ISO 11929-4:2020
(Main)Determination of the characteristic limits (decision threshold, detection limit and limits of the coverage interval) for measurements of ionizing radiation — Fundamentals and application — Part 4: Guidelines to applications
Determination of the characteristic limits (decision threshold, detection limit and limits of the coverage interval) for measurements of ionizing radiation — Fundamentals and application — Part 4: Guidelines to applications
This document specifies a procedure, in the field of ionizing radiation metrology, for the calculation of the "decision threshold", the "detection limit" and the "limits of the coverage interval" for a non‑negative ionizing radiation measurand when counting measurements with preselection of time or counts are carried out. The measurand results from a gross count rate and a background count rate as well as from further quantities on the basis of a model of the evaluation. In particular, the measurand can be the net count rate as the difference of the gross count rate and the background count rate, or the net activity of a sample. It can also be influenced by calibration of the measuring system, by sample treatment and by other factors. ISO 11929 has been divided into four parts covering elementary applications in ISO 11929-1, advanced applications on the basis of the ISO/IEC Guide 98-3:2008/Suppl.1 in ISO 11929-2, applications to unfolding methods in ISO 11929-3, and guidance to the application in ISO 11929-4. ISO 11929-1 covers basic applications of counting measurements frequently used in the field of ionizing radiation metrology. It is restricted to applications for which the uncertainties can be evaluated on the basis of the ISO/IEC Guide 98-3 (JCGM 2008). In ISO 11929-1:2019, Annex A the special case of repeated counting measurements with random influences and in ISO 11929-1:2019, Annex B, measurements with linear analogous ratemeters are covered. ISO 11929-2 extends ISO 11929-1 to the evaluation of measurement uncertainties according to the ISO/IEC Guide 98-3:2008/Suppl.1. ISO 11929-2 also presents some explanatory notes regarding general aspects of counting measurements and Bayesian statistics in measurements. ISO 11929-3 deals with the evaluation of measurements using unfolding methods and counting spectrometric multi-channel measurements if evaluated by unfolding methods, in particular, alpha- and gamma-spectrometric measurements. Further, it provides some advice how to deal with correlations and covariances. ISO 11929-4 gives guidance to the application of ISO 11929 (all parts), summarizing shortly the general procedure and then presenting a wide range of numerical examples. The examples cover elementary applications according to ISO 11929-1 and ISO 11929-2. The ISO 11929 (all parts) also applies analogously to other measurements of any kind if a similar model of the evaluation is involved. Further practical examples can be found in other International Standards, for example, see References [1 to 20].
Détermination des limites caractéristiques (seuil de décision, limite de détection et limites de l'intervalle élargi) pour le mesurage des rayonnements ionisants — Principes fondamentaux et applications — Partie 4: Lignes directrices relatives aux applications
Le présent document spécifie une procédure applicable, dans le domaine de la métrologie des rayonnements ionisants, pour le calcul du «seuil de décision», de la «limite de détection» et des «limites de l'intervalle élargi» pour un mesurande de rayonnement ionisant non négatif, lorsque des mesurages par comptage sont effectués avec une présélection du temps ou du nombre d'impulsions. Le mesurande résulte d'un taux de comptage brut et d'un taux de comptage du bruit de fond ainsi que de grandeurs supplémentaires reposant sur un modèle d'évaluation. En particulier, le mesurande peut être le taux de comptage net défini comme étant la différence du taux de comptage brut et du taux de comptage du bruit de fond, ou l'activité nette d'un échantillon. Il peut également être influencé par l'étalonnage du système de mesure, par le traitement de l'échantillon et par d'autres facteurs. L'ISO 11929 a été scindée en quatre parties couvrant les applications élémentaires dans l'ISO 11929-1, les applications avancées reposant sur le Guide ISO/IEC 98-3:2008/Suppl.1 dans l'ISO 11929-2, les applications aux méthodes de déconvolution dans l'ISO 11929-3, et les recommandations d'application dans l'ISO 11929-4. L'ISO 11929-1 couvre les applications de base des mesurages par comptage souvent utilisés dans le domaine de la métrologie des rayonnements ionisants. Elle se limite aux applications pour lesquelles on peut évaluer les incertitudes sur la base du Guide ISO/IEC 98-3 (JCGM 2008). L'ISO 11929-1:2019, Annexe A traite du cas particulier des mesurages répétés par comptage avec des influences aléatoires, alors que l'ISO 11929-1:2019, Annexe B couvre les mesurages avec des ictomètres analogiques linéaires. L'ISO 11929-2 étend l'ISO 11929-1 à l'évaluation des incertitudes de mesure conformément au Guide ISO/IEC 98-3:2008/Suppl.1. L'ISO 11929-2 contient également plusieurs notes explicatives concernant les aspects généraux des mesurages par comptage et les statistiques bayésiennes dans les mesurages. L'ISO 11929-3 traite de l'évaluation des mesurages en utilisant des méthodes de déconvolution ainsi que de l'évaluation des mesurages multicanaux spectrométriques par comptage en cas d'évaluation par des méthodes de déconvolution, en particulier pour les mesurages spectrométriques alpha et gamma. Elle fournit en outre des conseils pour le traitement avec des corrélations et des covariances. L'ISO 11929-4 fournit des recommandations pour l'application de l'ISO 11929 (toutes les parties), résume les grandes lignes de la procédure générale et présente ensuite un large éventail d'exemples numériques. Les exemples couvrent les applications élémentaires selon l'ISO 11929-1 et l'ISO 11929-2. L'ISO 11929 (toutes les parties) s'applique également de manière analogue à d'autres mesurages de tout type si un modèle d'évaluation similaire est concerné. D'autres exemples pratiques sont fournis dans d'autres Normes internationales (voir les références [1 à 20] par exemple).
General Information
- Status
- Withdrawn
- Publication Date
- 14-Sep-2020
- Technical Committee
- ISO/TC 85/SC 2 - Radiological protection
- Drafting Committee
- ISO/TC 85/SC 2/WG 17 - Radioactivity measurements
- Current Stage
- 9599 - Withdrawal of International Standard
- Start Date
- 18-Jul-2022
- Completion Date
- 14-Feb-2026
Relations
- Effective Date
- 06-Jun-2022
- Effective Date
- 14-Oct-2020
Buy Documents
ISO 11929-4:2020 - Determination of the characteristic limits (decision threshold, detection limit and limits of the coverage interval) for measurements of ionizing radiation — Fundamentals and application — Part 4: Guidelines to applications Released:9/15/2020
ISO 11929-4:2020 - Determination of the characteristic limits (decision threshold, detection limit and limits of the coverage interval) for measurements of ionizing radiation -- Fundamentals and application
ISO 11929-4:2020 - Détermination des limites caractéristiques (seuil de décision, limite de détection et limites de l'intervalle élargi) pour le mesurage des rayonnements ionisants — Principes fondamentaux et applications — Partie 4: Lignes directrices relatives aux applications Released:9/15/2020
ISO 11929-4:2020 - Détermination des limites caractéristiques (seuil de décision, limite de détection et limites de l'intervalle élargi) pour le mesurage des rayonnements ionisants -- Principes fondamentaux et applications
Get Certified
Connect with accredited certification bodies for this standard
BSMI (Bureau of Standards, Metrology and Inspection)
Taiwan's standards and inspection authority.
Sponsored listings
Frequently Asked Questions
ISO 11929-4:2020 is a standard published by the International Organization for Standardization (ISO). Its full title is "Determination of the characteristic limits (decision threshold, detection limit and limits of the coverage interval) for measurements of ionizing radiation — Fundamentals and application — Part 4: Guidelines to applications". This standard covers: This document specifies a procedure, in the field of ionizing radiation metrology, for the calculation of the "decision threshold", the "detection limit" and the "limits of the coverage interval" for a non‑negative ionizing radiation measurand when counting measurements with preselection of time or counts are carried out. The measurand results from a gross count rate and a background count rate as well as from further quantities on the basis of a model of the evaluation. In particular, the measurand can be the net count rate as the difference of the gross count rate and the background count rate, or the net activity of a sample. It can also be influenced by calibration of the measuring system, by sample treatment and by other factors. ISO 11929 has been divided into four parts covering elementary applications in ISO 11929-1, advanced applications on the basis of the ISO/IEC Guide 98-3:2008/Suppl.1 in ISO 11929-2, applications to unfolding methods in ISO 11929-3, and guidance to the application in ISO 11929-4. ISO 11929-1 covers basic applications of counting measurements frequently used in the field of ionizing radiation metrology. It is restricted to applications for which the uncertainties can be evaluated on the basis of the ISO/IEC Guide 98-3 (JCGM 2008). In ISO 11929-1:2019, Annex A the special case of repeated counting measurements with random influences and in ISO 11929-1:2019, Annex B, measurements with linear analogous ratemeters are covered. ISO 11929-2 extends ISO 11929-1 to the evaluation of measurement uncertainties according to the ISO/IEC Guide 98-3:2008/Suppl.1. ISO 11929-2 also presents some explanatory notes regarding general aspects of counting measurements and Bayesian statistics in measurements. ISO 11929-3 deals with the evaluation of measurements using unfolding methods and counting spectrometric multi-channel measurements if evaluated by unfolding methods, in particular, alpha- and gamma-spectrometric measurements. Further, it provides some advice how to deal with correlations and covariances. ISO 11929-4 gives guidance to the application of ISO 11929 (all parts), summarizing shortly the general procedure and then presenting a wide range of numerical examples. The examples cover elementary applications according to ISO 11929-1 and ISO 11929-2. The ISO 11929 (all parts) also applies analogously to other measurements of any kind if a similar model of the evaluation is involved. Further practical examples can be found in other International Standards, for example, see References [1 to 20].
This document specifies a procedure, in the field of ionizing radiation metrology, for the calculation of the "decision threshold", the "detection limit" and the "limits of the coverage interval" for a non‑negative ionizing radiation measurand when counting measurements with preselection of time or counts are carried out. The measurand results from a gross count rate and a background count rate as well as from further quantities on the basis of a model of the evaluation. In particular, the measurand can be the net count rate as the difference of the gross count rate and the background count rate, or the net activity of a sample. It can also be influenced by calibration of the measuring system, by sample treatment and by other factors. ISO 11929 has been divided into four parts covering elementary applications in ISO 11929-1, advanced applications on the basis of the ISO/IEC Guide 98-3:2008/Suppl.1 in ISO 11929-2, applications to unfolding methods in ISO 11929-3, and guidance to the application in ISO 11929-4. ISO 11929-1 covers basic applications of counting measurements frequently used in the field of ionizing radiation metrology. It is restricted to applications for which the uncertainties can be evaluated on the basis of the ISO/IEC Guide 98-3 (JCGM 2008). In ISO 11929-1:2019, Annex A the special case of repeated counting measurements with random influences and in ISO 11929-1:2019, Annex B, measurements with linear analogous ratemeters are covered. ISO 11929-2 extends ISO 11929-1 to the evaluation of measurement uncertainties according to the ISO/IEC Guide 98-3:2008/Suppl.1. ISO 11929-2 also presents some explanatory notes regarding general aspects of counting measurements and Bayesian statistics in measurements. ISO 11929-3 deals with the evaluation of measurements using unfolding methods and counting spectrometric multi-channel measurements if evaluated by unfolding methods, in particular, alpha- and gamma-spectrometric measurements. Further, it provides some advice how to deal with correlations and covariances. ISO 11929-4 gives guidance to the application of ISO 11929 (all parts), summarizing shortly the general procedure and then presenting a wide range of numerical examples. The examples cover elementary applications according to ISO 11929-1 and ISO 11929-2. The ISO 11929 (all parts) also applies analogously to other measurements of any kind if a similar model of the evaluation is involved. Further practical examples can be found in other International Standards, for example, see References [1 to 20].
ISO 11929-4:2020 is classified under the following ICS (International Classification for Standards) categories: 17.240 - Radiation measurements. The ICS classification helps identify the subject area and facilitates finding related standards.
ISO 11929-4:2020 has the following relationships with other standards: It is inter standard links to ISO 11929-4:2022, ISO 11929:2010. Understanding these relationships helps ensure you are using the most current and applicable version of the standard.
ISO 11929-4:2020 is available in PDF format for immediate download after purchase. The document can be added to your cart and obtained through the secure checkout process. Digital delivery ensures instant access to the complete standard document.
Standards Content (Sample)
INTERNATIONAL ISO
STANDARD 11929-4
Second edition
2020-09
Determination of the characteristic
limits (decision threshold, detection
limit and limits of the coverage
interval) for measurements of ionizing
radiation — Fundamentals and
application —
Part 4:
Guidelines to applications
Détermination des limites caractéristiques (seuil de décision, limite
de détection et limites de l'intervalle élargi) pour le mesurage des
rayonnements ionisants — Principes fondamentaux et applications —
Partie 4: Lignes directrices relatives aux applications
Reference number
©
ISO 2020
© ISO 2020
All rights reserved. Unless otherwise specified, or required in the context of its implementation, no part of this publication may
be reproduced or utilized otherwise in any form or by any means, electronic or mechanical, including photocopying, or posting
on the internet or an intranet, without prior written permission. Permission can be requested from either ISO at the address
below or ISO’s member body in the country of the requester.
ISO copyright office
CP 401 • Ch. de Blandonnet 8
CH-1214 Vernier, Geneva
Phone: +41 22 749 01 11
Email: copyright@iso.org
Website: www.iso.org
Published in Switzerland
ii © ISO 2020 – All rights reserved
Contents Page
Foreword .vii
Introduction .viii
1 Scope . 1
2 Normative references . 2
3 Terms and definitions . 2
4 Quantities and symbols . 3
5 Summary of this document . 5
5.1 Procedures according to ISO 11929 (all parts) . 5
5.2 Survey on the examples . 5
5.3 General stipulations . 8
6 Counting measurements with small or moderate uncertainties . 9
6.1 Definition of the task and general aspects . 9
6.2 Model of evaluation and standard uncertainty . 9
6.3 Available information, input data, and specifications . 9
6.4 Evaluation of the measurement and characteristic limits according to ISO 11929-1 .10
6.4.1 Background effect .10
6.4.2 Primary result and its associated standard uncertainty .10
6.4.3 Standard uncertainty as a function of an assumed true value .11
6.4.4 Decision threshold.11
6.4.5 Detection limit .11
6.4.6 Limits of coverage intervals .11
6.4.7 The best estimate and its associated standard uncertainty .12
6.5 Documentation of the results obtained by ISO 11929-1 and ISO 11929-2 .12
6.6 Assessment and explanations .14
7 Counting measurement with small count numbers .14
7.1 Definition of the task and general aspects .14
7.2 Model of evaluation and standard uncertainty .15
7.3 Available information, input data, and specifications .15
7.4 Evaluation of the measurement and characteristic limits according to ISO 11929-1 .15
7.4.1 Background effect .15
7.4.2 Primary result and its associated standard uncertainty .16
7.4.3 Standard uncertainty as a function of an assumed true value .16
7.4.4 Decision threshold.16
7.4.5 Detection limit .17
7.4.6 Limits of coverage intervals .17
7.4.7 The best estimate and its associated standard uncertainty .17
7.5 Documentation of the results obtained by ISO 11929-1 and ISO 11929-2 .17
7.6 Assessment and explanations .19
7.7 An alternative example of a measurement with small count numbers .19
7.7.1 General.19
7.7.2 Background effect .20
7.7.3 Primary result and its associated standard uncertainty .20
7.7.4 Standard uncertainty as a function of an assumed true value .21
7.7.5 Decision threshold.21
7.7.6 Detection limit .21
7.7.7 Limits of coverage intervals .22
7.7.8 The best estimate and its associated standard uncertainty .22
7.8 Documentation of the results obtained by ISO 11929-1 and ISO 11929-2 .22
7.9 Assessment of the alternative example and explanations .23
8 Counting measurements with large uncertainties in the numerator of the
calibration factor.24
8.1 Definition of the task and general aspects .24
8.2 Model of evaluation and standard uncertainty .24
8.3 Available information, input data, and specifications .25
8.4 Evaluation of the measurement and characteristic limits according to ISO 11929-1 .25
8.4.1 Background effect .25
8.4.2 Primary result and its associated standard uncertainty .26
8.4.3 Standard uncertainty as a function of an assumed true value .26
8.4.4 Decision threshold.26
8.4.5 Detection limit .26
8.4.6 Limits of coverage intervals .27
8.4.7 The best estimate and its associated standard uncertainty .27
8.5 Documentation of the results obtained by ISO 11929-1 and ISO 11929-2 .27
8.6 Assessment and explanations .28
9 Counting measurements with large uncertainties in the denominator of the
calibration factor.29
9.1 Definition of the task and general aspects .29
9.2 Model of evaluation and standard uncertainty .29
9.3 Available information, input data, and specifications .30
9.4 Evaluation of the measurement and characteristic limits according to ISO 11929-1 .31
9.4.1 Background effect .31
9.4.2 Primary result and its associated standard uncertainty .31
9.4.3 Standard uncertainty as a function of an assumed true value .31
9.4.4 Decision threshold.31
9.4.5 Detection limit .32
9.4.6 Limits of coverage intervals .32
9.4.7 The best estimate and its associated standard uncertainty .32
9.5 Documentation of the results obtained by ISO 11929-1 and ISO 11929-2 .32
9.6 Assessment and explanations .34
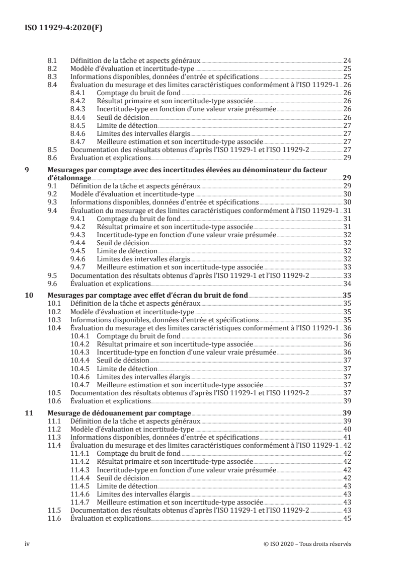
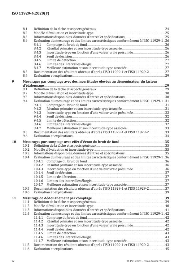
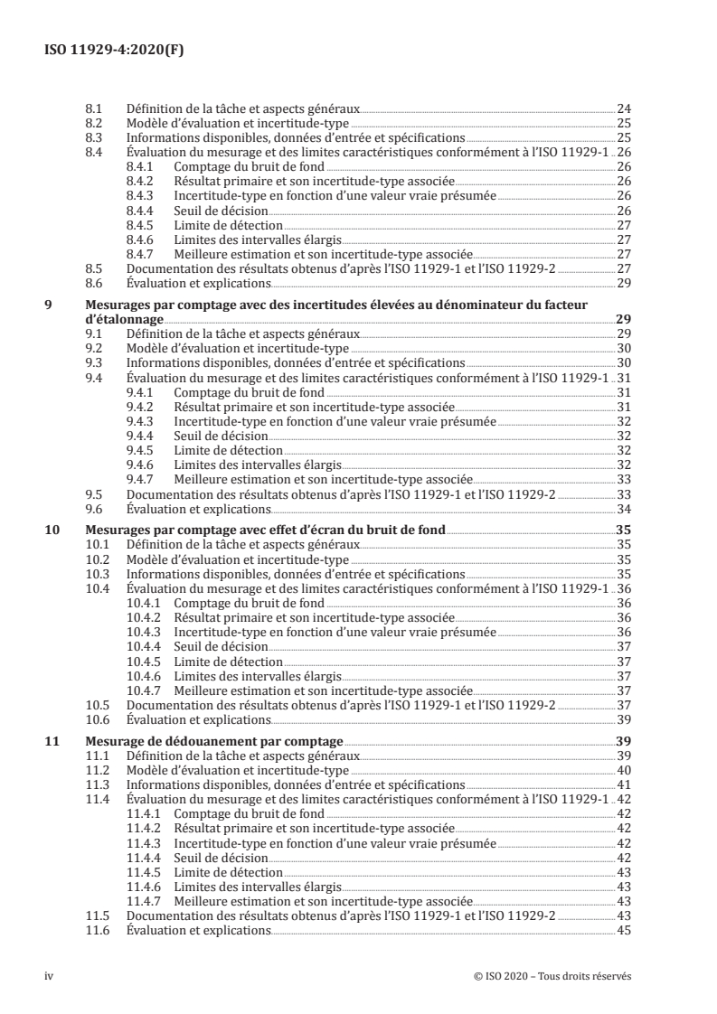
10 Counting measurements with shielding of the background .34
10.1 Definition of the task and general aspects .34
10.2 Model of evaluation and standard uncertainty .35
10.3 Available information, input data, and specifications .35
10.4 Evaluation of the measurement and characteristic limits according to ISO 11929-1 .36
10.4.1 Background effect .36
10.4.2 Primary result and its associated standard uncertainty .36
10.4.3 Standard uncertainty as a function of an assumed true value .36
10.4.4 Decision threshold.36
10.4.5 Detection limit .36
10.4.6 Limits of coverage intervals .37
10.4.7 The best estimate and its associated standard uncertainty .37
10.5 Documentation of the results obtained by ISO 11929-1 and ISO 11929-2 .37
10.6 Assessment and explanations .38
11 Counting clearance measurement .39
11.1 Definition of the task and general aspects .39
11.2 Model of evaluation and standard uncertainty .40
11.3 Available information, input data, and specifications .40
11.4 Evaluation of the measurement and characteristic limits according to ISO 11929-1 .41
11.4.1 Background effect .41
11.4.2 Primary result and its associated standard uncertainty .41
11.4.3 Standard uncertainty as a function of an assumed true value .41
11.4.4 Decision threshold.42
11.4.5 Detection limit .42
11.4.6 Limits of coverage intervals .42
11.4.7 The best estimate and its associated standard uncertainty .42
11.5 Documentation of the results obtained by ISO 11929-1 and ISO 11929-2 .43
11.6 Assessment and explanations .44
iv © ISO 2020 – All rights reserved
12 Gamma-spectrometry of Uranium-235 with interference by Radium-226 .45
12.1 Definition of the task and general aspects .45
12.2 Model of evaluation and standard uncertainty .46
12.3 Available information, input data, and specifications .47
12.4 Evaluation of the measurement and characteristic limits according to ISO 11929-1 .48
12.4.1 Background effect .48
12.4.2 Primary result and its associated standard uncertainty .48
12.4.3 Standard uncertainty as a function of an assumed true value .49
12.4.4 Decision threshold.50
12.4.5 Detection limit .50
12.4.6 Limits of coverage intervals .50
12.4.7 The best estimate and its associated standard uncertainty .51
12.5 Documentation of the results obtained by ISO 11929-1 and ISO 11929-2 .51
12.6 Assessment and explanations .52
13 Black box measurements .53
13.1 Definition of the task and general aspects .53
13.2 Model of evaluation and standard uncertainty .53
13.3 Available information, input data, and specifications .54
13.4 Evaluation of the measurement and characteristic limits according to ISO 11929-1 .54
13.4.1 Background effect .54
13.4.2 Primary result and its associated standard uncertainty .55
13.4.3 Standard uncertainty as a function of an assumed true value .55
13.4.4 Decision threshold.55
13.4.5 Detection limit .56
13.4.6 Limits of coverage intervals .56
13.4.7 The best estimate and its associated standard uncertainty .56
13.5 Documentation of the results obtained by ISO 11929-1 and ISO 11929-2 .56
13.6 Assessment and explanations .58
14 Counting measurements with unknown random influence of sample treatment .58
14.1 Definition of the task and general aspects .58
14.2 Model of evaluation and standard uncertainty .59
14.3 Available information, input data, and specifications .59
14.4 Evaluation of the measurement and characteristic limits according to ISO 11929-1 .60
14.4.1 Background effect .60
14.4.2 Primary result and its associated standard uncertainty .60
14.4.3 Standard uncertainty as a function of an assumed true value .61
14.4.4 Decision threshold.61
14.4.5 Detection limit .62
14.4.6 Limits of coverage intervals .62
14.4.7 The best estimate and its associated standard uncertainty .62
14.5 Documentation of the results obtained by ISO 11929-1 and ISO 11929-2 .62
14.6 Assessment and explanations .64
15 Counting measurement with known influence of sample treatment .64
15.1 Definition of the task and general aspects .64
15.2 Model of evaluation and standard uncertainty .65
15.3 Available information, input data, and specifications .66
15.4 Evaluation of the measurement and characteristic limits according to ISO 11929-1 .67
15.4.1 Determination of the relative uncertainty of the sample treatment .67
15.4.2 Background effect .67
15.4.3 Primary result and its associated standard uncertainty .67
15.4.4 Standard uncertainty as a function of an assumed true value .68
15.4.5 Decision threshold.68
15.4.6 Detection limit .69
15.4.7 Limits of coverage intervals .69
15.4.8 The best estimate and its associated standard uncertainty .69
15.5 Documentation of the results obtained by ISO 11929-1 and ISO 11929-2 .69
15.6 Assessment and explanations .71
16 Dose measurement using an active personal dosemeter.71
16.1 Definition of the task and general aspects .71
16.2 Model of evaluation and standard uncertainty .71
16.3 Available information, input data, and specifications .72
16.4 Evaluation of the measurement and characteristic limits according to ISO 11929-1 .73
16.4.1 Background effect .73
16.4.2 Primary result and its associated standard uncertainty .73
16.4.3 Standard uncertainty as a function of an assumed true value .73
16.4.4 Decision threshold.73
16.4.5 Detection limit .74
16.4.6 Limits of coverage intervals .74
16.4.7 The best estimate and its associated standard uncertainty .75
16.5 Assessment and explanations .76
17 Dose rate measurement using a neutron area monitor.77
17.1 Definition of the task and general aspects .77
17.2 Model of evaluation and standard uncertainty .78
17.3 Available information, input data, and specifications .79
17.4 Evaluation of the measurement and characteristic limits .81
17.4.1 Background effect .81
17.4.2 Primary result and its associated standard uncertainty .81
17.4.3 Standard uncertainty as a function of an assumed true value .81
17.4.4 Decision threshold.82
17.4.5 Detection limit .83
17.4.6 Limits of coverage intervals .83
17.4.7 The best estimate and its associated standard uncertainty .84
17.5 Documentation of the results .84
17.6 Assessment and explanations .85
Annex A (informative) Determination of a calibration factor .86
Annex B (informative) Calculations according to ISO 11929-2 .92
Bibliography .95
vi © ISO 2020 – All rights reserved
Foreword
ISO (the International Organization for Standardization) is a worldwide federation of national standards
bodies (ISO member bodies). The work of preparing International Standards is normally carried out
through ISO technical committees. Each member body interested in a subject for which a technical
committee has been established has the right to be represented on that committee. International
organizations, governmental and non-governmental, in liaison with ISO, also take part in the work.
ISO collaborates closely with the International Electrotechnical Commission (IEC) on all matters of
electrotechnical standardization.
The procedures used to develop this document and those intended for its further maintenance are
described in the ISO/IEC Directives, Part 1. In particular the different approval criteria needed for the
different types of ISO documents should be noted. This document was drafted in accordance with the
editorial rules of the ISO/IEC Directives, Part 2 (see www .iso .org/ directives).
Attention is drawn to the possibility that some of the elements of this document may be the subject of
patent rights. ISO shall not be held responsible for identifying any or all such patent rights. Details of
any patent rights identified during the development of the document will be in the Introduction and/or
on the ISO list of patent declarations received (see www .iso .org/ patents).
Any trade name used in this document is information given for the convenience of users and does not
constitute an endorsement.
For an explanation on the voluntary nature of standards, the meaning of ISO specific terms and
expressions related to conformity assessment, as well as information about ISO's adherence to the
World Trade Organization (WTO) principles in the Technical Barriers to Trade (TBT) see the following
URL: www .iso .org/ iso/ foreword .html.
This document was prepared by Technical Committee ISO/TC 85, Nuclear energy, nuclear technologies,
and radiological protection, Subcommittee SC 2, Radiological protection.
This second edition of ISO 11929-4 together with ISO 11929-1:2019, ISO 11929-2:2019 and
ISO 11929-3:2019, cancels and replaces ISO 11929:2010, which has been technically revised, specifically
with reference to the type of statistical treatment of the data and extended with respect to the
methodology of uncertainty assessment from the ISO/IEC Guide 98-3 and the ISO/IEC Guide 98-3:2008/
Suppl.1.
A list of all parts of ISO 11929 can be found on the ISO website.
Any feedback or questions on this document should be directed to the user’s national standards body. A
complete listing of these bodies can be found at www .iso .org/ members .html.
Introduction
Measurement uncertainties and characteristic values, i.e. characteristic limits such as the decision
threshold, the detection limit and limits of the coverage interval for measurements as well as the best
estimate and its associated standard measurement uncertainty, are of importance in metrology, in
general, and for radiological protection, in particular. The quantification of the uncertainty associated
with a measurement result provides a basis for the trust an individual can have in a measurement result.
NOTE 1 Conformity with regulatory limits, constraints or reference values can only be demonstrated taking
into account and quantifying all sources of uncertainty. Characteristic limits provide – in the end – the basis for
deciding accepting results under uncertainty.
ISO 11929 (all parts) provides characteristic values of a non-negative measurand of ionizing radiation.
It is applicable for a wide range of measuring methods extending beyond measurements of ionizing
radiation.
The limits to be provided according to ISO 11929 (all parts) for specified probabilities of wrong decisions
allow detection possibilities to be assessed for a measurand and for the physical effect quantified by
this measurand as follows:
— the “decision threshold” allows a decision to be made on whether or not the physical effect quantified
by the measurand is present;
— the “detection limit” indicates the smallest true quantity value of the measurand that can still be
detected with the applied measurement procedure; this gives and allows for a decision on whether
or not the measurement procedure satisfies the requirements and is therefore suitable for the
intended measurement purpose;
— the “limits of the coverage interval” enclose, in the case of the physical effect recognized as present,
a coverage interval containing the true quantity value of the measurand with a specified probability.
Hereinafter, the limits mentioned are jointly called “characteristic limits”.
NOTE 2 According to ISO/IEC Guide 99 updated by JCGM 200:2012, the term “coverage interval” is used
here instead of “confidence interval” in order to distinguish the wording of Bayesian terminology from that of
conventional statistics.
All the characteristic values are based on Bayesian statistics and on the ISO/IEC Guide 98-3 as well as
on the ISO/IEC Guide 98-3:2008/Suppl.1 and ISO/IEC Guide 98-3:2008/Suppl.2. As explained in detail in
ISO 11929-2, the characteristic values are mathematically defined by means of moments and quantiles
of probability distributions of the possible measurand values.
Since measurement uncertainty plays an important role in all parts of ISO 11929, the evaluation of
measurements and the treatment of measurement uncertainties are carried out by means of the
general procedures according to the ISO/IEC Guide 98-3 and to the ISO/IEC Guide 98-3:2008/Suppl.1;
see also References [21 to 25]. This enables the strict separation of the evaluation of the measurements,
on the one hand, and the provision and calculation of the characteristic values, on the other hand.
[26 to 28]
ISO 11929 (all parts) makes use of a theory of uncertainty in measurement based on Bayesian
statistics (e.g. References [29 to 36]) in order to allow taking into account also those uncertainties
that cannot be derived from repeated or counting measurements. The latter uncertainties cannot be
handled by frequentist statistics.
Because of developments in metrology concerning measurement uncertainty, laid down in the
ISO/IEC Guide 98-3, ISO 11929:2010 was drawn up on the basis of ISO/IEC Guide 98-3, but using
Bayesian statistics and the Bayesian theory of measurement uncertainty. This theory provides a
Bayesian foundation for the ISO/IEC Guide 98-3. Moreover, ISO 11929:2010 was based on the definitions
[21] [22] [23]
of the characteristic values , the standard proposal , and the introducing article . It unified
and replaced all earlier parts of ISO 11929 and was applicable not only to a large variety of particular
measurements of ionizing radiation but also, in analogy, to other measurement procedures. Some
viii © ISO 2020 – All rights reserved
explanatory material about the basics of ISO 11929 (all parts), in general, and its application in has been
[42][43]
published elsewhere .
Since the ISO/IEC Guide 98-3:2008/Suppl.1 has been published, the Monte Carlo method has been
used to deal comprehensively with a more general treatment of measurement uncertainty in complex
measurement evaluations. This development provided an incentive for writing a corresponding
[24]
Monte Carlo supplement to ISO 11929:2010. The revised ISO 11929 (all parts) is also essentially
founded on Bayesian statistics and can serve as a bridge between documents ISO 11929:2010 and
the ISO/IEC Guide 98-3:2008/Suppl.1. Moreover, more general definitions of the characteristic values
(ISO 11929-2) and the Monte Carlo computation of the characteristic values make it possible to go a step
beyond the present state of standardization laid down in ISO 11929:2010 since probability distributions
rather than uncertainties can be propagated. It is thus more comprehensive and extending the range of
applications.
The revised ISO 11929 (all parts), moreover, is more explicit on the calculation of the characteristic
values. Reference [25] gives a survey on the basis of the revision. Further, in ISO 11929-3, it gives
detailed advice how to calculate characteristic values in the case of multivariate measurements using
unfolding methods. For such measurements, the ISO/IEC Guide 98-3:2008/Suppl.2 provides the basis of
the uncertainty evaluation.
Formulae are provided for the calculation of the characteristic values of an ionizing radiation measurand
via the “standard measurement uncertainty” of the measurand (hereinafter “standard uncertainty”)
derived according to the ISO/IEC Guide 98-3 as well as via probability density functions (PDFs) of the
measurand derived on the basis of the ISO/IEC Guide 98-3:2008/Suppl.1. The standard uncertainties
or probability density functions take into account the uncertainties of the actual measurement as well
as those of sample treatment, calibration of the measuring system and other influences. The latter
uncertainties are assumed to be known from previous investigations.
INTERNATIONAL STANDARD ISO 11929-4:2020(E)
Determination of the characteristic limits (decision
threshold, detection limit and limits of the coverage
interval) for measurements of ionizing radiation —
Fundamentals and application —
Part 4:
Guidelines to applications
1 Scope
This document specifies a procedure, in the field of ionizing radiation metrology, for the calculation of
the “decision threshold”, the “detection limit” and the “limits of the coverage interval” for a non-negative
ionizing radiation measurand when counting measurements with preselection of time or counts are
carried out. The measurand results from a gross count rate and a background count rate as well as from
further quantities on the basis of a model of the evaluation. In particular, the measurand can be the net
count rate as the difference of the gross count rate and the background count rate, or the net activity of
a sample. It can also be influenced by calibration of the measuring system, by sample treatment and by
other factors.
ISO 11929 has been divided into four parts covering elementary applications in ISO 11929-1, advanced
applications on the basis of the ISO/IEC Guide 98-3:2008/Suppl.1 in ISO 11929-2, applications to
unfolding methods in ISO 11929-3, and guidance to the application in ISO 11929-4.
ISO 11929-1 covers basic applications of counting measurements frequently used in the field of ionizing
radiation metrology. It is restricted to applications for which the uncertainties can be evaluated on the
basis of the ISO/IEC Guide 98-3 (JCGM 2008). In ISO 11929-1:2019, Annex A the special case of repeated
counting measurements with random influences and in ISO 11929-1:2019, Annex B, measurements
with linear analogous ratemeters are covered.
ISO 11929-2 extends ISO 11929-1 to the evaluation of measurement uncertainties according to the
ISO/IEC Guide 98-3:2008/Suppl.1. ISO 11929-2 also presents some explanatory notes regarding general
aspects of counting measurements and Bayesian statistics in measurements.
ISO 11929-3 deals with the evaluation of measurements using unfolding methods and counting
spectrometric multi-channel measurements if evaluated by unfolding methods, in particular, alpha- and
gamma-spectrometric measurements. Further, it provides some advice how to deal with correlations
and covariances.
ISO 11929-4 gives guidance to the application of ISO 11929 (all parts), summarizing shortly the general
procedure and then presenting a wide range of numerical examples. The examples cover elementary
applications according to ISO 11929-1 and ISO 11929-2.
The ISO 11929 (all parts) also applies analogously to other measurements of any kind if a similar model
of the evaluation is involved. Further practical examples can be found in other International Standards,
for example, see References [1 to 20].
NOTE A code system, named UncertRadio, is available allowing for calculations according to ISO 11929-1 to
[40][41]
ISO 11929-3. UncertRadio which can be downloaded for free from https:// www .thuenen .de/ en/ fi/ fields
-of -activity/ marine -environment/ coordination -centre -of -radioactivity/ uncertradio/ . The download contains a
setup installation file that copies all files and folders into a folder specified by the user. After installation one
has to add information to the PATH of Windows as indicated by a pop-up window during installation. English
[44]
language can be chosen and extensive “help” information is available. Another tool is the package ‘metRology’
which is available for programming in R. It contains the two R functions ‘uncert’ and ‘uncertMC’ which perform
the GUM-conform uncertainty propagation, either analytically or by the Monte Carlo method, respectively.
Covariances/correlations of input quantities are included. Applying these two functions within iterations for
decision threshold and the detection limit calc
...
INTERNATIONAL ISO
STANDARD 11929-4
Second edition
2020-09
Determination of the characteristic
limits (decision threshold, detection
limit and limits of the coverage
interval) for measurements of ionizing
radiation — Fundamentals and
application —
Part 4:
Guidelines to applications
Détermination des limites caractéristiques (seuil de décision, limite
de détection et limites de l'intervalle élargi) pour le mesurage des
rayonnements ionisants — Principes fondamentaux et applications —
Partie 4: Lignes directrices relatives aux applications
Reference number
©
ISO 2020
© ISO 2020
All rights reserved. Unless otherwise specified, or required in the context of its implementation, no part of this publication may
be reproduced or utilized otherwise in any form or by any means, electronic or mechanical, including photocopying, or posting
on the internet or an intranet, without prior written permission. Permission can be requested from either ISO at the address
below or ISO’s member body in the country of the requester.
ISO copyright office
CP 401 • Ch. de Blandonnet 8
CH-1214 Vernier, Geneva
Phone: +41 22 749 01 11
Email: copyright@iso.org
Website: www.iso.org
Published in Switzerland
ii © ISO 2020 – All rights reserved
Contents Page
Foreword .vii
Introduction .viii
1 Scope . 1
2 Normative references . 2
3 Terms and definitions . 2
4 Quantities and symbols . 3
5 Summary of this document . 5
5.1 Procedures according to ISO 11929 (all parts) . 5
5.2 Survey on the examples . 5
5.3 General stipulations . 8
6 Counting measurements with small or moderate uncertainties . 9
6.1 Definition of the task and general aspects . 9
6.2 Model of evaluation and standard uncertainty . 9
6.3 Available information, input data, and specifications . 9
6.4 Evaluation of the measurement and characteristic limits according to ISO 11929-1 .10
6.4.1 Background effect .10
6.4.2 Primary result and its associated standard uncertainty .10
6.4.3 Standard uncertainty as a function of an assumed true value .11
6.4.4 Decision threshold.11
6.4.5 Detection limit .11
6.4.6 Limits of coverage intervals .11
6.4.7 The best estimate and its associated standard uncertainty .12
6.5 Documentation of the results obtained by ISO 11929-1 and ISO 11929-2 .12
6.6 Assessment and explanations .14
7 Counting measurement with small count numbers .14
7.1 Definition of the task and general aspects .14
7.2 Model of evaluation and standard uncertainty .15
7.3 Available information, input data, and specifications .15
7.4 Evaluation of the measurement and characteristic limits according to ISO 11929-1 .15
7.4.1 Background effect .15
7.4.2 Primary result and its associated standard uncertainty .16
7.4.3 Standard uncertainty as a function of an assumed true value .16
7.4.4 Decision threshold.16
7.4.5 Detection limit .17
7.4.6 Limits of coverage intervals .17
7.4.7 The best estimate and its associated standard uncertainty .17
7.5 Documentation of the results obtained by ISO 11929-1 and ISO 11929-2 .17
7.6 Assessment and explanations .19
7.7 An alternative example of a measurement with small count numbers .19
7.7.1 General.19
7.7.2 Background effect .20
7.7.3 Primary result and its associated standard uncertainty .20
7.7.4 Standard uncertainty as a function of an assumed true value .21
7.7.5 Decision threshold.21
7.7.6 Detection limit .21
7.7.7 Limits of coverage intervals .22
7.7.8 The best estimate and its associated standard uncertainty .22
7.8 Documentation of the results obtained by ISO 11929-1 and ISO 11929-2 .22
7.9 Assessment of the alternative example and explanations .23
8 Counting measurements with large uncertainties in the numerator of the
calibration factor.24
8.1 Definition of the task and general aspects .24
8.2 Model of evaluation and standard uncertainty .24
8.3 Available information, input data, and specifications .25
8.4 Evaluation of the measurement and characteristic limits according to ISO 11929-1 .25
8.4.1 Background effect .25
8.4.2 Primary result and its associated standard uncertainty .26
8.4.3 Standard uncertainty as a function of an assumed true value .26
8.4.4 Decision threshold.26
8.4.5 Detection limit .26
8.4.6 Limits of coverage intervals .27
8.4.7 The best estimate and its associated standard uncertainty .27
8.5 Documentation of the results obtained by ISO 11929-1 and ISO 11929-2 .27
8.6 Assessment and explanations .28
9 Counting measurements with large uncertainties in the denominator of the
calibration factor.29
9.1 Definition of the task and general aspects .29
9.2 Model of evaluation and standard uncertainty .29
9.3 Available information, input data, and specifications .30
9.4 Evaluation of the measurement and characteristic limits according to ISO 11929-1 .31
9.4.1 Background effect .31
9.4.2 Primary result and its associated standard uncertainty .31
9.4.3 Standard uncertainty as a function of an assumed true value .31
9.4.4 Decision threshold.31
9.4.5 Detection limit .32
9.4.6 Limits of coverage intervals .32
9.4.7 The best estimate and its associated standard uncertainty .32
9.5 Documentation of the results obtained by ISO 11929-1 and ISO 11929-2 .32
9.6 Assessment and explanations .34
10 Counting measurements with shielding of the background .34
10.1 Definition of the task and general aspects .34
10.2 Model of evaluation and standard uncertainty .35
10.3 Available information, input data, and specifications .35
10.4 Evaluation of the measurement and characteristic limits according to ISO 11929-1 .36
10.4.1 Background effect .36
10.4.2 Primary result and its associated standard uncertainty .36
10.4.3 Standard uncertainty as a function of an assumed true value .36
10.4.4 Decision threshold.36
10.4.5 Detection limit .36
10.4.6 Limits of coverage intervals .37
10.4.7 The best estimate and its associated standard uncertainty .37
10.5 Documentation of the results obtained by ISO 11929-1 and ISO 11929-2 .37
10.6 Assessment and explanations .38
11 Counting clearance measurement .39
11.1 Definition of the task and general aspects .39
11.2 Model of evaluation and standard uncertainty .40
11.3 Available information, input data, and specifications .40
11.4 Evaluation of the measurement and characteristic limits according to ISO 11929-1 .41
11.4.1 Background effect .41
11.4.2 Primary result and its associated standard uncertainty .41
11.4.3 Standard uncertainty as a function of an assumed true value .41
11.4.4 Decision threshold.42
11.4.5 Detection limit .42
11.4.6 Limits of coverage intervals .42
11.4.7 The best estimate and its associated standard uncertainty .42
11.5 Documentation of the results obtained by ISO 11929-1 and ISO 11929-2 .43
11.6 Assessment and explanations .44
iv © ISO 2020 – All rights reserved
12 Gamma-spectrometry of Uranium-235 with interference by Radium-226 .45
12.1 Definition of the task and general aspects .45
12.2 Model of evaluation and standard uncertainty .46
12.3 Available information, input data, and specifications .47
12.4 Evaluation of the measurement and characteristic limits according to ISO 11929-1 .48
12.4.1 Background effect .48
12.4.2 Primary result and its associated standard uncertainty .48
12.4.3 Standard uncertainty as a function of an assumed true value .49
12.4.4 Decision threshold.50
12.4.5 Detection limit .50
12.4.6 Limits of coverage intervals .50
12.4.7 The best estimate and its associated standard uncertainty .51
12.5 Documentation of the results obtained by ISO 11929-1 and ISO 11929-2 .51
12.6 Assessment and explanations .52
13 Black box measurements .53
13.1 Definition of the task and general aspects .53
13.2 Model of evaluation and standard uncertainty .53
13.3 Available information, input data, and specifications .54
13.4 Evaluation of the measurement and characteristic limits according to ISO 11929-1 .54
13.4.1 Background effect .54
13.4.2 Primary result and its associated standard uncertainty .55
13.4.3 Standard uncertainty as a function of an assumed true value .55
13.4.4 Decision threshold.55
13.4.5 Detection limit .56
13.4.6 Limits of coverage intervals .56
13.4.7 The best estimate and its associated standard uncertainty .56
13.5 Documentation of the results obtained by ISO 11929-1 and ISO 11929-2 .56
13.6 Assessment and explanations .58
14 Counting measurements with unknown random influence of sample treatment .58
14.1 Definition of the task and general aspects .58
14.2 Model of evaluation and standard uncertainty .59
14.3 Available information, input data, and specifications .59
14.4 Evaluation of the measurement and characteristic limits according to ISO 11929-1 .60
14.4.1 Background effect .60
14.4.2 Primary result and its associated standard uncertainty .60
14.4.3 Standard uncertainty as a function of an assumed true value .61
14.4.4 Decision threshold.61
14.4.5 Detection limit .62
14.4.6 Limits of coverage intervals .62
14.4.7 The best estimate and its associated standard uncertainty .62
14.5 Documentation of the results obtained by ISO 11929-1 and ISO 11929-2 .62
14.6 Assessment and explanations .64
15 Counting measurement with known influence of sample treatment .64
15.1 Definition of the task and general aspects .64
15.2 Model of evaluation and standard uncertainty .65
15.3 Available information, input data, and specifications .66
15.4 Evaluation of the measurement and characteristic limits according to ISO 11929-1 .67
15.4.1 Determination of the relative uncertainty of the sample treatment .67
15.4.2 Background effect .67
15.4.3 Primary result and its associated standard uncertainty .67
15.4.4 Standard uncertainty as a function of an assumed true value .68
15.4.5 Decision threshold.68
15.4.6 Detection limit .69
15.4.7 Limits of coverage intervals .69
15.4.8 The best estimate and its associated standard uncertainty .69
15.5 Documentation of the results obtained by ISO 11929-1 and ISO 11929-2 .69
15.6 Assessment and explanations .71
16 Dose measurement using an active personal dosemeter.71
16.1 Definition of the task and general aspects .71
16.2 Model of evaluation and standard uncertainty .71
16.3 Available information, input data, and specifications .72
16.4 Evaluation of the measurement and characteristic limits according to ISO 11929-1 .73
16.4.1 Background effect .73
16.4.2 Primary result and its associated standard uncertainty .73
16.4.3 Standard uncertainty as a function of an assumed true value .73
16.4.4 Decision threshold.73
16.4.5 Detection limit .74
16.4.6 Limits of coverage intervals .74
16.4.7 The best estimate and its associated standard uncertainty .75
16.5 Assessment and explanations .76
17 Dose rate measurement using a neutron area monitor.77
17.1 Definition of the task and general aspects .77
17.2 Model of evaluation and standard uncertainty .78
17.3 Available information, input data, and specifications .79
17.4 Evaluation of the measurement and characteristic limits .81
17.4.1 Background effect .81
17.4.2 Primary result and its associated standard uncertainty .81
17.4.3 Standard uncertainty as a function of an assumed true value .81
17.4.4 Decision threshold.82
17.4.5 Detection limit .83
17.4.6 Limits of coverage intervals .83
17.4.7 The best estimate and its associated standard uncertainty .84
17.5 Documentation of the results .84
17.6 Assessment and explanations .85
Annex A (informative) Determination of a calibration factor .86
Annex B (informative) Calculations according to ISO 11929-2 .92
Bibliography .95
vi © ISO 2020 – All rights reserved
Foreword
ISO (the International Organization for Standardization) is a worldwide federation of national standards
bodies (ISO member bodies). The work of preparing International Standards is normally carried out
through ISO technical committees. Each member body interested in a subject for which a technical
committee has been established has the right to be represented on that committee. International
organizations, governmental and non-governmental, in liaison with ISO, also take part in the work.
ISO collaborates closely with the International Electrotechnical Commission (IEC) on all matters of
electrotechnical standardization.
The procedures used to develop this document and those intended for its further maintenance are
described in the ISO/IEC Directives, Part 1. In particular the different approval criteria needed for the
different types of ISO documents should be noted. This document was drafted in accordance with the
editorial rules of the ISO/IEC Directives, Part 2 (see www .iso .org/ directives).
Attention is drawn to the possibility that some of the elements of this document may be the subject of
patent rights. ISO shall not be held responsible for identifying any or all such patent rights. Details of
any patent rights identified during the development of the document will be in the Introduction and/or
on the ISO list of patent declarations received (see www .iso .org/ patents).
Any trade name used in this document is information given for the convenience of users and does not
constitute an endorsement.
For an explanation on the voluntary nature of standards, the meaning of ISO specific terms and
expressions related to conformity assessment, as well as information about ISO's adherence to the
World Trade Organization (WTO) principles in the Technical Barriers to Trade (TBT) see the following
URL: www .iso .org/ iso/ foreword .html.
This document was prepared by Technical Committee ISO/TC 85, Nuclear energy, nuclear technologies,
and radiological protection, Subcommittee SC 2, Radiological protection.
This second edition of ISO 11929-4 together with ISO 11929-1:2019, ISO 11929-2:2019 and
ISO 11929-3:2019, cancels and replaces ISO 11929:2010, which has been technically revised, specifically
with reference to the type of statistical treatment of the data and extended with respect to the
methodology of uncertainty assessment from the ISO/IEC Guide 98-3 and the ISO/IEC Guide 98-3:2008/
Suppl.1.
A list of all parts of ISO 11929 can be found on the ISO website.
Any feedback or questions on this document should be directed to the user’s national standards body. A
complete listing of these bodies can be found at www .iso .org/ members .html.
Introduction
Measurement uncertainties and characteristic values, i.e. characteristic limits such as the decision
threshold, the detection limit and limits of the coverage interval for measurements as well as the best
estimate and its associated standard measurement uncertainty, are of importance in metrology, in
general, and for radiological protection, in particular. The quantification of the uncertainty associated
with a measurement result provides a basis for the trust an individual can have in a measurement result.
NOTE 1 Conformity with regulatory limits, constraints or reference values can only be demonstrated taking
into account and quantifying all sources of uncertainty. Characteristic limits provide – in the end – the basis for
deciding accepting results under uncertainty.
ISO 11929 (all parts) provides characteristic values of a non-negative measurand of ionizing radiation.
It is applicable for a wide range of measuring methods extending beyond measurements of ionizing
radiation.
The limits to be provided according to ISO 11929 (all parts) for specified probabilities of wrong decisions
allow detection possibilities to be assessed for a measurand and for the physical effect quantified by
this measurand as follows:
— the “decision threshold” allows a decision to be made on whether or not the physical effect quantified
by the measurand is present;
— the “detection limit” indicates the smallest true quantity value of the measurand that can still be
detected with the applied measurement procedure; this gives and allows for a decision on whether
or not the measurement procedure satisfies the requirements and is therefore suitable for the
intended measurement purpose;
— the “limits of the coverage interval” enclose, in the case of the physical effect recognized as present,
a coverage interval containing the true quantity value of the measurand with a specified probability.
Hereinafter, the limits mentioned are jointly called “characteristic limits”.
NOTE 2 According to ISO/IEC Guide 99 updated by JCGM 200:2012, the term “coverage interval” is used
here instead of “confidence interval” in order to distinguish the wording of Bayesian terminology from that of
conventional statistics.
All the characteristic values are based on Bayesian statistics and on the ISO/IEC Guide 98-3 as well as
on the ISO/IEC Guide 98-3:2008/Suppl.1 and ISO/IEC Guide 98-3:2008/Suppl.2. As explained in detail in
ISO 11929-2, the characteristic values are mathematically defined by means of moments and quantiles
of probability distributions of the possible measurand values.
Since measurement uncertainty plays an important role in all parts of ISO 11929, the evaluation of
measurements and the treatment of measurement uncertainties are carried out by means of the
general procedures according to the ISO/IEC Guide 98-3 and to the ISO/IEC Guide 98-3:2008/Suppl.1;
see also References [21 to 25]. This enables the strict separation of the evaluation of the measurements,
on the one hand, and the provision and calculation of the characteristic values, on the other hand.
[26 to 28]
ISO 11929 (all parts) makes use of a theory of uncertainty in measurement based on Bayesian
statistics (e.g. References [29 to 36]) in order to allow taking into account also those uncertainties
that cannot be derived from repeated or counting measurements. The latter uncertainties cannot be
handled by frequentist statistics.
Because of developments in metrology concerning measurement uncertainty, laid down in the
ISO/IEC Guide 98-3, ISO 11929:2010 was drawn up on the basis of ISO/IEC Guide 98-3, but using
Bayesian statistics and the Bayesian theory of measurement uncertainty. This theory provides a
Bayesian foundation for the ISO/IEC Guide 98-3. Moreover, ISO 11929:2010 was based on the definitions
[21] [22] [23]
of the characteristic values , the standard proposal , and the introducing article . It unified
and replaced all earlier parts of ISO 11929 and was applicable not only to a large variety of particular
measurements of ionizing radiation but also, in analogy, to other measurement procedures. Some
viii © ISO 2020 – All rights reserved
explanatory material about the basics of ISO 11929 (all parts), in general, and its application in has been
[42][43]
published elsewhere .
Since the ISO/IEC Guide 98-3:2008/Suppl.1 has been published, the Monte Carlo method has been
used to deal comprehensively with a more general treatment of measurement uncertainty in complex
measurement evaluations. This development provided an incentive for writing a corresponding
[24]
Monte Carlo supplement to ISO 11929:2010. The revised ISO 11929 (all parts) is also essentially
founded on Bayesian statistics and can serve as a bridge between documents ISO 11929:2010 and
the ISO/IEC Guide 98-3:2008/Suppl.1. Moreover, more general definitions of the characteristic values
(ISO 11929-2) and the Monte Carlo computation of the characteristic values make it possible to go a step
beyond the present state of standardization laid down in ISO 11929:2010 since probability distributions
rather than uncertainties can be propagated. It is thus more comprehensive and extending the range of
applications.
The revised ISO 11929 (all parts), moreover, is more explicit on the calculation of the characteristic
values. Reference [25] gives a survey on the basis of the revision. Further, in ISO 11929-3, it gives
detailed advice how to calculate characteristic values in the case of multivariate measurements using
unfolding methods. For such measurements, the ISO/IEC Guide 98-3:2008/Suppl.2 provides the basis of
the uncertainty evaluation.
Formulae are provided for the calculation of the characteristic values of an ionizing radiation measurand
via the “standard measurement uncertainty” of the measurand (hereinafter “standard uncertainty”)
derived according to the ISO/IEC Guide 98-3 as well as via probability density functions (PDFs) of the
measurand derived on the basis of the ISO/IEC Guide 98-3:2008/Suppl.1. The standard uncertainties
or probability density functions take into account the uncertainties of the actual measurement as well
as those of sample treatment, calibration of the measuring system and other influences. The latter
uncertainties are assumed to be known from previous investigations.
INTERNATIONAL STANDARD ISO 11929-4:2020(E)
Determination of the characteristic limits (decision
threshold, detection limit and limits of the coverage
interval) for measurements of ionizing radiation —
Fundamentals and application —
Part 4:
Guidelines to applications
1 Scope
This document specifies a procedure, in the field of ionizing radiation metrology, for the calculation of
the “decision threshold”, the “detection limit” and the “limits of the coverage interval” for a non-negative
ionizing radiation measurand when counting measurements with preselection of time or counts are
carried out. The measurand results from a gross count rate and a background count rate as well as from
further quantities on the basis of a model of the evaluation. In particular, the measurand can be the net
count rate as the difference of the gross count rate and the background count rate, or the net activity of
a sample. It can also be influenced by calibration of the measuring system, by sample treatment and by
other factors.
ISO 11929 has been divided into four parts covering elementary applications in ISO 11929-1, advanced
applications on the basis of the ISO/IEC Guide 98-3:2008/Suppl.1 in ISO 11929-2, applications to
unfolding methods in ISO 11929-3, and guidance to the application in ISO 11929-4.
ISO 11929-1 covers basic applications of counting measurements frequently used in the field of ionizing
radiation metrology. It is restricted to applications for which the uncertainties can be evaluated on the
basis of the ISO/IEC Guide 98-3 (JCGM 2008). In ISO 11929-1:2019, Annex A the special case of repeated
counting measurements with random influences and in ISO 11929-1:2019, Annex B, measurements
with linear analogous ratemeters are covered.
ISO 11929-2 extends ISO 11929-1 to the evaluation of measurement uncertainties according to the
ISO/IEC Guide 98-3:2008/Suppl.1. ISO 11929-2 also presents some explanatory notes regarding general
aspects of counting measurements and Bayesian statistics in measurements.
ISO 11929-3 deals with the evaluation of measurements using unfolding methods and counting
spectrometric multi-channel measurements if evaluated by unfolding methods, in particular, alpha- and
gamma-spectrometric measurements. Further, it provides some advice how to deal with correlations
and covariances.
ISO 11929-4 gives guidance to the application of ISO 11929 (all parts), summarizing shortly the general
procedure and then presenting a wide range of numerical examples. The examples cover elementary
applications according to ISO 11929-1 and ISO 11929-2.
The ISO 11929 (all parts) also applies analogously to other measurements of any kind if a similar model
of the evaluation is involved. Further practical examples can be found in other International Standards,
for example, see References [1 to 20].
NOTE A code system, named UncertRadio, is available allowing for calculations according to ISO 11929-1 to
[40][41]
ISO 11929-3. UncertRadio which can be downloaded for free from https:// www .thuenen .de/ en/ fi/ fields
-of -activity/ marine -environment/ coordination -centre -of -radioactivity/ uncertradio/ . The download contains a
setup installation file that copies all files and folders into a folder specified by the user. After installation one
has to add information to the PATH of Windows as indicated by a pop-up window during installation. English
[44]
language can be chosen and extensive “help” information is available. Another tool is the package ‘metRology’
which is available for programming in R. It contains the two R functions ‘uncert’ and ‘uncertMC’ which perform
the GUM-conform uncertainty propagation, either analytically or by the Monte Carlo method, respectively.
Covariances/correlations of input quantities are included. Applying these two functions within iterations for
decision threshold and the detection limit calc
...
NORME ISO
INTERNATIONALE 11929-4
Deuxième édition
2020-09
Détermination des limites
caractéristiques (seuil de décision,
limite de détection et limites de
l'intervalle élargi) pour le mesurage
des rayonnements ionisants —
Principes fondamentaux et
applications —
Partie 4:
Lignes directrices relatives aux
applications
Determination of the characteristic limits (decision threshold,
detection limit and limits of the coverage interval) for measurements
of ionizing radiation — Fundamentals and application —
Part 4: Guidelines to applications
Numéro de référence
©
ISO 2020
DOCUMENT PROTÉGÉ PAR COPYRIGHT
© ISO 2020
Tous droits réservés. Sauf prescription différente ou nécessité dans le contexte de sa mise en œuvre, aucune partie de cette
publication ne peut être reproduite ni utilisée sous quelque forme que ce soit et par aucun procédé, électronique ou mécanique,
y compris la photocopie, ou la diffusion sur l’internet ou sur un intranet, sans autorisation écrite préalable. Une autorisation peut
être demandée à l’ISO à l’adresse ci-après ou au comité membre de l’ISO dans le pays du demandeur.
ISO copyright office
Case postale 401 • Ch. de Blandonnet 8
CH-1214 Vernier, Genève
Tél.: +41 22 749 01 11
E-mail: copyright@iso.org
Web: www.iso.org
Publié en Suisse
ii © ISO 2020 – Tous droits réservés
Sommaire Page
Avant-propos .vii
Introduction .viii
1 Domaine d’application . 1
2 Références normatives . 2
3 Termes et définitions . 3
4 Grandeurs et symboles . 3
5 Résumé du présent document . 5
5.1 Procédures conformes à l’ISO 11929 (toutes les parties) . 5
5.2 Vue d’ensemble des exemples . 5
5.3 Stipulations générales . 8
6 Mesurages par comptage à incertitude faible ou modérée . 9
6.1 Définition de la tâche et aspects généraux. 9
6.2 Modèle d’évaluation et incertitude-type . 9
6.3 Informations disponibles, données d’entrée et spécifications . 9
6.4 Évaluation du mesurage et des limites caractéristiques conformément à l’ISO 11929-1 .10
6.4.1 Comptage du bruit de fond .10
6.4.2 Résultat primaire et son incertitude-type associée .10
6.4.3 Incertitude-type en fonction d’une valeur vraie présumée .11
6.4.4 Seuil de décision .11
6.4.5 Limite de détection .11
6.4.6 Limites des intervalles élargis .11
6.4.7 Meilleure estimation et son incertitude-type associée .12
6.5 Documentation des résultats obtenus d’après l’ISO 11929-1 et l’ISO 11929-2 .12
6.6 Évaluation et explications.14
7 Mesurage par comptage avec un faible nombre d’impulsions .15
7.1 Définition de la tâche et aspects généraux.15
7.2 Modèle d’évaluation et incertitude-type .15
7.3 Informations disponibles, données d’entrée et spécifications .15
7.4 Évaluation du mesurage et des limites caractéristiques conformément à l’ISO 11929-1 .16
7.4.1 Comptage du bruit de fond .16
7.4.2 Résultat primaire et son incertitude-type associée .16
7.4.3 Incertitude-type en fonction d’une valeur vraie présumée .16
7.4.4 Seuil de décision .17
7.4.5 Limite de détection .17
7.4.6 Limites des intervalles élargis .17
7.4.7 Meilleure estimation et son incertitude-type associée .18
7.5 Documentation des résultats obtenus d’après l’ISO 11929-1 et l’ISO 11929-2 .18
7.6 Évaluation et explications.19
7.7 Exemple alternatif de mesurage avec un faible nombre d’impulsions .20
7.7.1 Généralités .20
7.7.2 Comptage du bruit de fond .20
7.7.3 Résultat primaire et son incertitude-type associée .20
7.7.4 Incertitude-type en fonction d’une valeur vraie présumée .21
7.7.5 Seuil de décision .21
7.7.6 Limite de détection .21
7.7.7 Limites des intervalles élargis .22
7.7.8 Meilleure estimation et son incertitude-type associée .22
7.8 Documentation des résultats obtenus d’après l’ISO 11929-1 et l’ISO 11929-2 .22
7.9 Évaluation de l’exemple alternatif et explications.24
8 Mesurages par comptage avec des incertitudes élevées au numérateur du facteur
d’étalonnage .24
8.1 Définition de la tâche et aspects généraux.24
8.2 Modèle d’évaluation et incertitude-type .25
8.3 Informations disponibles, données d’entrée et spécifications .25
8.4 Évaluation du mesurage et des limites caractéristiques conformément à l’ISO 11929-1 .26
8.4.1 Comptage du bruit de fond .26
8.4.2 Résultat primaire et son incertitude-type associée .26
8.4.3 Incertitude-type en fonction d’une valeur vraie présumée .26
8.4.4 Seuil de décision .26
8.4.5 Limite de détection .27
8.4.6 Limites des intervalles élargis .27
8.4.7 Meilleure estimation et son incertitude-type associée .27
8.5 Documentation des résultats obtenus d’après l’ISO 11929-1 et l’ISO 11929-2 .27
8.6 Évaluation et explications.29
9 Mesurages par comptage avec des incertitudes élevées au dénominateur du facteur
d’étalonnage .29
9.1 Définition de la tâche et aspects généraux.29
9.2 Modèle d’évaluation et incertitude-type .30
9.3 Informations disponibles, données d’entrée et spécifications .30
9.4 Évaluation du mesurage et des limites caractéristiques conformément à l’ISO 11929-1 .31
9.4.1 Comptage du bruit de fond .31
9.4.2 Résultat primaire et son incertitude-type associée .31
9.4.3 Incertitude-type en fonction d’une valeur vraie présumée .32
9.4.4 Seuil de décision .32
9.4.5 Limite de détection .32
9.4.6 Limites des intervalles élargis .32
9.4.7 Meilleure estimation et son incertitude-type associée .33
9.5 Documentation des résultats obtenus d’après l’ISO 11929-1 et l’ISO 11929-2 .33
9.6 Évaluation et explications.34
10 Mesurages par comptage avec effet d’écran du bruit de fond .35
10.1 Définition de la tâche et aspects généraux.35
10.2 Modèle d’évaluation et incertitude-type .35
10.3 Informations disponibles, données d’entrée et spécifications .35
10.4 Évaluation du mesurage et des limites caractéristiques conformément à l’ISO 11929-1 .36
10.4.1 Comptage du bruit de fond .36
10.4.2 Résultat primaire et son incertitude-type associée .36
10.4.3 Incertitude-type en fonction d’une valeur vraie présumée .36
10.4.4 Seuil de décision .37
10.4.5 Limite de détection .37
10.4.6 Limites des intervalles élargis .37
10.4.7 Meilleure estimation et son incertitude-type associée .37
10.5 Documentation des résultats obtenus d’après l’ISO 11929-1 et l’ISO 11929-2 .37
10.6 Évaluation et explications.39
11 Mesurage de dédouanement par comptage .39
11.1 Définition de la tâche et aspects généraux.39
11.2 Modèle d’évaluation et incertitude-type .40
11.3 Informations disponibles, données d’entrée et spécifications .41
11.4 Évaluation du mesurage et des limites caractéristiques conformément à l’ISO 11929-1 .42
11.4.1 Comptage du bruit de fond .42
11.4.2 Résultat primaire et son incertitude-type associée .42
11.4.3 Incertitude-type en fonction d’une valeur vraie présumée .42
11.4.4 Seuil de décision .42
11.4.5 Limite de détection .43
11.4.6 Limites des intervalles élargis .43
11.4.7 Meilleure estimation et son incertitude-type associée .43
11.5 Documentation des résultats obtenus d’après l’ISO 11929-1 et l’ISO 11929-2 .43
11.6 Évaluation et explications.45
iv © ISO 2020 – Tous droits réservés
12 Spectrométrie gamma de l’uranium 235 avec interférence du radium 226 .46
12.1 Définition de la tâche et aspects généraux.46
12.2 Modèle d’évaluation et incertitude-type .47
12.3 Informations disponibles, données d’entrée et spécifications .48
12.4 Évaluation du mesurage et des limites caractéristiques conformément à l’ISO 11929-1 .49
12.4.1 Comptage du bruit de fond .49
12.4.2 Résultat primaire et son incertitude-type associée .49
12.4.3 Incertitude-type en fonction d’une valeur vraie présumée .50
12.4.4 Seuil de décision .51
12.4.5 Limite de détection .51
12.4.6 Limites des intervalles élargis .51
12.4.7 Meilleure estimation et son incertitude-type associée .52
12.5 Documentation des résultats obtenus d’après l’ISO 11929-1 et l’ISO 11929-2 .52
12.6 Évaluation et explications.53
13 Mesurages de type «boîte noire» .54
13.1 Définition de la tâche et aspects généraux.54
13.2 Modèle d’évaluation et incertitude-type .54
13.3 Informations disponibles, données d’entrée et spécifications .55
13.4 Évaluation du mesurage et des limites caractéristiques conformément à l’ISO 11929-1 .55
13.4.1 Comptage du bruit de fond .55
13.4.2 Résultat primaire et son incertitude-type associée .56
13.4.3 Incertitude-type en fonction d’une valeur vraie présumée .56
13.4.4 Seuil de décision .57
13.4.5 Limite de détection .57
13.4.6 Limites des intervalles élargis .57
13.4.7 Meilleure estimation et son incertitude-type associée .57
13.5 Documentation des résultats obtenus d’après l’ISO 11929-1 et l’ISO 11929-2 .58
13.6 Évaluation et explications.59
14 Mesurages par comptage avec influence aléatoire inconnue du traitement
de l’échantillon .59
14.1 Définition de la tâche et aspects généraux.59
14.2 Modèle d’évaluation et incertitude-type .60
14.3 Informations disponibles, données d’entrée et spécifications .60
14.4 Évaluation du mesurage et des limites caractéristiques conformément à l’ISO 11929-1 .61
14.4.1 Comptage du bruit de fond .61
14.4.2 Résultat primaire et son incertitude-type associée .61
14.4.3 Incertitude-type en fonction d’une valeur vraie présumée .62
14.4.4 Seuil de décision .62
14.4.5 Limite de détection .63
14.4.6 Limites des intervalles élargis .63
14.4.7 Meilleure estimation et son incertitude-type associée .63
14.5 Documentation des résultats obtenus d’après l’ISO 11929-1 et l’ISO 11929-2 .63
14.6 Évaluation et explications.65
15 Mesurages par comptage avec influence connue du traitement de l’échantillon .65
15.1 Définition de la tâche et aspects généraux.65
15.2 Modèle d’évaluation et incertitude-type .66
15.3 Informations disponibles, données d’entrée et spécifications .67
15.4 Évaluation du mesurage et des limites caractéristiques conformément à l’ISO 11929-1 .68
15.4.1 Détermination de l’incertitude relative du traitement de l’échantillon .68
15.4.2 Comptage du bruit de fond .68
15.4.3 Résultat primaire et son incertitude-type associée .69
15.4.4 Incertitude-type en fonction d’une valeur vraie présumée .69
15.4.5 Seuil de décision .69
15.4.6 Limite de détection .70
15.4.7 Limites des intervalles élargis .70
15.4.8 Meilleure estimation et son incertitude-type associée .70
15.5 Documentation des résultats obtenus d’après l’ISO 11929-1 et l’ISO 11929-2 .70
15.6 Évaluation et explications.72
16 Mesurage de dose avec un dosimètre individuel actif .72
16.1 Définition de la tâche et aspects généraux.72
16.2 Modèle d’évaluation et incertitude-type .73
16.3 Informations disponibles, données d’entrée et spécifications .73
16.4 Évaluation du mesurage et des limites caractéristiques conformément à l’ISO 11929-1 .74
16.4.1 Comptage du bruit de fond .74
16.4.2 Résultat primaire et son incertitude-type associée .74
16.4.3 Incertitude-type en fonction d’une valeur vraie présumée .74
16.4.4 Seuil de décision .75
16.4.5 Limite de détection .75
16.4.6 Limites des intervalles élargis .75
16.4.7 Meilleure estimation et son incertitude-type associée .76
16.5 Évaluation et explications.78
17 Mesurage du débit de dose avec un moniteur de neutrons .78
17.1 Définition de la tâche et aspects généraux.78
17.2 Modèle d’évaluation et incertitude-type .80
17.3 Informations disponibles, données d’entrée et spécifications .81
17.4 Évaluation du mesurage et des limites caractéristiques .82
17.4.1 Comptage du bruit de fond .82
17.4.2 Résultat primaire et son incertitude-type associée .83
17.4.3 Incertitude-type en fonction d’une valeur vraie présumée .83
17.4.4 Seuil de décision .84
17.4.5 Limite de détection .85
17.4.6 Limites des intervalles élargis .85
17.4.7 Meilleure estimation et son incertitude-type associée .86
17.5 Documentation des résultats .86
17.6 Évaluation et explications.87
Annexe A (informative) Détermination d’un facteur d’étalonnage .88
Annexe B (informative) Calculs selon l’ISO 11929-2 .94
Bibliographie .97
vi © ISO 2020 – Tous droits réservés
Avant-propos
L’ISO (Organisation internationale de normalisation) est une fédération mondiale d’organismes
nationaux de normalisation (comités membres de l’ISO). L’élaboration des Normes internationales est
en général confiée aux comités techniques de l’ISO. Chaque comité membre intéressé par une étude
a le droit de faire partie du comité technique créé à cet effet. Les organisations internationales,
gouvernementales et non gouvernementales, en liaison avec l’ISO participent également aux travaux.
L’ISO collabore étroitement avec la Commission électrotechnique internationale (IEC) en ce qui
concerne la normalisation électrotechnique.
Les procédures utilisées pour élaborer le présent document et celles destinées à sa mise à jour sont
décrites dans les Directives ISO/IEC, Partie 1. Il convient, en particulier de prendre note des différents
critères d’approbation requis pour les différents types de documents ISO. Le présent document a été
rédigé conformément aux règles de rédaction données dans les Directives ISO/IEC, Partie 2 (voir www
.iso .org/ directives).
L’attention est attirée sur le fait que certains des éléments du présent document peuvent faire l’objet de
droits de propriété intellectuelle ou de droits analogues. L’ISO ne saurait être tenue pour responsable
de ne pas avoir identifié de tels droits de propriété et averti de leur existence. Les détails concernant
les références aux droits de propriété intellectuelle ou autres droits analogues identifiés lors de
l’élaboration du document sont indiqués dans l’Introduction et/ou dans la liste des déclarations de
brevets reçues par l’ISO (voir www .iso .org/ brevets).
Les appellations commerciales éventuellement mentionnées dans le présent document sont données
pour information, par souci de commodité, à l’intention des utilisateurs et ne sauraient constituer un
engagement.
Pour une explication de la nature volontaire des normes, la signification des termes et expressions
spécifiques de l’ISO liés à l’évaluation de la conformité, ou pour toute information au sujet de l’adhésion
de l’ISO aux principes de l’Organisation mondiale du commerce (OMC) concernant les obstacles
techniques au commerce (OTC), voir le lien suivant: www .iso .org/ iso/ fr/ avant -propos.
Le présent document a été élaboré par le comité technique ISO/TC 85, Énergie nucléaire, technologies
nucléaires, et radioprotection, sous-comité SC 2, Radioprotection.
Cette seconde édition de l’ISO 11929-4, associée aux ISO 11929-1:2019, ISO 11929-2:2019 et
ISO 11929-3:2019, annule et remplace l’ISO 11929:2010 qui a fait l’objet d’une révision technique, en
particulier en ce qui concerne le type de traitement statistique des données, et a été étendue en termes
de méthodologie d’évaluation de l’incertitude du Guide ISO/IEC 98-3 et du Guide ISO/IEC 98-3:2008/
Suppl.1.
Une liste de toutes les parties de la série ISO 11929 se trouve sur le site web de l’ISO.
Il convient que l’utilisateur adresse tout retour d’information ou toute question concernant le présent
document à l’organisme national de normalisation de son pays. Une liste exhaustive desdits organismes
se trouve à l’adresse www .iso .org/ fr/ members .html.
Introduction
Les incertitudes de mesure et les valeurs caractéristiques, c’est-à-dire les limites caractéristiques telles
que le seuil de décision, la limite de détection et les limites de l’intervalle élargi pour les mesurages,
ainsi que la meilleure estimation et son incertitude-type associée, sont importantes pour la métrologie
en général, et pour la radioprotection en particulier. La quantification de l’incertitude associée à un
résultat de mesure sert de base pour déterminer la confiance qu’une personne peut accorder à ce
résultat.
NOTE 1 Le respect des limites réglementaires, des contraintes ou des valeurs de référence ne peut
être démontré qu’en prenant en compte et en quantifiant la totalité des sources d’incertitude. Les limites
caractéristiques servent – en définitive – de base pour décider d’accepter des résultats en tenant compte de
l’incertitude.
L’ISO 11929 (toutes les parties) fournit des valeurs caractéristiques d’un mesurande non négatif de
rayonnements ionisants. Elle peut s’appliquer à un large éventail de méthodes de mesure allant bien
au-delà du mesurage des rayonnements ionisants.
Les limites à établir conformément à l’ISO 11929 (toutes les parties), pour les probabilités spécifiées
de décisions incorrectes, permettent d’évaluer les possibilités de détection d’un mesurande ainsi que
l’effet physique quantifié par ce mesurande, comme suit:
— le «seuil de décision» permet de décider si l’effet physique quantifié par le mesurande est présent ou
non;
— la «limite de détection» indique la plus petite valeur vraie du mesurande qui peut encore être
détectée par la procédure de mesure utilisée; cela permet de décider si la procédure satisfait ou non
aux exigences et si elle est donc adaptée à l’objectif de mesurage prévu;
— les «limites de l’intervalle élargi» comprennent, si l’effet physique est reconnu comme présent, un
intervalle élargi contenant la valeur vraie du mesurande avec une probabilité spécifiée.
Dans la suite du présent document, les limites mentionnées ci-dessus sont collectivement appelées
«limites caractéristiques».
NOTE 2 Conformément au Guide ISO/IEC 99 mis à jour par le JCGM 200:2012, le terme «intervalle élargi»
est utilisé ici à la place de «intervalle de confiance» afin de distinguer la terminologie bayésienne de celle des
statistiques conventionnelles.
Toutes les valeurs caractéristiques sont fondées sur les statistiques bayésiennes et sur le Guide
ISO/IEC 98-3 ainsi que sur le Guide ISO/IEC 98-3:2008/Suppl.1 et le Guide ISO/IEC 98-3:2008/Suppl.2.
Comme l’explique en détail l’ISO 11929-2, les valeurs caractéristiques sont définies mathématiquement
au moyen de moments et de quantiles de lois de probabilité des valeurs possibles des mesurandes.
Comme l’incertitude de mesure joue un rôle important dans toutes les parties de l’ISO 11929,
l’évaluation des mesurages et le traitement des incertitudes associées sont réalisés au moyen de
procédures générales conformément au Guide ISO/IEC 98-3 et au Guide ISO/IEC 98-3:2008/Suppl.1
(voir aussi les références [21 à 25]). Cela permet d’établir une séparation stricte entre, d’une part,
l’évaluation des mesurages et, d’autre part, la mise en place et le calcul des valeurs caractéristiques.
[26 à 28]
L’ISO 11929 (toutes les parties) utilise une théorie d’incertitude de mesurage reposant sur les
statistiques bayésiennes (par exemple les références [29 à 36]) afin de pouvoir également tenir compte
de ces incertitudes qui ne peuvent pas être déduites de mesurages répétés ou de mesurages par
comptage. Ces dernières incertitudes ne peuvent pas être traitées par des statistiques fréquentistes.
Du fait des développements en métrologie concernant l’incertitude de mesure exposés dans le
Guide ISO/IEC 98-3, l’ISO 11929:2010 a été rédigée sur la base du Guide ISO/IEC 98-3, mais en utilisant
les statistiques bayésiennes et la théorie bayésienne de l’incertitude de mesure. Cette théorie sert de
base bayésienne pour le Guide ISO/IEC 98-3. En outre, l’ISO 11929:2010 est fondée sur les définitions
[21] [22] [23]
des valeurs caractéristiques , la proposition de norme et l’article explicatif . Elle a unifié et
remplacé toutes les parties antérieures de l’ISO 11929 et était non seulement applicable à une grande
viii © ISO 2020 – Tous droits réservés
diversité de mesurages particuliers de rayonnements ionisants, mais aussi, par analogie, à d’autres
procédures de mesure. Plusieurs documents explicatifs des concepts de base de l’ISO 11929 (toutes les
[42][43]
parties), en général, et de son application ont par ailleurs été publiés .
Depuis la publication du Guide ISO/IEC Guide 98-3:2008/Suppl.1, la méthode Monte Carlo a été utilisée
pour traiter de manière exhaustive et plus générale l’incertitude de mesure dans des évaluations de
[24]
mesure complexes. Ce développement a incité à rédiger un supplément à l’ISO 11929:2010 portant
sur la méthode Monte Carlo. L’ISO 11929 (toutes les parties) révisée repose aussi essentiellement
sur les statistiques bayésiennes et peut servir de passerelle entre l’ISO 11929:2010 et le
Guide ISO/IEC 98-3:2008/Suppl.1. En outre, des définitions plus générales des valeurs caractéristiques
(ISO 11929-2) et le calcul des valeurs caractéristiques par la méthode Monte Carlo permettent d’aller
au-delà de l’état actuel de la normalisation exposé dans l’ISO 11929:2010 car des lois de probabilité
peuvent être propagées, et non plus des incertitudes. Elle est donc plus complète et élargit l’éventail des
applications.
En outre, l’ISO 11929 (toutes les parties), révisée est plus explicite concernant le calcul des valeurs
caractéristiques. La référence [25] est une enquête fondée sur la révision. Par ailleurs, l’ISO 11929-3
fournit des conseils détaillés pour calculer les valeurs caractéristiques en cas de mesurages
à plusieurs variables en utilisant des méthodes de déconvolution. Pour de tels mesurages, le
Guide ISO/IEC 98-3:2008/Suppl.2 sert de base pour l’évaluation de l’incertitude.
Des formules sont fournies pour le calcul des valeurs caractéristiques d’un mesurande de rayonnement
ionisant via «l’incertitude-type de mesure» du mesurande (ci-après appelée «incertitude-type»)
déterminée conformément au Guide ISO/IEC 98-3, ainsi que via les fonctions de densité de probabilité
(FDP) du mesurande déterminées conformément au Guide ISO/IEC 98-3:2008/Suppl.1. Les incertitudes-
types ou les fonctions de densité de probabilité tiennent compte des incertitudes du mesurage réel,
ainsi que de celles du traitement de l’échantillon, de l’étalonnage du système de mesure et d’autres
influences. Ces dernières incertitudes sont présumées être connues grâce à des recherches antérieures.
NORME INTERNATIONALE ISO 11929-4:2020(F)
Détermination des limites caractéristiques (seuil de
décision, limite de détection et limites de l'intervalle
élargi) pour le mesurage des rayonnements ionisants —
Principes fondamentaux et applications —
Partie 4:
Lignes directrices relatives aux applications
1 Domaine d’application
Le présent document spécifie une procédure applicable, dans le domaine de la métrologie des
rayonnements ionisants, pour le calcul du «seuil de décision», de la «limite de détection» et des «limites
de l’intervalle élargi» pour un mesurande de rayonnement ionisant non négatif, lorsque des mesurages
par comptage sont effectués avec une présélection du temps ou du nombre d’impulsions. Le mesurande
résulte d’un taux de comptage brut et d’un taux de comptage du bruit de fond ainsi que de grandeurs
supplémentaires reposant sur un modèle d’évaluation. En particulier, le mesurande peut être le taux
de comptage net défini comme étant la différence du taux de comptage brut et du taux de comptage du
bruit de fond, ou l’activité nette d’un échantillon. Il peut également être influencé par l’étalonnage du
système de mesure, par le traitement de l’échantillon et par d’autres facteurs.
L’ISO 11929 a été scindée en quatre parties couvrant les applications élémentaires dans l’ISO 11929-1,
les applications avancées reposant sur le Guide ISO/IEC 98-3:2008/Suppl.1 dans l’ISO 11929-2, les
applications aux méthodes de déconvolution dans l’ISO 11929-3, et les recommandations d’application
dans l’ISO 11929-4.
L’ISO 11929-1 couvre les applications de base des mesurages par comptage souvent utilisés dans le
domaine de la métrologie des rayonnements ionisants. Elle se limite aux applications pour lesquelles
on peut évaluer les incertitudes sur la base du Guide ISO/IEC 98-3 (JCGM 2008). L’ISO 11929-1:2019,
Annexe A traite du cas particulier des mesurages répétés par comptage avec des influences aléatoires,
alors que l’ISO 11929-1:2019, Annexe B couvre les mesurages avec des ictomètres analogiques linéaires.
L’ISO 11929-2 étend l’ISO 11929-1 à l’évaluation des incertitudes de mesure conformément au
Guide ISO/IEC 98-3:2008/Suppl.1. L’ISO 11929-2 contient également plusieurs notes explicatives
concernant les aspects généraux des mesurages par comptage et les statistiques bayésiennes dans les
mesurages.
L’ISO 11929-3 traite de l’évaluation des mesurages en utilisant des méthodes de déconvolution ainsi que
de l’évaluation des mesurages multicanaux spectrométriques par comptage en cas d’évaluation par des
méthodes de déconvolution, en particulier pour les mesurages spectrométriques alpha et gamma. Elle
fournit en outre des conseils pour le traitement avec des corrélations et des covariances.
L’ISO 11929-4 fournit des recommandations pour l’application de l’ISO 11929 (toutes les parties),
résume les grandes lignes de la procédure générale et présente ensuite un large éventail d’exemples
numériques. Les exemples couvrent les applications élémentaires selon l’ISO 11929-1 et l’ISO 11929-2.
...
NORME ISO
INTERNATIONALE 11929-4
Deuxième édition
2020-09
Détermination des limites
caractéristiques (seuil de décision,
limite de détection et limites de
l'intervalle élargi) pour le mesurage
des rayonnements ionisants —
Principes fondamentaux et
applications —
Partie 4:
Lignes directrices relatives aux
applications
Determination of the characteristic limits (decision threshold,
detection limit and limits of the coverage interval) for measurements
of ionizing radiation — Fundamentals and application —
Part 4: Guidelines to applications
Numéro de référence
©
ISO 2020
DOCUMENT PROTÉGÉ PAR COPYRIGHT
© ISO 2020
Tous droits réservés. Sauf prescription différente ou nécessité dans le contexte de sa mise en œuvre, aucune partie de cette
publication ne peut être reproduite ni utilisée sous quelque forme que ce soit et par aucun procédé, électronique ou mécanique,
y compris la photocopie, ou la diffusion sur l’internet ou sur un intranet, sans autorisation écrite préalable. Une autorisation peut
être demandée à l’ISO à l’adresse ci-après ou au comité membre de l’ISO dans le pays du demandeur.
ISO copyright office
Case postale 401 • Ch. de Blandonnet 8
CH-1214 Vernier, Genève
Tél.: +41 22 749 01 11
E-mail: copyright@iso.org
Web: www.iso.org
Publié en Suisse
ii © ISO 2020 – Tous droits réservés
Sommaire Page
Avant-propos .vii
Introduction .viii
1 Domaine d’application . 1
2 Références normatives . 2
3 Termes et définitions . 3
4 Grandeurs et symboles . 3
5 Résumé du présent document . 5
5.1 Procédures conformes à l’ISO 11929 (toutes les parties) . 5
5.2 Vue d’ensemble des exemples . 5
5.3 Stipulations générales . 8
6 Mesurages par comptage à incertitude faible ou modérée . 9
6.1 Définition de la tâche et aspects généraux. 9
6.2 Modèle d’évaluation et incertitude-type . 9
6.3 Informations disponibles, données d’entrée et spécifications . 9
6.4 Évaluation du mesurage et des limites caractéristiques conformément à l’ISO 11929-1 .10
6.4.1 Comptage du bruit de fond .10
6.4.2 Résultat primaire et son incertitude-type associée .10
6.4.3 Incertitude-type en fonction d’une valeur vraie présumée .11
6.4.4 Seuil de décision .11
6.4.5 Limite de détection .11
6.4.6 Limites des intervalles élargis .11
6.4.7 Meilleure estimation et son incertitude-type associée .12
6.5 Documentation des résultats obtenus d’après l’ISO 11929-1 et l’ISO 11929-2 .12
6.6 Évaluation et explications.14
7 Mesurage par comptage avec un faible nombre d’impulsions .15
7.1 Définition de la tâche et aspects généraux.15
7.2 Modèle d’évaluation et incertitude-type .15
7.3 Informations disponibles, données d’entrée et spécifications .15
7.4 Évaluation du mesurage et des limites caractéristiques conformément à l’ISO 11929-1 .16
7.4.1 Comptage du bruit de fond .16
7.4.2 Résultat primaire et son incertitude-type associée .16
7.4.3 Incertitude-type en fonction d’une valeur vraie présumée .16
7.4.4 Seuil de décision .17
7.4.5 Limite de détection .17
7.4.6 Limites des intervalles élargis .17
7.4.7 Meilleure estimation et son incertitude-type associée .18
7.5 Documentation des résultats obtenus d’après l’ISO 11929-1 et l’ISO 11929-2 .18
7.6 Évaluation et explications.19
7.7 Exemple alternatif de mesurage avec un faible nombre d’impulsions .20
7.7.1 Généralités .20
7.7.2 Comptage du bruit de fond .20
7.7.3 Résultat primaire et son incertitude-type associée .20
7.7.4 Incertitude-type en fonction d’une valeur vraie présumée .21
7.7.5 Seuil de décision .21
7.7.6 Limite de détection .21
7.7.7 Limites des intervalles élargis .22
7.7.8 Meilleure estimation et son incertitude-type associée .22
7.8 Documentation des résultats obtenus d’après l’ISO 11929-1 et l’ISO 11929-2 .22
7.9 Évaluation de l’exemple alternatif et explications.24
8 Mesurages par comptage avec des incertitudes élevées au numérateur du facteur
d’étalonnage .24
8.1 Définition de la tâche et aspects généraux.24
8.2 Modèle d’évaluation et incertitude-type .25
8.3 Informations disponibles, données d’entrée et spécifications .25
8.4 Évaluation du mesurage et des limites caractéristiques conformément à l’ISO 11929-1 .26
8.4.1 Comptage du bruit de fond .26
8.4.2 Résultat primaire et son incertitude-type associée .26
8.4.3 Incertitude-type en fonction d’une valeur vraie présumée .26
8.4.4 Seuil de décision .26
8.4.5 Limite de détection .27
8.4.6 Limites des intervalles élargis .27
8.4.7 Meilleure estimation et son incertitude-type associée .27
8.5 Documentation des résultats obtenus d’après l’ISO 11929-1 et l’ISO 11929-2 .27
8.6 Évaluation et explications.29
9 Mesurages par comptage avec des incertitudes élevées au dénominateur du facteur
d’étalonnage .29
9.1 Définition de la tâche et aspects généraux.29
9.2 Modèle d’évaluation et incertitude-type .30
9.3 Informations disponibles, données d’entrée et spécifications .30
9.4 Évaluation du mesurage et des limites caractéristiques conformément à l’ISO 11929-1 .31
9.4.1 Comptage du bruit de fond .31
9.4.2 Résultat primaire et son incertitude-type associée .31
9.4.3 Incertitude-type en fonction d’une valeur vraie présumée .32
9.4.4 Seuil de décision .32
9.4.5 Limite de détection .32
9.4.6 Limites des intervalles élargis .32
9.4.7 Meilleure estimation et son incertitude-type associée .33
9.5 Documentation des résultats obtenus d’après l’ISO 11929-1 et l’ISO 11929-2 .33
9.6 Évaluation et explications.34
10 Mesurages par comptage avec effet d’écran du bruit de fond .35
10.1 Définition de la tâche et aspects généraux.35
10.2 Modèle d’évaluation et incertitude-type .35
10.3 Informations disponibles, données d’entrée et spécifications .35
10.4 Évaluation du mesurage et des limites caractéristiques conformément à l’ISO 11929-1 .36
10.4.1 Comptage du bruit de fond .36
10.4.2 Résultat primaire et son incertitude-type associée .36
10.4.3 Incertitude-type en fonction d’une valeur vraie présumée .36
10.4.4 Seuil de décision .37
10.4.5 Limite de détection .37
10.4.6 Limites des intervalles élargis .37
10.4.7 Meilleure estimation et son incertitude-type associée .37
10.5 Documentation des résultats obtenus d’après l’ISO 11929-1 et l’ISO 11929-2 .37
10.6 Évaluation et explications.39
11 Mesurage de dédouanement par comptage .39
11.1 Définition de la tâche et aspects généraux.39
11.2 Modèle d’évaluation et incertitude-type .40
11.3 Informations disponibles, données d’entrée et spécifications .41
11.4 Évaluation du mesurage et des limites caractéristiques conformément à l’ISO 11929-1 .42
11.4.1 Comptage du bruit de fond .42
11.4.2 Résultat primaire et son incertitude-type associée .42
11.4.3 Incertitude-type en fonction d’une valeur vraie présumée .42
11.4.4 Seuil de décision .42
11.4.5 Limite de détection .43
11.4.6 Limites des intervalles élargis .43
11.4.7 Meilleure estimation et son incertitude-type associée .43
11.5 Documentation des résultats obtenus d’après l’ISO 11929-1 et l’ISO 11929-2 .43
11.6 Évaluation et explications.45
iv © ISO 2020 – Tous droits réservés
12 Spectrométrie gamma de l’uranium 235 avec interférence du radium 226 .46
12.1 Définition de la tâche et aspects généraux.46
12.2 Modèle d’évaluation et incertitude-type .47
12.3 Informations disponibles, données d’entrée et spécifications .48
12.4 Évaluation du mesurage et des limites caractéristiques conformément à l’ISO 11929-1 .49
12.4.1 Comptage du bruit de fond .49
12.4.2 Résultat primaire et son incertitude-type associée .49
12.4.3 Incertitude-type en fonction d’une valeur vraie présumée .50
12.4.4 Seuil de décision .51
12.4.5 Limite de détection .51
12.4.6 Limites des intervalles élargis .51
12.4.7 Meilleure estimation et son incertitude-type associée .52
12.5 Documentation des résultats obtenus d’après l’ISO 11929-1 et l’ISO 11929-2 .52
12.6 Évaluation et explications.53
13 Mesurages de type «boîte noire» .54
13.1 Définition de la tâche et aspects généraux.54
13.2 Modèle d’évaluation et incertitude-type .54
13.3 Informations disponibles, données d’entrée et spécifications .55
13.4 Évaluation du mesurage et des limites caractéristiques conformément à l’ISO 11929-1 .55
13.4.1 Comptage du bruit de fond .55
13.4.2 Résultat primaire et son incertitude-type associée .56
13.4.3 Incertitude-type en fonction d’une valeur vraie présumée .56
13.4.4 Seuil de décision .57
13.4.5 Limite de détection .57
13.4.6 Limites des intervalles élargis .57
13.4.7 Meilleure estimation et son incertitude-type associée .57
13.5 Documentation des résultats obtenus d’après l’ISO 11929-1 et l’ISO 11929-2 .58
13.6 Évaluation et explications.59
14 Mesurages par comptage avec influence aléatoire inconnue du traitement
de l’échantillon .59
14.1 Définition de la tâche et aspects généraux.59
14.2 Modèle d’évaluation et incertitude-type .60
14.3 Informations disponibles, données d’entrée et spécifications .60
14.4 Évaluation du mesurage et des limites caractéristiques conformément à l’ISO 11929-1 .61
14.4.1 Comptage du bruit de fond .61
14.4.2 Résultat primaire et son incertitude-type associée .61
14.4.3 Incertitude-type en fonction d’une valeur vraie présumée .62
14.4.4 Seuil de décision .62
14.4.5 Limite de détection .63
14.4.6 Limites des intervalles élargis .63
14.4.7 Meilleure estimation et son incertitude-type associée .63
14.5 Documentation des résultats obtenus d’après l’ISO 11929-1 et l’ISO 11929-2 .63
14.6 Évaluation et explications.65
15 Mesurages par comptage avec influence connue du traitement de l’échantillon .65
15.1 Définition de la tâche et aspects généraux.65
15.2 Modèle d’évaluation et incertitude-type .66
15.3 Informations disponibles, données d’entrée et spécifications .67
15.4 Évaluation du mesurage et des limites caractéristiques conformément à l’ISO 11929-1 .68
15.4.1 Détermination de l’incertitude relative du traitement de l’échantillon .68
15.4.2 Comptage du bruit de fond .68
15.4.3 Résultat primaire et son incertitude-type associée .69
15.4.4 Incertitude-type en fonction d’une valeur vraie présumée .69
15.4.5 Seuil de décision .69
15.4.6 Limite de détection .70
15.4.7 Limites des intervalles élargis .70
15.4.8 Meilleure estimation et son incertitude-type associée .70
15.5 Documentation des résultats obtenus d’après l’ISO 11929-1 et l’ISO 11929-2 .70
15.6 Évaluation et explications.72
16 Mesurage de dose avec un dosimètre individuel actif .72
16.1 Définition de la tâche et aspects généraux.72
16.2 Modèle d’évaluation et incertitude-type .73
16.3 Informations disponibles, données d’entrée et spécifications .73
16.4 Évaluation du mesurage et des limites caractéristiques conformément à l’ISO 11929-1 .74
16.4.1 Comptage du bruit de fond .74
16.4.2 Résultat primaire et son incertitude-type associée .74
16.4.3 Incertitude-type en fonction d’une valeur vraie présumée .74
16.4.4 Seuil de décision .75
16.4.5 Limite de détection .75
16.4.6 Limites des intervalles élargis .75
16.4.7 Meilleure estimation et son incertitude-type associée .76
16.5 Évaluation et explications.78
17 Mesurage du débit de dose avec un moniteur de neutrons .78
17.1 Définition de la tâche et aspects généraux.78
17.2 Modèle d’évaluation et incertitude-type .80
17.3 Informations disponibles, données d’entrée et spécifications .81
17.4 Évaluation du mesurage et des limites caractéristiques .82
17.4.1 Comptage du bruit de fond .82
17.4.2 Résultat primaire et son incertitude-type associée .83
17.4.3 Incertitude-type en fonction d’une valeur vraie présumée .83
17.4.4 Seuil de décision .84
17.4.5 Limite de détection .85
17.4.6 Limites des intervalles élargis .85
17.4.7 Meilleure estimation et son incertitude-type associée .86
17.5 Documentation des résultats .86
17.6 Évaluation et explications.87
Annexe A (informative) Détermination d’un facteur d’étalonnage .88
Annexe B (informative) Calculs selon l’ISO 11929-2 .94
Bibliographie .97
vi © ISO 2020 – Tous droits réservés
Avant-propos
L’ISO (Organisation internationale de normalisation) est une fédération mondiale d’organismes
nationaux de normalisation (comités membres de l’ISO). L’élaboration des Normes internationales est
en général confiée aux comités techniques de l’ISO. Chaque comité membre intéressé par une étude
a le droit de faire partie du comité technique créé à cet effet. Les organisations internationales,
gouvernementales et non gouvernementales, en liaison avec l’ISO participent également aux travaux.
L’ISO collabore étroitement avec la Commission électrotechnique internationale (IEC) en ce qui
concerne la normalisation électrotechnique.
Les procédures utilisées pour élaborer le présent document et celles destinées à sa mise à jour sont
décrites dans les Directives ISO/IEC, Partie 1. Il convient, en particulier de prendre note des différents
critères d’approbation requis pour les différents types de documents ISO. Le présent document a été
rédigé conformément aux règles de rédaction données dans les Directives ISO/IEC, Partie 2 (voir www
.iso .org/ directives).
L’attention est attirée sur le fait que certains des éléments du présent document peuvent faire l’objet de
droits de propriété intellectuelle ou de droits analogues. L’ISO ne saurait être tenue pour responsable
de ne pas avoir identifié de tels droits de propriété et averti de leur existence. Les détails concernant
les références aux droits de propriété intellectuelle ou autres droits analogues identifiés lors de
l’élaboration du document sont indiqués dans l’Introduction et/ou dans la liste des déclarations de
brevets reçues par l’ISO (voir www .iso .org/ brevets).
Les appellations commerciales éventuellement mentionnées dans le présent document sont données
pour information, par souci de commodité, à l’intention des utilisateurs et ne sauraient constituer un
engagement.
Pour une explication de la nature volontaire des normes, la signification des termes et expressions
spécifiques de l’ISO liés à l’évaluation de la conformité, ou pour toute information au sujet de l’adhésion
de l’ISO aux principes de l’Organisation mondiale du commerce (OMC) concernant les obstacles
techniques au commerce (OTC), voir le lien suivant: www .iso .org/ iso/ fr/ avant -propos.
Le présent document a été élaboré par le comité technique ISO/TC 85, Énergie nucléaire, technologies
nucléaires, et radioprotection, sous-comité SC 2, Radioprotection.
Cette seconde édition de l’ISO 11929-4, associée aux ISO 11929-1:2019, ISO 11929-2:2019 et
ISO 11929-3:2019, annule et remplace l’ISO 11929:2010 qui a fait l’objet d’une révision technique, en
particulier en ce qui concerne le type de traitement statistique des données, et a été étendue en termes
de méthodologie d’évaluation de l’incertitude du Guide ISO/IEC 98-3 et du Guide ISO/IEC 98-3:2008/
Suppl.1.
Une liste de toutes les parties de la série ISO 11929 se trouve sur le site web de l’ISO.
Il convient que l’utilisateur adresse tout retour d’information ou toute question concernant le présent
document à l’organisme national de normalisation de son pays. Une liste exhaustive desdits organismes
se trouve à l’adresse www .iso .org/ fr/ members .html.
Introduction
Les incertitudes de mesure et les valeurs caractéristiques, c’est-à-dire les limites caractéristiques telles
que le seuil de décision, la limite de détection et les limites de l’intervalle élargi pour les mesurages,
ainsi que la meilleure estimation et son incertitude-type associée, sont importantes pour la métrologie
en général, et pour la radioprotection en particulier. La quantification de l’incertitude associée à un
résultat de mesure sert de base pour déterminer la confiance qu’une personne peut accorder à ce
résultat.
NOTE 1 Le respect des limites réglementaires, des contraintes ou des valeurs de référence ne peut
être démontré qu’en prenant en compte et en quantifiant la totalité des sources d’incertitude. Les limites
caractéristiques servent – en définitive – de base pour décider d’accepter des résultats en tenant compte de
l’incertitude.
L’ISO 11929 (toutes les parties) fournit des valeurs caractéristiques d’un mesurande non négatif de
rayonnements ionisants. Elle peut s’appliquer à un large éventail de méthodes de mesure allant bien
au-delà du mesurage des rayonnements ionisants.
Les limites à établir conformément à l’ISO 11929 (toutes les parties), pour les probabilités spécifiées
de décisions incorrectes, permettent d’évaluer les possibilités de détection d’un mesurande ainsi que
l’effet physique quantifié par ce mesurande, comme suit:
— le «seuil de décision» permet de décider si l’effet physique quantifié par le mesurande est présent ou
non;
— la «limite de détection» indique la plus petite valeur vraie du mesurande qui peut encore être
détectée par la procédure de mesure utilisée; cela permet de décider si la procédure satisfait ou non
aux exigences et si elle est donc adaptée à l’objectif de mesurage prévu;
— les «limites de l’intervalle élargi» comprennent, si l’effet physique est reconnu comme présent, un
intervalle élargi contenant la valeur vraie du mesurande avec une probabilité spécifiée.
Dans la suite du présent document, les limites mentionnées ci-dessus sont collectivement appelées
«limites caractéristiques».
NOTE 2 Conformément au Guide ISO/IEC 99 mis à jour par le JCGM 200:2012, le terme «intervalle élargi»
est utilisé ici à la place de «intervalle de confiance» afin de distinguer la terminologie bayésienne de celle des
statistiques conventionnelles.
Toutes les valeurs caractéristiques sont fondées sur les statistiques bayésiennes et sur le Guide
ISO/IEC 98-3 ainsi que sur le Guide ISO/IEC 98-3:2008/Suppl.1 et le Guide ISO/IEC 98-3:2008/Suppl.2.
Comme l’explique en détail l’ISO 11929-2, les valeurs caractéristiques sont définies mathématiquement
au moyen de moments et de quantiles de lois de probabilité des valeurs possibles des mesurandes.
Comme l’incertitude de mesure joue un rôle important dans toutes les parties de l’ISO 11929,
l’évaluation des mesurages et le traitement des incertitudes associées sont réalisés au moyen de
procédures générales conformément au Guide ISO/IEC 98-3 et au Guide ISO/IEC 98-3:2008/Suppl.1
(voir aussi les références [21 à 25]). Cela permet d’établir une séparation stricte entre, d’une part,
l’évaluation des mesurages et, d’autre part, la mise en place et le calcul des valeurs caractéristiques.
[26 à 28]
L’ISO 11929 (toutes les parties) utilise une théorie d’incertitude de mesurage reposant sur les
statistiques bayésiennes (par exemple les références [29 à 36]) afin de pouvoir également tenir compte
de ces incertitudes qui ne peuvent pas être déduites de mesurages répétés ou de mesurages par
comptage. Ces dernières incertitudes ne peuvent pas être traitées par des statistiques fréquentistes.
Du fait des développements en métrologie concernant l’incertitude de mesure exposés dans le
Guide ISO/IEC 98-3, l’ISO 11929:2010 a été rédigée sur la base du Guide ISO/IEC 98-3, mais en utilisant
les statistiques bayésiennes et la théorie bayésienne de l’incertitude de mesure. Cette théorie sert de
base bayésienne pour le Guide ISO/IEC 98-3. En outre, l’ISO 11929:2010 est fondée sur les définitions
[21] [22] [23]
des valeurs caractéristiques , la proposition de norme et l’article explicatif . Elle a unifié et
remplacé toutes les parties antérieures de l’ISO 11929 et était non seulement applicable à une grande
viii © ISO 2020 – Tous droits réservés
diversité de mesurages particuliers de rayonnements ionisants, mais aussi, par analogie, à d’autres
procédures de mesure. Plusieurs documents explicatifs des concepts de base de l’ISO 11929 (toutes les
[42][43]
parties), en général, et de son application ont par ailleurs été publiés .
Depuis la publication du Guide ISO/IEC Guide 98-3:2008/Suppl.1, la méthode Monte Carlo a été utilisée
pour traiter de manière exhaustive et plus générale l’incertitude de mesure dans des évaluations de
[24]
mesure complexes. Ce développement a incité à rédiger un supplément à l’ISO 11929:2010 portant
sur la méthode Monte Carlo. L’ISO 11929 (toutes les parties) révisée repose aussi essentiellement
sur les statistiques bayésiennes et peut servir de passerelle entre l’ISO 11929:2010 et le
Guide ISO/IEC 98-3:2008/Suppl.1. En outre, des définitions plus générales des valeurs caractéristiques
(ISO 11929-2) et le calcul des valeurs caractéristiques par la méthode Monte Carlo permettent d’aller
au-delà de l’état actuel de la normalisation exposé dans l’ISO 11929:2010 car des lois de probabilité
peuvent être propagées, et non plus des incertitudes. Elle est donc plus complète et élargit l’éventail des
applications.
En outre, l’ISO 11929 (toutes les parties), révisée est plus explicite concernant le calcul des valeurs
caractéristiques. La référence [25] est une enquête fondée sur la révision. Par ailleurs, l’ISO 11929-3
fournit des conseils détaillés pour calculer les valeurs caractéristiques en cas de mesurages
à plusieurs variables en utilisant des méthodes de déconvolution. Pour de tels mesurages, le
Guide ISO/IEC 98-3:2008/Suppl.2 sert de base pour l’évaluation de l’incertitude.
Des formules sont fournies pour le calcul des valeurs caractéristiques d’un mesurande de rayonnement
ionisant via «l’incertitude-type de mesure» du mesurande (ci-après appelée «incertitude-type»)
déterminée conformément au Guide ISO/IEC 98-3, ainsi que via les fonctions de densité de probabilité
(FDP) du mesurande déterminées conformément au Guide ISO/IEC 98-3:2008/Suppl.1. Les incertitudes-
types ou les fonctions de densité de probabilité tiennent compte des incertitudes du mesurage réel,
ainsi que de celles du traitement de l’échantillon, de l’étalonnage du système de mesure et d’autres
influences. Ces dernières incertitudes sont présumées être connues grâce à des recherches antérieures.
NORME INTERNATIONALE ISO 11929-4:2020(F)
Détermination des limites caractéristiques (seuil de
décision, limite de détection et limites de l'intervalle
élargi) pour le mesurage des rayonnements ionisants —
Principes fondamentaux et applications —
Partie 4:
Lignes directrices relatives aux applications
1 Domaine d’application
Le présent document spécifie une procédure applicable, dans le domaine de la métrologie des
rayonnements ionisants, pour le calcul du «seuil de décision», de la «limite de détection» et des «limites
de l’intervalle élargi» pour un mesurande de rayonnement ionisant non négatif, lorsque des mesurages
par comptage sont effectués avec une présélection du temps ou du nombre d’impulsions. Le mesurande
résulte d’un taux de comptage brut et d’un taux de comptage du bruit de fond ainsi que de grandeurs
supplémentaires reposant sur un modèle d’évaluation. En particulier, le mesurande peut être le taux
de comptage net défini comme étant la différence du taux de comptage brut et du taux de comptage du
bruit de fond, ou l’activité nette d’un échantillon. Il peut également être influencé par l’étalonnage du
système de mesure, par le traitement de l’échantillon et par d’autres facteurs.
L’ISO 11929 a été scindée en quatre parties couvrant les applications élémentaires dans l’ISO 11929-1,
les applications avancées reposant sur le Guide ISO/IEC 98-3:2008/Suppl.1 dans l’ISO 11929-2, les
applications aux méthodes de déconvolution dans l’ISO 11929-3, et les recommandations d’application
dans l’ISO 11929-4.
L’ISO 11929-1 couvre les applications de base des mesurages par comptage souvent utilisés dans le
domaine de la métrologie des rayonnements ionisants. Elle se limite aux applications pour lesquelles
on peut évaluer les incertitudes sur la base du Guide ISO/IEC 98-3 (JCGM 2008). L’ISO 11929-1:2019,
Annexe A traite du cas particulier des mesurages répétés par comptage avec des influences aléatoires,
alors que l’ISO 11929-1:2019, Annexe B couvre les mesurages avec des ictomètres analogiques linéaires.
L’ISO 11929-2 étend l’ISO 11929-1 à l’évaluation des incertitudes de mesure conformément au
Guide ISO/IEC 98-3:2008/Suppl.1. L’ISO 11929-2 contient également plusieurs notes explicatives
concernant les aspects généraux des mesurages par comptage et les statistiques bayésiennes dans les
mesurages.
L’ISO 11929-3 traite de l’évaluation des mesurages en utilisant des méthodes de déconvolution ainsi que
de l’évaluation des mesurages multicanaux spectrométriques par comptage en cas d’évaluation par des
méthodes de déconvolution, en particulier pour les mesurages spectrométriques alpha et gamma. Elle
fournit en outre des conseils pour le traitement avec des corrélations et des covariances.
L’ISO 11929-4 fournit des recommandations pour l’application de l’ISO 11929 (toutes les parties),
résume les grandes lignes de la procédure générale et présente ensuite un large éventail d’exemples
numériques. Les exemples couvrent les applications élémentaires selon l’ISO 11929-1 et l’ISO 11929-2.
...
















Questions, Comments and Discussion
Ask us and Technical Secretary will try to provide an answer. You can facilitate discussion about the standard in here.
Loading comments...