ISO 1043-4:1998
(Main)Plastics — Symbols and abbreviated terms — Part 4: Flame retardants
Plastics — Symbols and abbreviated terms — Part 4: Flame retardants
Plastiques — Symboles et abréviations — Partie 4: Ignifuges
La présente partie de l'ISO 1043 prescrit les symboles uniformes à utiliser pour qualifier les ignifugeants ajoutés aux matières plastiques. Ces symboles se composent de l'abréviation «FR» suivie d'un ou plusieurs des codes numériques donnés dans l'article 5. Ces symboles viennent s'ajouter aux symboles qualifiant les plastiques eux-mêmes, pour la désignation du matériau plastique et le marquage des produits plastiques.
General Information
- Status
- Withdrawn
- Publication Date
- 11-Feb-1998
- Withdrawal Date
- 11-Feb-1998
- Technical Committee
- ISO/TC 61/SC 1 - Terminology
- Drafting Committee
- ISO/TC 61/SC 1/WG 3 - Symbols
- Current Stage
- 9599 - Withdrawal of International Standard
- Start Date
- 27-Jul-2021
- Completion Date
- 12-Feb-2026
Relations
- Effective Date
- 06-Jun-2022
- Effective Date
- 23-Apr-2020
Get Certified
Connect with accredited certification bodies for this standard

Smithers Quality Assessments
US management systems and product certification.
DIN CERTCO
DIN Group product certification.
Sponsored listings
Frequently Asked Questions
ISO 1043-4:1998 is a standard published by the International Organization for Standardization (ISO). Its full title is "Plastics — Symbols and abbreviated terms — Part 4: Flame retardants". This standard covers: La présente partie de l'ISO 1043 prescrit les symboles uniformes à utiliser pour qualifier les ignifugeants ajoutés aux matières plastiques. Ces symboles se composent de l'abréviation «FR» suivie d'un ou plusieurs des codes numériques donnés dans l'article 5. Ces symboles viennent s'ajouter aux symboles qualifiant les plastiques eux-mêmes, pour la désignation du matériau plastique et le marquage des produits plastiques.
La présente partie de l'ISO 1043 prescrit les symboles uniformes à utiliser pour qualifier les ignifugeants ajoutés aux matières plastiques. Ces symboles se composent de l'abréviation «FR» suivie d'un ou plusieurs des codes numériques donnés dans l'article 5. Ces symboles viennent s'ajouter aux symboles qualifiant les plastiques eux-mêmes, pour la désignation du matériau plastique et le marquage des produits plastiques.
ISO 1043-4:1998 is classified under the following ICS (International Classification for Standards) categories: 83.040.30 - Auxiliary materials and additives for plastics; 83.080.01 - Plastics in general. The ICS classification helps identify the subject area and facilitates finding related standards.
ISO 1043-4:1998 has the following relationships with other standards: It is inter standard links to ISO 1043-4:1998/Amd 1:2016, ISO 1043-4:2021. Understanding these relationships helps ensure you are using the most current and applicable version of the standard.
ISO 1043-4:1998 is available in PDF format for immediate download after purchase. The document can be added to your cart and obtained through the secure checkout process. Digital delivery ensures instant access to the complete standard document.
Standards Content (Sample)
INTERNATIONAL ISO
STANDARD 1043-4
First edition
1998-02-15
Plastics — Symbols and abbreviated
terms —
Part 4:
Flame retardants
Plastiques — Symboles et abréviations —
Partie 4: Ignifuges
A
Reference number
Foreword
ISO (the International Organization for Standardization) is a worldwide
federation of national standards bodies (ISO member bodies). The work of
preparing International Standards is normally carried out through ISO
technical committees. Each member body interested in a subject for which
a technical committee has been established has the right to be represented
on that committee. International organizations, governmental and non-
governmental, in liaison with ISO, also take part in the work. ISO
collaborates closely with the International Electrotechnical Commission
(IEC) on all matters of electrotechnical standardization.
Draft International Standards adopted by the technical committees are
circulated to the member bodies for voting. Publication as an International
Standard requires approval by at least 75 % of the member bodies casting
a vote.
International Standard ISO 1043-4 was prepared by Technical Committee
ISO/TC 61, Plastics, Subcommittee SC 1, Terminology.
ISO 1043 consists of the following parts, under the general title Plastics —
Symbols and abbreviated terms:
— Part 1: Basic polymers and their special characteristics
— Part 2: Fillers and reinforcing materials
— Part 3: Plasticizers
— Part 4: Flame retardants
© ISO 1998
All rights reserved. Unless otherwise specified, no part of this publication may be reproduced
or utilized in any form or by any means, electronic or mechanical, including photocopying and
microfilm, without permission in writing from the publisher.
International Organization for Standardization
Case postale 56 • CH-1211 Genève 20 • Switzerland
Internet central@iso.ch
X.400 c=ch; a=400net; p=iso; o=isocs; s=central
Printed in Switzerland
ii
©
INTERNATIONAL STANDARD ISO ISO 1043-4:1998(E)
Plastics — Symbols and abbreviated terms —
Part 4:
Flame retardants
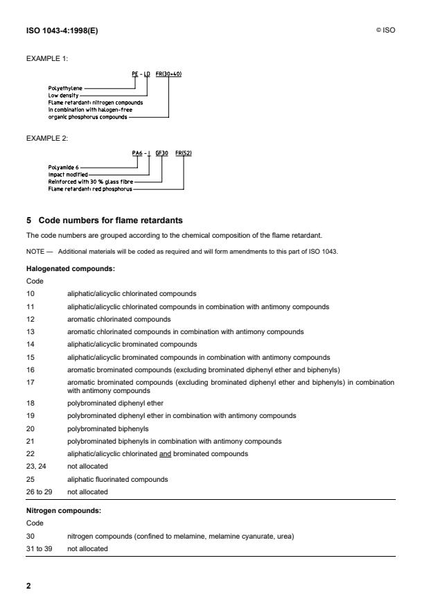
1 Scope
This part of ISO 1043 provides uniform symbols for flame retardants added to plastics materials. The symbols are
written with the abbreviated term “FR” and one or more succeeding code numbers as given in clause 5. They are
used in addition to the symbols for the plastics materials, for plastics material designation and for identification and
marking of plastics products.
2 Normative references
The following standards contain provisions which, through reference in this text, constitute provisions of this part of
ISO 1043. At the time of publication, the editions indicated were valid. All standards are subject to revision, and
parties to agreements based on this part of ISO 1043 are encouraged to investigate the possibility of applying the
most recent editions of the standards indicated below. Members of IEC and ISO maintain registers of currently valid
International Standards.
ISO 1043-1:1997, Plastics — Symbols and abbreviated terms — Part 1: Basic polymers and their special
characteristics.
ISO 1043-2:1988, Plastics — Symbols — Part 2: Fillers and reinforcing materials.
ISO 1043-3:1996, Plastics — Symbols and abbreviated term
...
NORME ISO
INTERNATIONALE 1043-4
Première édition
1998-02-15
Plastiques — Symboles et abréviations —
Partie 4:
Ignifuges
Plastics — Symbols and abbreviated terms —
Part 4: Flame retardants
A
Numéro de référence
Avant-propos
L'ISO (Organisation internationale de normalisation) est une fédération
mondiale d'organismes nationaux de normalisation (comités membres de
l'ISO). L'élaboration des Normes internationales est en général confiée aux
comités techniques de l'ISO. Chaque comité membre intéressé par une
étude a le droit de faire partie du comité technique créé à cet effet. Les
organisations internationales, gouvernementales et non gouvernementales,
en liaison avec l'ISO participent également aux travaux. L'ISO collabore
étroitement avec la Commission électrotechnique internationale (CEI) en
ce qui concerne la normalisation électrotechnique.
Les projets de Normes internationales adoptés par les comités techniques
sont soumis aux comités membres pour vote. Leur publication comme
Normes internationales requiert l'approbation de 75 % au moins des
comités membres votants.
La Norme internationale ISO 1043-4 a été élaborée par le comité technique
ISO/TC 61, Plastiques, sous-comité SC 1, Terminologie.
L'ISO 1043 comprend les parties suivantes, présentées sous le titre
général Plastiques — Symboles et abréviations:
— Partie 1: Polymères de base et leurs caractéristiques spéciales
— Partie 2: Charges et matériaux de renforcement
— Partie 3: Plastifiants
— Partie 4: Ignifuges
© ISO 1998
Droits de reproduction réservés. Sauf prescription différente, aucune partie de cette publi-
cation ne peut être reproduite ni utilisée sous quelque forme que ce soit et par aucun pro-
cédé, électronique ou mécanique, y compris la photocopie et les microfilms, sans l'accord
écrit de l'éditeur.
Organisation internationale de normalisation
Case postale 56 • CH-1211 Genève 20 • Suisse
Internet central@iso.ch
X.400 c=ch; a=400net; p=iso; o=isocs; s=central
Imprimé en Suisse
ii
©
NORME INTERNATIONALE ISO ISO 1043-4:1998(F)
Plastiques — Symboles et abréviations —
Partie 4:
Ignifuges
1 Domaine d'application
La présente partie de l'ISO 1043 prescrit les symboles uniformes à utiliser pour qualifier les ignifugeants ajoutés aux
matières plastiques. Ces symboles se composent de l'abréviation «FR» suivie d'un ou plusieurs des codes
numériques donnés dans l'article 5. Ces symboles viennent s'ajouter aux symboles qualifiant les plastiques eux-
mêmes, pour la désignation du matériau plastique et le marquage des produits plastiques.
2 Références normatives
Les normes suivantes contiennent des dispositions qui, par suite de la référence qui en est faite, constituent des
dispositions valables pour la présente partie de l'ISO 1043. Au moment de la publication, les éditions indiquées
étaient en vigueur. Toute norme est sujette à révision et les parties prenantes des accords fondés sur la présente
partie de l'ISO 1043 sont invitées à rechercher la possibilité d'appliquer les éditions les plus récentes des normes
indiquées ci-après. Les membres de la CEI et de l'ISO possèdent le registre des Normes internationales en vigueur
à un moment donné.
ISO 1043-1:1997, Plastiques — Symboles et abréviations — Partie 1: Polymères de base et leurs caractéristiques
spéciales.
ISO 1043-2:1988, Plastiques — Symboles — Partie 2: Charges et matériaux de renforcement.
ISO 1043-3:1996, Plastiques — Symboles et abréviations — Partie 3: Plastifiants.
3 Définition
Pour les besoins de la présente partie de l'ISO 1043, la définition suivante s'applique:
3.1 i
...








Questions, Comments and Discussion
Ask us and Technical Secretary will try to provide an answer. You can facilitate discussion about the standard in here.
Loading comments...