonstration shall be accomplished using Section 8.
7.1.2 Inspection:
7.1.2.1 Inspection is the nondestructive examination of a system using one or more senses (for example, visual, auditory, tactile,
etc.). It may include but is not limited to simple physical manipulation and measurements.
7.1.2.2 Verification of system requirements by inspection shall be accomplished using Section 9.
7.1.3 Analysis:
F3153 − 22
7.1.3.1 Analysis is the verification of a system using models, calculations, or testing equipment, or combinations thereof. Analysis
allows someone to make predictive statements about the expected system performance based on extrapolation of known data and
assumptions.
7.1.3.2 Verification of system requirements by analysis shall be accomplished using Section 10.
7.2 For each function and associated system level requirements, the applicant shall identify which verification method will be
used. It is expected that most of these requirements will be addressed by system level verification testing. However, some
requirements may be more appropriately addressed by one or more of the other verification methods listed in 7.1.
8. Verification ProcessTests/Demonstration
8.1 Functional Verification Test Planning:
6.1.1 Document the system test plan.
8.1.1 For each function identified for verification under this specification insystem level requirement identified as requiring
verification by test/demonstration, the applicant 5.2:shall document the system verification test plan(s) that define one or more test
cases and pass/fail criteria.
8.1.1.1 Define a series of test scenarios and pass/fail criteria that trace to the functional requirement and that verify the function’s
correct operation within the set limits. In When developing the test scenarios, cases, the applicant should consider known failures
in similar systems or components, or both.
8.1.1.2 Testing may be conducted using bench tests, aircraft ground and flight tests, or a combination thereof, as appropriate for
the function being evaluated.
8.1.1.3 The test scenario should include failure conditions when appropriate and important to the system level function.These tests
plans shall include test cases needed to verify proper function of the system under normal
NOTE 3—Where applicable, make use of a functional, non-functional, ground, and flight tests, providing direct reference to the specifications documented
in 5.3 that make this specific test necessary. and abnormal conditions. Appendix X1 provides guidance on the types of normal and
abnormal conditions that should be considered when developing this test plan.
8.1.2 Test plans/procedures must:
8.1.2.1 Be performed on test articles that are representative of the final system configurations that will be approved. To accomplish
this, the following should be included:
(1) Include the definition of the test article(s) and test setup(s) on which testing is to be performed.
(2) Identification (for example, part number and revision) of test article(s).
(3) Document the test equipment required, including models or simulations if used, to generate inputs, data, or stimuli, and
calibration requirements.
8.1.2.2 Provide a trace between the test cases and the system requirements that they verify.
8.1.3 A review of the test plan shall be conducted to ensure that the test plan fully represents the system requirements, verifies
interactions between requirements and functions, and performs robustness testing for normal operations and failure conditions.
NOTE 6—Applicants may choose to document their test plans as one or more documents. Some CAAs may want participation by their specialists or their
designee in some aspects of this testing. Consideration should be given to packaging those aspects in their own test plan(s). It is the responsibility of the
applicant to establish participation expectations with the CAA early in the program.
6.2 Testing:
6.2.1 Execute the previously defined test scenarios.
6.2.2 Review test results and document pass/fail for each test scenario.
F3153 − 22
8.2 Test Failure Resolution: Conducting System Level Verification Tests:
8.2.1 Establish test article(s) and test setup(s) required by 8.1.2.1.
NOTE 7—Some CAAs may require some of these tests to
...








Questions, Comments and Discussion
Ask us and Technical Secretary will try to provide an answer. You can facilitate discussion about the standard in here.
Loading comments...