ASTM D3016-97(2018)
(Practice)Standard Practice for Use of Liquid Exclusion Chromatography Terms and Relationships
Standard Practice for Use of Liquid Exclusion Chromatography Terms and Relationships
ABSTRACT
This practice covers the definitions of terms, symbols, and relationships most often used in liquid exclusion chromatography. Wherever possible, these terms and symbols are consistent with those used in other chromatographic techniques.
SCOPE
1.1 This practice covers the definitions of terms and symbols most often used in liquid exclusion chromatography. Wherever possible, these terms and symbols are consistent with those used in other chromatographic techniques.4 As additional terms and relationships are developed, they will be incorporated.
Note 1: There is no known ISO equivalent to this standard.
1.2 This international standard was developed in accordance with internationally recognized principles on standardization established in the Decision on Principles for the Development of International Standards, Guides and Recommendations issued by the World Trade Organization Technical Barriers to Trade (TBT) Committee.
General Information
Relations
Standards Content (Sample)
This international standard was developed in accordance with internationally recognized principles on standardization established in the Decision on Principles for the
Development of International Standards, Guides and Recommendations issued by the World Trade Organization Technical Barriers to Trade (TBT) Committee.
Designation: D3016 − 97 (Reapproved 2018)
Standard Practice for
Use of Liquid Exclusion Chromatography Terms and
Relationships
This standard is issued under the fixed designation D3016; the number immediately following the designation indicates the year of
original adoption or, in the case of revision, the year of last revision. A number in parentheses indicates the year of last reapproval. A
superscript epsilon (´) indicates an editorial change since the last revision or reapproval.
INTRODUCTION
Liquid exclusion chromatography (LEC) began as “gel filtration chromatography” which is
2 3
attributed to Porath and Flodin. With the invention of new column packings by Moore for
organic-phaseworkanewformofLECdevelopedwhichcommonlybecameknownasgelpermeation
chromatography or GPC. Liquid exclusion chromatography is a form of liquid chromatography (some
other forms being partition, ion-exchange, and adsorption) and as such is the preferred name for the
technique; however, the reader must be aware that other names are common in the literature, the most
prevalent being those cited above. LEC differs from all other chromatographic techniques in that only
the exclusion mechanism may be operative if meaningful data are to result. Most other chromato-
graphic mechanisms operate in essentially the opposite way, that is, with small molecules exiting first.
Any combination of mechanisms causes confusion and is misleading.
Liquidexclusionchromatographyasusedfortheanalysisofpolymershasgrownandmaturedsince
the first issuance of this practice in 1972. Therefore, some infrequently used or “outdated” terms have
beendeletedandsomemodernpractices(orterms)havebeenincluded.Moderndevelopmentsinclude
the use of constant-volume pumps, use of “microparticle” column packings and much smaller
columns, and automated data-handling procedures. In addition, SI units as recommended in ASTM
Standard IEEE/ASTM SI 10 for Metric Practice are now used.
1. Scope 2. Referenced Documents
1.1 This practice covers the definitions of terms and sym- 2.1 ASTM Standards:
IEEE/ASTM SI 10 Standard for Use of the International
bols most often used in liquid exclusion chromatography.
Wherever possible, these terms and symbols are consistent System of Units (SI): The Modern Metric System
with those used in other chromatographic techniques. As
3. Apparatus Definitions
additional terms and relationships are developed, they will be
incorporated. 3.1 absolute detectors—devices that sense and measure the
absolute concentration or other physical property of solute
NOTE 1—There is no known ISO equivalent to this standard.
components contained in the eluate.
1.2 This international standard was developed in accor-
3.2 by-pass or loop injector—the injector most common in
dance with internationally recognized principles on standard-
liquid exclusion chromatography and which utilizes a sample
ization established in the Decision on Principles for the
chamber that can be filled with sample while it is temporarily
Development of International Standards, Guides and Recom-
external to the flowing liquid stream. It can be manipulated by
mendations issued by the World Trade Organization Technical
means of a valving device to sweep the sample with eluent into
Barriers to Trade (TBT) Committee.
the column.
3.3 collection devices—devices used to collect discrete por-
tions of an eluate according to a preset cycle (for example,
This practice is under the jurisdiction ofASTM Committee D20 on Plastics and
times, volume, etc.).
is the direct responsibility of Subcommittee D20.70 on Analytical Methods.
Current edition approved Nov. 1, 2018. Published November 2018. Originally
approved in 1972. Last previous edition approved in 2010 as D3016 – 97(2010).
DOI: 10.1520/D3016-97R18. For referenced ASTM standards, visit the ASTM website, www.astm.org, or
Porath, J., and Flodin, P., Nature, NTRWA, Vol 183, 1959, p. 1657. contact ASTM Customer Service at service@astm.org. For Annual Book of ASTM
Moore, J. C., Journal of Polymer Science, JPYAA, PartA, Vol 2, 1964, p. 835. Standards volume information, refer to the standard’s Document Summary page on
Journal of Gas Chromatography, JCHSB, Vol 66, 1968. the ASTM website.
Copyright © ASTM International, 100 Barr Harbor Drive, PO Box C700, West Conshohocken, PA 19428-2959. United States
D3016 − 97 (2018)
3.4 column end-fittings—devices that prevent the column This expression includes all contributions to peak broaden-
packingfrompassingthroughthembutwhicharepermeableto ing.
the eluent (solvent or solution).
5.3 Precision and accuracy are used according to their
3.5 columns—tubes that contain the column packing.
accepted definitions. Precision is inherent to the system. Both
precision and accuracy are dependent on the method of
3.6 detectors—devices that sense and measure the concen-
calibration and treatment of the data as well as on the resolving
tration or other physical property of solute components in the
power of the columns. The accuracy must be determined by
solution (eluate) passing through.
comparison with other methods. For example, the molecular-
3.7 differential detectors—devices that sense and measure
weight distribution can be compared with that obtained from
the difference in a physical or chemical property between a
equilibrium ultracentrifugation. More commonly the weight-
solution (solvent containing solute components) and a refer-
and number-average molecular weights computed from the
ence liquid (for example, solvent alone).
LEC (GPC) trace are compared with those measured by light
3.8 direct injector—a device for introducing a sample from
scattering, (both static and on-line), osmometry, and on-line
a source external to the column directly onto the column (for
viscometry.
example, septum-syringe injector).
6. Readout Definitions
3.9 pump—any device that causes mobile phase to flow
through the columns.
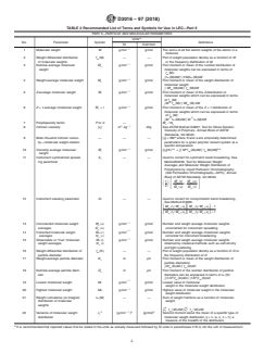
6.1 chromatogram—a plot of detector response against
3.10 sample inlet system—a means of introducing samples volume of eluate emerging from the system. An idealized
onto the column.
chromatogram obtained with a detector providing differential
response is shown in Fig. 1.
4. Reagent Definitions
6.2 The definitions that follow apply to chromatograms
4.1 column packing—the stationary phase which consists of obtained directly by means of differential detectors:
microporous material and the stationary liquid phase contained
6.2.1 baseline—the portion of the chromatogram recording
in the pores. the detector response when only eluent emerges from the
column.
4.2 eluate—the liquid emerging from the column.
6.2.2 half width, GH—theretentionvolumeintervalofaline
4.3 eluent—the mobile phase or solvent used to sweep or
parallel to the peak base, bisecting the peak height, and
elute the sample (solute) components into, through, and out of
terminating at the sides of the peak.
the column. Its composition is the same as the stationary liquid
6.2.3 peak—the portion of the chromatogram recording the
phase.
detector response while a single component or a single
4.4 solutes—dissolved substances that, in LEC, are caused
distribution (two or more sample components that emerge
to pass through the column and to influence the detector together as a single peak) is eluted from the column.
response. 6.2.4 peak area, BGDHCAB—theareaenclosedbetweenthe
peak and the peak base.
5. Performance in Terms of Resolution, Column 6.2.5 peak base, BC—an interpolation of the baseline be-
Efficiency, and Precision
tween extremities of the peak.
6.2.6 peak height, AD—the dimension from the peak maxi-
5.1 Resolution is the resultant of two effects, the separating
mum to the base measured in the direction of detector
power of the column packing and the efficiency or peak
response.
broadening. The separating power of the column packing is
6.2.7 peak width, EF—the retention volume interval of the
dependent on pore size and pore volume. Peak broadening
segment of peak base intercepted by tangents to the inflection
depends on the nature of the column packings, on how well the
points on either side of the peak.
columns are packed, and on instrumental components external
to the columns. The equations used in LEC (GPC) are similar
to those used in other chromatographic techniques. Reference
may be made to any standard chromatography text. Resolution
for any two samples is defined by the following equation:
R 5 2 V 2 V / W 1W (1)
~ !
@~ !
1,2 R R 1 2
1 2
wheresubscripts1and2refertosamples1and2.(Seetables
for symbols used in this equation.) For complete separation,
R must be 1.25 or greater.
1,2
5.2 Column efficiency is a measure of peak spreading or the
rate of generation of variance with column length. For a
monodisperse material, efficiency is the number of theoretical
plates, N, for the entire system defined as follows: (See tables
for symbols used in this equation.)
N 5 16 V /W orσ 5 N/V (2) FIG. 1 Typical Chromatogram
~ !
R R
D3016 − 97 (2018)
7. Volume Parameters 8. Presentation of Data
7.1 Volume parameters expected to be involved in LEC are
8.1 Calibration procedures and data should be included in
listed in the glossary of terms found in Tables 1 and 2. These
all LEC publications as follows:
terms are intended for use where the primary mechanism of
8.1.1 Number, length, inner diameter, exclusion limit, and
separation depends on the size of the solute molecules. The
theoretical plate numbers of the columns.
hydrodynamic volume of polymers usually may be related to
8.1.2 Type of column packing, solvent, temperature, solute
V independentofmolecularwei
...








Questions, Comments and Discussion
Ask us and Technical Secretary will try to provide an answer. You can facilitate discussion about the standard in here.