ASTM D7480-21
(Guide)Standard Guide for Evaluating the Attributes of a Forest Management Plan
Standard Guide for Evaluating the Attributes of a Forest Management Plan
SIGNIFICANCE AND USE
5.1 This guide is intended to be used by developers of standards and other documents in the field of renewable resources and green building to evaluate whether the attributes of a specific forest management system meet the intent of sustainable forest management.
5.2 In addition to the attributes addressed by this document, some users may wish to impose other evaluation criteria intended to satisfy goals beyond maintaining sustained-yield and sustainable forest management. While these issues are not specifically addressed in this guide, some are discussed in Appendix X1, Commentary.
SCOPE
1.1 This guide provides a list of criteria and indicators that have been shown to be useful in achieving the goals of a sustainable forest management plan. This guide lists a set of criteria considered to be important for the following tasks:
1.1.1 To describe, assess, and evaluate progress toward sustainability of forest management at the national, regional, or individual forest level.
1.1.2 To inform the policy debate at regional, national, and international levels.
1.1.3 To evaluate the attributes of a forest management certification or evaluation system with a specific combination of forest management principles, practices, or adaptations, where such practices are evaluated against a set of prescribed standards. Although this guide provides a qualitative list of criteria for evaluation of forest conditions, it does not purport to recommend any specific forest management certification or evaluation system or subset of overall attributes. The guide does not replace forest certification or verification standards.
1.2 This guide will require compilation of information from multiple sources across various governmental and nongovernmental agencies. For this guide to be useful, it is recommended that the information collected is in alignment with that which is already collected for other purposes; otherwise these indicators may be too great an effort to combine in a timely fashion.
Note 1: Although this document provides general guidance applicable to forests and forest products from many countries, its initial application is expected to focus on North America.
1.3 This guide cannot replace education or experience and should be used in conjunction with professional judgment such as that provided by foresters, forest scientists, and wood technologists.
1.4 This standard does not purport to address all of the safety concerns, if any, associated with its use. It is the responsibility of the user of this standard to establish appropriate safety, health, and environmental practices and determine the applicability of regulatory limitations prior to use.
1.5 This international standard was developed in accordance with internationally recognized principles on standardization established in the Decision on Principles for the Development of International Standards, Guides and Recommendations issued by the World Trade Organization Technical Barriers to Trade (TBT) Committee.
General Information
- Status
- Published
- Publication Date
- 30-Sep-2021
- Technical Committee
- D07 - Wood
- Drafting Committee
- D07.08 - Forests
Relations
- Effective Date
- 15-Oct-2012
- Effective Date
- 15-Nov-2009
- Effective Date
- 15-Nov-2009
- Effective Date
- 01-May-2009
- Effective Date
- 01-Dec-2005
- Effective Date
- 10-Apr-1999
- Effective Date
- 10-Apr-1999
Overview
ASTM D7480-21: Standard Guide for Evaluating the Attributes of a Forest Management Plan is a key ASTM International standard aimed at promoting sustainable forest management. This guide provides a comprehensive framework for evaluating the effectiveness of forest management plans with a focus on long-term sustainability, environmental protection, and socio-economic benefits. It serves as a valuable tool for developers of standards in renewable resources, green building, and sustainable forestry, aiding efforts to align forest management practices with international principles.
Key Topics
This standard covers a wide range of essential criteria and indicators for sustainable forest management, including:
- Conservation of Biological Diversity: Evaluates maintenance of ecosystem, species, and genetic diversity within forests, considering aspects like protected areas, species at risk, and fragmentation.
- Productive Capacity of Forest Ecosystems: Assesses forest areas and resources available for wood and non-wood product production, tracking growing stock, harvest rates, and sustainable yield.
- Ecosystem Health and Vitality: Monitors the impact of biotic (insects, diseases) and abiotic (fire, storm) agents on forests, aiming to support healthy, resilient ecosystems.
- Soil and Water Conservation: Ensures that forest management practices protect soil productivity and water resources, incorporating best management practices.
- Global Carbon Cycle: Reviews forests’ contributions to carbon sequestration and emissions reductions, including forest biomass utilization.
- Socio-Economic Benefits: Considers the production and value of forest-based goods and services, investments in the forest sector, employment, recreation, and cultural values.
- Legal, Institutional, and Policy Framework: Evaluates the effectiveness of legal, institutional, and economic systems supporting forest conservation and sustainable management.
These criteria are expressed through qualitative and quantitative indicators, providing practical means for periodic assessment and monitoring of progress.
Applications
ASTM D7480-21 is widely used in:
- Development and Assessment of Forest Management Plans: Organizations use this guide to describe, assess, and evaluate sustainability at national, regional, or individual forest levels.
- Policy-making and Certification: Informs debates and policy decisions related to renewable resource management, supporting harmonization with international sustainability goals.
- Sustainability Reporting: Supports the creation of sustainability reports, benchmarks, and certification programs by offering comprehensive evaluation criteria.
- Green Building and Renewable Resource Initiatives: Offers guidance for green building projects seeking to source certified, sustainable forest products.
- International Trade and Cooperation: Facilitates consistency and transparency in evaluating forest management attributes for international trade in forest products.
The guide recommends compiling information from various governmental and non-governmental sources and aligning data collection with existing systems for efficiency. While primarily designed for North American forests, it is adaptable for broader international use.
Related Standards
Several other standards and reference documents complement ASTM D7480-21 in the sustainable forestry and green building sectors. Notable related standards include:
- ASTM D9: Terminology Relating to Wood and Wood-Based Products
- Montréal Process Criteria and Indicators: International framework for sustainable forest management
- Chain of Custody (COC) Certification Guidelines: Ensures traceability of certified forest content through manufacturing and supply chains
- Forest Certification Systems: Such as FSC (Forest Stewardship Council) and SFI (Sustainable Forestry Initiative), which often reference similar criteria for sustainable management
By using ASTM D7480-21 in conjunction with these related standards, organizations can demonstrate robust commitment to sustainable forest management, responsible sourcing, and compliance with leading international best practices.
Keywords: forest management plan, sustainable forest management, forestry standard, renewable resources, green building, ASTM D7480-21, indicators, criteria, certification, biodiversity, policy, ecosystem health.
Buy Documents
ASTM D7480-21 - Standard Guide for Evaluating the Attributes of a Forest Management Plan
REDLINE ASTM D7480-21 - Standard Guide for Evaluating the Attributes of a Forest Management Plan
Get Certified
Connect with accredited certification bodies for this standard

Control Union Certifications
Global certification for agriculture and sustainability.

ECOCERT
Organic and sustainability certification.

Rainforest Alliance Certification
Sustainable agriculture and forestry certification.
Sponsored listings
Frequently Asked Questions
ASTM D7480-21 is a guide published by ASTM International. Its full title is "Standard Guide for Evaluating the Attributes of a Forest Management Plan". This standard covers: SIGNIFICANCE AND USE 5.1 This guide is intended to be used by developers of standards and other documents in the field of renewable resources and green building to evaluate whether the attributes of a specific forest management system meet the intent of sustainable forest management. 5.2 In addition to the attributes addressed by this document, some users may wish to impose other evaluation criteria intended to satisfy goals beyond maintaining sustained-yield and sustainable forest management. While these issues are not specifically addressed in this guide, some are discussed in Appendix X1, Commentary. SCOPE 1.1 This guide provides a list of criteria and indicators that have been shown to be useful in achieving the goals of a sustainable forest management plan. This guide lists a set of criteria considered to be important for the following tasks: 1.1.1 To describe, assess, and evaluate progress toward sustainability of forest management at the national, regional, or individual forest level. 1.1.2 To inform the policy debate at regional, national, and international levels. 1.1.3 To evaluate the attributes of a forest management certification or evaluation system with a specific combination of forest management principles, practices, or adaptations, where such practices are evaluated against a set of prescribed standards. Although this guide provides a qualitative list of criteria for evaluation of forest conditions, it does not purport to recommend any specific forest management certification or evaluation system or subset of overall attributes. The guide does not replace forest certification or verification standards. 1.2 This guide will require compilation of information from multiple sources across various governmental and nongovernmental agencies. For this guide to be useful, it is recommended that the information collected is in alignment with that which is already collected for other purposes; otherwise these indicators may be too great an effort to combine in a timely fashion. Note 1: Although this document provides general guidance applicable to forests and forest products from many countries, its initial application is expected to focus on North America. 1.3 This guide cannot replace education or experience and should be used in conjunction with professional judgment such as that provided by foresters, forest scientists, and wood technologists. 1.4 This standard does not purport to address all of the safety concerns, if any, associated with its use. It is the responsibility of the user of this standard to establish appropriate safety, health, and environmental practices and determine the applicability of regulatory limitations prior to use. 1.5 This international standard was developed in accordance with internationally recognized principles on standardization established in the Decision on Principles for the Development of International Standards, Guides and Recommendations issued by the World Trade Organization Technical Barriers to Trade (TBT) Committee.
SIGNIFICANCE AND USE 5.1 This guide is intended to be used by developers of standards and other documents in the field of renewable resources and green building to evaluate whether the attributes of a specific forest management system meet the intent of sustainable forest management. 5.2 In addition to the attributes addressed by this document, some users may wish to impose other evaluation criteria intended to satisfy goals beyond maintaining sustained-yield and sustainable forest management. While these issues are not specifically addressed in this guide, some are discussed in Appendix X1, Commentary. SCOPE 1.1 This guide provides a list of criteria and indicators that have been shown to be useful in achieving the goals of a sustainable forest management plan. This guide lists a set of criteria considered to be important for the following tasks: 1.1.1 To describe, assess, and evaluate progress toward sustainability of forest management at the national, regional, or individual forest level. 1.1.2 To inform the policy debate at regional, national, and international levels. 1.1.3 To evaluate the attributes of a forest management certification or evaluation system with a specific combination of forest management principles, practices, or adaptations, where such practices are evaluated against a set of prescribed standards. Although this guide provides a qualitative list of criteria for evaluation of forest conditions, it does not purport to recommend any specific forest management certification or evaluation system or subset of overall attributes. The guide does not replace forest certification or verification standards. 1.2 This guide will require compilation of information from multiple sources across various governmental and nongovernmental agencies. For this guide to be useful, it is recommended that the information collected is in alignment with that which is already collected for other purposes; otherwise these indicators may be too great an effort to combine in a timely fashion. Note 1: Although this document provides general guidance applicable to forests and forest products from many countries, its initial application is expected to focus on North America. 1.3 This guide cannot replace education or experience and should be used in conjunction with professional judgment such as that provided by foresters, forest scientists, and wood technologists. 1.4 This standard does not purport to address all of the safety concerns, if any, associated with its use. It is the responsibility of the user of this standard to establish appropriate safety, health, and environmental practices and determine the applicability of regulatory limitations prior to use. 1.5 This international standard was developed in accordance with internationally recognized principles on standardization established in the Decision on Principles for the Development of International Standards, Guides and Recommendations issued by the World Trade Organization Technical Barriers to Trade (TBT) Committee.
ASTM D7480-21 is classified under the following ICS (International Classification for Standards) categories: 65.020.40 - Landscaping and silviculture. The ICS classification helps identify the subject area and facilitates finding related standards.
ASTM D7480-21 has the following relationships with other standards: It is inter standard links to ASTM D9-12, ASTM D9-09ae1, ASTM D9-09a, ASTM D9-09, ASTM D9-05, ASTM D9-87(1999)e1, ASTM D9-87(1999). Understanding these relationships helps ensure you are using the most current and applicable version of the standard.
ASTM D7480-21 is available in PDF format for immediate download after purchase. The document can be added to your cart and obtained through the secure checkout process. Digital delivery ensures instant access to the complete standard document.
Standards Content (Sample)
This international standard was developed in accordance with internationally recognized principles on standardization established in the Decision on Principles for the
Development of International Standards, Guides and Recommendations issued by the World Trade Organization Technical Barriers to Trade (TBT) Committee.
Designation: D7480 − 21
Standard Guide for
Evaluating the Attributes of a Forest Management Plan
This standard is issued under the fixed designation D7480; the number immediately following the designation indicates the year of
original adoption or, in the case of revision, the year of last revision. A number in parentheses indicates the year of last reapproval. A
superscript epsilon (´) indicates an editorial change since the last revision or reapproval.
1. Scope 1.5 This international standard was developed in accor-
dance with internationally recognized principles on standard-
1.1 This guide provides a list of criteria and indicators that
ization established in the Decision on Principles for the
have been shown to be useful in achieving the goals of a
Development of International Standards, Guides and Recom-
sustainable forest management plan. This guide lists a set of
mendations issued by the World Trade Organization Technical
criteria considered to be important for the following tasks:
Barriers to Trade (TBT) Committee.
1.1.1 To describe, assess, and evaluate progress toward
sustainabilityofforestmanagementatthenational,regional,or
2. Referenced Documents
individual forest level.
2.1 ASTM Standards:
1.1.2 To inform the policy debate at regional, national, and
international levels. D9 Terminology Relating to Wood and Wood-Based Prod-
ucts
1.1.3 To evaluate the attributes of a forest management
certification or evaluation system with a specific combination
3. Terminology
of forest management principles, practices, or adaptations,
where such practices are evaluated against a set of prescribed
3.1 Definitions—Standard definitions of wood terms are
standards. Although this guide provides a qualitative list of
given in Terminology D9.
criteria for evaluation of forest conditions, it does not purport
3.2 Definitions of Terms Related to the Field of Forestry:
to recommend any specific forest management certification or
3.2.1 criterion, n—category of conditions or processes by
evaluation system or subset of overall attributes. The guide
which sustainable forest management may be assessed.
does not replace forest certification or verification standards.
3.2.1.1 Discussion—A criterion is characterized by a set of
1.2 This guide will require compilation of information from
related indicators which are monitored periodically to assess
multiple sources across various governmental and nongovern-
change. Montréal Process
mental agencies. For this guide to be useful, it is recommended
3.2.2 ecosystem, n—dynamic system of plants, animals, and
that the information collected is in alignment with that which
other organisms, together with the non-living components of
is already collected for other purposes; otherwise these indi-
the environment functioning as an independent unit. Montréal
cators may be too great an effort to combine in a timely
Process
fashion.
3.2.3 forest management, n—branch of forestry concerned
NOTE 1—Although this document provides general guidance applicable
to forests and forest products from many countries, its initial application with the overall administrative, economic, legal and social
is expected to focus on North America.
aspectsandwiththeessentiallyscientificandtechnicalaspects,
especially silviculture, protection and forest regulation. Natu-
1.3 This guide cannot replace education or experience and
should be used in conjunction with professional judgment such ral Resources Canada
as that provided by foresters, forest scientists, and wood
3.2.4 forest type, n—category of forest defined by its
technologists.
vegetation, particularly composition, and/or locality, as catego-
rized by each country in a system suitable to its situation.
1.4 This standard does not purport to address all of the
Montréal Process
safety concerns, if any, associated with its use. It is the
responsibility of the user of this standard to establish appro-
priate safety, health, and environmental practices and deter-
mine the applicability of regulatory limitations prior to use. For referenced ASTM standards, visit the ASTM website, www.astm.org, or
contact ASTM Customer Service at service@astm.org. For Annual Book of ASTM
Standards volume information, refer to the standard’s Document Summary page on
This guide is under the jurisdiction ofASTM Committee D07 on Wood and is the ASTM website.
the direct responsibility of Subcommittee D07.08 on Forests. Montréal Process Criteria and Indicators, Fifth Ed., Sept. 2015, Online:
Current edition approved Oct. 1, 2021. Published October 2021. Originally https://bit.ly/3s8kozZ.
approved in 2008. Last previous edition approved in 2014 as D7480–08 (2014). Forestry Glossary of Natural Resources Canada, Dec. 8, 2020, Online:
DOI: 10.1520/D7480-21. https://bit.ly/3mG2zHp.
Copyright © ASTM International, 100 Barr Harbor Drive, PO Box C700, West Conshohocken, PA 19428-2959. United States
D7480 − 21
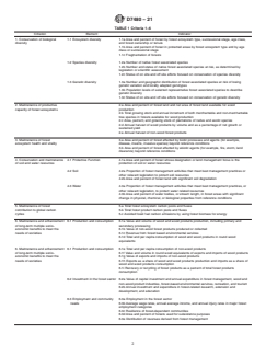
TABLE 1 Criteria 1–6
Criterion Element Indicator
1. Conservation of biological 1.1 Ecosystem diversity 1.1a Area and percent of forest by forest ecosystem type, successional stage, age class,
diversity and forest ownership or tenure
1.1b Area and percent of forest in protected areas by forest ecosystem type and by age
class or successional stage
1.1c Fragmentation of forests
1.2 Species diversity 1.2a Number of native forest associated species
1.2b Number and status of native forest associated species at risk, as determined by
legislation or scientific assessment
1.2c Status of on site and off site efforts focused on conservation of species diversity
1.3 Genetic diversity 1.3a Number and geographic distribution of forest associated species at risk of losing
genetic variation and locally adapted genotypes
1.3b Population levels of selected representative forest associated species to describe
genetic diversity
1.3c Status of on site and off site efforts focused on conservation of genetic diversity
2. Maintenance of productive 2.a Area and percent of forest land and net area of forest land available for wood
capacity of forest ecosystems production
2.b Total growing stock and annual increment of both merchantable and non-merchantable
tree species in forests available for wood production
2.c Area, percent, and growing stock of plantations of native and exotic species
2.d Annual harvest of wood products by volume and as a percentage of net growth or
sustained yield
2.e Annual harvest of non-wood forest products
3. Maintenance of forest 3.a Area and percent of forest affected by biotic processes and agents (for example,
ecosystem health and vitality disease, insects, invasive species) beyond reference conditions
3.b Area and percent of forest affected by abiotic agents (for example, fire, storm, land
clearance) beyond reference conditions
4. Conservation and maintenance 4.1 Protective Function 4.1a Area and percent of forest whose designation or land management focus is the
of soil and water resources protection of soil or water resources
4.2 Soil 4.2a Proportion of forest management activities that meet best management practices or
other relevant legislation to protect soil resources
4.2b Area and percent of forest land with significant soil degradation
4.3 Water 4.3a Proportion of forest management activities that meet best management practices, or
other relevant legislation, to protect water related resources
4.3b Area and percent of water bodies, or stream length, in forest areas with significant
change in physical, chemical, or biological properties from reference conditions
5. Maintenance of forest 5.a Total forest ecosystem carbon pools and fluxes
contribution to global carbon 5.b Total forest product carbon pools and fluxes
cycles 5.c Avoided fossil fuel carbon emissions by using forest biomass for energy
6. Maintenance and enhancement 6.1 Production and consumption 6.1a Value and volume of wood and wood products production, including primary and
of long-term multiple socio- secondary processing
economic benefits to meet the 6.1b Value of non-wood forest products produced or collected
needs of societies 6.1c Revenue from forest based environmental services
6.1d Total and per capita consumption of wood and wood products in round wood
equivalents
6. Maintenance and enhancement 6.1 Production and consumption 6.1e Total and per capita consumption of non-wood products
of long-term multiple socio- 6.1f Value and volume in round wood equivalents of exports and imports of wood products
economic benefits to meet the 6.1g Value of exports and imports of non-wood products
needs of societies 6.1h Exports as a share of wood and wood products production and imports as a share of
wood and wood products consumption
6.1i Recovery or recycling of forest products as a percent of total forest products
consumption
6.2 Investment in the forest sector 6.2a Value of capital investment and annual expenditure in forest management, wood and
non-wood product industries, forest-based environmental services, recreation, and tourism
6.2b Annual investment and expenditure in forest-related research, extension and
development, and education
6.3 Employment and community 6.3a Employment in the forest sector
needs 6.3b Average wage rates, annual average income, and annual injury rates in major forest
employment categories
6.3c Resilience of forest-dependent communities
6.3d Area and percent of forests used for subsistence purposes
6.3e Distribution of revenues derived from forest management
D7480 − 21
TABLE 1 Continued
Criterion Element Indicator
6.4 Recreation and tourism 6.4a Area and percent of forests available or managed for public recreation and tourism, or
both
6.4b Number, type, and geographic distribution of visits attributed to recreation and tourism
and related to facilities available
6.5 Cultural, social and spiritual 6.5a Area and percent of forests managed primarily to protect the range of cultural, social
needs and values and spiritual needs and values
6.5b The importance of forests to people
3.2.5 forestry, n—profession embracing the science, from recycled content. COC is typically third party audited in
business, and art of creating, conserving, and managing forests accordance with forest certification/verification programs.
and forest lands for the continuing use of their resources,
3.3.5 forestry materials—materials derived from the prac-
material or other. Natural Resources Canada
tice of planting and caring for forests and the management of
3.2.6 indicator, n—measure (measurement) of an aspect of growing timber. Such materials must come from short rotation
the criterion.
woody crops (less than ten years old), sustainably managed
3.2.6.1 Discussion—A quantitative or qualitative variable forests, wood residues, or forest thinnings.
which can be measured or described and which when observed
3.3.6 other acceptable sources—other acceptable sources
periodically demonstrates trends. Montréal Process
refers to forest content that, while not from a certified forest,
3.2.7 monitoring, n—the periodic and systematic measure-
can be verified as not coming from a non-acceptable source as
ment and assessment of change of an indicator. Montréal
defined by the certification program.
Process
3.3.7 non acceptable sources—illegal or unauthorized har-
3.2.8 sustainable forest management (SFM),
vesting as defined by the forest certification programs refer-
n—stewardship and use of forests and forest lands in such a
enced in this guideline.
way, and at a rate, that maintains their biodiversity,
3.3.8 procurement system—asystemrequiringorganizations
productivity, regeneration capacity, and vitality, and their
buying raw materials to have an auditable procurement process
potential to fulfill, now and in the future, relevant ecological,
designed to improve forest management on all suppliers’ lands
economic, and social functions at local, national, and global
and ensure all fiber comes from known and legal sources.
levels, and that does not cause damage to other ecosystems.
3.3.9 wood-based product—any material which consist of a
Montréal Process
minimum of 90 % of forest materials as measured by either
3.3 Additional Terms Related to Sustainability and
weight or volume.
Certification/Verification Programs:
3.3.1 biobased product—a commercial or industrial product
4. Summary of Guide
(other than food or feed) that is composed, in whole or in
4.1 The criteria and indicators listed under Sections 6 and 7
significant part, of biological products or renewable agricul-
apply broadly to temperate and boreal forests. They are
tural materials (including plant, animal, and marine materials)
intended to provide a common understanding of what is meant
or forestry materials.
by sustainable forest management. Section 6 provides a com-
3.3.2 certified forest content—certified forest content is
mon framework for describing, assessing, and evaluating a
tracked through a chain of custody process either by physical
country’s progress toward sustainability at the national or
separation or percentage based approaches.
regional level. Section 7 provides smaller-scale systems, plans,
3.3.3 certified wood (or wood-based product)—derived/
and practices to assess sustainability at the individual forest
manufactured from an acceptable content of raw material from
management level.
certified forest, other acceptable sources and recycled content
4.2 The criteria and indicators are intended to provide an
as determined by a credible and reliable forest certification
international reference for policy-makers in the formulation of
programs.Certifiedwoodorwood-basedproductscomplywith
national and regional policies and a basis for international
all applicable standards for their intended use as required by
cooperation aimed at supporting sustainable forest manage-
the International Building Code and related Codes.
ment. Internationally agreeable criteria and indicators will help
3.3.4 chain of custody (COC)—adefinedprocessthatallows
to clarify ongoing dialogues related to international trade in
companies to make claims about how much of the fiber in their
products from sustainably managed forests.
product comes from certified forests, how much fiber comes
4.3 The additional terms related to sustainability and
from acceptable sources, and how much of the fiber comes
certification/verification systems (see 3.3) are included in this
guide to provide a common reference for these terms that are
Forestry Glossary of Natural Resources Canada, Dec. 8, 2020, Online:
commonly associated (either directly or indirectly) with prod-
https://bit.ly/3t9aqjj.
ucts derived from sustainably managed forests.
Technical Notes on Implementation of the Montreal Process Criteria and
Indicators, Third Edition, June 2009 (Revised July 2014), Online, Available: NOTE 2—While the inclusion of the terms noted in 3.3 are peripheral to
https://bit.ly/2Rpbu4C. the main thrust of this guide, their “standardization” within an ASTM
D7480 − 21
document provides enormous benefits for various groups of users of this
what is meant by sustainable forest management and may be
document.
understood to constitute an implicit definition of sustainable
forest management.
5. Significance and Use
6.2 The criteria and indicators help provide an international
5.1 This guide is intended to be used by developers of
reference for policy-makers in the formulation of national
standards and other documents in the field of renewable
policies and a basis for international cooperation aimed at
resources and green building to evaluate whether the attributes
supporting sustainable forest management.
of a specific forest management system meet the intent of
6.3 Taken together, the criteria and indicators reflect a
sustainable forest management.
holistic approach to forests as ecosystems, addressing the full
5.2 In addition to the attributes addressed by this document,
range of forest values. No single criterion or indicator is alone
some users may wish to impose other evaluation criteria
an indication of sustainability. Rather, individual criteria and
intended to satisfy goals beyond maintaining sustained-yield
indicators should be considered in the context of other criteria
and sustainable forest management. While these issues are not
and indicators.
specifically addressed in this guide, some are discussed in
6.4 The seven criteria given in Tables 1 and 2 characterize
Appendix X1, Commentary.
theessentialcomponentsofsustainableforestmanagement(for
6. Criteria and Indicators Used to Assess a National or example, biodiversity conservation). Each criterion is charac-
terized by a set of indicators, which provides a way to measure
Regional Forest Management Program
or describe the criterion. No priority or order is implied in the
6.1 The criteria and indicators provide a common frame-
listing of seven criteria or their associated indicators.
work to describe, monitor, assess, and report on national or
regional forest trends and progress toward sustainable forest 6.5 While many indicators are quantitative in nature, others
management. They also provide a common understanding of are qualitative or descriptive. Some indicators can be readily
TABLE 2 Criteria 7
Criterion Element Indicator
7. Legal, institutional, and policy 7.1 Extent to which the legal 7.1a Clarifies property rights, provides for appropriate land tenure arrangements,
framework for forest conservation framework (laws, regulations, recognizes customary and traditional rights of indigenous people, and provides means of
and sustainable management guidelines) supports the resolving property disputes by due process
conservation and sustainable 7.1b Provides for periodic forest-related planning, assessment, and policy review that
management of forests, including recognizes the range of forest values, including coordination with relevant sectors
the extent to which it: 7.1c Provides opportunities for public participation in public policy and decision-making
related to forests and public access to information
7.1d Encourages best practice codes for forest management
7.1e Provides-for the management of forests to conserve special environmental, cultural,
social, or scientific values, or a combination thereof
7.2 Extent to which the 7.2a Provide for public involvement activities and public education, awareness and
institutional framework supports extension programs, and make available forest-related information
the conservation and sustainable 7.2b Undertake and implement periodic forest-related planning, assessment, and policy
management of forests, including review including cross-sectoral planning and coordination
the capacity to: 7.2c Develop and maintain human resource skills across relevant disciplines
7.2d Develop and maintain efficient physical infrastructure to facilitate the supply of forest
products and services and support forest management
7.2e Enforce laws, regulations, and guidelines
7.3 Extent to which the economic 7.3a Investment and taxation policies and a regulatory environment which recognize the
framework (economic policies and long-term nature of investments and permit the flow of capital in and out of the forest sector
measures) supports the in response to market signals, non-market economic valuations, and public policy decisions
conservation and sustainable in order to meet long-term demands for forest products and services
management of forests through: 7.3b Non-discriminatory trade policies for forest products
7.4 Capacity to measure and 7.4a Availability and extent of up-to-date data, statistics and other information important to
monitor changes in the measuring or describing indicators associated with Criteria 1-7
conservation and sustainable 7.4b Scope, frequency, and statistical reliability of forest inventories, assessments,
management of forests, including: monitoring, and other relevant information
7.4c Compatibility with other countries in measuring, monitoring, and reporting on indicators
7.5 Capacity to conduct and apply 7.5a Development of scientific understanding of forest ecosystem characteristics and
research and development aimed functions
at improving forest management 7.5b Development of methodologies to measure and integrate environmental and social
and delivery of forest goods and costs and benefits into markets and public policies, and to reflect forest-related resource
services, including: depletion or replenishment in national accounting systems
7.5c New technologies and the capacity to assess the socio-economic consequences
associated with the introduction of new technologies
7.5d Enhancement of ability to predict impacts of human intervention on forests
7.5e Ability to predict impacts on forests of possible climate change
D7480 − 21
measured (for example, percent of forest cover). Others may temperate and boreal forests. They relate specifically to forest
require the collection of new or additional data, the establish- conditions, attributes, or functions and to the values or benefits
ment of systematic sampling or even basic research. associated with the environmental and socio-economic goods
andservicesthatforestsprovide.Theintentormeaningofeach
6.6 When indicators are measured periodically over time,
criterion is made clear by its respective indicators. No priority
they indicate change and trends in conditions relevant to
or order is implied in the alphanumeric listing of the criteria
sustainable forest management, including natural, social,
and indicators.
economic, and policy conditions. Monitoring these changes
provides information needed to evaluate a country’s progress
7. Criteria and Indicators Used to Assess an Individual
toward sustainable forest management. This information is
Forest Management Program
essential to making informed forest policy decisions.
7.1 Table 3 lists the criteria and indicators for the measure-
6.7 Each country or region is different in terms of the
ment of conservation and sustainable management of indi-
quantity, quality, and characteristics of its forests. Countries
vidual forests. The intent or meaning of each criterion is made
also differ in terms of population and land ownership patterns,
clear by its respective indicators. No priority or order is
stages of economic development, governance structures, and
implied in the alphanumeric listing of the criteria and indica-
expectations of how forests should contribute to society. These
tors. Elements of each criteria are also considered to be
differences affect the capacity of countries to collect data, as
systems. Indicators are also considered to be plans or practices
well as the data collection methods employed. While the
common to forest management principles.
criteria and indicators facilitate harmonized approaches to
7.2 Some users may wish to include forest management
forest assessment and reporting among countries, they also
program attributes that extend beyond those normally associ-
allow for flexibility in application to reflect national circum-
ated directly with sustainable forest management. Examples of
stances.
such optional program features include:
NOTE 3—Harmonization of information—collecting data for specific
7.2.1 Certification/Verification—Documentation of fulfill-
indicators in a common or comparable manner—among countries or
ment of specific criteria and indicators is ultimately the
regions is key to meeting the objectives of 1.1.
responsibility of the forest owner or forest product manufac-
6.8 As national level assessment tools, the criteria and
turer. However, some programs provide the additional feature
indicators provide a basis for reporting on all forests in a
of independent verification or certification of conformance, or
country, including public and private forests, tropical forests,
both.
and plantation forests. Although they are not performance
7.2.2 Other Forest Harvesting Restrictions—To address
standards or designed to assess sustainability at the forest
specific forest related issues, some programs impose restric-
management unit level, they provide a framework for devel-
tions related to species type, tree age, or similar concerns.
oping policies, plans, and inventories at both national and
7.2.3 Additional considerations related to specific societal
regional levels and can serve as a model for monitoring and
concerns (not related to forest sustainability).
reporting on other natural resources, such as rangelands,
freshwater, and minerals. 8. Keywords
6.9 Tables 1 and 2 list the criteria and indicators for the 8.1 criterion; forest management plans; forests; indicators;
measurement of conservation and sustainable management of sustainability
D7480 − 21
TABLE 3 Criteria 1–7 for Individual Forests
Criterion Element/System Indicator/Plan/Practice
1. Contribute to the A. Available expertise is sought for assessing biodiversity A. Necessary expertise (consultants, state forestry, natural
conservation of biological considerations at the site and landscape levels heritage program staff, etc.) has been utilized to assess the
diversity of the forest and the biodiversity contribution of the property
landscape in which it resides
B. Rare and endangered species and plant communities are B. The forest’s diversity, uniqueness, and risks (pests, fire,
identified and their protection or enhancement is addressed weather, etc.) have been identified and are a consideration in
management
C. Forest dynamics, major disturbances, and catastrophic C. Forest dynamics, major disturbances, and catastrophic
events are factored into decision making events are factored into biodiversity decision making
2. Maintain or improve A. Timber and non-timber products and habitats are identified A. The productive capacity of the forest has been mapped for
productive capacity for the forest timber and significant non-timber products have been identified
B. Long-term and short-term productive capacities and targets B. Growth, mortality, and harvest rates of the forest types have
are established been determined
C. Targets are sustainable C. Regeneration after harvest is planned and successfully
implemented
D. Appropriate science and technology is used D. Long-term site capacity is maintained
E. Harvest, utilization, and marketing are efficient
F. Loggers and other contractors that have been trained are
used
G. Appropriate expertise is used regarding wildlife
management
H. Habitats, including sites at environmental risk and with
ecological/cultural uniqueness, are identified and a
consideration of management
3. Maintain the health and vigor A. Tree species selection, stocking levels, age-class A. Tree species selection, stocking levels, spacing, age-class
of the forest and its landscape/ distribution, integrated pest management, and fuel loadings are distribution, regeneration methods, insect and disease
watershed addressed with the objective of reducing the risk insect and outbreaks, fuel loads, and wildfires are managed to reduce risk
disease outbreaks and unwanted wildfire and promoting long- and insure long-term forest vigor
term forest vigor
B. Cooperation regarding forest risk assessments, monitoring, B. Fuel loads, insect and disease populations, and overall
prevention, and incident response is encouraged forest vigor are addressed
C. Chemicals are used appropriately and safely within the C. Approaches to monitoring, prevention, and incident
manufacturer’s recommendations response are in place and include cooperation with local, state,
and federal agencies and neighboring landowners as
appropriate
D. Grazing is managed to prevent negative impacts D. Grazing is managed to prevent negative impacts
E. Introduction and spread of invasive non-native flora and
fauna is addressed
4. Protect soil and water A. Relevant mapped, soils, terrain, and water resources A. Current mapped data on soils and terrain is included in the
resources (streams, ponds, wetlands) data are used plan and used in management
B. Management practices to insure soil stability and protect B. Storm dynamics are recognized and planned for
and enhance soil productivity and water quality are used
C. Best management practices to protect soil and water during C. Soil stability, water quality, and soil productivity are
all management activities are used protected
D. Appropriate guides and plans are in place and followed in
road placement, design, maintenance, and retirement,
especially at stream crossings
E. Fire use, management, and response is appropriately
planned and conducted
F. State best management practices are understood and
incorporated in plans and complied with during all phases of
management activities
G. Wetland hydrological function and aquatic habitat are a
consideration in management
...
This document is not an ASTM standard and is intended only to provide the user of an ASTM standard an indication of what changes have been made to the previous version. Because
it may not be technically possible to adequately depict all changes accurately, ASTM recommends that users consult prior editions as appropriate. In all cases only the current version
of the standard as published by ASTM is to be considered the official document.
Designation: D7480 − 08 (Reapproved 2014) D7480 − 21
Standard Guide for
Evaluating the Attributes of a Forest Management Plan
This standard is issued under the fixed designation D7480; the number immediately following the designation indicates the year of
original adoption or, in the case of revision, the year of last revision. A number in parentheses indicates the year of last reapproval. A
superscript epsilon (´) indicates an editorial change since the last revision or reapproval.
1. Scope
1.1 This guide provides a list of criteria and indicators that have been shown to be useful in achieving the goals of a sustainable
forest management plan. This guide lists a set of criteria considered to be important for the following tasks:
1.1.1 To describe, assess, and evaluate progress toward sustainability of forest management at the national, regional, or individual
forest level.
1.1.2 To inform the policy debate at regional, national, and international levels.
1.1.3 To evaluate the attributes of a forest management certification or evaluation system with a specific combination of forest
management principles, practices, or adaptations, where such practices are evaluated against a set of prescribed standards.
Although this guide provides a qualitative list of criteria for evaluation of forest conditions, it does not purport to recommend any
specific forest management certification or evaluation system or subset of overall attributes. The guide does not replace forest
certification or verification standards.
1.2 This guide will require compilation of information from multiple sources across various governmental and nongovernmental
agencies. For this guide to be useful, it is recommended that the information collected is in alignment with that which is already
collected for other purposes; otherwise these indicators may be too great an effort to combine in a timely fashion.
NOTE 1—Although this document provides general guidance applicable to forests and forest products from many countries, its initial application is
expected to focus on North America.
1.3 This guide cannot replace education or experience and should be used in conjunction with professional judgment such as that
provided by foresters, forest scientists, and wood technologists.
1.4 This standard does not purport to address all of the safety concerns, if any, associated with its use. It is the responsibility
of the user of this standard to establish appropriate safety safety, health, and healthenvironmental practices and determine the
applicability of regulatory limitations prior to use.
1.5 This international standard was developed in accordance with internationally recognized principles on standardization
established in the Decision on Principles for the Development of International Standards, Guides and Recommendations issued
by the World Trade Organization Technical Barriers to Trade (TBT) Committee.
This guide is under the jurisdiction of ASTM Committee D07 on Wood and is the direct responsibility of Subcommittee D07.08 on Forests.
Current edition approved Feb. 1, 2014Oct. 1, 2021. Published February 2014October 2021. Originally approved in 2008. Last previous edition approved in 20082014 as
D7480–08. –08 (2014). DOI: 10.1520/D7480-08R14.10.1520/D7480-21.
Copyright © ASTM International, 100 Barr Harbor Drive, PO Box C700, West Conshohocken, PA 19428-2959. United States
D7480 − 21
TABLE 1 Criteria 1–6
Criterion Element Indicator
1. Conservation of biological 1.1 Ecosystem diversity 1.1a Area and percent of forest by forest ecosystem type, successional stage, age class,
diversity and forest ownership or tenure
1.1b Area and percent of forest in protected areas by forest ecosystem type and by age
class or successional stage
1.1c Fragmentation of forests
1.2 Species diversity 1.2a Number of native forest associated species
1.2b Number and status of native forest associated species at risk, as determined by
legislation or scientific assessment
1.2c Status of on site and off site efforts focused on conservation of species diversity
1.3 Genetic diversity 1.3a Number and geographic distribution of forest associated species at risk of losing
genetic variation and locally adapted genotypes
1.3b Population levels of selected representative forest associated species to describe
genetic diversity
1.3c Status of on site and off site efforts focused on conservation of genetic diversity
2. Maintenance of productive 2.a Area and percent of forest land and net area of forest land available for wood
capacity of forest ecosystems production
2.b Total growing stock and annual increment of both merchantable and non-merchantable
tree species in forests available for wood production
2.c Area, percent, and growing stock of plantations of native and exotic species
2.d Annual harvest of wood products by volume and as a percentage of net growth or
sustained yield
2.e Annual harvest of non-wood forest products
3. Maintenance of forest 3.a Area and percent of forest affected by biotic processes and agents (for example,
ecosystem health and vitality disease, insects, invasive species) beyond reference conditions
3.b Area and percent of forest affected by abiotic agents (for example, fire, storm, land
clearance) beyond reference conditions
4. Conservation and maintenance 4.1 Protective Function 4.1a Area and percent of forest whose designation or land management focus is the
of soil and water resources protection of soil or water resources
4.2 Soil 4.2a Proportion of forest management activities that meet best management practices or
other relevant legislation to protect soil resources
4.2b Area and percent of forest land with significant soil degradation
4.3 Water 4.3a Proportion of forest management activities that meet best management practices, or
other relevant legislation, to protect water related resources
4.3b Area and percent of water bodies, or stream length, in forest areas with significant
change in physical, chemical, or biological properties from reference conditions
5. Maintenance of forest 5.a Total forest ecosystem carbon pools and fluxes
contribution to global carbon 5.b Total forest product carbon pools and fluxes
cycles 5.c Avoided fossil fuel carbon emissions by using forest biomass for energy
6. Maintenance and enhancement 6.1 Production and consumption 6.1a Value and volume of wood and wood products production, including primary and
of long-term multiple socio- secondary processing
economic benefits to meet the 6.1b Value of non-wood forest products produced or collected
needs of societies 6.1c Revenue from forest based environmental services
6.1d Total and per capita consumption of wood and wood products in round wood
equivalents
6. Maintenance and enhancement 6.1 Production and consumption 6.1e Total and per capita consumption of non-wood products
of long-term multiple socio- 6.1f Value and volume in round wood equivalents of exports and imports of wood products
economic benefits to meet the 6.1g Value of exports and imports of non-wood products
needs of societies 6.1h Exports as a share of wood and wood products production and imports as a share of
wood and wood products consumption
6.1i Recovery or recycling of forest products as a percent of total forest products
consumption
6.2 Investment in the forest sector 6.2a Value of capital investment and annual expenditure in forest management, wood and
non-wood product industries, forest-based environmental services, recreation, and tourism
6.2b Annual investment and expenditure in forest-related research, extension and
development, and education
6.3 Employment and community 6.3a Employment in the forest sector
needs 6.3b Average wage rates, annual average income, and annual injury rates in major forest
employment categories
6.3c Resilience of forest-dependent communities
6.3d Area and percent of forests used for subsistence purposes
6.3e Distribution of revenues derived from forest management
D7480 − 21
TABLE 1 Continued
Criterion Element Indicator
6.4 Recreation and tourism 6.4a Area and percent of forests available or managed for public recreation and tourism, or
both
6.4b Number, type, and geographic distribution of visits attributed to recreation and tourism
and related to facilities available
6.5 Cultural, social and spiritual 6.5a Area and percent of forests managed primarily to protect the range of cultural, social
needs and values and spiritual needs and values
6.5b The importance of forests to people
2. Referenced Documents
2.1 ASTM Standards:
D9 Terminology Relating to Wood and Wood-Based Products
3. Terminology
3.1 Definitions—Standard definitions of wood terms are given in Terminology D9.
3.2 Definitions of Terms Related to the Field of Forestry:
3.2.1 criterion, n—a category of conditions or processes by which sustainable forest management may be assessed. A criterion is
characterized by a set of related indicators which are monitored periodically to assess change.
3.2.1.1 Discussion—
A criterion is characterized by a set of related indicators which are monitored periodically to assess change. Montréal Process
3.2.2 criterion indicator, n—a measure (measurement) of an aspect of the criterion. A quantitative or qualitative variable which
can be measured or described and which when observed periodically demonstrates trends. Montréal Process
3.2.2 ecosystem, n—a dynamic complex of plant, animal, fungal, and micro-organism communities and the associated non-living
environment with which they interact.system of plants, animals, and other organisms, together with the non-living components of
the environment functioning as an independent unit.
Montréal Process
3.2.3 forest management practice, management, n—a specific activity, measure, course of action, or treatment.branch of forestry
concerned with the overall administrative, economic, legal and social aspects and with the essentially scientific and technical
aspects, especially silviculture, protection and forest regulation. USFSNatural Resources Canada
3.2.4 forest type, n—a category of forest defined by its vegetation, particularly composition, or locality factors, or any combination
thereof, and/or locality, as categorized by each country in a system suitable to its situation. Montréal Process
For referenced ASTM standards, visit the ASTM website, www.astm.org, or contact ASTM Customer Service at service@astm.org. For Annual Book of ASTM Standards
volume information, refer to the standard’s Document Summary page on the ASTM website.
“Criteria and Indicators for the Conservation and Sustainable Management of Temperate and Boreal Forests,” The Montréal Process,Montréal Process Criteria and
Indicators, Third Edition, DecemberFifth Ed., Sept. 20072015, Online,Online:
available, http://www.rinya.maff.go.jp/mpci/meetings/an-6.pdf, 1 December 2008.https://bit.ly/3s8kozZ.
Available from the United States Forestry Service (USFS), 1400 Independence Ave.,Forestry Glossary of Natural Resources Canada, Dec. 8, 2020SW Washington, ,
Online:
DC 20250-0003, http://www.fs.fed.us.https://bit.ly/3mG2zHp.
Available from the Society of American Foresters (SAF), 5400 Grosvenor Lane, Bethesda, MD 20814-2198, http://www.safnet.org.
D7480 − 21
3.2.5 forestry, n—forestry is the science profession embracing the science, business, and art of attaining desired forest conditions
and benefits to sustain and enhance forest resources for diverse benefits in perpetuity.creating, conserving, and managing forests
and forest lands for the continuing use of their resources, material or other.
Society of American ForestersNatural Resources Canada
3.2.6 indicator, n—measure (measurement) of an aspect of the criterion.
3.2.6.1 Discussion—
A quantitative or qualitative variable which can be measured or described and which when observed periodically demonstrates
trends. Montréal Process
3.2.7 monitoring, n—the periodic and systematic measurement and assessment of change of an indicator.
Montréal Process
3.2.8 sustainable forest management, management (SFM), n—the practice of meeting the forest resource needs and values of the
present generations with a goal of preserving the similar capacity of future generations. Sustainable forest management involves
practicing a land stewardship ethic that integrates the reforestation, managing, growing, nurturing, and harvesting of tress for useful
products with the conservation of soil, air, and water quality; wildlife and fish habitat; and aesthetics.stewardship and use of forests
and forest lands in such a way, and at a rate, that maintains their biodiversity, productivity, regeneration capacity, and vitality, and
their potential to fulfill, now and in the future, relevant ecological, economic, and social functions at local, national, and global
levels, and that does not cause damage to other ecosystems.
Dictionary of ForestryMontréal Process
3.2.9 sustained-yield, n—the achievement and maintenance over multigenerational timeframes of a high-level annual or regular
periodic output of the various renewable resources of the forest without impairment of its productivity. USFS
3.3 Additional Terms Related to Sustainability and Certification/Verification Programs:
3.3.1 biobased product—a commercial or industrial product (other than food or feed) that is composed, in whole or in significant
part, of biological products or renewable agricultural materials (including plant, animal, and marine materials) or forestry
materials.
3.3.2 certified forest content—certified forest content is tracked through a chain of custody process either by physical separation
or percentage based approaches.
3.3.3 certified wood (or wood-based product)—derived/manufactured from an acceptable content of raw material from certified
forest, other acceptable sources and recycled content as determined by a credible and reliable forest certification programs.
Certified wood or wood-based products comply with all applicable standards for their intended use as required by the International
Building Code and related Codes.
3.3.4 chain of custody (COC)—a defined process that allows companies to make claims about how much of the fiber in their
product comes from certified forests, how much fiber comes from acceptable sources, and how much of the fiber comes from
recycled content. COC is typically third party audited in accordance with forest certification/verification programs.
3.3.5 forestry materials—materials derived from the practice of planting and caring for forests and the management of growing
timber. Such materials must come from short rotation woody crops (less than ten years old), sustainably managed forests, wood
residues, or forest thinnings.
3.3.6 other acceptable sources—other acceptable sources refers to forest content that, while not from a certified forest, can be
verified as not coming from a non-acceptable source as defined by the certification program.
Forestry Glossary of Natural Resources Canada, Dec. 8, 2020, Online:
https://bit.ly/3t9aqjj.
Helms, J. A., ed., The Dictionary of Forestry, Society of American Foresters, Bethesda, MD, 1998.Technical Notes on Implementation of the Montreal Process Criteria
and Indicators, Third Edition, June 2009 (Revised July 2014), Online, Available:
https://bit.ly/2Rpbu4C.
D7480 − 21
3.3.7 non acceptable sources—illegal or unauthorized harvesting as defined by the forest certification programs referenced in this
guideline.
3.3.8 procurement system—a system requiring organizations buying raw materials to have an auditable procurement process
designed to improve forest management on all suppliers’ lands and ensure all fiber comes from known and legal sources.
3.3.9 wood-based product—any material which consist of a minimum of 90 % of forest materials as measured by either weight
or volume.
4. Summary of Guide
4.1 The criteria and indicators listed under Sections 6 and 7 apply broadly to temperate and boreal forests. They are intended to
provide a common understanding of what is meant by sustainable forest management. Section 6 provides a common framework
for describing, assessing, and evaluating a country’s progress toward sustainability at the national or regional level. Section 7
provides smaller-scale systems, plans, and practices to assess sustainability at the individual forest management level.
4.2 The criteria and indicators are intended to provide an international reference for policy-makers in the formulation of national
and regional policies and a basis for international cooperation aimed at supporting sustainable forest management. Internationally
agreeable criteria and indicators will help to clarify ongoing dialogues related to international trade in products from sustainably
managed forests.
4.3 The additional terms related to sustainability and certification/verification systems (see 3.3) are included in this guide to
provide a common reference for these terms that are commonly associated (either directly or indirectly) with products derived from
sustainably managed forests.
NOTE 2—While the inclusion of the terms noted in 3.3 are peripheral to the main thrust of this guide, their “standardization” within an ASTM document
provides enormous benefits for various groups of users of this document.
5. Significance and Use
5.1 This guide is intended to be used by developers of standards and other documents in the field of renewable resources and green
building to evaluate whether the attributes of a specific forest management system meet the intent of sustainable forest
management.
5.2 In addition to the attributes addressed by this document, some users may wish to impose other evaluation criteria intended to
satisfy goals beyond maintaining sustained-yield and sustainable forest management. While these issues are not specifically
addressed in this guide, some are discussed in Appendix X1, Commentary.
6. Criteria and Indicators Used to Assess a National or Regional Forest Management Program
6.1 The criteria and indicators provide a common framework to describe, monitor, assess, and report on national or regional forest
trends and progress toward sustainable forest management. They also provide a common understanding of what is meant by
sustainable forest management and may be understood to constitute an implicit definition of sustainable forest management.
6.2 The criteria and indicators help provide an international reference for policy-makers in the formulation of national policies and
a basis for international cooperation aimed at supporting sustainable forest management.
6.3 Taken together, the criteria and indicators reflect a holistic approach to forests as ecosystems, addressing the full range of forest
values. No single criterion or indicator is alone an indication of sustainability. Rather, individual criteria and indicators should be
considered in the context of other criteria and indicators.
6.4 The seven criteria given in Tables 1 and 2 characterize the essential components of sustainable forest management (for
example, biodiversity conservation). Each criterion is characterized by a set of indicators, which provides a way to measure or
describe the criterion. No priority or order is implied in the listing of seven criteria or their associated indicators.
D7480 − 21
TABLE 2 Criteria 7
Criterion Element Indicator
7. Legal, institutional, and policy 7.1 Extent to which the legal 7.1a Clarifies property rights, provides for appropriate land tenure arrangements,
framework for forest conservation framework (laws, regulations, recognizes customary and traditional rights of indigenous people, and provides means of
and sustainable management guidelines) supports the resolving property disputes by due process
conservation and sustainable 7.1b Provides for periodic forest-related planning, assessment, and policy review that
management of forests, including recognizes the range of forest values, including coordination with relevant sectors
the extent to which it: 7.1c Provides opportunities for public participation in public policy and decision-making
related to forests and public access to information
7.1d Encourages best practice codes for forest management
7.1e Provides-for the management of forests to conserve special environmental, cultural,
social, or scientific values, or a combination thereof
7.2 Extent to which the 7.2a Provide for public involvement activities and public education, awareness and
institutional framework supports extension programs, and make available forest-related information
the conservation and sustainable 7.2b Undertake and implement periodic forest-related planning, assessment, and policy
management of forests, including review including cross-sectoral planning and coordination
the capacity to: 7.2c Develop and maintain human resource skills across relevant disciplines
7.2d Develop and maintain efficient physical infrastructure to facilitate the supply of forest
products and services and support forest management
7.2e Enforce laws, regulations, and guidelines
7.3 Extent to which the economic 7.3a Investment and taxation policies and a regulatory environment which recognize the
framework (economic policies and long-term nature of investments and permit the flow of capital in and out of the forest sector
measures) supports the in response to market signals, non-market economic valuations, and public policy decisions
conservation and sustainable in order to meet long-term demands for forest products and services
management of forests through: 7.3b Non-discriminatory trade policies for forest products
7.4 Capacity to measure and 7.4a Availability and extent of up-to-date data, statistics and other information important to
monitor changes in the measuring or describing indicators associated with Criteria 1-7
conservation and sustainable 7.4b Scope, frequency, and statistical reliability of forest inventories, assessments,
management of forests, including: monitoring, and other relevant information
7.4c Compatibility with other countries in measuring, monitoring, and reporting on indicators
7.5 Capacity to conduct and apply 7.5a Development of scientific understanding of forest ecosystem characteristics and
research and development aimed functions
at improving forest management 7.5b Development of methodologies to measure and integrate environmental and social
and delivery of forest goods and costs and benefits into markets and public policies, and to reflect forest-related resource
services, including: depletion or replenishment in national accounting systems
7.5c New technologies and the capacity to assess the socio-economic consequences
associated with the introduction of new technologies
7.5d Enhancement of ability to predict impacts of human intervention on forests
7.5e Ability to predict impacts on forests of possible climate change
6.5 While many indicators are quantitative in nature, others are qualitative or descriptive. Some indicators can be readily measured
(for example, percent of forest cover). Others may require the collection of new or additional data, the establishment of systematic
sampling or even basic research.
6.6 When indicators are measured periodically over time, they indicate change and trends in conditions relevant to sustainable
forest management, including natural, social, economic, and policy conditions. Monitoring these changes provides information
needed to evaluate a country’s progress toward sustainable forest management. This information is essential to making informed
forest policy decisions.
6.7 Each country or region is different in terms of the quantity, quality, and characteristics of its forests. Countries also differ in
terms of population and land ownership patterns, stages of economic development, governance structures, and expectations of how
forests should contribute to society. These differences affect the capacity of countries to collect data, as well as the data collection
methods employed. While the criteria and indicators facilitate harmonized approaches to forest assessment and reporting among
countries, they also allow for flexibility in application to reflect national circumstances.
NOTE 3—Harmonization of information—collecting data for specific indicators in a common or comparable manner—among countries or regions is key
to meeting the objectives of 1.1.
6.8 As national level assessment tools, the criteria and indicators provide a basis for reporting on all forests in a country, including
public and private forests, tropical forests, and plantation forests. Although they are not performance standards or designed to
D7480 − 21
assess sustainability at the forest management unit level, they provide a framework for developing policies, plans, and inventories
at both national and regional levels and can serve as a model for monitoring and reporting on other natural resources, such as
rangelands, freshwater, and minerals.
6.9 Tables 1 and 2 list the criteria and indicators for the measurement of conservation and sustainable management of temperate
and boreal forests. They relate specifically to forest conditions, attributes, or functions and to the values or benefits associated with
the environmental and socio-economic goods and services that forests provide. The intent or meaning of each criterion is made
clear by its respective indicators. No priority or order is implied in the alphanumeric listing of the criteria and indicators.
7. Criteria and Indicators Used to Assess an Individual Forest Management Program
7.1 Table 3 lists the criteria and indicators for the measurement of conservation and sustainable management of individual forests.
The intent or meaning of each criterion is made clear by its respective indicators. No priority or order is implied in the
alphanumeric listing of the criteria and indicators. Elements of each criteria are also considered to be systems. Indicators are also
considered to be plans or practices common to forest management principles.
7.2 Some users may wish to include forest management program attributes that extend beyond those normally associated directly
with sustainable forest management. Examples of such optional program features include:
7.2.1 Certification/Verification—Documentation of fulfillment of specific criteria and indicators is ultimately the responsibility of
the forest owner or forest product manufacturer. However, some programs provide the additional feature of independent
verification or certification of conformance, or both.
7.2.2 Other Forest Harvesting Restrictions—To address specific forest related issues, some programs impose restrictions related
to species type, tree age, or similar concerns.
7.2.3 Additional considerations related to specific societal concerns (not related to forest sustainability).
8. Keywords
8.1 criterion; forest management plans; forests; indicators; sustainability
D7480 − 21
TABLE 3 Criteria 1–7 for Individual Forests
Criterion Element/System Indicator/Plan/Practice
1. Contribute to the A. Available expertise is sought for assessing biodiversity A. Necessary expertise (consultants, state forestry, natural
conservation of biological considerations at the site and landscape levels heritage program staff, etc.) has been utilized to assess the
diversity of the forest and the biodiversity contribution of the property
landscape in which it resides
B. Rare and endangered species and plant communities are B. The forest’s diversity, uniqueness, and risks (pests, fire,
identified and their protection or enhancement is addressed weather, etc.) have been identified and are a consideration in
management
C. Forest dynamics, major disturbances, and catastrophic C. Forest dynamics, major disturbances, and catastrophic
events are factored into decision making events are factored into biodiversity decision making
2. Maintain or improve A. Timber and non-timber products and habitats are identified A. The productive capacity of the forest has been mapped for
productive capacity for the forest timber and significant non-timber products have been identified
B. Long-term and short-term productive capacities and targets B. Growth, mortality, and harvest rates of the forest types have
are established been determined
C. Targets are sustainable C. Regeneration after harvest is planned and successfully
implemented
D. Appropriate science and technology is used D. Long-term site capacity is maintained
E. Harvest, utilization, and marketing are efficient
F. Loggers and other contractors that have been trained are
used
G. Appropriate expertise is used regarding wildlife
management
H. Habitats, including sites at environmental risk and with
ecological/cultural uniqueness, are identified and a
consideration of management
3. Maintain the health and vigor A. Tree species selection, stocking levels, age-class A. Tree species selection, stocking levels, spacing, age-class
of the forest and its landscape/ distribution, integrated pest management, and fuel loadings are distribution, regeneration methods, insect and disease
watershed addressed with the objective of reducing the risk insect and outbreaks, fuel loads, and wildfires are managed to reduce risk
disease outbreaks and unwanted wildfire and promoting long- and insure long-term forest vigor
term forest vigor
B. Cooperation regarding forest risk assessments, monitoring, B. Fuel loads, insect and disease populations, and overall
prevention, and incident response is encouraged forest vigor are addressed
C. Chemicals are used appropriately and safely within the C. Approaches to monitoring, prevention, and incident
manufacturer’s recommendations response are in place and include cooperation with local, state,
and federal agencies and neighboring landowners as
appropriate
D. Grazing is managed to prevent negative impacts D. Grazing is managed to prevent negative impacts
E. Introduction and spread of invasive non-native flora and
fauna is addressed
4. Protect soil and water A.
...








Questions, Comments and Discussion
Ask us and Technical Secretary will try to provide an answer. You can facilitate discussion about the standard in here.
Loading comments...