ASTM E1877-21
(Practice)Standard Practice for Calculating Thermal Endurance of Materials from Thermogravimetric Decomposition Data
Standard Practice for Calculating Thermal Endurance of Materials from Thermogravimetric Decomposition Data
SIGNIFICANCE AND USE
5.1 Thermogravimetry provides a rapid method for the determination of the temperature-decomposition profile of a material.
5.2 This practice is useful for quality control, specification acceptance, and research.
5.3 This practice is intended to provide an accelerated thermal endurance estimation in a fraction of the time require for oven-aging tests. The primary product of this practice is the thermal index (temperature) for a selected estimated thermal endurance (time) as derived from material decomposition.
5.4 Alternatively, the estimated thermal endurance (time) of a material may be estimated from a selected thermal index (temperature).
5.5 Additionally, the thermal endurance of a material at selected failure time and temperature may be estimated when compared to a reference value for thermal endurance and thermal index obtained from electrical or mechanical oven aging tests.
5.6 This practice shall not be used for product lifetime predications unless a correlation between test results and actual lifetime has been demonstrated. In many cases, multiple mechanisms occur during the decomposition of a material, with one mechanism dominating over one temperature range, and a different mechanism dominating in a different temperature range. Users of this practice are cautioned to demonstrate for their system that any temperature extrapolations are technically sound.
SCOPE
1.1 This practice describes the determination of thermal endurance, thermal index, and relative thermal index for organic materials using the Arrhenius activation energy generated for thermal decomposition measured by thermogravimetry.
1.2 This practice is generally applicable to materials with a well-defined thermal decomposition profile upon heating, namely a smooth, continuous mass change.
1.3 The values stated in SI units are to be regarded as standard. No other units of measurement are included in this standard.
1.4 This standard does not purport to address all of the safety concerns, if any, associated with its use. It is the responsibility of the user of this standard to establish appropriate safety, health, and environmental practices and determine the applicability of regulatory limitations prior to use.
1.5 This international standard was developed in accordance with internationally recognized principles on standardization established in the Decision on Principles for the Development of International Standards, Guides and Recommendations issued by the World Trade Organization Technical Barriers to Trade (TBT) Committee.
General Information
- Status
- Published
- Publication Date
- 28-Feb-2021
- Technical Committee
- E37 - Thermal Measurements
- Drafting Committee
- E37.10 - Fundamental, Statistical and Mechanical Properties
Relations
- Effective Date
- 01-Aug-2018
- Effective Date
- 15-Feb-2016
- Effective Date
- 01-Mar-2015
- Effective Date
- 01-Apr-2014
- Effective Date
- 01-Aug-2013
- Effective Date
- 01-Sep-2012
- Effective Date
- 01-Apr-2011
- Effective Date
- 15-Mar-2010
- Effective Date
- 01-Mar-2007
- Effective Date
- 01-Mar-2007
- Effective Date
- 01-Oct-2004
- Effective Date
- 10-Mar-2003
- Effective Date
- 10-Dec-1999
- Effective Date
- 10-Nov-1997
Overview
ASTM E1877-21 is the Standard Practice for Calculating Thermal Endurance of Materials from Thermogravimetric Decomposition Data. Developed by ASTM International, this practice describes methods for estimating the thermal endurance, thermal index (TI), and relative thermal index (RTI) of organic materials using thermogravimetry and Arrhenius activation energy analysis. The standard supports rapid evaluation of material longevity at elevated temperatures, offering a scientific alternative to traditional oven-aging tests.
Thermogravimetric analysis provides essential data for understanding material decomposition under heat, which is key in predicting service life and performance. This method is crucial for industries demanding reliable thermal stability in materials, particularly plastics, insulation, coatings, and polymers.
Key Topics
- Thermogravimetric Decomposition: Utilizes mass loss as a function of temperature to determine the decomposition profile of organic materials.
- Thermal Endurance Calculation: Predicts the time-to-failure or thermal lifetime at a given temperature using the Arrhenius equation and kinetic parameters derived from thermogravimetric data.
- Thermal Index (TI) and Relative Thermal Index (RTI): Quantifies the maximum temperature at which a material maintains its properties over a selected period. RTI compares material endurance relative to a control or reference material.
- Rapid Lifetime Estimation: Offers significantly faster results compared to traditional oven-aging methods, making it particularly efficient for quality control, research, and specification acceptance.
- Data Correlation and Validation: Emphasizes the importance of correlating thermogravimetric results with actual performance, especially when multiple decomposition mechanisms exist.
Applications
ASTM E1877-21 is applied widely in:
- Quality Control: Accelerated material screening for thermal resistance during manufacturing.
- Research and Development: Material scientists utilize this practice to evaluate formulations and compare thermal stability of novel compounds.
- Specification and Compliance Testing: Manufacturers and suppliers use TI and RTI values to meet client or regulatory requirements for material performance at elevated temperatures.
- Comparative Studies: Material selection based on relative thermal endurance, especially important for electrical insulation, automotive parts, consumer electronics, and polymer-based components.
- Failure Analysis: Supports the identification of time and temperature thresholds where materials are likely to degrade or fail in service.
Related Standards
ASTM E1877-21 is closely related to other ASTM standards in the field of thermal measurements:
- ASTM D3045 - Practice for Heat Aging of Plastics Without Load: Addresses similar thermal aging concerns, often complementary for comprehensive thermal stability analysis.
- ASTM E1641 - Test Method for Decomposition Kinetics by Thermogravimetry Using the Ozawa/Flynn/Wall Method: Provides procedures for obtaining kinetic parameters required in E1877.
- ASTM E2550 - Test Method for Thermal Stability by Thermogravimetry: Focuses on evaluating thermal stability of materials, supporting kinetic data for endurance calculations.
- ASTM E2958 - Test Methods for Kinetic Parameters by Factor Jump/Modulated Thermogravimetry: Offers alternative approaches to determining kinetic parameters.
Together, these standards facilitate reliable, reproducible assessment of material thermal endurance using thermogravimetric analysis. This approach ensures material selection and validation are grounded in scientifically robust, internationally recognized methodologies.
Keywords: ASTM E1877, thermal endurance, thermogravimetric decomposition, thermal index, relative thermal index, Arrhenius activation energy, thermogravimetric analysis, material thermal stability, oven-aging alternative, kinetic parameters, quality control.
Buy Documents
ASTM E1877-21 - Standard Practice for Calculating Thermal Endurance of Materials from Thermogravimetric Decomposition Data
REDLINE ASTM E1877-21 - Standard Practice for Calculating Thermal Endurance of Materials from Thermogravimetric Decomposition Data
Get Certified
Connect with accredited certification bodies for this standard

ECOCERT
Organic and sustainability certification.

Eurofins Food Testing Global
Global leader in food, environment, and pharmaceutical product testing.

Intertek Bangladesh
Intertek certification and testing services in Bangladesh.
Sponsored listings
Frequently Asked Questions
ASTM E1877-21 is a standard published by ASTM International. Its full title is "Standard Practice for Calculating Thermal Endurance of Materials from Thermogravimetric Decomposition Data". This standard covers: SIGNIFICANCE AND USE 5.1 Thermogravimetry provides a rapid method for the determination of the temperature-decomposition profile of a material. 5.2 This practice is useful for quality control, specification acceptance, and research. 5.3 This practice is intended to provide an accelerated thermal endurance estimation in a fraction of the time require for oven-aging tests. The primary product of this practice is the thermal index (temperature) for a selected estimated thermal endurance (time) as derived from material decomposition. 5.4 Alternatively, the estimated thermal endurance (time) of a material may be estimated from a selected thermal index (temperature). 5.5 Additionally, the thermal endurance of a material at selected failure time and temperature may be estimated when compared to a reference value for thermal endurance and thermal index obtained from electrical or mechanical oven aging tests. 5.6 This practice shall not be used for product lifetime predications unless a correlation between test results and actual lifetime has been demonstrated. In many cases, multiple mechanisms occur during the decomposition of a material, with one mechanism dominating over one temperature range, and a different mechanism dominating in a different temperature range. Users of this practice are cautioned to demonstrate for their system that any temperature extrapolations are technically sound. SCOPE 1.1 This practice describes the determination of thermal endurance, thermal index, and relative thermal index for organic materials using the Arrhenius activation energy generated for thermal decomposition measured by thermogravimetry. 1.2 This practice is generally applicable to materials with a well-defined thermal decomposition profile upon heating, namely a smooth, continuous mass change. 1.3 The values stated in SI units are to be regarded as standard. No other units of measurement are included in this standard. 1.4 This standard does not purport to address all of the safety concerns, if any, associated with its use. It is the responsibility of the user of this standard to establish appropriate safety, health, and environmental practices and determine the applicability of regulatory limitations prior to use. 1.5 This international standard was developed in accordance with internationally recognized principles on standardization established in the Decision on Principles for the Development of International Standards, Guides and Recommendations issued by the World Trade Organization Technical Barriers to Trade (TBT) Committee.
SIGNIFICANCE AND USE 5.1 Thermogravimetry provides a rapid method for the determination of the temperature-decomposition profile of a material. 5.2 This practice is useful for quality control, specification acceptance, and research. 5.3 This practice is intended to provide an accelerated thermal endurance estimation in a fraction of the time require for oven-aging tests. The primary product of this practice is the thermal index (temperature) for a selected estimated thermal endurance (time) as derived from material decomposition. 5.4 Alternatively, the estimated thermal endurance (time) of a material may be estimated from a selected thermal index (temperature). 5.5 Additionally, the thermal endurance of a material at selected failure time and temperature may be estimated when compared to a reference value for thermal endurance and thermal index obtained from electrical or mechanical oven aging tests. 5.6 This practice shall not be used for product lifetime predications unless a correlation between test results and actual lifetime has been demonstrated. In many cases, multiple mechanisms occur during the decomposition of a material, with one mechanism dominating over one temperature range, and a different mechanism dominating in a different temperature range. Users of this practice are cautioned to demonstrate for their system that any temperature extrapolations are technically sound. SCOPE 1.1 This practice describes the determination of thermal endurance, thermal index, and relative thermal index for organic materials using the Arrhenius activation energy generated for thermal decomposition measured by thermogravimetry. 1.2 This practice is generally applicable to materials with a well-defined thermal decomposition profile upon heating, namely a smooth, continuous mass change. 1.3 The values stated in SI units are to be regarded as standard. No other units of measurement are included in this standard. 1.4 This standard does not purport to address all of the safety concerns, if any, associated with its use. It is the responsibility of the user of this standard to establish appropriate safety, health, and environmental practices and determine the applicability of regulatory limitations prior to use. 1.5 This international standard was developed in accordance with internationally recognized principles on standardization established in the Decision on Principles for the Development of International Standards, Guides and Recommendations issued by the World Trade Organization Technical Barriers to Trade (TBT) Committee.
ASTM E1877-21 is classified under the following ICS (International Classification for Standards) categories: 71.040.40 - Chemical analysis. The ICS classification helps identify the subject area and facilitates finding related standards.
ASTM E1877-21 has the following relationships with other standards: It is inter standard links to ASTM D3045-18, ASTM E1641-16, ASTM E1641-15, ASTM E2958-14, ASTM E1641-13, ASTM E1641-07(2012), ASTM E2550-11, ASTM D3045-92(2010), ASTM E2550-07, ASTM E1641-07, ASTM E1641-04, ASTM D3045-92(2003), ASTM E1641-99, ASTM D3045-92(1997). Understanding these relationships helps ensure you are using the most current and applicable version of the standard.
ASTM E1877-21 is available in PDF format for immediate download after purchase. The document can be added to your cart and obtained through the secure checkout process. Digital delivery ensures instant access to the complete standard document.
Standards Content (Sample)
This international standard was developed in accordance with internationally recognized principles on standardization established in the Decision on Principles for the
Development of International Standards, Guides and Recommendations issued by the World Trade Organization Technical Barriers to Trade (TBT) Committee.
Designation: E1877 − 21
Standard Practice for
Calculating Thermal Endurance of Materials from
Thermogravimetric Decomposition Data
This standard is issued under the fixed designation E1877; the number immediately following the designation indicates the year of
original adoption or, in the case of revision, the year of last revision. A number in parentheses indicates the year of last reapproval. A
superscript epsilon (´) indicates an editorial change since the last revision or reapproval.
1. Scope* E2958 Test Methods for Kinetic Parameters by Factor Jump/
Modulated Thermogravimetry
1.1 This practice describes the determination of thermal
endurance, thermal index, and relative thermal index for
3. Terminology
organic materials using theArrhenius activation energy gener-
ated for thermal decomposition measured by thermogravim- 3.1 Definitions of Terms Specific to This Standard:
etry. 3.1.1 failure, n—change in some chemical, physical,
mechanical, electrical or other property of sufficient magnitude
1.2 This practice is generally applicable to materials with a
to make it unsuitable for a particular use.
well-defined thermal decomposition profile upon heating,
3.1.2 failure temperature (Tf), n—the absolute temperature
namely a smooth, continuous mass change.
at which a material fails after a selected time.
1.3 The values stated in SI units are to be regarded as
3.1.3 thermal index (TI), n—the absolute temperature cor-
standard. No other units of measurement are included in this
responding to a selected thermal endurance value.
standard.
3.1.4 relative thermal index (RTI), n—the temperature cor-
1.4 This standard does not purport to address all of the
responding to a selected time-to-failure when compared with
safety concerns, if any, associated with its use. It is the
that of a control with proven thermal endurance characteristics.
responsibility of the user of this standard to establish appro-
3.1.4.1 Discussion—The TIand RTIareconsideredtobethe
priate safety, health, and environmental practices and deter-
maximum temperature below which the material resists
mine the applicability of regulatory limitations prior to use.
changes in its properties over a specific time period.
1.5 This international standard was developed in accor-
3.1.4.2 Discussion—In the absence of other comparison
dance with internationally recognized principles on standard-
data for a control material, a thermal endurance (time-to-
ization established in the Decision on Principles for the
failure) of 20 000 h is arbitrarily selected for measuring TI and
Development of International Standards, Guides and Recom-
RTI.
mendations issued by the World Trade Organization Technical
Barriers to Trade (TBT) Committee.
3.1.5 thermal endurance (tf), n—the time-to-failure corre-
sponding to a selected temperature.
2. Referenced Documents
3.1.5.1 Discussion—Also known as thermal lifetime or
2.1 ASTM Standards:
time-to-failure.
D3045 Practice for Heat Aging of Plastics Without Load
E1641 Test Method for Decomposition Kinetics by Thermo-
4. Summary of Practice
gravimetry Using the Ozawa/Flynn/Wall Method
4.1 The Arrhenius activation energy obtained from other
E2550 Test Method for Thermal Stability by Thermogravi-
Test Methods (such as Test Methods E1641 and E2958, etc.) is
metry
used to construct the thermal endurance curve of an organic
material from which an estimate of lifetime at selected tem-
peratures may be obtained.
This practice is under the jurisdiction of Committee E37 on Thermal Measure-
ments and is the direct responsibility of Subcommittee E37.10 on Fundamental,
5. Significance and Use
Statistical and Mechanical Properties.
Current edition approved March 1, 2021. Published May 2021. Originally
5.1 Thermogravimetry provides a rapid method for the
approved in 1997. Last previous edition approved in 2017 as E1877 – 17. DOI:
determination of the temperature-decomposition profile of a
10.1520/E1877-21.
For referenced ASTM standards, visit the ASTM website, www.astm.org, or material.
contact ASTM Customer Service at service@astm.org. For Annual Book of ASTM
5.2 This practice is useful for quality control, specification
Standards volume information, refer to the standard’s Document Summary page on
the ASTM website. acceptance, and research.
*A Summary of Changes section appears at the end of this standard
Copyright © ASTM International, 100 Barr Harbor Drive, PO Box C700, West Conshohocken, PA 19428-2959. United States
E1877 − 21
5.3 This practice is intended to provide an accelerated 6.2 Method A – Thermal Index:
thermal endurance estimation in a fraction of the time require 6.2.1 Obtain activation energy (E) determined previously
for oven-aging tests.The primary product of this practice is the (for example, see Test Method E1641). Obtain the failure
thermal index (temperature) for a selected estimated thermal temperature (Tf) from a thermal curve determined at heating
endurance (time) as derived from material decomposition. rate (β = 300 K/h = 5 K/min) (see Test Method E1641). Select
the thermal endurance (tf) (typically 20 000 h).
5.4 Alternatively, the estimated thermal endurance (time) of
6.2.2 Substitute the values for E, R, tf, and β into Eq 1 to
a material may be estimated from a selected thermal index
obtain the thermal index (TI) (1, 2).
(temperature).
TI 5 $E ⁄ ~2.303 R!% ⁄ $log @100.4 tf β R ⁄ E#10.463 E ⁄RTf%(1)
5.5 Additionally, the thermal endurance of a material at
NOTE 4—See derivation in Appendix X3.
selected failure time and temperature may be estimated when
6.2.3 Determinethethermalindexrelativestandard(σTI/TI)
compared to a reference value for thermal endurance and
using Eq 2.
thermal index obtained from electrical or mechanical oven
aging tests.
σTI ⁄ TI 5 σE⁄E (2)
5.6 This practice shall not be used for product lifetime
6.2.4 Report the thermal index (TI) and its relative standard
predicationsunlessacorrelationbetweentestresultsandactual
deviation (σTI/TI) and thermal endurance (tf).
lifetime has been demonstrated. In many cases, multiple
6.3 Method B – Thermal Endurance Curve:
mechanisms occur during the decomposition of a material,
6.3.1 Arbitrarily select two or three temperatures (Tr)inthe
with one mechanism dominating over one temperature range,
region of interest and calculate the corresponding logarithm of
and a different mechanism dominating in a different tempera-
the thermal endurance (log[tf]) values in hours at each tem-
ture range. Users of this practice are cautioned to demonstrate
perature using Eq 3 with β expressed in units of K/h.
for their system that any temperature extrapolations are tech-
log tf,h 5 E ⁄ 2.303RTr 1log E ⁄ 100.4 R β 2 0.463 E ⁄ RTf
nically sound. @ # ~ ! @ #
(3)
-1
NOTE 5—β shall be in units of K h .
6. Calculation
6.3.2 Prepare a display of logarithm of thermal endurance
6.1 The following values are used to calculate thermal
(log[tf, h]) versus the reciprocal of absolute temperature (Tr])
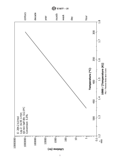
endurance, thermal index, and relative thermal index.
(see Fig. 1).
6.1.1 The following definitions apply to 6.1 – 6.4:
6.3.3 Alternative thermal indexes (TI) and associated loga-
6.1.1.1 E = Arrhenius activation energy (J/mol),
rithm of thermal endurance (log[tf, h]) may be estimated from
NOTE 1—E may be obtained from other methods (such asTest Methods
this display.
E1641 and E2958).
6.3.4 The standard deviation in the logarithm of the thermal
6.1.1.2 R = universal gas constant (= 8.314 J/(mol K)),
endurance (tf) may be estimated using Eq 4.
6.1.1.3 β = heating rate (K/min),
σlog tf,h ⁄ log tf,h 5σE ⁄ E (4)
@ # @ #
NOTE 2—β may be obtained from Test Method E2550 and is typically
6.4 Method C – Relative Thermal Index:
5 K/min.
6.4.1 Relativethermalindex(RTI)foranalternativethermal
6.1.1.4 TI = thermal index (K),
endurance (tf(RTI)) may be determined from the activation
6.1.1.5 tf = thermal endurance (thermal life) with an iden-
energy determined by thermogravimetry (E) and the reference
tified conversion (α) taken as the failure criterion (h),
thermal index (TI at tf(RTI)) obtained by some other method
6.1.1.6 Tf = failure absolute temperature taken as tempera-
(such as electrical or mechanical tests) using Eq 5.
tureforthepointofconstantconversionfor β(K/min)obtained
RTI 5 TI ⁄ $~~2.303 RTI ⁄ E! log@tf ~RTI!⁄tf~TI!#!11% (5)
from Test Methods E2550 or E2958 (K),
NOTE 6—See derivation in Appendix X3.
6.1.1.7 RTI = relative thermal index (K),
6.1.1.8 σE = standard deviation in activation energy (J/mol)
7. Report
obtained from Test Methods E1641 and E2958, etc.,
7.1 Report the following information:
NOTE 3—The precision of the calculation in this practice is exponen- 7.1.1 The value, standard deviation (or relative standard
tially dependent on the uncertainty of activation energy value used. Care
deviation), and source for each value used for this determina-
should be taken to use only the most precise values of E.
tion;
6.1.1.9 σlog[tf] = standard deviation of the logarithm of
7.1.2 Designation of the material under test, including the
thermal endurance with tf in h,
name of the manufacturer, the lot number, and supposed
6.1.1.10 σTI = standard deviation of the thermal index (K), chemical composition when known; and
6.1.1.11 σRTI = standard deviation of the relative thermal
7.1.3 The calculated thermal index (TI) and its relative
index (K),
standard deviation (σTI/TI) or relative thermal index (RTI) and
6.1.1.12 σtf = standard deviation of the thermal endurance
its relative standard deviation (σRTI/RTI) along with the
(h),
identified thermal endurance.
6.1.1.13 tr=referencetimevalueforthermalendurance(h),
and 3
The boldface numbers in parentheses refer to a list of references at the end of
6.1.1.14 Tr = reference value for
...
This document is not an ASTM standard and is intended only to provide the user of an ASTM standard an indication of what changes have been made to the previous version. Because
it may not be technically possible to adequately depict all changes accurately, ASTM recommends that users consult prior editions as appropriate. In all cases only the current version
of the standard as published by ASTM is to be considered the official document.
Designation: E1877 − 17 E1877 − 21
Standard Practice for
Calculating Thermal Endurance of Materials from
Thermogravimetric Decomposition Data
This standard is issued under the fixed designation E1877; the number immediately following the designation indicates the year of
original adoption or, in the case of revision, the year of last revision. A number in parentheses indicates the year of last reapproval. A
superscript epsilon (´) indicates an editorial change since the last revision or reapproval.
1. Scope*
1.1 This practice describes the determination of thermal endurance, thermal index, and relative thermal index for organic materials
using the Arrhenius activation energy generated for thermal decomposition measured by thermogravimetry.
1.2 This practice is generally applicable to materials with a well-defined thermal decomposition profile, profile upon heating,
namely a smooth, continuous mass change.
1.3 The values stated in SI units are to be regarded as standard. No other units of measurement are included in this standard.
1.4 There is no ISO standard equivalent to this practice.
1.4 This standard does not purport to address all of the safety concerns, if any, associated with its use. It is the responsibility
of the user of this standard to establish appropriate safety safety, health, and healthenvironmental practices and determine the
applicability of regulatory limitations prior to use.
1.5 This international standard was developed in accordance with internationally recognized principles on standardization
established in the Decision on Principles for the Development of International Standards, Guides and Recommendations issued
by the World Trade Organization Technical Barriers to Trade (TBT) Committee.
2. Referenced Documents
2.1 ASTM Standards:
D3045 Practice for Heat Aging of Plastics Without Load
E1641 Test Method for Decomposition Kinetics by Thermogravimetry Using the Ozawa/Flynn/Wall Method
E2550 Test Method for Thermal Stability by Thermogravimetry
This practice is under the jurisdiction of Committee E37 on Thermal Measurements and is the direct responsibility of Subcommittee E37.10 on Fundamental, Statistical
and Mechanical Properties.
Current edition approved May 1, 2017March 1, 2021. Published June 2017May 2021. Originally approved in 1997. Last previous edition approved in 20152017 as
E1877 – 15.E1877 – 17. DOI: 10.1520/E1877-17.10.1520/E1877-21.
For referenced ASTM standards, visit the ASTM website, www.astm.org, or contact ASTM Customer Service at service@astm.org. For Annual Book of ASTM Standards
volume information, refer to the standard’s Document Summary page on the ASTM website.
*A Summary of Changes section appears at the end of this standard
Copyright © ASTM International, 100 Barr Harbor Drive, PO Box C700, West Conshohocken, PA 19428-2959. United States
E1877 − 21
E2958 Test Methods for Kinetic Parameters by Factor Jump/Modulated Thermogravimetry
3. Terminology
3.1 Definitions of Terms Specific to This Standard:
3.1.1 failure, n—change in some chemical, physical, mechanical, electrical or other property of sufficient magnitude to make it
unsuitable for a particular use.
3.1.2 failure temperature (T(Tf), ), n—the absolute temperature at which a material fails after a selected time.
f
3.1.3 thermal index (TI), n—the absolute temperature corresponding to a selected time-to-failure.thermal endurance value.
3.1.4 relative thermal index (RTI), n—the temperature corresponding to a selected time-to-failure when compared with that of a
control with proven thermal endurance characteristics.
3.1.4.1 Discussion—
The TI and RTI are considered to be the maximum temperature below which the material resists changes in its properties over a
selected period of time. In the absence of comparison data for a control material, a thermal endurance (time-to-failure) of 60 000 h
has been arbitrarily selected for measuring specific time period. TI and RTI.
3.1.4.2 Discussion—
In the absence of other comparison data for a control material, a thermal endurance (time-to-failure) of 20 000 h is arbitrarily
selected for measuring TI and RTI.
3.1.5 thermal endurance, endurance (tf), n—the time-to-failure corresponding to a selected temperature. Also known as thermal
lifetime or time-to-failure.
3.1.5.1 Discussion—
Also known as thermal lifetime or time-to-failure.
4. Summary of Practice
4.1 The Arrhenius activation energy obtained from other Test Methods (such as Test Methods E1641 and E2958, etc.) is used to
construct the thermal endurance curve of an organic material from which an estimate of lifetime at selected temperatures may be
obtained.
5. Significance and Use
5.1 Thermogravimetry provides a rapid method for the determination of the temperature-decomposition profile of a material.
5.2 This practice is useful for quality control, specification acceptance, and research.
5.3 This test method practice is intended to provide an accelerated thermal endurance estimation in a fraction of the time require
for oven-aging tests. The primary product of this test method practice is the thermal index (temperature) for a selected estimated
thermal endurance (time) as derived from material decomposition.
5.4 Alternatively, the estimated thermal endurance (time) of a material may be estimated from a selected thermal index
(temperature).
5.5 Additionally, the estimated thermal endurance of a material at selected failure time and temperature may be estimated when
compared to a reference value for thermal endurance and thermal index obtained from electrical or mechanical oven aging tests.
5.6 This practice shall not be used for product lifetime predications unless a correlation between test results and actual lifetime
has been demonstrated. In many cases, multiple mechanisms occur during the decomposition of a material, with one mechanism
dominating over one temperature range, and a different mechanism dominating in a different temperature range. Users of this
practice are cautioned to demonstrate for their system that any temperature extrapolations are technically sound.
E1877 − 21
6. Calculation
6.1 The following values are used to calculate thermal endurance, estimated thermal life and failure temperature.index, and
relative thermal index.
6.1.1 The following definitions apply to 6.1 – 6.4:
6.1.1.1 E = Arrhenius activation energy (J/mol),
NOTE 1—E may be obtained from anotherother methods (such as Test Methods E1641 and E2958, etc.).).
6.1.1.2 R = universal gas constant (= 8.31451(= 8.314 J/(mol K)),
6.1.1.3 β = heating rate (K/min),
NOTE 2—β may be obtained from Test Method E2550 and is typically 5 K/min.
6.1.1.4 TI = thermal index (K),
6.1.1.5 ttf = estimated thermal endurance (thermal life) for a constantwith an identified conversion (α) taken as the failure criterion
f
(min),(h),
6.1.1.6 TTf = failure absolute temperature taken as temperature for the point of constant conversion for β (K)(K/min) obtained
c
from Test Methods E2550 or E2958, (K),
6.1.1.7 RTI = Relative Thermal Indexrelative thermal index (K),
6.1.1.8 σE = standard deviation in activation energy (J/mol) obtained from Test Methods E1641 and E2958, etc.,
NOTE 3—The precision of the calculation in this practice areis exponentially dependent on the uncertainty of activation energy value used. Care should
be taken to use only the most precise values of E.
6.1.1.9 σlog[TItf = thermal index (K),] = standard deviation of the logarithm of thermal endurance with tf in h,
6.1.1.10 σTI = standard deviation of the thermal index (K),
6.1.1.11 σRTI = standard deviation of the relative thermal index (K),
6.1.1.12 σttf = standard deviation of the thermal endurance (min),(h),
f
6.1.1.13 ttr = reference time value for thermal endurance (min),(h), and
r
6.1.1.14 TTr = reference value for thermal index (K).
r
6.2 Method 1A – Thermal Index:
6.2.1 Using the Obtain activation energy (E) and determined previously (for example, see Test Method E1641). Obtain the failure
temperature (TTf ), determine ) from a thermal curve determined at heating rate (β = 300 K/h = 5 K/min) (see Test Method
c
E1641the value for ). Select the thermal endurance (Etf/)RT (typically .20 000 h).
c
6.2.2 Using the value of E/RT , determine the value for TI using Eq 1.
c
6.2.3 Select the thermal endurance (t ) and calculate its logarithm.
f
E1877 − 21
6.2.2 Substitute the values for E,R,ttf, , and β into Eq 1 to obtain the thermal index (TI) (1, 2).
f
TI 5 E ⁄ 2.303 R ⁄ log 100.4 tf β R ⁄ E 10.463 E ⁄ R Tf (1)
$ ~ !% $ @ # %
TI 5 $E ⁄ ~2.303 R!% ⁄ $log @100.4 t β R ⁄ E#10.463 E ⁄ R T % (1)
f c
NOTE 4—See derivation in Appendix X3.
6.2.3 Determine the thermal index relative standard deviation (σTI/TI) using Eq 2.
σTI ⁄ TI 5 σE⁄E (2)
σTI ⁄ TI'60.19 σE⁄E (2)
6.2.4 Report the thermal index (TI) and its relative standard deviation (σTI/TI) along with the and thermal endurance (ttf ).
f
6.3 Method B – Thermal Endurance Curve:
6.3.1 Arbitrarily select two or three temperatures (Tr) in the region of interest and calculate the corresponding logarithm of the
thermal endurance (log[ttf ]) values in hours at each temperature using Eq 3. with β expressed in units of K/h.
f
log tf , h 5 E ⁄ 2.303 R Tr 1log E ⁄ 100.4 R β 2 0.463 E ⁄ RTf (3)
@ # ~ ! @ #
log t 5 E ⁄ 2.303 R T 1log E ⁄ 100.4 R β 2 0.463 E ⁄ RT (3)
@ # ~ ! @ #
f c c
-1
NOTE 5—β shall be in units of K h .
6.3.2 Prepare a display of logarithm of thermal endurance on(log[tf, the ordinate h]) versus the reciprocal of absolute temperature
on(Tr the abscissa ]) (see Fig. 1).
6.3.3 Alternative thermal indexes (TI) and associated logarithm of thermal endurance (log[ttf, ] h]) may be estimated from this
f
display.
6.3.4 The standard deviation in the logarithm of the thermal endurance (ttf ) may be estimated using Eq 4.
f
σlog tf , h ⁄ log tf , h 5σE ⁄ E (4)
@ # @ #
σlog@t # ⁄ log@t #'6σE ⁄ E (4)
f f
6.3.5 From the law of propagation of uncertainties (2):
σt ⁄ t 5 2.303 log@t # σE ⁄ E (5)
f f f
6.4 Method C – Relative Thermal Index:
6.4.1 Relative Thermal Index thermal index (RTI) for an alternative thermal endurance (tf(RTI)) may be determined from the
activation energy determined by thermogravimetry (E) and the reference thermal index (TI at tf(RTI)) obtained by some other
method (such as electrical or mechanical tests) using Eq 65.
RTI 5 TI ⁄ 2.303 RTI ⁄ E log tf RTI ⁄tf TI 11 (5)
$~~ ! @ ~ ! ~ !#! %
RTI 5 E ⁄ R@ln @t # 2 ln@t #1E ⁄ ~R T !# (6)
f r r
NOTE 6—See derivation in Appendix X3.
7. Report
7.1 Report the following information:
7.1.1 The value, standard deviation (or relative standard deviation), and source for each value used in thefor this determination;
The boldface numbers in parentheses refer to a list of references at the end of this standard.
E1877 − 21
FIG. 1 Thermal Endurance Curve
E1877 − 21
7.1.2 Designation of the material under test, including the name of the manufacturer, the lot number, and supposed chemical
composition when known; and
7.1.3 The calculated thermal index (TI) and its relative standard deviation (σTI/TI) or relative thermal index (RTI) and its relative
standard deviation (σRTI/RTI) along with the identified thermal endurance.
7.1.3.1 Example:
TI 60 000 hr 5 45366 K 180 6 6 ° C
~ ! ~ !
TI~20 000 h!5 45666 K~180 6 6 °C!
7.1.4 The specific dated version of this practice that is used.
8. Precision and Bias
8.
...








Questions, Comments and Discussion
Ask us and Technical Secretary will try to provide an answer. You can facilitate discussion about the standard in here.
Loading comments...