ISO 19108:2002/Cor 1:2006
(Corrigendum)Geographic information — Temporal schema — Technical Corrigendum 1
Geographic information — Temporal schema — Technical Corrigendum 1
Information géographique — Schéma temporel — Rectificatif technique 1
General Information
- Status
- Published
- Publication Date
- 15-Oct-2006
- Technical Committee
- ISO/TC 211 - Geographic information/Geomatics
- Drafting Committee
- ISO/TC 211 - Geographic information/Geomatics
- Current Stage
- 6060 - International Standard published
- Start Date
- 16-Oct-2006
- Completion Date
- 12-Feb-2026
Relations
- Effective Date
- 06-Jun-2022
- Effective Date
- 15-Apr-2008
Overview
ISO 19108:2002/Cor 1:2006 is a technical corrigendum to ISO 19108 (Geographic information - Temporal schema). It clarifies and corrects definitions, attributes and operations used to model temporal information in geographic information systems (GIS). The corrigendum updates core terms (for example, edge, feature association, feature attribute, geometric primitive), refines the semantics of temporal primitives (such as TM_Instant, TM_Period, TM_TemporalPosition) and corrects rules for temporal relationships and reference systems.
Key topics and technical requirements
- Definitions and topology
- TM_TopologicalPrimitive: clarified role of 0‑dimensional TM_Node and 1‑dimensional TM_Edge; every topological primitive must belong to exactly one TM_TopologicalComplex.
- Edge defined as a 1‑dimensional topological primitive whose geometric realization is a curve and whose boundary is one or two nodes.
- Feature modeling
- Feature association: relationship linking instances of one feature type to another (or the same) and may be defined as a type or an instance.
- Feature attribute: characteristic of a feature with a name, data type and value domain.
- Temporal primitives and operations
- TM_TemporalPosition: provides the position of a TM_Instant, associated with a single TM_ReferenceSystem; TM_Instant is an identifiable object while TM_TemporalPosition is a data value.
- Relative position operations: corrected return values for relativePosition when comparing TM_Period with TM_Instant, and TM_Period with TM_Period (e.g., Before, After, Contains, Overlaps, Equals, Meets, MetBy). Inputs with indeterminate TM_TemporalPosition must cause an exception.
- timeIndicator: CharacterString default "T" must be included when temporal sequences include units smaller than a day.
- Temporal reference systems and metadata
- domainOfValidity (EX_Extent, ISO/TS 19103) identifies space/time where a TM_ReferenceSystem is applicable and should be used when its valid extent is smaller than the dataset extent.
- Coordinate semantics: coordinateValue holds distance from the scale origin as multiples of the standard interval for the temporal coordinate system.
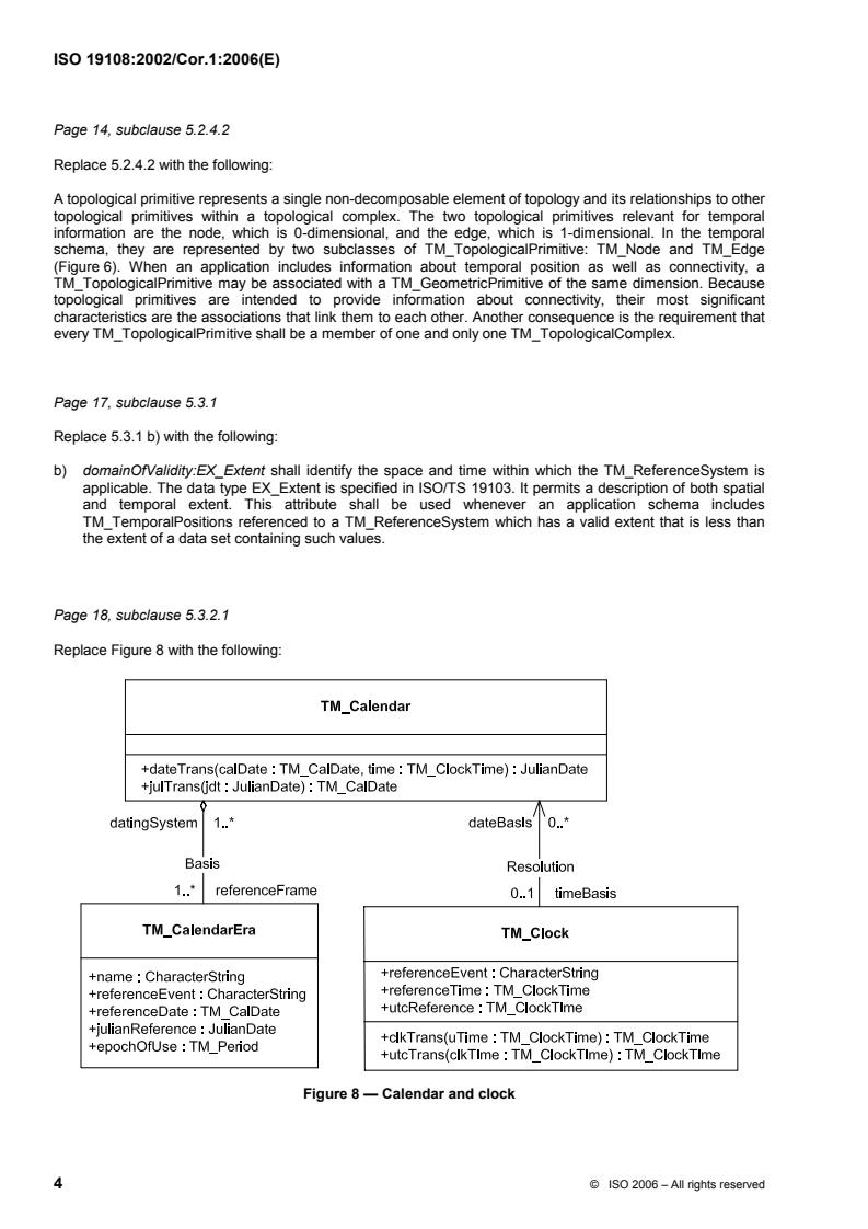
- Calendar and clock representation: corrigendum replaces Figure 8 (Calendar and clock) to align calendar/clock modeling.
Applications and users
- GIS data modelers and architects implementing spatio‑temporal schemas
- Software vendors and developers building temporal query engines, temporal indexing or time-aware visualization
- Metadata specialists and standards bodies ensuring interoperable temporal reference systems and dataset documentation
- Researchers and practitioners working with time-series, occupancy periods, historical datasets and temporal feature attributes (e.g., TM_Period used as feature attribute subtype)
Related standards
- ISO 19107 (Spatial schema / geometric primitives)
- ISO 19110 (Feature cataloguing)
- ISO 19101 (Reference model)
- ISO/TS 19103 (Conceptual schema language / EX_Extent)
Keywords: ISO 19108, temporal schema, geographic information, TM_Instant, TM_Period, TM_TemporalPosition, TM_TopologicalPrimitive, TM_ReferenceSystem, spatio‑temporal, GIS standards.
Get Certified
Connect with accredited certification bodies for this standard

BSI Group
BSI (British Standards Institution) is the business standards company that helps organizations make excellence a habit.

NYCE
Mexican standards and certification body.
Sponsored listings
Frequently Asked Questions
ISO 19108:2002/Cor 1:2006 is a standard published by the International Organization for Standardization (ISO). Its full title is "Geographic information — Temporal schema — Technical Corrigendum 1". This standard covers: Geographic information — Temporal schema — Technical Corrigendum 1
Geographic information — Temporal schema — Technical Corrigendum 1
ISO 19108:2002/Cor 1:2006 is classified under the following ICS (International Classification for Standards) categories: 35.240.70 - IT applications in science. The ICS classification helps identify the subject area and facilitates finding related standards.
ISO 19108:2002/Cor 1:2006 has the following relationships with other standards: It is inter standard links to ISO 19108:2002; is excused to ISO 19108:2002. Understanding these relationships helps ensure you are using the most current and applicable version of the standard.
ISO 19108:2002/Cor 1:2006 is available in PDF format for immediate download after purchase. The document can be added to your cart and obtained through the secure checkout process. Digital delivery ensures instant access to the complete standard document.
Standards Content (Sample)
INTERNATIONAL STANDARD ISO 19108:2002
TECHNICAL CORRIGENDUM 1
Published 2006-10-15
INTERNATIONAL ORGANIZATION FOR STANDARDIZATION • МЕЖДУНАРОДНАЯ ОРГАНИЗАЦИЯ ПО СТАНДАРТИЗАЦИИ • ORGANISATION INTERNATIONALE DE NORMALISATION
Geographic information — Temporal schema
TECHNICAL CORRIGENDUM 1
Information géographique — Schéma temporel
RECTIFICATIF TECHNIQUE 1
Technical Corrigendum 1 to ISO 19108:2002 was prepared by Technical Committee ISO/TC 211, Geographic
information/Geomatics.
Page 3, Clause 4
Replace 4.1.5 with the following:
4.1.5
edge
1-dimensional topological primitive
[ISO 19107]
NOTE The geometric realization of an edge is a curve. The boundary of an edge is the set of one or two nodes
associated to the edge within a topological complex.
ICS 35.240.70 Ref. No. ISO 19108:2002/Cor.1:2006(E)
© ISO 2006 – All rights reserved
Published in Switzerland
ISO 19108:2002/Cor.1:2006(E)
Replace 4.1.8 with the following:
4.1.8
feature association
relationship that links instances of one feature type with instances of the same or a different feature type
[ISO 19110]
NOTE 1 A feature association may occur as a type or an instance. Feature association type or feature association
instance is used when only one is meant.
NOTE 2 Feature associations include aggregation of features.
Replace 4.1.9 with the following:
4.1.9
feature attribute
characteristic of a feature
[ISO 19101]
NOTE A feature attribute has a name, a data type and a value domain associated to it.
Page 4, Clause 4
Replace 4.1.15 with the following:
4.1.15
geometric primitive
geometric object representing a single, connected, homogeneous element of space
[ISO 19107]
NOTE Geometric primitives are non-decomposed objects that present information about geometric configuration.
They include points, curves, surfaces and solids.
Page 9, subclause 5.2.3.2
Replace 5.2.3.2 a) with the following:
a) position:TM_TemporalPosition shall provide the position of this TM_Instant. The TM_TemporalPosition
shall be associated with a single temporal reference system, as specified in 5.3. An instance of
TM_Instant is an identifiable object, while an instance of TM_TemporalPosition is a data value. The
TM_TemporalPosition of a given TM_Instant may be replaced by an equivalent TM_TemporalPosition
associated with a different temporal reference system.
2 © ISO 2006 – All rights reserved
ISO 19108:2002/Cor.1:2006(E)
Page 10, subclause 5.2.3.5
Replace 5.2.3.5 b) with the following:
b) If this TM_Primitive is a TM_Period and other is a TM_Instant, the operation shall return a value for
TM_RelativePosition as follows:
Returns: If:
Before self.end.position < other.position
EndedBy self.end.position = other.position
Contains self.begin.position < other.position AND self.end.position > other.position
BegunBy self.begin.position = other.position
After self.begin.position > other.position
Page 11, subclause 5.2.3.5
Replace 5.2.3.5 d) with the following:
d) If both this TM_Primitive and other are TM_Periods, the operation shall return a value for
TM_RelativePosition as follows:
Returns: If:
Before self.end.position < other.begin.position
Meets self.end.position = other.begin.position
Overlaps self.begin.position < other.begin.position AND self.end.position >
other.begin.position AND self.end.position < other.end.position
Begins self.begin.position = other.begin.position AND self.end.position < other.end.position
BegunBy self.begin.position = other.begin.position AND self.end.position > other.end.position
During self.begin.position > other.begin.position AND self.end.position < other.end.position
Contains self.begin.position < other.begin.position AND self.end.position > other.end.position
Equals self.begin.position = other.begin.position AND self.end.position=other.end.position
OverlappedBy self.begin.position > other.begin.position AND self.begin.position <
other.end.position AND self.end.position > other.end.position
Ends self.begin.position > other.begin.position AND self.end.position = other.end.position
EndedBy self.begin.position < other.begin.position AND self.end.position = other.end.position
MetBy self.begin.position = other.end.position
After self.begin.position > other.end.position
The operation shall raise an exception if any input value of TM_TemporalPosition is indete
...




Questions, Comments and Discussion
Ask us and Technical Secretary will try to provide an answer. You can facilitate discussion about the standard in here.
Loading comments...