ISO 7001:1980
(Main)Public information symbols
Public information symbols
Symboles destinés à l'information du public
General Information
- Status
- Withdrawn
- Publication Date
- 30-Sep-1980
- Withdrawal Date
- 30-Sep-1980
- Technical Committee
- ISO/TC 145 - Graphical symbols
- Drafting Committee
- ISO/TC 145 - Graphical symbols
- Current Stage
- 9599 - Withdrawal of International Standard
- Start Date
- 01-Feb-1990
- Completion Date
- 12-Feb-2026
Relations
- Effective Date
- 15-Apr-2008
Frequently Asked Questions
ISO 7001:1980 is a standard published by the International Organization for Standardization (ISO). Its full title is "Public information symbols". This standard covers: Public information symbols
Public information symbols
ISO 7001:1980 is classified under the following ICS (International Classification for Standards) categories: 01.080.10 - Public information symbols. Signs. Plates. Labels. The ICS classification helps identify the subject area and facilitates finding related standards.
ISO 7001:1980 has the following relationships with other standards: It is inter standard links to ISO 7001:1990. Understanding these relationships helps ensure you are using the most current and applicable version of the standard.
ISO 7001:1980 is available in PDF format for immediate download after purchase. The document can be added to your cart and obtained through the secure checkout process. Digital delivery ensures instant access to the complete standard document.
Standards Content (Sample)
International Standard 7001
INTERNATIONAL ORGANIZATION FOR STANDARDIZATION*MEmL(YHAPOAHAR OPrAHH3AUHR Il0 CTAHLIAPTH3AUHMWRGANlSATlON INTERNATIONALE DE NORMALISATION
Public information symbols
Symboles destinés à l'information du public
First edition - 1980-10-01
UDC 003.62 Ref. No. IS0 7001-1980 (E)
Descriptors : information, public information, representation of data, general, symbols, graphic methods, graphic symbols, instructions,
definitions, dimensions, numeric codes.
Price based on 16 pages
Contents
Page
O Introduction . 1
1 Scope and field of application . 1
2 Reference . 1
3 Definitions . 1
4 Alphabetical index., . 1
5 Numerical index and survey of the public information symbols . 2
6 Compilation of single sheets . 4
INTERNATIONAL STANDARD
Public information symbols
O Introduction 3.2 symbol : A visually perceptible figure produced by
means of writing, drawing, printing or other manufacturing
The reason for the publication of this International Standard is
technique. it is used to transmit a message and represents in an
the increasing use of non-verbal presentation of information in
understandable manner, independently of any language, an ob-
places, buildings and printed materials used by the public.
ject, concept or state.
Symbols should be used where verbal message might be a
0 barrier to understanding.
3.3 public information symbol : Graphic symbol intended
to give information to the general public, the understanding of
To provide objective data for standardizing the image content
which is not normally dependant on specialist or occupational
of public information symbols, procedures for the evaluation of
training.
public information symbols have been developed and laid down
in a standard series of tests. Due to cultural and technological
3.4 function i Purpose of the symbol.
differences between countries, it has been decided to standar-
dize only the image contents of the graphic symbols, not the
graphic images themselves. For each of the image contents 3.5 field of application : Context where the use of a symbol
included in this International Standard, the details are specified
to convey a message is appropriate.
on a single sheet. Each single sheet also contains a guide-line
example which conforms to the standard image content. The
3.6 image content : Elements of the symbol and their
guide-line examples are not binding, but their use is to be en-
relative disposition.
couraged.
3.7 standard image content : The image content as ver-
Where there are two designs, one is suitable for large scale
bally described for each referent in this International Standard.
reproduction and the other is simplified for small scale
reproduction. The recommended size limits are shown for
3.8 guide-line example : A selected graphic interpretation
each. In some cases the adaptation for reproduction in very
small sizes may omit some elements of the standard image con- of the symbol which conforms to the standard image content.
tent.
4 Alphabetical index
ISO/TR 7239 is intended as a guide to the use of this Interna-
tional Standard, by stating a number of definitions and prin-
Key words Symbol number
ciples concerning the development and application of public
information symbols.
Bus 005
Direction O01
1 Scope and field of application
Drinking water (on tap) O10
This International Standard specifies the image contents of
Female 007
symbols used for the information of the public. The fields of ap-
plication specified for each symbol are indicative of the way it is
Gasolene station
intended the symbols should be used; its application may be
extended into other fields where this is considered appropriate.
Helicopter 003
Male, man 006
2 Reference
Smoking allowed 002
ISOITR 7239, Development and application of public informa-
tion symbols.') Stairs O1 1
Taxi 012
3 Definitions
Telephone 008
3.1 referent : What subject the symbol stands for.
Tram (streetcar) O04
1) At present at the stage of draft.
Waiting room 013
IS0 7001-1980 (E)
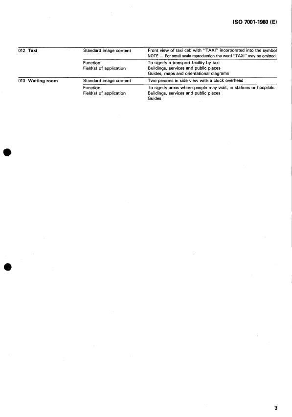
012 Taxi Standard image content Front view of taxi cab with "TAXI" incorporated into the symbol
NOTE - For small scale reDroduction the word "TAXI" mav be omitted.
Function To signify a transport facility by taxi
Buildings, services and public places
Field(s1 of application
Guides, maps and orientational diagrams
Standard image content Two persons in side view with a clock overhead
013 Waiting room
Function To signify areas where people may wait, in stations or hospitals
Buildings, services and public places
Field(s1 of application
Guides
IS0 7001
Sheet No. : O01
1 Standard')
2 Additional information for guidance
This is not a standard but an example, the use of which is encouraged.
Guide-line example :
(s = 45 mm)
Size limits for the design below :
Minimum : s = 3 mm
Maximum : no limit
JL
r 1
~ ~~~~~
1) This sheet should be used in conjunction with the "Introduction" and ISO/TR 7239.
IS0 7001
Sheet No. : 002
1 Standard')
2 Additional information for guidance
This is not a standard but an example, the use of which is encouraged.
Guide-line example :
(s = 45 mm)
Size limits for the design below :
Minimum : s = 10 mm
Maximum : no limit
e
A
r
cc
1) This sheet should be used in conjunction with the "Introduction" and ISO/TR 7239.
IS0 7001
Sheet No. : 003
1 Standard')
Public information symbol :
Helicopter
Standard image content :
Helicopter in side view
Function :
To signify a transport facility by helicopter
Field(s1 of application :
Buildings, services and public places
Maps, guides
, Timetables I
2 Additional information for guidance
This is not a standard but an example, the use of which is encouraged.
Guide-line example, simplified for small-scale
Guide-line example :
reproduction (s = 45 mm) :
(s = 45 mm)
Size limits for the design below :
Size limits for the design below :
Minimum : s = 3 mm
Minimum : s = 8 mm
Maximum : s = 8 mm
: no limit
Maximum
11 11
r 1 r
L
r
L J
L J
lf ir
I-s+I It----s-I
1 i This sheet should be used in conjunction with the "Introduction" and ISO/TR 7239.
IS0 7001
Sheet No. : 004
1 Standard')
r
Public information symbol :
Tram (streetcar)
Standard image content :
Electric tram (streetcar) in side view
Function :
To signify transport facility by tram
O
-
Field(s) of application :
Buildings, services and public places
Maps, guides
Timetables
L
2 Additional information for guidance
This is not a standard but an example, the use of which is encouraged.
Guide-line examplq simplified for small-scale
Guide-line example :
reproduction (s
...
Norme internationale 7001
INTERNATIONAL ORGANIZATION FOR STANOAROlZATION*ME~YHAPO~HAR OPTAHMJAUMR no CTAHBAPTM3AUMM.ORGANISATION INTERNATIONALE DE NORMALISATION
m Symboles destinés à l'information du public
Public information symbols
Première édition - 1980-10-01
CDU 003.62
Réf. no : IS0 7001-1980 (FI
Descripteurs : information, information du public, représentation de données, généralités, symbole, représentation graphique, symbole
graphique, instruction, définition, dimension, code numérique.
Prix basé sur 16 pages
Sommaire
Page
O Introduction . 1
1 Objet et domaine d’application . . . . . . . . . . . . . . . . . . . . . . . . . . . . . . . . . . . . . . . . . . . 1
2 Référence . I . . . . . . 1
3 Définitions . . . . . . . 1
4 lndexalphabétique . 1
5 Index numérique et relevé des symboles destinés
à l’information du public. . . . . . . . . . . . . . . . . . . . . . . . . . . . . . . . . . . . . . , . . . . . . . . . 2
6 Compilation des feuilles individuelles . . . . . . . . . . . . . . . . . . , . . . . . . . . . . . . . . . . . . , 4
iii
NORM E I NTERN ATlON ALE IS0 7001-1980 (F)
Symboles destinés à l'information du public
O Introduction
3 Définitions
La publication de la présente Norme internationale tire sa justifi-
3.1 référent : Ce que signifie le symbole.
et bâti-
cation du fait que l'on voit de plus en plus, dans les lieux
ments ouverts au public de même que dans toute la matière
3.2 symbole : Figure perceptible visuellement et produite au
imprimée que le public utilise, les informations données sous
moyen de l'écriture, du dessin, de l'impression ou de toutes
une forme qui ne recourt plus au texte. Des symboles doivent
autres techniques. II est utilisé pour transmettre un message et
là où le recours au texte risque de constituer un
être employés
représenter un objet concret ou abstrait d'une manière claire et
obstacle à la compréhension du message.
compréhensible, indépendamment de toute langue.
Pour obtenir les données objectives nécessaires à la normalisa-
tion des symboles graphiques destinés à l'information du public 3.3 symbole destiné à l'information du public : Symbole
graphique conçu pour fournir une information au grand public
et, très précisément, des éléments figuratifs concourant à la
signification de chacun de ces symboles, des méthodes d'éva- et dont la compréhension ne dépend pas normalement de con-
naissances relevant de spécialistes ou de professionnels.
luation ont été mises au point et exposées dans une série nor-
malisée d'essais. Compte tenu des différences constatées dans
3.4 fonction : Objet du symbole.
la culture et la technique des divers pays, il a été décidé de ne
normaliser que la description des éléments figuratifs de chaque
3.5 domaine d'application : Contexte dans lequel l'emploi
symbole, son contenu graphique en quelque sorte, et non pas
d'un symbole pour transmettre un message est approprié.
sa représentation graphique elle-même. Pour chacun des con-
tenus graphiques figurant dans la présente Norme internatio-
3.6 contenu graphique : Éléments du symbole, avec leurs
nale, des détails spécifiques sont donnés sur une feuille indivi-
positions respectives.
duelle. Chaque feuille individuelle contient aussi un exemple-
guide conforme au contenu graphique normalisé du symbole
3.7 contenu graphique normalisé : Contenu graphique
en cause. Ces exemples-guides n'ont pas caractère d'obliga-
dont la description par un texte est donnée, pour chaque réfé-
tion, mais il est vivement conseillé de les suivre.
rent, dans la présente Norme internationale.
Lorsque deux dessins sont donnés, l'un est prévu pour une
reproduction à grande échelle, l'autre, simplifié, pour une
3.8 exemple-guide : Interprétation graphique du symbole,
reproduction à échelle réduite. Les dimensions limites qu'il est
conforme au contenu graphique normalisé et résultant d'un
recommandé de ne pas dépasser sont indiquées pour chacun
choix.
d'eux. Dans quelques cas, afin d'adapter le dessin aux nécessi-
tés de la reproduction à très petite échelle, on peut omettre cer-
4 Index alphabétique
tains éléments faisant partie du contenu graphique normalisé.
Le Rapport technique ISOITR 7239 a été établi pour servir de
Mot clé Numéro de symbole
guide pour l'utilisation de la présente Norme internationale,
Autobus 005
fixant, en effet, un certain nombre de définitions et de principes
concernant l'élaboration et la mise en œuvre des symboles des-
Direction O0 1
tinés à l'information du public.
Eau potable Ide robinet) O10
1 Objet et domaine d'application
Escalier O1 1
Femme 007
La présente Norme internationale spécifie le contenu graphique
des symboles utilisés pour l'information du public. Le domaine
Hélicoptère 003
d'application attribué à chaque symbole indique de quelle
Homme
manière il est entendu que celui-ci doit être utilisé; l'emploi du
symbole peut être étendu à d'autres domaines si on le juge
Permis de fumer
approprié.
Salle d'attente
2 Référence
Station d'essence O09
Taxi 012
ISOITR 7239, Elaboration et mise en œuvre des symboles des-
tinés à l'information du public. 1 )
Téléphone 008
1) Actuellement au stade de projet. Tramway 004
I
IS0 7001-1980 (F)
012 Taxi Contenu graphique normalisé Taxi vu de face, avec «TAXI» incorporé dans le symbole
NOTE - Le mot «TAXI» peut etre omis dans les reproductions à échelle
réduite.
Fonction Indication de moyen de transport par taxi
Domaineis) d'application Immeubles, services et lieux publics
Guides, cartes et plans d'orientation
Deux personnes vues de côté, avec une horloge au-dessus de leur
013 Salle d'attente Contenu graphique normalisé
tête
Fonction Indication d'endroits où les gens peuvent attendre, par exemple
dans une gare ou un hôpital
Domaine(s1 d'application Immeubles, services et lieux publics
Guides
IS0 7001
Feuille no : O01
1 Partie normativel)
I
Symbole destiné à l'information du public :
Direction
Contenu graphique normalisé :
Flèche à tête belge, avec angle au sommet compris entre 84' et 86O
Fonction :
Indication d'une direction
e
-
Domaine(s1 d'application :
Immeubles, services et lieux publics
2 Partie informative supplémentaire destinée à servir de guide
Le contenu de cette partie ne constitue pas une norme, mais seulement un exemple qu'il est conseillé de suivre.
Exemple-guide :
Is = 45 mm)
Dimensions limites du dessin ci-dessous :
Minimum : s = 3 mm
Maximum : aucune limite
JI,
e
r 1
1) Cette feuille doit être utilisée en relation avec le chapitre ((Introduction)) et le Rapport technique ISO/TR 7239.
IS0 7001
Feuille no : 002
1 1 Pattie normativel)
2 Partie informative supplémentaire destinée à servir de guide
Le contenu de cette partie ne constitue pas une norme, mais seulement un exemple qu'il est conseillé de suivre.
Exemple-guide :
(s = 45 mm)
Dimensions limites du dessin ci-dessous :
Minimum : s = 10 mm
Maximum : aucune limite
~ ~~~~
1) Cette feuille doit être utilisée en relation avec le chapitre «Introduction)) et le Rapport technique ISO/TR 7239.
IS0 7001
Feuille no : 003
1 Partie normative')
Symbole destiné à l'information du public :
Hélicoptère vu de côté
Indication d'un moyen de transport par hélicoptère
O
Domaine(s1 d'application :
Immeubles, services et lieux publics
2 Partie informative supplémentaire destinée à servir de guide
Le contenu de cette partie ne constitue pas une norme, mais seulement un exemple qu'il est conseillé de suivre.
Exemple-guide, représentation simplifiée pour
Exemple-guide :
reproduction à échelle réduite (s = 45 mm) :
(s = 45 mm)
Dimensions limites du dessin ci-dessous :
Dimensions limites du dessin ci-dessous :
Minimum : s = 3 mm
Minimum : s = 8 mm
Maximum : aucune limite Maximum : s = 8 mm
11 11
e
r 1 r 1
I
L L
I 7 -sin r 7 -93 r
*
~ L J L J
1) Cette feuille doit être utilisée en relation avec le chapitre ((Introductions et le Rapport technique ISO/TR 7239.
IS0 7001
Feuille no : 004
1 Partie normative11
Symbole destiné à l'information du public :
Tramway
Contenu graphique normalisé :
Tramway électrique vu de côté
Fonction :
Indication d'un moyen de transport par tramway
DomaineM d'application :
Immeubles, services et lieux publics
Cartes, guide
...








Questions, Comments and Discussion
Ask us and Technical Secretary will try to provide an answer. You can facilitate discussion about the standard in here.
Loading comments...