ISO/IEC 9548-1:1996
(Main)Information technology — Open Systems Interconnection — Connectionless Session protocol: Protocol specification
Information technology — Open Systems Interconnection — Connectionless Session protocol: Protocol specification
Specifies a connectionless session protocol. A connection-oriented session protocol is specified in ITU-T-Rec. X.225 (ISO/IEC 8327-1).
Technologies de l'information — Interconnexion de systèmes ouverts (OSI) — Protocole de service de session en mode sans connexion: Spécification du protocole
General Information
- Status
- Published
- Publication Date
- 31-Jul-1996
- Technical Committee
- ISO/IEC JTC 1 - Information technology
- Drafting Committee
- ISO/IEC JTC 1 - Information technology
- Current Stage
- 9093 - International Standard confirmed
- Start Date
- 13-Aug-2001
- Completion Date
- 12-Feb-2026
Relations
- Effective Date
- 06-Jun-2022
- Effective Date
- 15-Apr-2008
Overview
ISO/IEC 9548-1:1996 - Information technology - Open Systems Interconnection - Connectionless Session protocol: Protocol specification - specifies a connectionless session-layer protocol for exchanging data and control information between peer session entities. The standard defines the encoding of session protocol data units (SPDUs), the required service primitives between session entities, SS-users and the transport layer, and the functional requirements for conformant implementations. It applies only over the connectionless transport service (see ITU‑T Rec. X.214 / ISO/IEC 8072).
Key topics and technical requirements
- Scope and purpose
- Defines the connectionless session service and how a session entity conveys data without establishing/releasing a session connection.
- Specifies procedures for encoding, transmitting and interpreting session control information.
- Session Protocol Data Units (SPDUs)
- Primary SPDU: UD (Unit Data) used to carry an SSDU (session user data).
- SPDU fields include version number, calling session selector, called session selector, and user data.
- Service primitives
- Session-level primitives: S-UNIT-DATA request / indication (parameters: calling/called session address, SS-User-Data, QoS).
- Transport-level primitives used: T-UNIT-DATA request / indication (source/destination address, TS-User-Data).
- Protocol mechanisms
- Mapping of session addresses to transport addresses.
- Construction and parsing of UD SPDUs; version negotiation via SPDU version number.
- Handling of oversize SPDUs (discard and local report) and rules for discarded incoming data (no notification if recipient unavailable).
- Conformance
- Functional requirements for claiming conformance and a Part 2 PICS proforma is provided (ISO/IEC 9548-2).
- Annex A provides a state table integral to the specification.
Practical applications and who uses it
- Network protocol implementers building OSI-compliant stacks that require a connectionless session layer.
- Vendors of embedded systems, gateways and middleware that perform session-layer mapping to connectionless transport.
- Interoperability test labs and conformance testers using the Part 2 PICS and Annex A state tables.
- Architects designing systems that need lightweight session services over UDP-like transport or other connectionless transport services.
- Standards bodies and academics referencing OSI session-layer behaviors and SPDU encoding practices.
Related standards (for implementation context)
- ITU‑T Rec. X.200 / ISO/IEC 7498‑1 - OSI Basic Reference Model
- ITU‑T Rec. X.214 / ISO/IEC 8072 - Transport service definition (connectionless)
- ITU‑T Rec. X.215 / ISO/IEC 8326 - Session service definition
- ITU‑T Rec. X.225 / ISO/IEC 8327‑1 - Connection‑oriented Session Protocol (related)
- ITU‑T Rec. X.235 - Identical text published for ISO/IEC 9548-1
Keywords: ISO/IEC 9548-1:1996, connectionless session protocol, OSI session layer, SPDU, UD SPDU, T-UNIT-DATA, S-UNIT-DATA, session service, transport layer, protocol conformance, PICS.
ISO/IEC 9548-1:1996 - Information technology -- Open Systems Interconnection -- Connectionless Session protocol: Protocol specification
ISO/IEC 9548-1:1996 - Technologies de l'information -- Interconnexion de systemes ouverts (OSI) -- Protocole de service de session en mode sans connexion: Spécification du protocole
ISO/IEC 9548-1:1996 - Technologies de l'information -- Interconnexion de systemes ouverts (OSI) -- Protocole de service de session en mode sans connexion: Spécification du protocole
Get Certified
Connect with accredited certification bodies for this standard

BSI Group
BSI (British Standards Institution) is the business standards company that helps organizations make excellence a habit.

NYCE
Mexican standards and certification body.
Sponsored listings
Frequently Asked Questions
ISO/IEC 9548-1:1996 is a standard published by the International Organization for Standardization (ISO). Its full title is "Information technology — Open Systems Interconnection — Connectionless Session protocol: Protocol specification". This standard covers: Specifies a connectionless session protocol. A connection-oriented session protocol is specified in ITU-T-Rec. X.225 (ISO/IEC 8327-1).
Specifies a connectionless session protocol. A connection-oriented session protocol is specified in ITU-T-Rec. X.225 (ISO/IEC 8327-1).
ISO/IEC 9548-1:1996 is classified under the following ICS (International Classification for Standards) categories: 35.100.50 - Session layer. The ICS classification helps identify the subject area and facilitates finding related standards.
ISO/IEC 9548-1:1996 has the following relationships with other standards: It is inter standard links to ISO/IEC 9548-1:1996/Amd 1:2000; is excused to ISO/IEC 9548-1:1996/Amd 1:2000. Understanding these relationships helps ensure you are using the most current and applicable version of the standard.
ISO/IEC 9548-1:1996 is available in PDF format for immediate download after purchase. The document can be added to your cart and obtained through the secure checkout process. Digital delivery ensures instant access to the complete standard document.
Standards Content (Sample)
INTERNATIONAL ISO/IEC
STANDARD 9548-l
First edition
1996-08-01
Information technology - Open Systems
Interconnection - Connectionless Session
protocol: Protocol specification
Technologies de I’informa tion - Interconnexion de syst&mes ouverts
(OSI) - Protocole de session en mode sans connexion: Spkifica tion du
pro tocole
Reference number
&O/I EC 9548-l : 1996(E)
ISO/IEC 9548-l: 1996(E)
CONTENTS
Page
. . . . . . . . . . . . . . . . . . . . . . . . . . . . . . . . . . . . . . . . . . . . . . . . . . . . . . . . . . . . . . . . .~.~.
SECTION 1 - GENERAL
Scope .
2 Normative references .
........................................................................
2.1 Identical Recommendations I International Standards
Definitions .
3.1 Reference model definitions .
Additional definitions .
3.2
Abbreviations .
Data Units .
4.1
Session protocol data units .
4.2
........................................................................................................................................
4.3 SPDU fields
...........................................................................................................................................
4.4 Parameters
; .
4.5 Miscellaneous
...........................................................................................
5 Overview of the connectionless session protocol
.................................................................................................
5.1 Service provided by the session layer
...........................................................................................
52 . Service assumed from the transport layer
53 . Functions of the session layer . . . . . . . . . . . . . . . . . . . . . . . . . . . . . . . . . . . . . . . . . . . . . . . . . . . . . . . . . . . . . . . . . . . . . . . . . . . . . . . . . . . . . . . . . . . . .*.
. Model of the session layer . . . . . . . . . . . . . . . . . . . . . . . . . . . . . . . . . . . . . . . . . . . . . . .*.
. . . . . . . . . . . . . . . . . . . . . . . . . . . . . . . . . . . . . . . . . . . .
CONNECTIONLESS SESSION PROTOCOL SPECIFICATION
SECTION 2 -
Protocol mechanisms .
Session protocol data unit (SPDU) transfer .
61 .
Connectionless mode transfer .
62 .
...........................................................................................................
Encoding of the unit data (UD) SPDU
...................................................................................................................................
7.1 TSDU structure
...................................................................................................................................
7.2 SPDU structure
..............................................................................
7.3 SPDU identifiers and associated parameter fields
8 Conformance . . . . . . . . . . . . . . . . . . . . . . . . . . . . . . . . . . . . . . . . . . . . . . . . . . . . . . . . . . . . . . . . . . . . . . . . . . . . . . . . . . . . . . . . . . . . . . . . . . . . . . . . . . . . . . . . . . . . . . . . .
Annex A - State table . . . . . . . . . . . . . . . . . . . . . . . . . . . . . . . . . . . . . . . . . . . . . . . . . . . . . . . . . . . . . . . . . . . . . . . . . . . . . . . . . . . . . . . . . . . . . . . . . . . . . . . . . . . . . . . . . . . . . . . . .
0 ISO/IEC 1996
All rights reserved. Unless otherwise specified, no part of this publication may be reproduced or
utilized in any form or by any means, electronic or mechanical, including photocopying and micro-
film, without permission in writing from the publisher.
ISO/IEC Copyright Office l Case postale 56 l CH-1211 Geneve 20 l Switzerland
Printed in Switzerland
ii
@ ISO/IEC ISOIIEC 9548-l: 1996(E)
Foreword
IS0 (the International Organization for Standardization) and IEC (the Inter-
national Electrotechnical Commission) form the specialized system for worldwide
standardization. National bodies that are members of IS0 or IEC participate in the
development of International Standards through technical committees established
by the respective organization to deal with particular fields of technical activity.
IS0 and IEC technical committees collaborate in fields of mutual interest. Other
international organizations, governmental and non-governmental, in liaison with
IS0 and IEC, also take part in the work.
In the field of information technology, IS0 and IEC have established a joint
technical committee, ISO/IEC JTC 1. Draft International Standards adopted by the
joint technical committee are circulated to national bodies for voting. Publication
as an International Standard requires approval by at least 75 % of the national
bodies casting a vote.
International Standard ISO/IEC 9548-l was prepared by Joint Technical Com-
mittee ISO/IEC JTC 1, Information technology, Subcommittee SC 21, Open
systems interconnection, data management and open distributed processing, in
collaboration with ITU-T. The identical text is published as ITU-T Recommen-
dation X.235.
ISO/IEC 9548 consists of the following parts, under the general title Information
technology - Open Systems Interconnection - Connectionless Session protocol:
- Part 1: Protocol specification
- Part 2: Protocol Implementation Conformance Statement (PIGS) proforma
Annex A forms an integral part of this part of ISO/IEC 9548.
. . .
ISO/IEC 9548=1:1996(E) 0 ISO/IEC
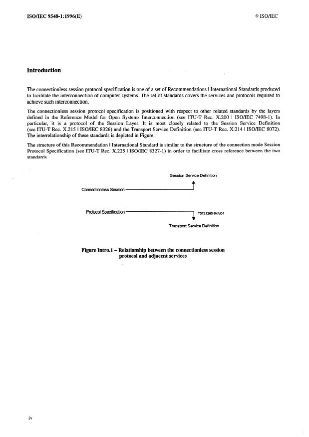
Introduction
The connectionless session protocol specification is one of a set of Recommendations I International Standards produced
to facilitate the interconnection of computer systems. The set of standards covers the services and protocols required to
achieve such interconnection.
The connectionless session protocol specification is positioned with respect to other related standards by the layers
defined in the Reference ‘Model for Open Systems Interconnection (see ITU-T Rec. X.200 I ISO/IEC 7498-l). In
particular, it is a protocol of the Session Layer. It is most closely related to the Session Service Definition
(see ITU-T Rec. X.215 I ISO/IEC 8326) and the Transport Service Definition (see ITU-T Rec. X.214 I ISO/IEC 8072).
The interrelationship of these standards is depicted in Figure.
The structure of this Recommendation I International Standard is similar to the structure of the connection mode Session
Protocol Specification (see ITU-T Rec. X.225 I ISO/IEC 8327-l) in order to facilitate cross reference between the two
standards.
Session Service Definition
t
Connectionless Session
Protocol Specification
'I TO72126044/dOl
Transport Service Definition
Figure Intro.1 - Relationship between the connectionless session
protocol and adjacent services
iv
ISO/IEC 9548-l: 1996(E)
INTERNATIONAL STANDARD
ITU-T RECOMMENDATION
INFORMATION TECHNOLOGY - OPEN SYSTEMS INTERCONNECTION -
CONNECTIONLESS SESSION PROTOCOL: PROTOCOL SPECIFICATION
SECTION 1 - GENERAL
1 Scope
This Recommendation I International Standard suecifies:
the connectionless transmission of data and protocol information from one session
procedures for
a>
entity to a peer session entity;
the encoding of the session protocol data units used for the transmission of data and control information;
b)
procedures for the correct interpretation of session protocol control information; and
C)
the functional requirements for implementations claiming conformance to this Recommendation I
d)
International Standard.
The procedures are defined in terms of:
e) the interactions among peer session entities through the exchange of session protocol data units;
the interactions between a session entity and a session service user through the exchange of session
service primitives; and
the interactions between a entity and a transport provider through the exchange of transport service
8)
primitives.
This Recommendation I International Standard specifies a connectionless session protocol. A connection-oriented
session protocol is specified in ITU-T Rec. X.225 I ISO/IEC 8327-l.
Normative references
The following Recommendations and International Standards contain provisions which, through reference in this text,
constitute provisions of this Recommendation I International Standard. At the time of publication, the editions indicated
were valid. All Recommendations and Standards are subject to revision, and parties to agreements based on this
Recommendation I International Standard are encouraged to investigate the possibility of applying the most recent
edition of the Recommendations and Standards listed below. Members of IS0 and IEC maintain registers of currently
valid International Standards. The Telecommunication Standardization Bureau of the ITU maintains a list of currently
valid ITU-T Recommendations.
21 0 Identical Recommendations I International Standards
-
ITU-T Recommendation X.200 (1994) I ISO/IEC 7498- 1: 1994, Information technology - @en Systems
Interconnection - Basic Reference Model: The Basic Model.
-
ITU-T Recommendation X.214 (1993) I ISO/IEC 8072: 1994, Znformation technology - open Systems
Interconnection - Transport service definition.
IT&T Rec. X.235 (1995 E) 1
ISO/IEC 9548=1:1996(E)
-
ITU-T Recommendation X.215 (1994) I ISO/IEC 8326:.? Information technology - Oben Systems
Interconnection - Session service definition.
-
ITU-T Recommendation X.225 (1994) I ISO/IEC 8327-l :.I), Information technology - Open Systems
Interconnection - Connection-oriented Session Protocol: Protocol specification.
3 Definitions
31 . Reference model definitions
This Recommendation I International Standard makes use of the following terms defined in ITU-T Rec. X.200 I
ISO/IEC 749% 1:
a) Transport Layer;
b) Session Layer;
session service access point;
c)
d) session service access point address;
session entity;
e)
protocol;
f)
service.
g)
32 . Additional definitions
For the purposes of this Recommendation I International Standard, the following definitions apply:
3.2.1 calling session address: Identifies the session service user that acts as the source of data during a particular
instance of session connectionless mode transmission.
called session address: Identifies the session service user that acts as the sink of data during a particular
3.2.2
instance of session connectionless mode transmission.
Abbreviations
Data Units
41 a
For the purposes of this Recommendation I International Standard, the following abbreviations apply:
SPDU Session Protocol Data Unit
SDU Service Data Unit
TSDU Transport Service Data Unit
42 Session protocol data units
.
UD SPDU Unit Data SPDU
43 . SPDU fields
SI SPDU Identifier
LI Length Indicator
PI Parameter Indicator
PV Parameter Value
l) To be published.
2 ITU-T Rec. X.235 (1995 E)
PSO/IEC 9548-l: 1996(E)
44 . Parameters
-
calling session selector;
-
called session selector.
45 . Miscellaneous
SPM Session Protocol Machine
Session Service
ss
SS-user Session Service User
SSAP Session Service Access Point
TSAP Transport Service Access Point
5 Overview of the connectionless session protocol
51 . Service provided by the session layer
The service provided by the protocol described in this Recommendation I International Standard is a connectionless
session service. The connectionless session service is described in ITU-T Rec. X.215 I ISO/IEC 8326. The session
service primitives provided are summarized in Table 1.
Table 1 - Connectionless session service primitives
Primitive Parameters
Calling session address
S-UNIT-DATA request
Called session address
Quality of Service
SS-User-Data
S-UNIT-DATA indication Calling session address
Called session address
SS-User-Data
52 . Service assumed from the transport layer
The session protocol described in this Recommendation I International Standard can operate only over the connectionless
transport service defined in ITU-T Rec. X.214 I ISO/IEC 8072. When operating over that service, the service primitives
summarized in Table 2 are used.
Table 2 - Connectionless transport service primitives
Parameters
Primitive
T-UNIT-DATA request Source address
Destination address
Quality of Service
TS-User-Data
T-UNIT-DATA indication Source address
Destination address
TS-User-Data
NOTE - Only those parameters pertinent to this session protocol are included in the above
tables.
ITU-T Rec. X.235 (1995 E) 3
ISO/IEC 9548=1:1996(E)
53 . Functions of the session layer
The functions of the session layer are:
to map session addresses onto transport addresses;
a>
b) to select transport Quality of Service parameters needed;
to transfer session selectors; and
C)
d) to transfer an SSDU.
54 . Model of the session layer
A session protocol entity is comprised of one or more session protocol machines (SPMs). A SPM may be connection
oriented or connectionless. The connectionless session protocol machine communicates with the SS-user through one or
more SSAPs by means of the connectionless session service primitives (defined in ITU-T Rec. X.215 I ISO/IEC 8326).
These session service primitives cause or result from the exchange of SPDUs between peer session entities engaged in
connectionless mode transmission. These protocol exchanges are effected by making use of the services of the transport
layer, as defined in the transport service definition.
The model of session connectionless mode transmission is presented in 6.2 of the session service definition covering
connectionless mode transmission. The model of the session layer is illustrated in Figure 1.
(SSAP) (SSAP)
Session Protocol Session Protocol
Machine Machine
c(TSAP)
O-SAP)
Figure 1 - Model of the connectionless session layer
SECTION 2 - CONNECTIONLESS SESSION PROTOCOL SPECIFICATION
6 Protocol mechanisms
The protocol mechanisms described below are those used for the connectionless session protocol.
Session protocol data unit (SPDU) transfer
61 .
6.1.1 Purpose
To convey session protocol data units in user data fields of transport service primitives.
4 ITU-T Rec. X.235 (1995 E)
ISO/IEC 9548=1:1996(E)
6.1.2 Transport service primitives
The procedure uses the following transport service primitives:
T-UNIT-DATA request
T-UNIT-DATA indication
SPDUs used
6.1.3
The SPDUs defined for the connectionless protocol are listed below:
SPDU Name Abbreviation
UNITDATA UD
62 . Connectionless mode transfer
6.2.1 Purpose
To transfer one SSDU from one SS-user to another SS-user without session connection establishment or release.
6.2.2 Transport service primitives
T-UNIT-DATA request
T-UNIT-DATA indication
6.2.3 SPDUs and fields used
UD SPDU
version number
calling session selector
called session selector
user data
Sending a UD SPDU
6.2.4
The called and calling session address parameters of the S-UNIT-DATA request service primitive are used to determine
the source address, calling session selector, destination address, and called session selector.
If the length of the SPDU exceeds the maximum TSDU size supported by the transport service, then the S-UNIT-DATA
request is discarded and a local report may be made to the SS-user indicating the inability of the session layer to provide
the service requested.
A UD SPDU is constructed with a calling session selector, a called session selector, and user data supplied by the SS-
user in the S-UNITDATA request. It also contains a protocol version number provided by the SPM.
A T-UNIT-DATA request service primitive is issued with the source and destination addresses determined above, the
Quality of Service requested and a TS-user-data parameter containing the UD SPDU.
6.2.5 Receiving a UD SPDU
The UD SPDU arrives in the TS-user-data field of a T-UNIT-DATA indication.
A valid incoming UD SPDU results in an S-UNIT-DATA indication, provided that the version number parameter in the
incoming UD SPDU indicates at least one protocol version which is supported by the receiving SPM. Parameters
corresponding to the highest common protocol version are supplied in the S-UNIT-DATA indication.
The source address from the T-UNIT-DATA indication and the calling session selector from the UD SPDU will be used
to determine the calling session address parameter for the S-UNIT-DATA indication. The destination address from the
T-UNIT-DATA indication and the called session selector from the UD SPDU will be used to determine the called
session address parameter for the S-UNIT-DATA indication.
The user information field of the UD SPDU will be mapped to the user data parameter of the S-UNIT-DATA indication.
If the data cannot be immediately delivered to a SS-user due to non-existent recipient, recipient not ready to receive, or
too large data field si .ze, that unit data is discarded without any notification.
ITU-T Rec. X.235 (1995 E) 5
ISO/IEC 9548-1: 1996(E)
7 Encoding of the unit data (UD) SPDU
11 l TSDU structure
Each UD SPDU is contained within a single TSDU and consists of octets that are numbered sequentially starting from 1.
Each octet within an SPDU consists of eight bits numbered 8 to 1 where 1 is the low ordered bit.
The sequence of octets within an SPDU and the sequence of data within an octet are defined for each SPDU in 7.3, with
the additional convention that where the text refers to bits within a two octet field and the bits are numbered 16 to 1,
then 1 is the low order bit and the octet containing bits 16 to 9 precedes the octet containing bits 8 to 1 in the SPDU.
Within each TSDU:
a) the ordering of the octets is maintained to the same order as in the SPDU;
b) the: ordering of bits within each TSDU is maintained in the same order as in the SPDU (i.e. the low order
bit is mapped onto the low order bit and the high order bit is mapped onto the high order bit).
NOTES
1 The TSDU structure is illustrated in Figure 2. The integrity of this structure is maintained over a tr
...
ISO/CEI
NORME
INTERNATIONALE 9548-l
Première édition
1996-08-01
Technologies de l’information -
Interconnexion de systèmes ouverts
Protocole de service de session en
(OSI) -
mode sans connexion: Spécification du
protocole
Information technolog y - Open Systems lnterconnection -
Connectionless Session protocol: Protocol specification
Numéro de référence
ISO/CEI 9548--l :1996(F)
ISOKEI 9548=1:1996(F)
Page
Sommaire
- CONSIDÉRATIONS GÉNÉRALES . . . . . . . . . . . . . . . . . . . . . . . . . . . . . . . . . . . . . . . . . . . . . . . . . . . . . . . . . . . . . . . . . . . . . . . . . . . . . . . . . . . . . . . . . . . . 1
SECTION 1
Domaine d’application . . . . . . . . . . . . . . . . . . . . . . . . . . . . . . . . . . . . . . . . . . . . . . . . . . . . . . . . . . . . . . . . . . . . . . . . . . . . . . . . . . . . . . . . . . . . . . . . . . . . . . . . . . . . . . . . . . . . . . . . . 1
Références normatives . . . . . . . . . . . . . . . . . . . . . . . . . . . . . . . . . . . . . . . . . . . . . . . . . . . . . . . . . . . . . . . . . . . . . . . . . . . . . . . . . . . . . . . . . . . . . . . . . . . . . . . . . . . . . . . . . . . . . . . . . 1
2.1 Recommandations I Normes internationales identiques . . . . . . . . . . . . . . . . . . . . . . . . . . . . . . . . . . . . . . . . . . . . . . . . . . . . . . . . . . . . . . . . . . . . . . 1
Définitions . . . . . . . . . . . . . . . . . . . . . . . . . . . . . . . . . . . . . . . . . . . . . . . . . . . . . . . . . . . . . . . . . . . .*. 2
3.1 Définitions du modèle de référence . . . . . . . . . . . . . . . . . . . . . . . . . . . . . . . . . . . . . . . . . . . . . . . . . . . . . . . . . . . . . . . . . . . . . . . . . . . . . . . . . . . . . . . . . . . . . . . . . . . .
. . . . . . . . . . . . . . . . . . . . . . . . . . . . . . . . . . . . . . . . . . . . . . . . . . . . . . . . . . . . . . . . . . . . . . . . . . . . . . . . . . . . . . . . . . . . . . . . . . . . . . . . . . . . . . . . . . . . . . . . .* 2
3.2 Autres définitions
4 Abreviations . . . . . . . . . . . . . . . . . . . . . . . . . . . . . . . . . . . . . . . . . . . . . . . . . . . . . . . . . . . . . . . . . . . . . . . . . . . . . . . . . . . . . . . . . . . . . . . . . . . . . . . . . . . . . . . . . . . . . . . . .
4.1 Unites de données . . . . . . . . . . . . . . . . . . . . . . . . . . . . . . . . . . . . . . . . . . . . . . . . . . . . . . . . . . . . . . . . . . . . . . . . . . . . . . . . . . . . . . . . . . . . . . . . . . . . . . . . . . . . . . . . . . . . . . . . .
4.2 Unités SPDU . . . . . . . . . . . . . . . . . . . . . . . . . . . . . . . . . . . . . . . . . . . . . . . . . . . . . . . . . . . . . . . . . . . . . . . . . . . . . . . . . . . . . . . . . . . . . . . . . . . . . . . . . . . . . . . . . . . . . . . . .
Champs d’unité SPDU . . . . . . . . . . . . . . . . . . . . . . . . . . . . . . . . . . . . . . . . . . . . . . . . . . . . . . . . . . . . . . . . . . . . .*.
4.3
4.4 Paramètres . . . . . . . . . . . . . . . . . . . . . . . . . . . . . . . . . . . . . . . . . . . . . . . . . . . . . . . . . . . . . . . . . . . . . . . . . . . . . . . . . . . . . . . . . . . . . . . . . . . . . . . . . . . . . . . . . . . . . . . . .
4.5 Divers . . . . . . . . . . . . . . . . . . . . . .*.
5 Vue d’ensemble du protocole de session en mode sans connexion . . . . . . . . . . . . . . . . . . . . . . . . . . . . . . . . . . . . . . . . . . . . . . . . . . . . . . . . . . . . . . . .
51 . Service fourni par la couche Session . . . . . . . . . . . . . . . . . . . . . . . . . . . . . . . . . . . . . . . . . . . . . . . . . . . . . . . . . . . . . . . . . . . . . . . . . . . . . . . . . . . . . . . . . . . . . . . . . .
Service attendu de la couche Transport . . . . . . . . . . . . . . . . . . . . . . . . . . . . . . . . . . . . . . . . . . . . . . . . . . . . . . . . . . . . . . . . . . . . . . . . . . . . . . . . . . . . . . . . . . . . . .
5:3 Fonctions de la couche Session . . . . . . . . . . . . . . . . . . . . . . . . . . . . . . . . . . . . . . . . . . . . . . . . . . . . . . . . . . . . . . . . . . . . . . . . . . . . . . . . . . . . . . . . . . . . . . . . . . . . . . . . . . .
5.4 Modele de la couche Session . . . . . . . . . . . . . . . . . . . . . . . . . . . . . . . . . . . . . . . . . . . . . . . . . . . . . . . . . . . . . . . . . . . . . . . . . . . . . . . . . . . . . . . . . . . . . . . . . . . . . . . . . . . . . .
SECTION 2 - SPÉCIFICATION DU PROTOCOLE DE COUCHE SESSION EN MODE
SANS CONNEXION . . . . . . . . . . . . . . . . . . . . . . . . . . . . . . . . . . . . . . . . . . . . . . . . . . . . . . . . . . . . . . . . . . . . . . . . . . . . . . . . . . . . . . . . . . . . . . . . . . . . . . . . . . . . . . . . . . . . . . . . .
Mécanismes protocolaires . . . . . . . . . . . . . . . . . . . . . . . . . . . . . . . . . . . . . . . . . . . . . . . . . . . . . . . . . . . . . . . . . . . . . . . . . . . . . . . . . . . . . . . . . . . . . . . . . . . . . . . . . . . . . . . . . . . . . . . . . 4
Transfert d’unités SPDU . . . . . . . . . . . . . . . . . . . . . . . . . . . . . . . . . . . . . . . . . . . . . . . . . . . . . . . . . . . . . . . . . . . . . . . . . . . . . . . . . . . . . . . . . . . . . . . . . . . . . . . . . . . . . . . . . . . . . 4
61 .
62 . Transfert en mode sans connexion . . . . . . . . . . . . . . . . . . . . . . . . . . . . . . . . . . . . . . . . . . . . . . . . . . . . . . . . . . . . . . . . . . . . . . . . . . . . . . . . . . . . . . . . . . . . . . . . . . . . . .
Codage de l’unité SPDU UD .
7.1 Structure des unites TSDU .
7.2 Structure des unités SPDU .
7.3 Identificateurs et champs de paramètres associés des unites SPDU .
...................................................
Conformité à la présente Recommandation UIT-T I Norme internationale
Annexe A - Tables d’états . . . . . . . . . . . . . . . . . . . . . . .*.
0 ISOKEI 1996
Droits de reproduction réservés. Sauf prescription différente, aucune partie de cette publication ne
peut être reproduite ni utilisée sous quelque forme que ce soit et par aucun procédé, électronique ou
mécanique, y compris la photocopie et les microfilms, sans l’accord écrit de l’éditeur.
ISOKEI Copyright Office l Case postale 56 l CH- 1211 Genève 20 l Suisse
Imprimé en Suisse
ii
@ ISOKEI ISOKEI 9548-l: 1996(F)
Avant-propos
LIS0 (Organisation internationale de normalisation) et la CE1 (Commission
électrotechnique internationale) forment ensemble un système consacré à la
normalisation internationale considérée comme un tout. Les organismes nationaux
membres de I’ISO ou de la CE1 participent au développement de Normes inter-
nationales par l’intermédiaire des comités techniques créés par l’organisation
concernée afin de s’occuper des différents domaines particuliers de l’activité
technique. Les comités techniques de I’ISO et de la CE1 collaborent dans des
domaines d’intérêt commun. D’autres organisations internationales, gouverne-
mentales ou non gouvernementales, en liaison avec I’ISO et la CE1 participent
également aux travaux.
Dans le domaine des technologies de l’information, VIS0 et la CE1 ont créé un
comité technique mixte, I’ISOKEI JTC 1. Les projets de Normes internationales
adoptés par le comité technique mixte sont soumis aux organismes nationaux pour
approbation, avant leur acceptation comme Normes internationales. Les Normes
internationales sont approuvées conformément aux procédures qui requièrent
l’approbation de 75 % au moins des organismes nationaux votants.
La Norme internationale ISOKEI 9548-l a été élaborée par le comité technique
mixte ISOKEI JTC 1, Technologies de I?nformation, sous-comité SC 21,
Interconnexion des systèmes ouverts, gestion des données et traitement distribué
ouvert, en collaboration avec I’UIT-T. Le texte identique est publié en tant que
Recommandation UIT-T X.235.
L’ISOKEI 9548 comprend les parties suivantes, présentées sous le titre général
Technologies de 1 ‘information - Interconnexion de systèmes ouverts (OSI) -
Protocole de service de session en mode sans connexion:
- Partie 1: Spécification du protocole
- Partie 2: Formulaire de déclaration de conformité de mise en oeuvre du
protocole (PICS)
L’annexe A fait partie intégrante de la présente partie de I’ISOKEI 9548.
. . .
ISOKEI 9548=1:1996(F) @ ISOKEI
Introduction
La présente Spécification du protocole de session en mode sans connexion fait partie d’une famille de
Recommandations I Normes internationales établies pour faciliter l’interconnexion des équipements informatiques. Cet
ensemble de normes porte sur les services et protocoles necessaires à la réalisation d’une telle interconnexion.
La structuration en couches définie dans le Modele de référence pour l’interconnexion de systèmes ouverts (voir la
Rec. UIT-T X.200 I ISOKEI 7498-l) permet de situer la présente Spécification par rapport aux autres Normes
apparentées. La présente Recommandation est plus précisément un protocole de la couche Session. Elle est surtout liée à
la définition du service de session (voir la Rec. UIT-T X.215 I ISOKEI 8326) et à la définition du service de transport
(voir la Rec. UIT-T X.214 I ISOKEI 8072). La figure ci-après montre les relations entre ces Normes.
La structure de la présente Recommandation I Norme internationale est analogue à celle de la Spécification du protocole
de session en mode connexion (voir la Rec. UIT-T X.225 I ISOKEI 8327-l), ce qui facilite les renvois d’un texte à
l’autre.
Definition du service de couche Session
t
Sptkification du protocole
de session en mode sans
connexion
7 T0721260-94’d01
Dbfiniticn du service de couche Transport
Intro. 1 - Relations entre le protocole de session en mode sans connexion
et les services des couche adjacentes
ISOKEI 9548-l: 1996(F)
NORME INTERNATIONALE
RECOMMANDATION UIT-T
TECHNOLOGIES DE L’INFORMATION - INTERCONNEXION DE SYSTÈMES
OUVERTS (OSI) - PROTOCOLE DE SERVICE DESESSION EN MODE
SANS CONNEXION: SPÉCIFICATION DU PROTOCOLE
SECTION 1 - CONSIDÉRATIONS GÉNÉRALES
1 Domaine d’application
La présente Recommandation I Norme internationale spécifie:
a) les procédures applicables à la transmission de données et d’informations de contrôle de protocole en
mode sans connexion depuis une entité de session vers son homologue;
b) le codage des unités de données de protocole de session utilisées pour la transmission de données et
d’informations de contrôle;
c) les procédures à suivre pour interpréter correctement les informations de contrôle de protocole de session;
d) les caractéristiques fonctionnelles à mettre en œuvre dans les systèmes déclar& conformes à la présente
Recommandation I Norme internationale.
Les procédures sont définies en termes:
e) d’interactions entre entités de session homologues, par échange d’unités de données de protocole de
session;
f) d’interactions entre une entité de session et l’utilisateur du service de session, par échange de primitives du
service de session;
g) d’interactions entre une entité de couche Session et le fournisseur du service de couche Transport, par
échange de primitives du service de transport.
La présente Recommandation I Norme internationale spécifie un protocole de service de session en mode sans
connexion. Un protocole de service de session de base en mode connexion est defini dans la Rec. UIT-T X.225 I
ISOKEI 8327- 1.
2 Références normatives
Les Recommandations et les Normes internationales suivantes contiennent des dispositions qui, par suite de la référence
qui y est faite, constituent des dispositions valables pour la présente Recommandation I Norme internationale. Au
moment de la publication, les éditions indiquées étaient en vigueur. Toute Recommandation ou Norme est sujette à
révision et les parties prenantes aux accords fondés sur la présente Recommandation I Norme internationale sont invitées
a rechercher la possibilité d’appliquer les éditions les plus récentes des Recommandations et Normes indiquées ci-après.
Les membres de la CE1 et de I’ISO possèdent le registre des Normes internationales en vigueur. Le Bureau de la
normalisation des telécommunications de I’UIT tient a jour une liste des Recommandations UIT-T en vigueur.
21 0 Recommandations I Normes internationales identiques
-
Recommandation UIT-T X.200 (1994) I ISOKEI 7498- 1: 1994, Technologies de 1 ‘information -
Interconnexion des systèmes ouverts - Modèle de référence de base: Le modèle de référence de base.
-
Recommandation UIT-T X.214 (1993) I ISOKEI 8072: 1994, Technologies de l’information -
Interconnexion des systèmes ouverts - Définition du service de transport.
Rec. UIT-T X.235 (1995 F)
ISOKEI 9548=1:1996(F)
-
Recommandation UIT-T X.2 15 (1994) I ISOKEI 8326:. ‘1, Technologies de l’information -
Interconnexion des systèmes ouverts - Défktition du service de session.
-
l), Technologies de l’information -
Recommandation UIT-T X.225 (1994) I ISOKEI 8327-l:.
Interconnexion des systèmes ouverts - Spécijïcation du protocole de session de base en mode connexion.
3 Définitions
31 0 Définitions du modèle de référence
La présente Recommandation I Norme internationale utilise les termes suivants, qui sont définis dans la
Rec. UIT-T X.200 I ISOKEI 7498-l :
couche Transport;
a)
b) couche Session;
c) point d’accés au service de session;
d) adresse du point d’accès au service de session;
entité de session;
e)
f) protocole;
g) service.
32 l Autres définitions
Pour les besoins de la présente Recommandation I Norme internationale, les définitions suivantes s’appliquent:
3.2.1 adresse de session d’appelant: Identifie l’utilisateur du service de session qui constitue la source des données
pendant une instance déterminée de transmission de session en mode sans connexion.
3.2.2 adresse de session d’appelé: Identifie l’utilisateur du service de session qui constitue le collecteur des données
pendant une instance déterminee de transmission de session en mode sans connexion.
Abréviations
41 0 Unités de données
Pour les besoins de la présente Recommandation I Norme internationale, les abréviations suivantes sont utilisées:
SPDU Unité de données de protocole de session (session protocol data unit)
SSDU Unité de données du service de session (session service data unit)
TSDU Unité de données du service de transport (transport service data unit)
Unités SPDU
42 l
SPDU UD Unité SPDU (unit data SPDU)
0 Champs d’unité SPDU
SI Identificateur d’unité SPDU (SPDU identifier)
LI Indicateur de longueur (length indicator)
PI
Identificateur de paramètre (parameter indicator)
PV
Valeur de paramètre (parameter value)
l) A publier.
2 Rec. UIT-T X.235 (1995 F)
ISO/CEI 9548-l: 1996(F)
44 . Paramètres
- Sélecteur de session d’appelant
- Sélecteur de session d’appelé
45 0 Divers
SPM Machine protocole de session (session protocol machine)
Service de session (session service)
SS
SSAP Point d’accès au service de session (session service access point)
TSAP Point d’accès au service de transport (transport service access point)
5 Vue d’ensemble du protocole de session en mode sans connexion
51 0 Service fourni par la couche Session
Le service assuré par le protocole spécifie dans la présente Recommandation I Norme internationale est un service de
session en mode sans connexion. Ce service est décrit dans la Rec. UIT-T X.215 I ISOKEI 8326. Les primitives du
service sont énumérées au Tableau 1.
.
Tableau 1 - Primit
...
ISO/CEI
NORME
INTERNATIONALE 9548-l
Première édition
1996-08-01
Technologies de l’information -
Interconnexion de systèmes ouverts
Protocole de service de session en
(OSI) -
mode sans connexion: Spécification du
protocole
Information technolog y - Open Systems lnterconnection -
Connectionless Session protocol: Protocol specification
Numéro de référence
ISO/CEI 9548--l :1996(F)
ISOKEI 9548=1:1996(F)
Page
Sommaire
- CONSIDÉRATIONS GÉNÉRALES . . . . . . . . . . . . . . . . . . . . . . . . . . . . . . . . . . . . . . . . . . . . . . . . . . . . . . . . . . . . . . . . . . . . . . . . . . . . . . . . . . . . . . . . . . . . 1
SECTION 1
Domaine d’application . . . . . . . . . . . . . . . . . . . . . . . . . . . . . . . . . . . . . . . . . . . . . . . . . . . . . . . . . . . . . . . . . . . . . . . . . . . . . . . . . . . . . . . . . . . . . . . . . . . . . . . . . . . . . . . . . . . . . . . . . 1
Références normatives . . . . . . . . . . . . . . . . . . . . . . . . . . . . . . . . . . . . . . . . . . . . . . . . . . . . . . . . . . . . . . . . . . . . . . . . . . . . . . . . . . . . . . . . . . . . . . . . . . . . . . . . . . . . . . . . . . . . . . . . . 1
2.1 Recommandations I Normes internationales identiques . . . . . . . . . . . . . . . . . . . . . . . . . . . . . . . . . . . . . . . . . . . . . . . . . . . . . . . . . . . . . . . . . . . . . . 1
Définitions . . . . . . . . . . . . . . . . . . . . . . . . . . . . . . . . . . . . . . . . . . . . . . . . . . . . . . . . . . . . . . . . . . . .*. 2
3.1 Définitions du modèle de référence . . . . . . . . . . . . . . . . . . . . . . . . . . . . . . . . . . . . . . . . . . . . . . . . . . . . . . . . . . . . . . . . . . . . . . . . . . . . . . . . . . . . . . . . . . . . . . . . . . . .
. . . . . . . . . . . . . . . . . . . . . . . . . . . . . . . . . . . . . . . . . . . . . . . . . . . . . . . . . . . . . . . . . . . . . . . . . . . . . . . . . . . . . . . . . . . . . . . . . . . . . . . . . . . . . . . . . . . . . . . . .* 2
3.2 Autres définitions
4 Abreviations . . . . . . . . . . . . . . . . . . . . . . . . . . . . . . . . . . . . . . . . . . . . . . . . . . . . . . . . . . . . . . . . . . . . . . . . . . . . . . . . . . . . . . . . . . . . . . . . . . . . . . . . . . . . . . . . . . . . . . . . .
4.1 Unites de données . . . . . . . . . . . . . . . . . . . . . . . . . . . . . . . . . . . . . . . . . . . . . . . . . . . . . . . . . . . . . . . . . . . . . . . . . . . . . . . . . . . . . . . . . . . . . . . . . . . . . . . . . . . . . . . . . . . . . . . . .
4.2 Unités SPDU . . . . . . . . . . . . . . . . . . . . . . . . . . . . . . . . . . . . . . . . . . . . . . . . . . . . . . . . . . . . . . . . . . . . . . . . . . . . . . . . . . . . . . . . . . . . . . . . . . . . . . . . . . . . . . . . . . . . . . . . .
Champs d’unité SPDU . . . . . . . . . . . . . . . . . . . . . . . . . . . . . . . . . . . . . . . . . . . . . . . . . . . . . . . . . . . . . . . . . . . . .*.
4.3
4.4 Paramètres . . . . . . . . . . . . . . . . . . . . . . . . . . . . . . . . . . . . . . . . . . . . . . . . . . . . . . . . . . . . . . . . . . . . . . . . . . . . . . . . . . . . . . . . . . . . . . . . . . . . . . . . . . . . . . . . . . . . . . . . .
4.5 Divers . . . . . . . . . . . . . . . . . . . . . .*.
5 Vue d’ensemble du protocole de session en mode sans connexion . . . . . . . . . . . . . . . . . . . . . . . . . . . . . . . . . . . . . . . . . . . . . . . . . . . . . . . . . . . . . . . .
51 . Service fourni par la couche Session . . . . . . . . . . . . . . . . . . . . . . . . . . . . . . . . . . . . . . . . . . . . . . . . . . . . . . . . . . . . . . . . . . . . . . . . . . . . . . . . . . . . . . . . . . . . . . . . . .
Service attendu de la couche Transport . . . . . . . . . . . . . . . . . . . . . . . . . . . . . . . . . . . . . . . . . . . . . . . . . . . . . . . . . . . . . . . . . . . . . . . . . . . . . . . . . . . . . . . . . . . . . .
5:3 Fonctions de la couche Session . . . . . . . . . . . . . . . . . . . . . . . . . . . . . . . . . . . . . . . . . . . . . . . . . . . . . . . . . . . . . . . . . . . . . . . . . . . . . . . . . . . . . . . . . . . . . . . . . . . . . . . . . . .
5.4 Modele de la couche Session . . . . . . . . . . . . . . . . . . . . . . . . . . . . . . . . . . . . . . . . . . . . . . . . . . . . . . . . . . . . . . . . . . . . . . . . . . . . . . . . . . . . . . . . . . . . . . . . . . . . . . . . . . . . . .
SECTION 2 - SPÉCIFICATION DU PROTOCOLE DE COUCHE SESSION EN MODE
SANS CONNEXION . . . . . . . . . . . . . . . . . . . . . . . . . . . . . . . . . . . . . . . . . . . . . . . . . . . . . . . . . . . . . . . . . . . . . . . . . . . . . . . . . . . . . . . . . . . . . . . . . . . . . . . . . . . . . . . . . . . . . . . . .
Mécanismes protocolaires . . . . . . . . . . . . . . . . . . . . . . . . . . . . . . . . . . . . . . . . . . . . . . . . . . . . . . . . . . . . . . . . . . . . . . . . . . . . . . . . . . . . . . . . . . . . . . . . . . . . . . . . . . . . . . . . . . . . . . . . . 4
Transfert d’unités SPDU . . . . . . . . . . . . . . . . . . . . . . . . . . . . . . . . . . . . . . . . . . . . . . . . . . . . . . . . . . . . . . . . . . . . . . . . . . . . . . . . . . . . . . . . . . . . . . . . . . . . . . . . . . . . . . . . . . . . . 4
61 .
62 . Transfert en mode sans connexion . . . . . . . . . . . . . . . . . . . . . . . . . . . . . . . . . . . . . . . . . . . . . . . . . . . . . . . . . . . . . . . . . . . . . . . . . . . . . . . . . . . . . . . . . . . . . . . . . . . . . .
Codage de l’unité SPDU UD .
7.1 Structure des unites TSDU .
7.2 Structure des unités SPDU .
7.3 Identificateurs et champs de paramètres associés des unites SPDU .
...................................................
Conformité à la présente Recommandation UIT-T I Norme internationale
Annexe A - Tables d’états . . . . . . . . . . . . . . . . . . . . . . .*.
0 ISOKEI 1996
Droits de reproduction réservés. Sauf prescription différente, aucune partie de cette publication ne
peut être reproduite ni utilisée sous quelque forme que ce soit et par aucun procédé, électronique ou
mécanique, y compris la photocopie et les microfilms, sans l’accord écrit de l’éditeur.
ISOKEI Copyright Office l Case postale 56 l CH- 1211 Genève 20 l Suisse
Imprimé en Suisse
ii
@ ISOKEI ISOKEI 9548-l: 1996(F)
Avant-propos
LIS0 (Organisation internationale de normalisation) et la CE1 (Commission
électrotechnique internationale) forment ensemble un système consacré à la
normalisation internationale considérée comme un tout. Les organismes nationaux
membres de I’ISO ou de la CE1 participent au développement de Normes inter-
nationales par l’intermédiaire des comités techniques créés par l’organisation
concernée afin de s’occuper des différents domaines particuliers de l’activité
technique. Les comités techniques de I’ISO et de la CE1 collaborent dans des
domaines d’intérêt commun. D’autres organisations internationales, gouverne-
mentales ou non gouvernementales, en liaison avec I’ISO et la CE1 participent
également aux travaux.
Dans le domaine des technologies de l’information, VIS0 et la CE1 ont créé un
comité technique mixte, I’ISOKEI JTC 1. Les projets de Normes internationales
adoptés par le comité technique mixte sont soumis aux organismes nationaux pour
approbation, avant leur acceptation comme Normes internationales. Les Normes
internationales sont approuvées conformément aux procédures qui requièrent
l’approbation de 75 % au moins des organismes nationaux votants.
La Norme internationale ISOKEI 9548-l a été élaborée par le comité technique
mixte ISOKEI JTC 1, Technologies de I?nformation, sous-comité SC 21,
Interconnexion des systèmes ouverts, gestion des données et traitement distribué
ouvert, en collaboration avec I’UIT-T. Le texte identique est publié en tant que
Recommandation UIT-T X.235.
L’ISOKEI 9548 comprend les parties suivantes, présentées sous le titre général
Technologies de 1 ‘information - Interconnexion de systèmes ouverts (OSI) -
Protocole de service de session en mode sans connexion:
- Partie 1: Spécification du protocole
- Partie 2: Formulaire de déclaration de conformité de mise en oeuvre du
protocole (PICS)
L’annexe A fait partie intégrante de la présente partie de I’ISOKEI 9548.
. . .
ISOKEI 9548=1:1996(F) @ ISOKEI
Introduction
La présente Spécification du protocole de session en mode sans connexion fait partie d’une famille de
Recommandations I Normes internationales établies pour faciliter l’interconnexion des équipements informatiques. Cet
ensemble de normes porte sur les services et protocoles necessaires à la réalisation d’une telle interconnexion.
La structuration en couches définie dans le Modele de référence pour l’interconnexion de systèmes ouverts (voir la
Rec. UIT-T X.200 I ISOKEI 7498-l) permet de situer la présente Spécification par rapport aux autres Normes
apparentées. La présente Recommandation est plus précisément un protocole de la couche Session. Elle est surtout liée à
la définition du service de session (voir la Rec. UIT-T X.215 I ISOKEI 8326) et à la définition du service de transport
(voir la Rec. UIT-T X.214 I ISOKEI 8072). La figure ci-après montre les relations entre ces Normes.
La structure de la présente Recommandation I Norme internationale est analogue à celle de la Spécification du protocole
de session en mode connexion (voir la Rec. UIT-T X.225 I ISOKEI 8327-l), ce qui facilite les renvois d’un texte à
l’autre.
Definition du service de couche Session
t
Sptkification du protocole
de session en mode sans
connexion
7 T0721260-94’d01
Dbfiniticn du service de couche Transport
Intro. 1 - Relations entre le protocole de session en mode sans connexion
et les services des couche adjacentes
ISOKEI 9548-l: 1996(F)
NORME INTERNATIONALE
RECOMMANDATION UIT-T
TECHNOLOGIES DE L’INFORMATION - INTERCONNEXION DE SYSTÈMES
OUVERTS (OSI) - PROTOCOLE DE SERVICE DESESSION EN MODE
SANS CONNEXION: SPÉCIFICATION DU PROTOCOLE
SECTION 1 - CONSIDÉRATIONS GÉNÉRALES
1 Domaine d’application
La présente Recommandation I Norme internationale spécifie:
a) les procédures applicables à la transmission de données et d’informations de contrôle de protocole en
mode sans connexion depuis une entité de session vers son homologue;
b) le codage des unités de données de protocole de session utilisées pour la transmission de données et
d’informations de contrôle;
c) les procédures à suivre pour interpréter correctement les informations de contrôle de protocole de session;
d) les caractéristiques fonctionnelles à mettre en œuvre dans les systèmes déclar& conformes à la présente
Recommandation I Norme internationale.
Les procédures sont définies en termes:
e) d’interactions entre entités de session homologues, par échange d’unités de données de protocole de
session;
f) d’interactions entre une entité de session et l’utilisateur du service de session, par échange de primitives du
service de session;
g) d’interactions entre une entité de couche Session et le fournisseur du service de couche Transport, par
échange de primitives du service de transport.
La présente Recommandation I Norme internationale spécifie un protocole de service de session en mode sans
connexion. Un protocole de service de session de base en mode connexion est defini dans la Rec. UIT-T X.225 I
ISOKEI 8327- 1.
2 Références normatives
Les Recommandations et les Normes internationales suivantes contiennent des dispositions qui, par suite de la référence
qui y est faite, constituent des dispositions valables pour la présente Recommandation I Norme internationale. Au
moment de la publication, les éditions indiquées étaient en vigueur. Toute Recommandation ou Norme est sujette à
révision et les parties prenantes aux accords fondés sur la présente Recommandation I Norme internationale sont invitées
a rechercher la possibilité d’appliquer les éditions les plus récentes des Recommandations et Normes indiquées ci-après.
Les membres de la CE1 et de I’ISO possèdent le registre des Normes internationales en vigueur. Le Bureau de la
normalisation des telécommunications de I’UIT tient a jour une liste des Recommandations UIT-T en vigueur.
21 0 Recommandations I Normes internationales identiques
-
Recommandation UIT-T X.200 (1994) I ISOKEI 7498- 1: 1994, Technologies de 1 ‘information -
Interconnexion des systèmes ouverts - Modèle de référence de base: Le modèle de référence de base.
-
Recommandation UIT-T X.214 (1993) I ISOKEI 8072: 1994, Technologies de l’information -
Interconnexion des systèmes ouverts - Définition du service de transport.
Rec. UIT-T X.235 (1995 F)
ISOKEI 9548=1:1996(F)
-
Recommandation UIT-T X.2 15 (1994) I ISOKEI 8326:. ‘1, Technologies de l’information -
Interconnexion des systèmes ouverts - Défktition du service de session.
-
l), Technologies de l’information -
Recommandation UIT-T X.225 (1994) I ISOKEI 8327-l:.
Interconnexion des systèmes ouverts - Spécijïcation du protocole de session de base en mode connexion.
3 Définitions
31 0 Définitions du modèle de référence
La présente Recommandation I Norme internationale utilise les termes suivants, qui sont définis dans la
Rec. UIT-T X.200 I ISOKEI 7498-l :
couche Transport;
a)
b) couche Session;
c) point d’accés au service de session;
d) adresse du point d’accès au service de session;
entité de session;
e)
f) protocole;
g) service.
32 l Autres définitions
Pour les besoins de la présente Recommandation I Norme internationale, les définitions suivantes s’appliquent:
3.2.1 adresse de session d’appelant: Identifie l’utilisateur du service de session qui constitue la source des données
pendant une instance déterminée de transmission de session en mode sans connexion.
3.2.2 adresse de session d’appelé: Identifie l’utilisateur du service de session qui constitue le collecteur des données
pendant une instance déterminee de transmission de session en mode sans connexion.
Abréviations
41 0 Unités de données
Pour les besoins de la présente Recommandation I Norme internationale, les abréviations suivantes sont utilisées:
SPDU Unité de données de protocole de session (session protocol data unit)
SSDU Unité de données du service de session (session service data unit)
TSDU Unité de données du service de transport (transport service data unit)
Unités SPDU
42 l
SPDU UD Unité SPDU (unit data SPDU)
0 Champs d’unité SPDU
SI Identificateur d’unité SPDU (SPDU identifier)
LI Indicateur de longueur (length indicator)
PI
Identificateur de paramètre (parameter indicator)
PV
Valeur de paramètre (parameter value)
l) A publier.
2 Rec. UIT-T X.235 (1995 F)
ISO/CEI 9548-l: 1996(F)
44 . Paramètres
- Sélecteur de session d’appelant
- Sélecteur de session d’appelé
45 0 Divers
SPM Machine protocole de session (session protocol machine)
Service de session (session service)
SS
SSAP Point d’accès au service de session (session service access point)
TSAP Point d’accès au service de transport (transport service access point)
5 Vue d’ensemble du protocole de session en mode sans connexion
51 0 Service fourni par la couche Session
Le service assuré par le protocole spécifie dans la présente Recommandation I Norme internationale est un service de
session en mode sans connexion. Ce service est décrit dans la Rec. UIT-T X.215 I ISOKEI 8326. Les primitives du
service sont énumérées au Tableau 1.
.
Tableau 1 - Primit
...












Questions, Comments and Discussion
Ask us and Technical Secretary will try to provide an answer. You can facilitate discussion about the standard in here.
Loading comments...