ASTM D8014-17
(Guide)Standard Guide for Selection of Membranes Used in Vegetative Roofing Systems
Standard Guide for Selection of Membranes Used in Vegetative Roofing Systems
SIGNIFICANCE AND USE
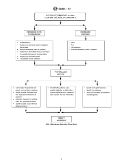
4.1 This guide provides the general information, procedures, and guidelines for the selection of the waterproofing membrane to create a waterproofing system for a Vegetative (Green) roof.
4.2 This guide is not all inclusive; this guide is intended to supplement detailed instructions from manufacturers, ASTM Standards, and building code requirements.
SCOPE
1.1 The purpose of this guide is to provide guidance in the selection of a suitable waterproofing membrane within a vegetative roof system. The guide offers various options for reviewing the membrane installation during and upon completion of the installation and prior to the vegetative components being installed. This guide applies to membranes that do or do not require UV protection. For the purpose of this guide, the supporting structure and roof deck are assumed to be mechanically and structurally sound and will accept the weight of the vegetative roof system including the membrane, insulation, and other roofing/waterproofing components including all components related to the vegetative layers as well as the required design loads. Slope to drain at the membrane level is preferred and should be included where possible. Providing a replacement or a re-cover vegetative roofing system on an existing building may require that the support structure be reinforced so that it can safely support the additional weight of the vegetative roof system and also provide the minimum live load capacity required by the building code.
1.2 Design criteria associated with the vegetative portions of the system are beyond the scope of this guide. Please refer to Guide E2777.
1.3 This standard does not purport to address all of the safety concerns, if any, associated with its use. It is the responsibility of the user of this standard to establish appropriate safety and health practices and determine the applicability of regulatory limitations prior to use.
1.4 This international standard was developed in accordance with internationally recognized principles on standardization established in the Decision on Principles for the Development of International Standards, Guides and Recommendations issued by the World Trade Organization Technical Barriers to Trade (TBT) Committee.
General Information
- Status
- Published
- Publication Date
- 14-Jul-2017
- Technical Committee
- D08 - Roofing and Waterproofing
- Drafting Committee
- D08.24 - Sustainability
Relations
- Effective Date
- 15-Jan-2024
- Effective Date
- 01-May-2020
- Effective Date
- 01-Feb-2020
- Effective Date
- 15-Dec-2018
- Effective Date
- 15-Dec-2018
- Effective Date
- 01-Feb-2016
- Effective Date
- 01-May-2014
- Effective Date
- 01-Mar-2013
- Effective Date
- 01-Mar-2013
- Effective Date
- 01-Sep-2010
- Effective Date
- 01-Jul-2009
- Effective Date
- 01-Feb-2008
- Effective Date
- 01-Jan-2008
- Effective Date
- 01-Jun-2007
- Effective Date
- 15-Jan-2007
Overview
ASTM D8014-17 – Standard Guide for Selection of Membranes Used in Vegetative Roofing Systems provides comprehensive guidance for selecting waterproofing membranes in green (vegetative) roofing applications. Published by ASTM International, this standard supports the evaluation and installation of waterproofing membranes that ensure long-term roof performance, protect structures, and promote sustainable roofing practices. The guide supplements requirements set forth by manufacturers, other ASTM standards, and local building codes for vegetative roof systems.
Key Topics
Membrane Selection Criteria:
The standard outlines procedures and considerations when selecting a waterproofing membrane, accounting for factors such as membrane material, thickness, securement methods, and exposure requirements (e.g., UV resistance).Installation Assessment:
Recommendations are provided for reviewing membrane installation during and after laying, and before applying vegetative layers. This includes inspections by trained monitors or roofing professionals.System Types:
The document covers new construction, total and partial roof replacement, and re-cover systems, emphasizing the importance of verifying structural adequacy for supporting green roofs and associated loads.Securement Methods:
Offers guidance on different methods including:- Adhered (using adhesives or self-adhesive membranes)
- Loose laid (relying on the weight of vegetative components for wind uplift resistance)
- Protected membrane assembly (placing insulation above the membrane)
- Mechanically attached membranes (using fasteners, battens, or bars)
Performance Properties:
Details requirements such as root resistance, hydrostatic pressure resistance, durability against moisture and chemicals, and compatibility with drainage provisions.Quality Assurance:
Advocate for regular inspections and leak detection testing (flood testing and electronic leak detection) prior to covering waterproofing membranes with soil and plant material.
Applications
New and Retrofit Green Roof Projects:
Builders, designers, and contractors use this standard to select appropriate waterproofing membranes for both newly constructed and existing buildings undergoing vegetative roof installation or replacement.System Evaluation:
Facility managers and consultants rely on these guidelines to evaluate current roofing conditions and determine suitability for vegetative roof conversions or upgrades.Compliance:
Helps stakeholders ensure that green roofing membranes meet industry best practices, local building code requirements, and sustainability objectives.Performance Assurance:
By following ASTM D8014-17, users ensure that installed waterproofing membranes will withstand root penetration, constant moisture, and exposure to fertilizers, pesticides, and other chemicals commonly used in green roofing systems.
Related Standards
For comprehensive specification and testing, ASTM D8014-17 references several related standards and guides, including:
- ASTM D1079 – Terminology Relating to Roofing and Waterproofing
- ASTM D5957 – Guide for Flood Testing Horizontal Waterproofing Installations
- ASTM D7877 – Guide for Electronic Methods for Detecting and Locating Leaks in Waterproof Membranes
- ASTM E2777 – Guide for Vegetative (Green) Roof Systems
- ANSI/SPRI VR-1 – Procedure for Investigating Resistance to Root Penetration on Vegetative Roofs
- FLL Guidelines – For Planning, Construction, and Maintenance of Green Roofing
Conclusion
ASTM D8014-17 is a crucial resource for professionals involved in vegetative roofing system design, specification, and quality assurance. This standard ensures the selection and evaluation of high-performance waterproofing membranes that meet the unique demands of green roofs, including moisture exposure, plant root resistance, and durability. Adhering to this guidance helps promote sustainable building practices, extend the life of roofing systems, and reduce the risk of leaks or structural failures in vegetative roofing applications.
Keywords: ASTM D8014-17, vegetative roofing systems, green roof membrane selection, waterproofing membrane, root resistance, UV resistance, roof quality assurance, sustainable roofing standards.
Buy Documents
ASTM D8014-17 - Standard Guide for Selection of Membranes Used in Vegetative Roofing Systems
Get Certified
Connect with accredited certification bodies for this standard

ICC Evaluation Service
Building products evaluation and certification.

QAI Laboratories
Building and construction product testing and certification.

Aboma Certification B.V.
Specialized in construction, metal, and transport sectors.
Sponsored listings
Frequently Asked Questions
ASTM D8014-17 is a guide published by ASTM International. Its full title is "Standard Guide for Selection of Membranes Used in Vegetative Roofing Systems". This standard covers: SIGNIFICANCE AND USE 4.1 This guide provides the general information, procedures, and guidelines for the selection of the waterproofing membrane to create a waterproofing system for a Vegetative (Green) roof. 4.2 This guide is not all inclusive; this guide is intended to supplement detailed instructions from manufacturers, ASTM Standards, and building code requirements. SCOPE 1.1 The purpose of this guide is to provide guidance in the selection of a suitable waterproofing membrane within a vegetative roof system. The guide offers various options for reviewing the membrane installation during and upon completion of the installation and prior to the vegetative components being installed. This guide applies to membranes that do or do not require UV protection. For the purpose of this guide, the supporting structure and roof deck are assumed to be mechanically and structurally sound and will accept the weight of the vegetative roof system including the membrane, insulation, and other roofing/waterproofing components including all components related to the vegetative layers as well as the required design loads. Slope to drain at the membrane level is preferred and should be included where possible. Providing a replacement or a re-cover vegetative roofing system on an existing building may require that the support structure be reinforced so that it can safely support the additional weight of the vegetative roof system and also provide the minimum live load capacity required by the building code. 1.2 Design criteria associated with the vegetative portions of the system are beyond the scope of this guide. Please refer to Guide E2777. 1.3 This standard does not purport to address all of the safety concerns, if any, associated with its use. It is the responsibility of the user of this standard to establish appropriate safety and health practices and determine the applicability of regulatory limitations prior to use. 1.4 This international standard was developed in accordance with internationally recognized principles on standardization established in the Decision on Principles for the Development of International Standards, Guides and Recommendations issued by the World Trade Organization Technical Barriers to Trade (TBT) Committee.
SIGNIFICANCE AND USE 4.1 This guide provides the general information, procedures, and guidelines for the selection of the waterproofing membrane to create a waterproofing system for a Vegetative (Green) roof. 4.2 This guide is not all inclusive; this guide is intended to supplement detailed instructions from manufacturers, ASTM Standards, and building code requirements. SCOPE 1.1 The purpose of this guide is to provide guidance in the selection of a suitable waterproofing membrane within a vegetative roof system. The guide offers various options for reviewing the membrane installation during and upon completion of the installation and prior to the vegetative components being installed. This guide applies to membranes that do or do not require UV protection. For the purpose of this guide, the supporting structure and roof deck are assumed to be mechanically and structurally sound and will accept the weight of the vegetative roof system including the membrane, insulation, and other roofing/waterproofing components including all components related to the vegetative layers as well as the required design loads. Slope to drain at the membrane level is preferred and should be included where possible. Providing a replacement or a re-cover vegetative roofing system on an existing building may require that the support structure be reinforced so that it can safely support the additional weight of the vegetative roof system and also provide the minimum live load capacity required by the building code. 1.2 Design criteria associated with the vegetative portions of the system are beyond the scope of this guide. Please refer to Guide E2777. 1.3 This standard does not purport to address all of the safety concerns, if any, associated with its use. It is the responsibility of the user of this standard to establish appropriate safety and health practices and determine the applicability of regulatory limitations prior to use. 1.4 This international standard was developed in accordance with internationally recognized principles on standardization established in the Decision on Principles for the Development of International Standards, Guides and Recommendations issued by the World Trade Organization Technical Barriers to Trade (TBT) Committee.
ASTM D8014-17 is classified under the following ICS (International Classification for Standards) categories: 91.060.20 - Roofs. The ICS classification helps identify the subject area and facilitates finding related standards.
ASTM D8014-17 has the following relationships with other standards: It is inter standard links to ASTM D7877-24, ASTM D1079-20, ASTM E2777-20, ASTM D1079-18, ASTM D1079-18e1, ASTM D1079-16, ASTM E2777-14, ASTM D1079-13, ASTM D1079-13e1, ASTM D1079-10, ASTM D1079-09, ASTM D1079-08a, ASTM D1079-08, ASTM D1079-07a, ASTM D1079-07. Understanding these relationships helps ensure you are using the most current and applicable version of the standard.
ASTM D8014-17 is available in PDF format for immediate download after purchase. The document can be added to your cart and obtained through the secure checkout process. Digital delivery ensures instant access to the complete standard document.
Standards Content (Sample)
This international standard was developed in accordance with internationally recognized principles on standardization established in the Decision on Principles for the
Development of International Standards, Guides and Recommendations issued by the World Trade Organization Technical Barriers to Trade (TBT) Committee.
Designation:D8014 −17
Standard Guide for
Selection of Membranes Used in Vegetative Roofing
Systems
This standard is issued under the fixed designation D8014; the number immediately following the designation indicates the year of
original adoption or, in the case of revision, the year of last revision. A number in parentheses indicates the year of last reapproval. A
superscript epsilon (´) indicates an editorial change since the last revision or reapproval.
1. Scope 2. Referenced Documents
2.1 ASTM Standards:
1.1 The purpose of this guide is to provide guidance in the
D1079 Terminology Relating to Roofing and Waterproofing
selection of a suitable waterproofing membrane within a
D5957 Guide for Flood Testing Horizontal Waterproofing
vegetative roof system. The guide offers various options for
Installations
reviewing the membrane installation during and upon comple-
D7877 Guide for Electronic Methods for Detecting and
tion of the installation and prior to the vegetative components
Locating Leaks in Waterproof Membranes
being installed. This guide applies to membranes that do or do
E2777 Guide for Vegetative (Green) Roof Systems
not require UV protection. For the purpose of this guide, the
2.2 ANSI/SPRI Standards:
supporting structure and roof deck are assumed to be mechani-
ANSI/SPRI VR-1 Procedure for Investigating Resistance to
cally and structurally sound and will accept the weight of the
Root Penetration on Vegetative Roofs
vegetativeroofsystemincludingthemembrane,insulation,and
2.3 Other Standards and Documents:
other roofing/waterproofing components including all compo-
FLL Guidelines for the Planning, Construction and Mainte-
nents related to the vegetative layers as well as the required
nance of Green Roofing – Green Roofing Guideline Sec-
design loads. Slope to drain at the membrane level is preferred
tion 6.3 Protection Against Damage to the Waterproofing
and should be included where possible. Providing a replace-
/ Root-resistant Membranes FLLProcedure for Investigat-
ment or a re-cover vegetative roofing system on an existing
ing Resistance to Root Penetration of Roof Membranes
building may require that the support structure be reinforced so
and Protective Layers for Green Roofing
thatitcansafelysupporttheadditionalweightofthevegetative
roof system and also provide the minimum live load capacity
3. Terminology
required by the building code.
3.1 Definitions—For definitions of terms used in this guide,
1.2 Design criteria associated with the vegetative portions see Terminology D1079.
of the system are beyond the scope of this guide. Please refer
4. Significance and Use
to Guide E2777.
4.1 This guide provides the general information,
1.3 This standard does not purport to address all of the
procedures, and guidelines for the selection of the waterproof-
safety concerns, if any, associated with its use. It is the
ing membrane to create a waterproofing system for a Vegeta-
responsibility of the user of this standard to establish appro-
tive (Green) roof.
priate safety and health practices and determine the applica-
4.2 This guide is not all inclusive; this guide is intended to
bility of regulatory limitations prior to use.
supplement detailed instructions from manufacturers, ASTM
1.4 This international standard was developed in accor-
Standards, and building code requirements.
dance with internationally recognized principles on standard-
ization established in the Decision on Principles for the
5. Roof Design Classifications
Development of International Standards, Guides and Recom-
5.1 Types of Constructions or Applications:
mendations issued by the World Trade Organization Technical
Barriers to Trade (TBT) Committee.
For referenced ASTM standards, visit the ASTM website, www.astm.org, or
contact ASTM Customer Service at service@astm.org. For Annual Book of ASTM
Standards volume information, refer to the standard’s Document Summary page on
This guide is under the jurisdiction of ASTM Committee D08 on Roofing and the ASTM website.
Waterproofing and is the direct responsibility of Subcommittee D08.24 on Sustain- Available from American National Standards Institute (ANSI), 25 W. 43rd St.,
ability. 4th Floor, New York, NY 10036, http://www.ansi.org.
Current edition approved July 15, 2017. Published August 2017. DOI: 10.1520/ Available from Forschungsgesellschaft Landschaftsentwicklung Landschafts-
D8014-17. bau e.V. (FLL), Friedensplatz 4, 53111 Bonn, Germany, www.fll.de.
Copyright © ASTM International, 100 Barr Harbor Drive, PO Box C700, West Conshohocken, PA 19428-2959. United States
D8014−17
5.1.1 New—A vegetative roof can be integrated with the membranes. Waterproofing membranes used in vegetative
other building elements during construction. All new compo- roofing systems should be capable of withstanding hydrostatic
nents are used to construct the roofing/waterproofing system. pressure as well as resisting absorption of water, water vapor
Performanceandservicerequirementsofthevegetatedroofare diffusion, deterioration from contact with damp materials or
addressed in the building design. moisture for long periods of time.
5.1.1.1 Replacement (Total)—Removal of existing roof sys-
NOTE 1—If a loose laid waterproofing membrane utilizes an integrally
tem and all roof system components (roof membrane, cover
bondedreactivelayertotheundersideofthewaterproofingmembrane,the
board, insulation, vapor retarder, support panels, etc.) down to
reactive material layer may be excluded from this absorption property.
the supporting deck and replacing with new vegetative roof
6.4 The vegetative waterproofing membrane should be pro-
system and vegetative roof system components. Total replace-
tected from root penetration at any point including into
ment allows for an evaluation of the roof deck and structure to
membrane laps and seams. Some waterproofing membranes
determine if additional repairs, structural enhancements, or
systems have the ability to block root penetration, while other
replacement are needed to accommodate the new vegetative
waterproofing membranes will require an additional sheet to
roof system.
provide protection from root penetration. Any waterproofing
5.1.1.2 Replacement (Partial)—Removal of existing roof
membrane employed as a root barrier should comply with FLL
membrane system. Existing roof system components below the
orANSI/SPRI VR-1 requirements for acceptable root
...




Questions, Comments and Discussion
Ask us and Technical Secretary will try to provide an answer. You can facilitate discussion about the standard in here.
Loading comments...