ASTM E2205/E2205M-22
(Guide)Standard Guide for Risk-Based Corrective Action for Protection of Ecological Resources
Standard Guide for Risk-Based Corrective Action for Protection of Ecological Resources
SIGNIFICANCE AND USE
4.1 The Eco-RBCA process presented in this guide is a streamlined decision-making process for implementing corrective action protective of ecological resources at chemical release sites in a consistent manner. Eco-RBCA provides a framework for sites not covered under regulatory programs, for sites under regulatory programs that lack guidance, or for sites under programs with guidance that lack detail. Eco-RBCA may also provide a useful framework to help merge an approach when multiple regulatory programs apply.
4.2 Ecological risk assessment is a science-based process that can be used to provide insight for risk management decision-making. Numerous federal and state programs have guidance for conducting ERA. Available regulatory approaches to ERA were reviewed in preparation for the development of this Eco-RBCA guide. Eco-RBCA was designed to be adaptable to the use of a variety of methods for considering risks to relevant ecological receptors and habitats. Some attributes of the standard are:
4.2.1 Use of a tiered approach, including process flow charts to identify critical steps and facilitate the development of an overview of the entire process;
4.2.2 Identification, development, and use of TPDs from Step 1 and throughout the entire Eco-RBCA process;
4.2.3 Indications of the value and timing of stakeholder involvement, recognizing that some regulations require coordination with federal, state, tribal, and natural-resource trustees, and other stakeholders;
4.2.4 Identification of situations under which an ERA may or may not be necessary; and
4.2.5 Identification of decision points where ERA results are used for risk management decision making.
4.3 Activities described in this guide should involve persons with the appropriate skills and expertise. The user may rely on individuals expert in remediation science and technology, ecology/biology, ecotoxicology, ERA practices, and site characterization techniques.
4.4 This guide and supporting app...
SCOPE
1.1 This is a guide to risk-based corrective action for the protection of ecological resources and supplements the RBCA process (Guide E2081). The primary objective of the Eco-RBCA process is to provide a flexible framework for a tiered approach to ERA and risk management decision making at chemical release sites. To this end, available guidance documents from various federal and state agencies were reviewed and their common attributes incorporated into this guide, where possible. The Eco-RBCA process complements existing technical and regulatory ecological risk guidance (see 4.2). In particular, it is intended to be compatible with the USEPA programmatic guidelines for ERA (1)2, guidance for the Superfund program (2), and other USEPA (3) risk assessment and corrective-action programs. Eco-RBCA might also be used in conjunction with corrective action strategies that include human health issues (for example, Guide E2081).
1.2 Chemical release sites vary greatly in terms of complexity, physical and chemical characteristics, and the risk that they might pose to ecological resources. The Eco-RBCA process, as described in Guide E2081, recognizes this variability and incorporates a tiered approach that integrates site assessment, response actions, and remedial actions with ERA. The process begins with relatively simple analyses in Tier 1 and, if necessary, proceeds to more detailed evaluations in Tier 2 or Tier 3. The process of gathering and evaluating data is conducted in such a manner that only those data that are necessary for a given tier's decision making are collected at each tier. Hence, this can facilitate effective use of resources and reduce initial data requirements.
1.3 Eco-RBCA is intended to provide a framework for sites not covered under regulatory programs and for sites under regulatory programs that lack specific guidance. Eco-RBCA may also provide a useful framework to help merge several possible appr...
General Information
- Status
- Published
- Publication Date
- 30-Sep-2022
- Technical Committee
- E50 - Environmental Assessment, Risk Management and Corrective Action
- Drafting Committee
- E50.04 - Corrective Action
Relations
- Effective Date
- 01-Dec-2023
- Effective Date
- 01-Apr-2020
- Refers
ASTM E3240-20 - Standard Guide for Risk-Based Corrective Action for Contaminated Sediment Sites - Effective Date
- 01-Jan-2020
- Effective Date
- 01-Jan-2020
- Effective Date
- 01-Sep-2018
- Effective Date
- 01-Apr-2015
- Effective Date
- 01-Sep-2010
- Effective Date
- 01-Sep-2010
- Effective Date
- 01-Mar-2010
- Refers
ASTM E1689-95(2008) - Standard Guide for Developing Conceptual Site Models for Contaminated Sites - Effective Date
- 01-Feb-2008
- Effective Date
- 01-Feb-2008
- Effective Date
- 01-Oct-2004
- Effective Date
- 10-Apr-2000
- Effective Date
- 10-Sep-1995
- Refers
ASTM E1739-95e1 - Standard Guide for Risk-Based Corrective Action Applied at Petroleum Release Sites - Effective Date
- 01-Jan-1995
Overview
ASTM E2205/E2205M-22: Standard Guide for Risk-Based Corrective Action for Protection of Ecological Resources is an essential framework for organizations managing sites impacted by chemical releases. Developed by ASTM International, this guide introduces a tiered, adaptable decision-making process for protecting ecological resources at contaminated locations. The Eco-RBCA process supplements the broader RBCA framework (as detailed in Guide E2081), and is designed to support consistent, science-based ecological risk assessment (ERA) and risk management, even when regulatory programs lack clear or detailed risk guidance. The standard helps streamline corrective actions and supports compliance with applicable laws, while leveraging stakeholder input and technical expertise.
Key Topics
- Tiered Approach: Eco-RBCA employs a structured, tiered methodology for site assessment and ERA, progressing from simple, conservative analyses (Tier 1) to more detailed, site-specific evaluations (Tiers 2 and 3) as warranted by site conditions and risk complexity.
- Technical Policy Decisions (TPDs): The guide emphasizes the critical role of TPDs, which underpin key decisions in site assessment, data gathering, and risk management. Stakeholder engagement is encouraged throughout the process for effective, transparent outcomes.
- Stakeholder Involvement: Recognizing the value and, at times, the regulatory requirement for stakeholder coordination, Eco-RBCA integrates input from federal, state, tribal, local authorities, and natural resource trustees.
- Flexible, Science-Based Risk Evaluation: Designed to incorporate the latest regulatory guidance and best available science, Eco-RBCA enables tailored assessment for each site, ensuring relevant ecological receptors and habitats are protected.
- Streamlined Data Collection: By collecting only data necessary at each tier, the process helps reduce unnecessary effort and costs, focusing resources on information that directly supports risk-based decisions.
- Integration with Regulatory Programs: Eco-RBCA is compatible with key U.S. EPA and state ERA programs, including Superfund, and is referenced internationally as a recognized approach for ecological risk management.
Applications
ASTM E2205/E2205M-22 is applicable across a broad range of contaminated site situations, especially:
- Chemical Release Sites: For assessment and remediation of sites where chemicals have been inadvertently released into the environment, including soil, water, and sediment.
- Sites Outside Regulatory Programs: Offers structured, consistent risk management for sites not otherwise covered by government remediation programs.
- Complex Multi-Program Sites: Useful for integrating frameworks when multiple regulatory programs or overlapping requirements make decision-making complex.
- Supplementing Human Health Risk-Based Corrective Action: Can be used alongside human health-focused RBCA, such as ASTM Guide E2081, when ecological risks are present.
- Guidance for Consultants and Stakeholders: Provides a common foundation for consultants, site owners, government agencies, and community stakeholders to collaborate on site assessment, risk evaluation, and remedial decision-making.
Practical Value
- Promotes efficient resource use by scaling effort to site-specific needs.
- Supports regulatory compliance and transparency for stakeholders.
- Facilitates defensible and consistent risk-based decisions in ecological protection.
- Encourages adaptive management as new information emerges during site investigation and cleanup.
Related Standards
Organizations and practitioners using ASTM E2205/E2205M-22 should consider the following related ASTM and international standards for comprehensive site assessment and remediation:
- ASTM E2081 - Risk-Based Corrective Action
- ASTM E1739 - RBCA for Petroleum Release Sites
- ASTM E1848 - Selecting and Using Ecological Endpoints
- ASTM E2020 - Data and Information for Ecological Risk Assessment
- ASTM E1689 - Developing Conceptual Site Models
- ASTM E3240 - RBCA for Contaminated Sediment Sites
- ISO 21365:2019 - Soil Quality - Conceptual Site Models for Potentially Contaminated Sites
For ecological risk assessment practitioners and environmental consultants, ASTM E2205/E2205M-22 provides a flexible, recognized, and efficient framework for managing the protection of ecological resources during site remediation and corrective action.
Keywords: ecological risk assessment, risk-based corrective action, ecological resources, contaminated sites, corrective action standard, environmental remediation, stakeholder involvement, technical policy decisions, ASTM E2205/E2205M-22, ERA framework.
Buy Documents
ASTM E2205/E2205M-22 - Standard Guide for Risk-Based Corrective Action for Protection of Ecological Resources
REDLINE ASTM E2205/E2205M-22 - Standard Guide for Risk-Based Corrective Action for Protection of Ecological Resources
Get Certified
Connect with accredited certification bodies for this standard

BSI Group
BSI (British Standards Institution) is the business standards company that helps organizations make excellence a habit.

Bureau Veritas
Bureau Veritas is a world leader in laboratory testing, inspection and certification services.

DNV
DNV is an independent assurance and risk management provider.
Sponsored listings
Frequently Asked Questions
ASTM E2205/E2205M-22 is a guide published by ASTM International. Its full title is "Standard Guide for Risk-Based Corrective Action for Protection of Ecological Resources". This standard covers: SIGNIFICANCE AND USE 4.1 The Eco-RBCA process presented in this guide is a streamlined decision-making process for implementing corrective action protective of ecological resources at chemical release sites in a consistent manner. Eco-RBCA provides a framework for sites not covered under regulatory programs, for sites under regulatory programs that lack guidance, or for sites under programs with guidance that lack detail. Eco-RBCA may also provide a useful framework to help merge an approach when multiple regulatory programs apply. 4.2 Ecological risk assessment is a science-based process that can be used to provide insight for risk management decision-making. Numerous federal and state programs have guidance for conducting ERA. Available regulatory approaches to ERA were reviewed in preparation for the development of this Eco-RBCA guide. Eco-RBCA was designed to be adaptable to the use of a variety of methods for considering risks to relevant ecological receptors and habitats. Some attributes of the standard are: 4.2.1 Use of a tiered approach, including process flow charts to identify critical steps and facilitate the development of an overview of the entire process; 4.2.2 Identification, development, and use of TPDs from Step 1 and throughout the entire Eco-RBCA process; 4.2.3 Indications of the value and timing of stakeholder involvement, recognizing that some regulations require coordination with federal, state, tribal, and natural-resource trustees, and other stakeholders; 4.2.4 Identification of situations under which an ERA may or may not be necessary; and 4.2.5 Identification of decision points where ERA results are used for risk management decision making. 4.3 Activities described in this guide should involve persons with the appropriate skills and expertise. The user may rely on individuals expert in remediation science and technology, ecology/biology, ecotoxicology, ERA practices, and site characterization techniques. 4.4 This guide and supporting app... SCOPE 1.1 This is a guide to risk-based corrective action for the protection of ecological resources and supplements the RBCA process (Guide E2081). The primary objective of the Eco-RBCA process is to provide a flexible framework for a tiered approach to ERA and risk management decision making at chemical release sites. To this end, available guidance documents from various federal and state agencies were reviewed and their common attributes incorporated into this guide, where possible. The Eco-RBCA process complements existing technical and regulatory ecological risk guidance (see 4.2). In particular, it is intended to be compatible with the USEPA programmatic guidelines for ERA (1)2, guidance for the Superfund program (2), and other USEPA (3) risk assessment and corrective-action programs. Eco-RBCA might also be used in conjunction with corrective action strategies that include human health issues (for example, Guide E2081). 1.2 Chemical release sites vary greatly in terms of complexity, physical and chemical characteristics, and the risk that they might pose to ecological resources. The Eco-RBCA process, as described in Guide E2081, recognizes this variability and incorporates a tiered approach that integrates site assessment, response actions, and remedial actions with ERA. The process begins with relatively simple analyses in Tier 1 and, if necessary, proceeds to more detailed evaluations in Tier 2 or Tier 3. The process of gathering and evaluating data is conducted in such a manner that only those data that are necessary for a given tier's decision making are collected at each tier. Hence, this can facilitate effective use of resources and reduce initial data requirements. 1.3 Eco-RBCA is intended to provide a framework for sites not covered under regulatory programs and for sites under regulatory programs that lack specific guidance. Eco-RBCA may also provide a useful framework to help merge several possible appr...
SIGNIFICANCE AND USE 4.1 The Eco-RBCA process presented in this guide is a streamlined decision-making process for implementing corrective action protective of ecological resources at chemical release sites in a consistent manner. Eco-RBCA provides a framework for sites not covered under regulatory programs, for sites under regulatory programs that lack guidance, or for sites under programs with guidance that lack detail. Eco-RBCA may also provide a useful framework to help merge an approach when multiple regulatory programs apply. 4.2 Ecological risk assessment is a science-based process that can be used to provide insight for risk management decision-making. Numerous federal and state programs have guidance for conducting ERA. Available regulatory approaches to ERA were reviewed in preparation for the development of this Eco-RBCA guide. Eco-RBCA was designed to be adaptable to the use of a variety of methods for considering risks to relevant ecological receptors and habitats. Some attributes of the standard are: 4.2.1 Use of a tiered approach, including process flow charts to identify critical steps and facilitate the development of an overview of the entire process; 4.2.2 Identification, development, and use of TPDs from Step 1 and throughout the entire Eco-RBCA process; 4.2.3 Indications of the value and timing of stakeholder involvement, recognizing that some regulations require coordination with federal, state, tribal, and natural-resource trustees, and other stakeholders; 4.2.4 Identification of situations under which an ERA may or may not be necessary; and 4.2.5 Identification of decision points where ERA results are used for risk management decision making. 4.3 Activities described in this guide should involve persons with the appropriate skills and expertise. The user may rely on individuals expert in remediation science and technology, ecology/biology, ecotoxicology, ERA practices, and site characterization techniques. 4.4 This guide and supporting app... SCOPE 1.1 This is a guide to risk-based corrective action for the protection of ecological resources and supplements the RBCA process (Guide E2081). The primary objective of the Eco-RBCA process is to provide a flexible framework for a tiered approach to ERA and risk management decision making at chemical release sites. To this end, available guidance documents from various federal and state agencies were reviewed and their common attributes incorporated into this guide, where possible. The Eco-RBCA process complements existing technical and regulatory ecological risk guidance (see 4.2). In particular, it is intended to be compatible with the USEPA programmatic guidelines for ERA (1)2, guidance for the Superfund program (2), and other USEPA (3) risk assessment and corrective-action programs. Eco-RBCA might also be used in conjunction with corrective action strategies that include human health issues (for example, Guide E2081). 1.2 Chemical release sites vary greatly in terms of complexity, physical and chemical characteristics, and the risk that they might pose to ecological resources. The Eco-RBCA process, as described in Guide E2081, recognizes this variability and incorporates a tiered approach that integrates site assessment, response actions, and remedial actions with ERA. The process begins with relatively simple analyses in Tier 1 and, if necessary, proceeds to more detailed evaluations in Tier 2 or Tier 3. The process of gathering and evaluating data is conducted in such a manner that only those data that are necessary for a given tier's decision making are collected at each tier. Hence, this can facilitate effective use of resources and reduce initial data requirements. 1.3 Eco-RBCA is intended to provide a framework for sites not covered under regulatory programs and for sites under regulatory programs that lack specific guidance. Eco-RBCA may also provide a useful framework to help merge several possible appr...
ASTM E2205/E2205M-22 is classified under the following ICS (International Classification for Standards) categories: 13.020.40 - Pollution, pollution control and conservation. The ICS classification helps identify the subject area and facilitates finding related standards.
ASTM E2205/E2205M-22 has the following relationships with other standards: It is inter standard links to ASTM E3242-23, ASTM E3248-20, ASTM E3240-20, ASTM E3242-20, ASTM E3163-18, ASTM E1739-95(2015), ASTM E2081-00(2010)e1, ASTM E1739-95(2010)e1, ASTM E2020-99a(2010), ASTM E1689-95(2008), ASTM E1848-96(2008), ASTM E2081-00(2004)e1, ASTM E2081-00, ASTM E1739-95(2002), ASTM E1739-95e1. Understanding these relationships helps ensure you are using the most current and applicable version of the standard.
ASTM E2205/E2205M-22 is available in PDF format for immediate download after purchase. The document can be added to your cart and obtained through the secure checkout process. Digital delivery ensures instant access to the complete standard document.
Standards Content (Sample)
This international standard was developed in accordance with internationally recognized principles on standardization established in the Decision on Principles for the
Development of International Standards, Guides and Recommendations issued by the World Trade Organization Technical Barriers to Trade (TBT) Committee.
Designation: E2205/E2205M − 22
Standard Guide for
Risk-Based Corrective Action for Protection of Ecological
Resources
This standard is issued under the fixed designation E2205/E2205M; the number immediately following the designation indicates the year
of original adoption or, in the case of revision, the year of last revision. A number in parentheses indicates the year of last reapproval.
A superscript epsilon (´) indicates an editorial change since the last revision or reapproval.
INTRODUCTION
This guide for risk-based corrective action for the protection of ecological resources (Eco-RBCA)
provides a flexible framework for a tiered approach to ecological risk assessment (ERA) and risk
management decision-making at chemical release sites. The framework of the Eco-RBCA guide
parallels the framework in Guide E2081 with respect to the tiered approach for data gathering,
evaluation and decision-making, and should, when possible, be conducted concurrent with the broader
RBCA process activities. The Eco-RBCA guide directs the user to Guide E2081 for development and
implementation of a corrective action program. This guide supplements Guide E2081 and was
developed after careful consideration of the peer-reviewed published literature and existing federal,
regional, and state ecological risk–assessment guidance. The user of this guide, as defined in 3.1.45,
needs to be familiar with Guide E2081 and the overall RBCA process. The RBCA process provides
a flexible, technically defensible framework for corrective action that has applicability to a wide range
of sites and chemicals of concern.
ASTM guides are not federal or state regulations; rather, they are consensus standards that can be
followed voluntarily. It is not within the scope of this standard to provide the details of specific
regulatory requirements. Collectively, the Eco-RBCA and RBCA guides provide an integrated
framework to corrective action. Eco-RBCA is intended to complement rather than replace the
decision-making structures of regulatory programs. In addition, Eco-RBCA is intended to provide a
framework for sites not covered under regulatory programs, for sites under regulatory programs that
lack guidance, or for sites under programs with guidance that lack detail. Eco-RBCA may also provide
a useful framework to help merge an approach when multiple regulatory programs apply. Even when
a site is not currently governed by a regulatory program, consultation with the appropriate regulatory
agency(ies) will ensure regulatory compliance and provide technical guidance.
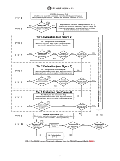
The Eco-RBCA process is intended to accommodate a diversity of sites and conditions by providing
a framework that can address site-specific needs. The appendixes provide useful technical details and
case study examples, although the application of this guide does not require their use. Eco-RBCA is
a process for evaluating ecological risk and decision making. To facilitate the implementation of
Eco-RBCA, the framework is organized into ten steps and three risk assessment tiers that begin with
relatively simple analyses and progress to more complex assessments as site conditions warrant (see
Fig. 1). Although organized into steps and tiers, the user should recognize that Eco-RBCA progresses
conceptually in a linear manner, but may not be implemented in a linear manner. The objective should
be to conduct the evaluation in the manner that most appropriately meets the needs and goals of the
assessment. Each tier includes five types of activities that increase in complexity and level of effort
as the evaluation progresses through the RBCA process. These activities are (1) planning and scoping,
(2) data and information acquisition, (3) analysis and evaluation, (4) decision making, and (5)
remedial actions. The details of the activities and how they are implemented can vary, depending on
the nature and complexity of the site and the tier level. Early in the Eco-RBCA process, assumptions
are biased toward being overly protective (that is, “conservative”) because of uncertainties inherent in
non–site-specific data. Typically, as the site progresses through the tiered evaluation, more site-specific
information is collected and uncertainty decreases; therefore, less-conservative assumptions can be
used in the evaluation.
NOTE 1—This is a consequence of the screening process since the primary purpose is to quickly refine the lists of
chemicals of concern to understand which ones are the primary risk drivers. Commensurate with this reduced
Copyright © ASTM International, 100 Barr Harbor Drive, PO Box C700, West Conshohocken, PA 19428-2959. United States
E2205/E2205M − 22
uncertainty, the user can employ more site-specific and less conservative estimates and assumptions
of exposure and effects due to refinement of the list of chemicals of concern. As understanding of site
conditions improves, confidence in the conclusions and decision should also increase. The progression
of the evaluation through the tiered process is accompanied by an increasing degree of formalization
that could include the documentation of a screening-level assessment or the use of formal ecological
risk assessment (ERA) methods. The manner in which uncertainty, conservatism, data quality, and
other technical aspects are addressed is by technical policy decisions.
Technical policy decisions (TPDs) are an important part of the Eco-RBCA process, and while it is
not within the scope of this standard to identify the TPDs appropriate for a specific site, Appendix X2
and Guide E2081 provide additional insight into their identification, understanding, and development.
Technical policy decisions generally fall into three categories: (1) those that are identified as existing
prior to the Eco-RBCA assessment and will not change (that is, prescribed and without flexibility such
as regulations or policy), (2) those that are identified as existing prior to the Eco-RBCA assessment
but may change or be modified based on site-specific information (for example, sampling protocols,
selection of fate and transport models or other tools, data quality objectives, or corrective-action
goals), and (3) those that are developed specifically for the Eco-RBCA assessment (for example,
development of a site-specific model). Technical policy decisions are typically identified, negotiated
(if appropriate), and documented in the initial site assessment (see 7.1). It is the responsibility of the
user of the Eco-RBCA guide to identify and consider the TPDs and appropriate stakeholders for a site.
These TPDs may need to be reevaluated each time the Eco-RBCA evaluation proceeds through an
iteration or progresses to a new tier. Both the RBCA and Eco-RBCA processes encourage user-led
initiatives and appropriate stakeholder involvement in identifying TPDs and developing the Eco-
RBCA program. Laws and regulations may require coordination with federal, state, and natural
resource trustees.
This guide serves to complement existing guidance for hazardous-waste sites and facilities and to
provide guidance for sites not under regulatory programs. This guide does not substitute for applicable
federal, regional, state, local, or other regulatory requirements. This guide is not a regulation itself and
may not apply to a particular situation, based on the circumstances.
This guide is not intended to replace professional judgment or to recommend a specific course of
action. All aspects of this guide might not be applicable in all circumstances. This guide is not intended
to represent or replace the standard of care by which the adequacy of a given professional service is
judged, nor should this document be applied without consideration of a project’s many unique aspects.
The word “Standard” in the title of this document means only that the document has been approved
through the ASTM consensus process.
This guide is under the jurisdiction of ASTM Committee E50 on Environmental Assessment, Risk Management and Corrective Action and is the direct responsibility
of Subcommittee E50.04 on Corrective Action.
Current edition approved Oct. 1, 2022. Published February 2023. Originally approved in 2002. Last previous edition approved in 2014 as E2205 – 02(2014). DOI:
10.1520/E2205_E2205M-22.
E2205/E2205M − 22
FIG. 1 Eco-RBCA Process Flowchart—Adapted from the RBCA Flowchart (Guide E2081)
E2205/E2205M − 22
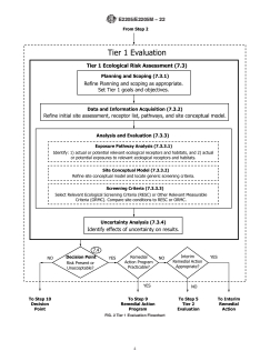
FIG. 2 Tier 1 Evaluation Flowchart
E2205/E2205M − 22
FIG. 3 Tier 2 Evaluation Flowchart
E2205/E2205M − 22
FIG. 4 Tier 3 Evaluation Flowchart
E2205/E2205M − 22
1. Scope 1.5.2 Data used in the Eco-RBCA process be of sufficient
quantity and quality to answer the questions and support the
1.1 This is a guide to risk-based corrective action for the
decisions made at the tier of investigation;
protection of ecological resources and supplements the RBCA
1.5.3 Site assessments be distinguished into tiers of appro-
process (Guide E2081). The primary objective of the Eco-
priate levels of evaluation;
RBCA process is to provide a flexible framework for a tiered
1.5.4 Actions taken should integrate the Eco-RBCA process
approach to ERA and risk management decision making at
for the protection of relevant ecological receptors and habitats
chemical release sites. To this end, available guidance docu-
and RBCA for the protection of human health (see Guide
ments from various federal and state agencies were reviewed
E2081), as appropriate;
and their common attributes incorporated into this guide,
1.5.5 Applicable federal, state, and local laws and regula-
where possible. The Eco-RBCA process complements existing
tions be followed; and
technical and regulatory ecological risk guidance (see 4.2). In
1.5.6 Potential adverse effects on relevant ecological recep-
particular, it is intended to be compatible with the USEPA
tors and habitats be considered when selecting remedial action
programmatic guidelines for ERA (1) , guidance for the
alternatives. The remedial action alternatives should be con-
Superfund program (2), and other USEPA (3) risk assessment
sistent with the TPDs and the RBCA process (see Guide
and corrective-action programs. Eco-RBCA might also be used
E2081).
in conjunction with corrective action strategies that include
human health issues (for example, Guide E2081).
1.6 Ecological resources are the focus of this guide; risks to
human health are addressed for petroleum releases and chemi-
1.2 Chemical release sites vary greatly in terms of
cal releases in other ASTM RBCA standards (Guides E1739
complexity, physical and chemical characteristics, and the risk
and E2081). There are many features common to all three of
that they might pose to ecological resources. The Eco-RBCA
the RBCA guides. These three guides share the basic elements
process, as described in Guide E2081, recognizes this variabil-
of RBCA: (1) site assessment; (2) tiered evaluations of
ity and incorporates a tiered approach that integrates site
exposure, effects, and risk; (3) risk-based decision making; and
assessment, response actions, and remedial actions with ERA.
(4) response, remedial action, and monitoring. There are a
The process begins with relatively simple analyses in Tier 1
number of distinctions between human health and ecological
and, if necessary, proceeds to more detailed evaluations in Tier
risk assessments. For example, while human health risk assess-
2 or Tier 3. The process of gathering and evaluating data is
ments focus on individuals, evaluations of ecological risk
conducted in such a manner that only those data that are
typically focus on populations, communities, or ecosystems.
necessary for a given tier’s decision making are collected at
Exceptions are species or critical habitats designated for
each tier. Hence, this can facilitate effective use of resources
special protection (for example, endangered or culturally-
and reduce initial data requirements.
important species). Biological data to support an ERA are more
1.3 Eco-RBCA is intended to provide a framework for sites
amenable to direct field observation than are human exposure
not covered under regulatory programs and for sites under
and epidemiological data.
regulatory programs that lack specific guidance. Eco-RBCA
1.7 The Eco-RBCA process addresses current and potential
may also provide a useful framework to help merge several
future risks to relevant ecological receptors and habitats at
possible approaches into a single approach when multiple
chemical release sites. It is not intended to apply to current
regulatory programs apply. The user should be aware of the
permitted releases and permit applications.
federal, state, and local corrective action programs and policies
that are applicable for the site and, regardless of the program,
1.8 Eco-RBCA focuses on chemical stressors. However, the
that agency approvals might be required to implement the
user may need to consider biological or physical stressors at the
process for completing ERAs.
site or effects from chemical sources unrelated to the site.
1.4 Various TPDs will need to be made regarding the
1.9 The process described in this guide integrates the
aspects of Eco-RBCA. These TPDs may cover both the
principles of current ERA practices with site assessment
philosophical and methodological aspects, from what values to
activities and remedial-action selection to ensure that the risk
protect to exactly how the Eco-RBCA process will be per-
management decision protects ecological resources. Fig. 1
formed. TPDs may affect every stage of the process, from the
illustrates the following activities in Eco-RBCA and those
initial site assessment to development and monitoring of the
described in Section 7 (7.1 – 7.10):
remedy. It is the responsibility of the user to identify the
1.9.1 Step 1—Initial Site Assessment;
appropriate TPDs. Section 7, Appendix X2, and Guide E2081
1.9.2 Step 2—Decision Point;
provide more detail regarding TPDs in the Eco-RBCA process.
1.9.3 Step 3—Tier 1 Ecological Risk Assessment;
1.9.4 Step 4—Tier 1 Decision Point;
1.5 The general performance standard for this document
requires that: 1.9.5 Step 5—Tier 2 Ecological Risk Assessment;
1.9.6 Step 6—Tier 2 Decision Point;
1.5.1 Applicable TPDs be identified, beginning at the ini-
tiation of the Eco-RBCA process, and as appropriate, at later 1.9.7 Step 7—Tier 3 Ecological Risk Assessment;
stages;
1.9.8 Step 8—Tier 3 Decision Point;
1.9.9 Step 9—Implementing the Remedial Action Program;
2 and
The boldface numbers in parentheses refer to the list of references at the end of
this standard. 1.9.10 Step 10—Monitoring Programs (7.10).
E2205/E2205M − 22
1.9.11 The above steps can be applied in a flexible manner. 2. Referenced Documents
It may not be necessary to conduct a full tier of evaluation if 3
2.1 ASTM Standards:
existing site information indicates that a subsequent tier is
E1689 Guide for Developing Conceptual Site Models for
more applicable to address site-specific concerns. Where ex-
Contaminated Sites
perience indicates that a more sophisticated assessment is
E1739 Guide for Risk-Based Corrective Action Applied at
warranted at a site, the user may elect to proceed conceptually
Petroleum Release Sites
through any earlier tiers to conduct a site-specific assessment
E1848 Guide for Selecting and Using Ecological Endpoints
typical of Tier 2 or Tier 3. Additionally, the decision points in
for Contaminated Sites
Steps 4, 6, and 8 allow the user to exit the tiered evaluation
E2020 Guide for Data and Information Options for Conduct-
process and select the appropriate remedial action once ad-
ing an Ecological Risk Assessment at Contaminated Sites
equate information is available for decision making.
E2081 Guide for Risk-Based Corrective Action
E2531 Guide for Development of Conceptual Site Models
1.10 This guide is organized as follows:
and Remediation Strategies for Light Nonaqueous-Phase
1.10.1 Section 2 lists referenced ASTM documents;
Liquids Released to the Subsurface
1.10.2 Section 3 defines terminology used in this guide;
E3163 Guide for Selection and Application of Analytical
1.10.3 Section 4 describes the significance and use of this
Methods and Procedures Used during Sediment Correc-
guide;
tive Action
1.10.4 Section 5 describes the tiered approach to the Eco-
E3164 Guide for Sediment Corrective Action – Monitoring
RBCA process;
E3240 Guide for Risk-Based Corrective Action for Contami-
1.10.5 Sections 6 and 7 presents Eco-RBCA procedures in a
nated Sediment Sites
step-by-step process; and
E3242 Guide for Determination of Representative Sediment
1.10.6 The reference section provides all documents cited in
Background Concentrations
this guide.
E3248 Guide for NAPL Mobility and Migration in Sediment
– Conceptual Models for Emplacement and Advection
1.11 This guide also includes the following appendices,
2.2 Other Referenced Documents:
which are provided as supplemental information and are not
included as mandatory sections of this guide: California of Environmental Health Hazard Assessment,
Toxicity Criteria Database, https://data.ca.gov/dataset/
1.11.1 Appendix X1 presents information related to risk
toxicity-criteria-database, May 2019
management issues;
Federal Contaminated Sites Action Plan (FCSAP) Ecologi-
1.11.2 Appendix X2 presents issues regarding TPDs;
cal Risk Assessment Guidance, Government of Canada,
1.11.3 Appendix X3 presents information on the activities
March 2012
occurring in each tier of the Eco-RBCA process;
Generic Ecological Assessment Endpoints (GEAEs) For
1.11.4 Appendix X4 describes screening criteria and how
Ecological Risk Assessment: Second Edition With Ge-
they can be applied within the Eco-RBCA framework;
neric Ecosystem Services Endpoints Added. EPA/100/
1.11.5 Appendix X5 presents the selection and use of
F15/005, July 2016
relevant ecological screening benchmarks;
International Standards Organization ISO 21365:2019- Soil
1.11.6 Appendix X6 includes two examples of the applica-
quality -- Conceptual site models for potentially contami-
tion of the Eco-RBCA framework; and
nated sites
1.11.7 Appendix X7 presents information on uncertainty
U.S. EPA ECOTOX database; https://cfpub.epa.gov/ecotox
and its role in Eco-RBCA.
USEPA Comptox Dashboard: https://comptox.epa.gov/
dashboard
1.12 The values stated in either SI units or inch-pound units
Washington Dept. of Ecology Sediment Management
are to be regarded separately as standard. The values stated in
Standard, Chapter 173-240 WAC
each system may not be exact equivalents; therefore, each
system shall be used independently of the other. Combining
3. Terminology
values from the two systems may result in non-conformance
with the standard. 3.1 Definitions:
3.1.1 The user should be familiar with the definitions
1.13 This international standard was developed in accor-
presented here before reading the remainder of this guide, as
dance with internationally recognized principles on standard-
many of the terms might have specific regulatory definitions
ization established in the Decision on Principles for the
within existing federal, regional, state, or local programs that
Development of International Standards, Guides and Recom-
vary from that used in this guide. The following terms are
mendations issued by the World Trade Organization Technical
being defined to reflect their specific use in this guide. The user
Barriers to Trade (TBT) Committee.
should not assume that these definitions replace existing
For referenced ASTM standards, visit the ASTM website, www.astm.org, or
contact ASTM Customer Service at service@astm.org. For Annual Book of ASTM
Standards volume information, refer to the standard’s Document Summary page on
the ASTM website.
E2205/E2205M − 22
regulatory definitions. Where the definition or use of a term in 3.1.11 ecological-risk assessment (ERA)—a process for or-
this guide differs from an existing regulatory definition or use, ganizing and analyzing data, information, assumptions, and
the user should address these differences before proceeding uncertainties to evaluate the likelihood that adverse ecological
with the Eco-RBCA process. The definitions presented here are effects might occur or are occurring as a result of a stressor.
intended to be consistent with those provided in Guide E2081.
3.1.12 exposure assessment—the determination or estima-
3.1.2 acceptable ecological risk—a condition under which
tion (qualitative or quantitative) of the magnitude, frequency,
the likelihood of adverse effects to relevant ecological recep-
duration, and route of exposure between a source and a
tors and habitats is within tolerable limits, as defined by TPDs.
receptor.
3.1.3 assessment endpoint—the explicit expression of the
3.1.13 exposure pathway—the course a chemical of concern
environmental value that is to be protected, operationally
takes from the source area(s) to a relevant ecological receptor
defined by an ecological entity and its attributes (1). The term
and habitat. An exposure pathway describes a mechanism by
in this standard for ecological entity is relevant ecological
which an individual or population is exposed to a chemical of
receptors and habitats (see 3.1.26). Additional information
concern originating from a site. Each exposure pathway
regarding assessment endpoints can be found in Guide E1848.
includes a source or release from a source of a chemical of
3.1.4 bioavailability—the degree to which a material in
concern, a point of exposure, an exposure route, and a relevant
environmental media can be assimilated by an organism (2).
ecological receptor and habitat. If the exposure point is not at
3.1.5 chemical release—any spill or leak to, or detection of
the source, a transport or exposure medium, or either (for
chemicals of concern in, environmental media other than
example, soil or water), is also included.
permitted discharges.
3.1.14 exposure route—the manner in which a chemical of
3.1.6 chemical of concern (COC)—specific constituent and
concern comes in contact with a relevant ecological receptor
its breakdown products that are identified for evaluation in the
and habitat (for example, ingestion or direct contact).
risk assessment process. Identification can be based on a
3.1.15 exposure scenario—the description of the
chemical’s historical and current use at a site; detected con-
circumstances, including site properties and chemical
centration in environmental media; or mobility, toxicity, and
properties, or the potential circumstances under which a
persistence in the environment. Chemical(s) of concern may be
relevant ecological receptor or habitat could be in contact with
identified at many points in the RBCA process. The term COC
chemical(s) of concern.
does not imply the degree of risk.
3.1.16 facility—the property where a chemical release has
3.1.7 corrective action—the sequence of actions that may
occurred. A facility might include multiple sources of chemical
include site assessment and investigation, risk assessment,
releases and therefore, multiple sites.
response actions, interim remedial action, remedial action,
operation and maintenance of equipment, monitoring of
3.1.17 hazard quotient—the numerical ratio that relates
progress, making no further action determinations, and termi-
receptor exposure to toxicity by comparing an exposure dose or
nation of the remedial action.
a media concentration (numerator) to a comparable toxicologi-
cal benchmark or comparable screening value (denominator).
3.1.8 corrective-action goal—a remedial action perfor-
mance criterion that once achieved, is protective of relevant
3.1.18 initial site assessment criteria—tools used in Step 1
ecological receptors and critical habitats and requires no
for determining when an ERA might be appropriate for a site
further action. Examples include chemical concentrations,
or to identify risks that should be considered in the RBCA
environmental quality indices, or physical conditions based on
process. Such screening criteria are discussed in greater detail
Relevant Ecological Screening Criteria (RESC), Site Specific
in Appendix X5.
Ecological Criteria (SSEC), or Other Relevant Measurable
3.1.19 interim remedial action—an intervening action taken
Criteria (ORMC) (see 3.1.22, 3.1.27, and 3.1.37). A corrective
to minimize exposure to relevant ecological receptors and
action goal for a site can vary with each tier of evaluation,
habitats. Interim remedial actions are taken to reduce migration
dependent on the level of uncertainty associated with each tier.
of a chemical of concern or to reduce the concentration of a
Tier 1 evaluations with higher uncertainty may have more
chemical of concern at a source area or areas. Such actions are
conservative corrective action goals than would subsequent
typically taken when site conditions are considered hazardous
tiers with lower uncertainty.
or when there is direct evidence of impact. An interim remedial
3.1.9 data quality objectives (DQO)—a qualitative or quan-
action may or may not become the final remedial action, but
titative statement that clarifies study objectives, defines the
may be undertaken for an intervening time until a final remedy
appropriate type of data, and specifies the tolerable levels of
is initiated.
potential decision errors that will be used as the basis for
3.1.20 measure of effect—a change in an attribute of an
establishing the quality and quantity of data to support deci-
assessment endpoint or its surrogate in response to a stressor to
sions. A formal DQO process is presented in USEPA (3).
which it is exposed (1). Measures of effect are also referred to
3.1.10 decision point—an occasion during the Eco-RBCA
as measurement endpoints.
process when assessment results are integrated with risk
management goals and TPDs for the purpose of risk manage- 3.1.21 natural attenuation—a reduction in risk due to
ment decision making. At such points, the user must decide the change in chemical concentration, toxicity, bioavailability, or
appropriate course of action. mobility as a result of naturally occurring physical, chemical,
E2205/E2205M − 22
and biological processes (for example, diffusion, dispersion, 3.1.28 remedial action—an action taken to minimize or
adsorption, chemical degradation, and biodegradation). eliminate current or potential future exposure to relevant
ecological receptors and habitats. Such activities are conducted
3.1.22 other relevant measurable criteria (ORMC)— pa-
to reduce concentrations of chemicals of concern or eliminate
rameters used to define corrective action goals. The ORMC are
pathways of exposures to meet corrective action goals.
concentration values, other numeric values, physical condition,
3.1.29 response action—an immediate course of action
or performance criteria other than RESC and SSEC. Examples
taken in Step 2 (before an interim remedial action) to mitigate
of ORMC are regulatory standards, consensus criteria, and
an imminent or known threat to relevant ecological receptors
aesthetic criteria. Technical policy decisions regarding ORMC
and habitats. Response actions taken may not differ from
may exist, or may need to be made, to determine the appro-
interim remedial actions or remedial actions taken later in the
priate values, conditions, or performance criteria that are used
RBCA process; the key difference between actions is timing
for the corrective action goals.
and urgency. Response actions may include abatement or
3.1.23 potentially complete exposure pathway— a situation
containment measures.
with a reasonably likely chance of occurrence in which a
3.1.30 response action evaluation—a qualitative site analy-
relevant ecological receptor or habitat might become directly
sis in Step 2 based on known or readily available information
or indirectly exposed to the chemical(s) of concern.
to identify the need for and urgency of response actions and the
3.1.24 probabilistic analysis—quantitative procedures used
need for further information gathering. The evaluation is also
to evaluate the variability or uncertainty, or both, surrounding
used to identify appropriate early risk reduction steps.
a distribution when the result depends on a number of factors,
3.1.31 risk—the likelihood of, potential for, or probability of
each of which has its own variability and uncertainty. Addi-
an adverse effect. Risk might be expressed qualitatively or
tional detail regarding probabilistic analyses is provided in
quantitatively.
Appendix X7.
3.1.32 risk characterization—the integration of the results
3.1.25 problem formulation—the collection and analysis of
of the exposure and ecological effects analysis to evaluate the
information needed to determine the appropriate scope and
likelihood of adverse ecological effects associated with expo-
focus of the investigation. Problem formulation is analogous to
sure to the stressor.
the planning and scoping phase of Eco-RBCA. The outcome of
3.1.33 site—the area defined by the likely physical distribu-
the problem formulation steps are the selection of the assess-
tion of a chemical release. A site could be an entire property or
ment endpoints (see 3.1.3) that will be evaluated in the risk
facility, a defined area or portion of a facility or property, or
characterization (see 3.1.32) and the identification of the
multiple facilities or properties. One facility might contain
specific measures that will best represent the assessment
multiple sites. Multiple sites at one facility might be addressed
endpoints. Problem formulation as described in USEPA (1)
individually or as a group.
includes characterization of fate and transport, identification of
3.1.34 site assessment—a characterization of a site through
exposure pathways and receptors, potential toxicological
an evaluation of its physical and environmental context (for
effects, development of the conceptual model, identification of
example, subsurface geology, soil properties and structures,
the assessment endpoints, and identification of measures of
hydrology, and surface characteristics) to determine if a release
effect.
has occurred. The characterization may identify the concentra-
3.1.26 relevant ecological receptors and habitats— the
tion and distribution of chemical(s) of concern. Information
ecological resources that are valued at the site. Identification of
collected during the site assessment may include data on soil,
relevant ecological receptors and habitats is dependent upon
ground water and surface water quality, land and resource use,
site-specific factors and is a technical policy decision important
and potential receptors. This information is used to develop a
to the planning and scoping phase of ecological evaluation.
site conceptual model and support risk-based decision making.
Examples may include species or communities afforded special
3.1.35 site conceptual model (also known as conceptual site
protection by law or regulation; recreationally, commercially,
model)—a written description or visual representation, or both,
or culturally important resources; regionally or nationally rare
of predicted relationships between relevant ecological recep-
communities; communities with high aesthetic quality; and
tors and habitats and the COCs to which they may be exposed.
habitats, species, or communities that are important in main-
Site conceptual models describe predicted relationships among
taining the integrity and biodiversity of the environment. This
sources of released chemicals, exposure pathways, and relevant
may be functionally equivalent to assessment end points
ecological receptors and habitats, along with the rationale for
(3.1.3).
their selection. The site conceptual model illustrates these
3.1.27 relevant ecological screening criteria (RESC)—
relationships.
non–site-specific ecological measures or guidelines used dur-
3.1.36 site-specific—activities, information, and data unique
ing the Tier 1 evaluation that are applicable to relevant
to a particular site.
ecological receptors and habitats, exposure pathways, and site
conditions. These might include chemical concentrations, bio- 3.1.37 site-specific ecological criteria (SSEC)— risk-based
logical measures or other relevant generic criteria consistent measures or guidelines appropriate for evaluating relevant
with the purpose of the assessment, the problem(s) defined at ecological receptors and habitats identified for a particular site
the site, and TPDs (see Appendix X2 and Appendix X4). under the Tier 2 or Tier 3 evaluations. These qualitative or
E2205/E2205M − 22
quantitative criteria might include chemical concentrations, regulators, UST fund managers, government case managers,
biological measures, or RESC that can be applied on a attorneys, consultants, legislators, and other stakeholders.
site-specific basis consistent with the TPDs (see Appendix X2).
3.2 There are three definitions specific to ASTM that are
SSEC might be revised as data are obtained that better describe
included here for clarity:
the conditions and the relevant ecological receptors and habi-
3.2.1 standard—as used in ASTM, a document that has been
tats.
developed and established within the consensus principles of
3.1.38 stakeholders—individuals, organizations, or other
the Society and that meets the approval requirements of ASTM
entities that affect or are affected by the site conditions or the
procedures and regulations.
corrective action, or both. Stakeholders might include, but are
3.2.2 guide—a series of options or instructions that do not
not limited to, owners, buyers, developers, lenders, insurers,
recommend a specific course of action.
government agencies, and community groups or members. The
number and composition of stakeholders may change through- 3.2.3 practice—a definitive procedure for performing one or
more specific operations or functions that does not produce a
out the Eco-RBCA process.
test result.
3.1.39 technical policy decision (TPD)—a consideration
that helps form the basis for implementing the Eco-RBCA
3.3 Acronyms:
process for a given site. TPDs are developed for a variety of
3.3.1 COC—Chemical of Concern
technical aspects, including context setting in the initial site
3.3.2 COPC—Chemical of Potential Concern
assessment, analytical approaches, data needs and quality, and
3.3.3 DQO—Data Quality Objectives
action triggers. Paragraphs 6.5 and 7.1.1.1 contain information
on TPDs, and Appendix X2 provides supplemental information
3.3.4 ERA—Ecological Risk Assessment
on TPDs.
3.3.5 ORMC—other relevant measurable criteria
3.1.40 Tier 1 evaluation—a screening level assessment of
3.3.6 RBCA—Risk-Based Corrective Action
ecological risk that uses existing information, generic
information, and ecologically protective (that is, conservative)
3.3.7 RBSL—Risk-Based Screening Level
assumptions to ensure that risks are not underestimated. Tier 1
3.3.8 RESC—relevant ecological screening criteria
may be comprised of a qualitative ecological screening evalu-
3.3.9 SSEC—site-specific ecological criteria
ation for complete and partially complete exposure pathways
for relevant ecological receptors and habitats, or relatively
3.3.10 SSTL—site-specific target levels
simple comparisons of site conditions to RESC, or both. The
3.3.11 TPD—Technical Policy Decision
tier concludes with a risk management decision.
3.3.12 USEPA—United States Environmental Protection
3.1.41 Tier 2 evaluation—an assessment of ecological risk
Agency
that builds on the Tier 1 evaluation by using more site-specific
data and assumptions. Tier 2 involves gathering additional
4. Significance and Use
information to develop and refine assessment endpoints and
measures of effect and compares this additional information to
4.1 The Eco-RBCA process presented in this guide is a
SSEC. The additional information should focus on providing
streamlined decision-making process for implementing correc-
more site-specific information on receptors and their habitats,
tive action protective of ecological resources at chemical
exposure pathways, and exposure concentrations or doses. The
release sites in a consistent manner. Eco-RBCA provides a
tier concludes with a risk management decision.
framework for sites not covered under regulatory programs, for
3.1.42 Tier 3 evaluation—a detailed and quantitative assess- sites under regulatory programs that lack guidance, or for sites
ment of ecological risk that relies on more site-specific under programs with guidance that lack detail. Eco-RBCA may
information and sophisticated tools than those used at Tiers 1 also provide a useful framework to help merge an approach
and 2. Tier 3 may involve the use of multiple lines of evidence; when multiple regulatory programs apply.
predictive models; or probabilistic approaches for evaluating
4.2 Ecological risk assessment is a science-based process
exposure, effects and risk or a combination of these. The tier
that can be used to provide insight for risk management
concludes with a risk management decision
decision-making. Numerous federal and state programs have
3.1.43 unacceptable ecological risk—a condition under
guidance for conducting ERA. Available regulatory approaches
which the likelihood of adverse effects to relevant ecological
to ERA were reviewed in preparation for the development of
receptors and habitats is not within tolerable limits as defined
this Eco-RBCA guide. Eco-RBCA was designed to be adapt-
by TPDs.
able to the use of a variety of methods for considering risks to
3.1.44 uncertainty—the lack of knowledge regarding site relevant ecological receptors and habitats. Some attributes of
conditions, the nature of exposure, and effects on relevant the standard are:
ecological receptors and habitats. This lack of knowledge is
4.2.1 Use of a tiered approach, including process flow charts
recognized at each tier of evaluation through an uncertainty
to identify critical steps and facilitate the development of an
analysis.
overview of the entire process;
3.1.45 user—an individual or group employing the Eco- 4.2.2 Identification, development, and use of TPDs from
RBCA process. Users may include owners, operators, Step 1 and throughout the entire Eco-RBCA process;
E2205/E2205M − 22
4.2.3 Indications of the value and timing of stakeholder the initiation of the Eco-RBCA process, the user should
involvement, recognizing that some regulations require coor- identify the stakeholders and TPDs appropriate for the site.
dination with federal, state, tribal, and natural-resource Supplemental information on TPDs is provided in Appendix
trustees, and other stakeholders; X2.
4.2.4 Identification of situations under which an ERA may
5.2 Eco-RBCA is a process for evaluating ecological risk
or may not be necessary; and
and decision making. To facilitate the implementation of
4.2.5 Identification of decision points where ERA results are
Eco-RBCA, the framework is organized into ten steps and
used for risk management decision making.
three risk assessment tiers (Fig. 1 and Appendix X3). Although
4.3 Activities described in this guide should involve persons organized into steps and tiers, the user should recognize that
with the appropriate skills and expertise. The user may rely on Eco-RBCA does not have to be implemented in a linear
individuals expert in remediation science and technology, manner. Instead, the objective should be to conduct the
ecology/biology, ecotoxicology, ERA practices, and site char- evaluation in the manner that most appropriately meets the
acterization techniques. needs and goals of the assessment.
4.4 This guide and supporting appendices provide examples
5.3 Eco-RBCA can be used in a flexible manner. As the user
and technical support for the proper application of the Eco-
proceeds to higher tiers, the understanding gained about the
RBCA process. The user should avoid inappropriate actions or
site is used to tailor the degree of investigation needed. In some
use of Eco-RBCA such as:
cases, completion of a detailed evaluation in a given tier may
4.4.1 Prescribing Tier 1 RESC as presumptive remediation
be unnecessary. For example, the user may determine that
cleanup goals rather than as screening criteria or, when conducting a detailed Tier 1 evaluation is unnecessary because
appropriate, as site-specific remediation cleanup goals;
of the wealth of historical data available at a site. Starting the
4.4.2 Limiting the use of the Eco-RBCA process to Tier 1 evaluation at Tier 2 in this case would be a more efficient
evaluation only and not continuing with Tier 2 or Tier 3
means of achieving corrective action goals.
evaluations for sites where further tiered evaluation is appro-
5.4 Throughout the Eco-RBCA process, appropriate DQOs
priate;
(see 3.1.9) should be determined for the initial site assessment
4.4.3 Placing arbitrary time constraints on the corrective
and all subsequent tiers of evaluation. These objectives inte-
action process that do not reflect the actual urgency and risk
grate site-specific data needs for each task and applicable
posed by the site;
regulatory requirements. To meet these objectives, the user
4.4.4 Using Eco-RBCA only at sites where active remedial
might generate site-specific data for key physical characteris-
action is not technically feasible;
tics or make reasonable estimates from readily available site
4.4.5 Initiating remedial action(s) before determining appli-
data. Sufficient quantity and quality of data should be collected
cable corrective action goals;
to meet the DQOs for each tier of the Eco-RBCA process
4.4.6 Limiting options to a single class of remedial action
conducted. The user is referred to USEPA (3, 4) and Guide
for all sites;
E2020 for a more detailed discussion of DQOs. Data quality
4.4.7 Using unjustified or inappropriate exposure factors;
objectives are TPDs.
4.4.8 Using unjustified or inappropriate toxicity parameters;
5.5 The results of all of the completed tiers of analyses may
4.4.9 Using modeling that is not supported by the available
be compiled into one Eco-RBCA report at the end of the
data or knowledge of site conditions;
evaluation. Reporting requirements and approvals could be
4.4.10 Using measurement or assessment endpoints that are
determined based on federal, state, and local programs if they
ambiguous or insufficiently defined;
apply to the site. Otherwise, guidance on reporting is provided
4.4.11 Drawing conclusions that are not supported by avail-
in 7.11 and in Guides E2081, E2531, E3240.
able data;
4.4.12 Failing to monitor the effectiveness of engineering or
6. Eco-RBCA Process Overview
institutional controls;
4.4.13 Using an interim remedial action not to reduce risk
Eco-RBCA is a process that provides a framework for
but solely to delay the Eco-RBCA process;
evaluating the potential for adverse effects to ecological
4.4.14 Failing to consider the long-term effectiveness,
resources at sites where a chemical release has occurred; this
reliability, and risks to relevant ecological receptors and
evaluation is then linked to the RBCA process (Guide E2081)
habitats of potential remedial action options; or,
to implement appropriate corrective action. The multistep
4.4.15 Continuing monitoring or remedial action at sites
process (Fig. 1 and Appendix X3) begins by using available
that have achieved remedial action goals (unless monitoring is
site information to support the initial site assessment. If at any
specifically required for an engineering or institutional control
point in the evaluation the site information suggests potential
or other regulatory requirements).
unacceptable risk to relevant ecological receptors and habitats,
Eco-RBCA guides the user to acquire and evaluate additional
5. A Tiered Approach to Eco-RBCA
data, and make appropriate decisions such as the collection of
5.1 Eco-RBCA is a process that integrates site assessment, appropriate data and refine goals, objectives, receptors, expo-
ERA, remedial action, and risk management such that sure pathways, and site conceptual model. As the Eco-RBCA
corrective-action decisions protective of relevant ecological process proceeds, data and conclusions reached at each step
receptors and habitats can be made in a consistent manner. At
...
This document is not an ASTM standard and is intended only to provide the user of an ASTM standard an indication of what changes have been made to the previous version. Because
it may not be technically possible to adequately depict all changes accurately, ASTM recommends that users consult prior editions as appropriate. In all cases only the current version
of the standard as published by ASTM is to be considered the official document.
Designation: E2205/E2205M − 02 (Reapproved 2014) E2205/E2205M − 22
Standard Guide for
Risk-Based Corrective Action for Protection of Ecological
Resources
This standard is issued under the fixed designation E2205/E2205M; the number immediately following the designation indicates the year
of original adoption or, in the case of revision, the year of last revision. A number in parentheses indicates the year of last reapproval.
A superscript epsilon (´) indicates an editorial change since the last revision or reapproval.
INTRODUCTION
This guide for risk-based corrective action for the protection of ecological resources (Eco-RBCA)
provides a flexible framework for a tiered approach to ecological risk assessment (ERA) and risk
management decision-making at chemical release sites. The framework of the Eco-RBCA guide
parallels the framework in Guide E2081 with respect to the tiered approach for data gathering,
evaluation and decision-making, and should, when possible, be conducted concurrent with the broader
RBCA process activities. The Eco-RBCA guide directs the user to Guide E2081 for development and
implementation of a corrective action program. This guide supplements Guide E2081 and was
developed after careful consideration of the peer-reviewed published literature and existing federal,
regional, and state ecological risk–assessment guidance. The user of this guide, as defined in 3.1.45,
needs to be familiar with Guide E2081 and the overall RBCA process. The RBCA process provides
a flexible, technically defensible framework for corrective action that has applicability to a wide range
of sites and chemicals of concern.
ASTM guides are not federal or state regulations; rather, they are consensus standards that can be
followed voluntarily. It is not within the scope of this standard to provide the details of specific
regulatory requirements. Collectively, the Eco-RBCA and RBCA guides provide an integrated
framework to corrective action. Eco-RBCA is intended to complement rather than replace the
decision-making structures of regulatory programs. In addition, Eco-RBCA is intended to provide a
framework for sites not covered under regulatory programs, for sites under regulatory programs that
lack guidance, or for sites under programs with guidance that lack detail. Eco-RBCA may also provide
a useful framework to help merge an approach when multiple regulatory programs apply. Even when
a site is not currently governed by a regulatory program, consultation with the appropriate regulatory
agency(ies) will ensure regulatory compliance and provide technical guidance.
The Eco-RBCA process is intended to accommodate a diversity of sites and conditions by providing
a framework that can address site-specific needs. The appendixes provide useful technical details and
case study examples, although the application of this guide does not require their use. Eco-RBCA is
a process for evaluating ecological risk and decision making. To facilitate the implementation of
Eco-RBCA, the framework is organized into ten steps and three risk assessment tiers that begin with
relatively simple analyses and progress to more complex assessments as site conditions warrant (see
Fig. 1). Although organized into steps and tiers, the user should recognize that Eco-RBCA progresses
conceptually in a linear manner, but may not be implemented in a linear manner. The objective should
be to conduct the evaluation in the manner that most appropriately meets the needs and goals of the
assessment. Each tier includes five types of activities that increase in complexity and level of effort
as the evaluation progresses through the RBCA process. These activities are (1) planning and scoping,
(2) data and information acquisition, (3) analysis and evaluation, (4) decision making, and (5)
This guide is under the jurisdiction of ASTM Committee E50 on Environmental Assessment, Risk Management and Corrective Action and is the direct responsibility
of Subcommittee E50.04 on Corrective Action.
Current edition approved Dec. 1, 2014Oct. 1, 2022. Published May 2015February 2023. Originally approved in 2002. Last previous edition approved in 20092014 as
ε1
E2205 – 02(2009)(2014). . DOI: 10.1520/E2205_E2205M-02R14.10.1520/E2205_E2205M-22.
Copyright © ASTM International, 100 Barr Harbor Drive, PO Box C700, West Conshohocken, PA 19428-2959. United States
E2205/E2205M − 22
FIG. 1 Eco-RBCA Process Flowchart—Adapted from the RBCA Flowchart (Guide E2081)
E2205/E2205M − 22
FIG. 2 Tier 1 Evaluation Flowchart
E2205/E2205M − 22
FIG. 3 Tier 2 Evaluation Flowchart
E2205/E2205M − 22
FIG. 4 Tier 3 Evaluation Flowchart
E2205/E2205M − 22
remedial actions. The details of the activities and how they are implemented can vary, depending on
the nature and complexity of the site and the tier level. Early in the Eco-RBCA process, assumptions
are biased toward being overly protective (that is, “conservative”) because of uncertainties inherent in
non–site-specific data. Typically, as the site progresses through the tiered evaluation, more site-specific
information is collected and uncertainty decreases; therefore, less-conservative assumptions can be
used in the evaluation.
NOTE 1—This is a consequence of the screening process since the primary purpose is to quickly refine the lists of
chemicals of concern to understand which ones are the primary risk drivers. Commensurate with this reduced
uncertainty, the user can employ more site-specific and less conservative estimates and assumptions
of exposure and effects due to refinement of the list of chemicals of concern. As understanding of site
conditions improves, confidence often increases. in the conclusions and decision should also increase.
The progression of the evaluation through the tiered process is accompanied by an increasing degree
of formalization that could include the documentation of a screening-level assessment or the use of
formal ecological risk assessment (ERA) methods. As additional site-specific information is
developed, the uncertainty associated with site conditions is reduced. Commensurate with this reduced
uncertainty, the user can employ more site-specific and less conservative estimates and assumptions
of exposure and effects. The manner in which uncertainty, conservatism, data quality, and other
technical aspects are addressed is by technical policy decisions.
Technical policy decisions (TPDs) are an important part of the Eco-RBCA process, and while it is
not within the scope of this standard to identify the TPDs appropriate for a specific site, Appendix X2
and Guide E2081 provide additional insight into their identification, understanding, and development.
Technical policy decisions generally fall into three categories: (1) those that are identified as existing
prior to the Eco-RBCA assessment and will not change (that is, prescribed and without flexibility such
as regulations or policy), (2) those that are identified as existing prior to the Eco-RBCA assessment
but may change or be modified based on site-specific information (for example, sampling protocols,
selection of fate and transport models or other tools, data quality objectives, or corrective-action
goals), and (3) those that are developed specifically for the Eco-RBCA assessment (for example,
development of a site-specific model). Technical policy decisions are typically identified, negotiated
(if appropriate), and documented in the initial site assessment (see 7.1). It is the responsibility of the
user of the Eco-RBCA guide to identify and consider the TPDs and appropriate stakeholders for a site.
These TPDs may need to be reevaluated each time the Eco-RBCA evaluation proceeds through an
iteration or progresses to a new tier. Both the RBCA and Eco-RBCA processes encourage user-led
initiatives and appropriate stakeholder involvement in identifying TPDs and developing the Eco-
RBCA program. Laws and regulations may require coordination with federal, state, and natural
resource trustees.
This guide serves to complement existing guidance for hazardous-waste sites and facilities and to
provide guidance for sites not under regulatory programs. This guide does not substitute for applicable
federal, regional, state, local, or other regulatory requirements. This guide is not a regulation itself and
may not apply to a particular situation, based on the circumstances.
This guide is not intended to replace professional judgment or to recommend a specific course of
action. All aspects of this guide might not be applicable in all circumstances. This guide is not intended
to represent or replace the standard of care by which the adequacy of a given professional service is
judged, nor should this document be applied without consideration of a project’s many unique aspects.
The word “Standard” in the title of this document means only that the document has been approved
through the ASTM consensus process.
E2205/E2205M − 22
1. Scope
1.1 This is a guide to risk-based corrective action for the protection of ecological resources and supplements the RBCA process
(Guide E2081). The primary objective of the Eco-RBCA process is to provide a flexible framework for a tiered approach to ERA
and risk management decision making at chemical release sites. To this end, available guidance documents from various federal
and state agencies were reviewed and their common attributes incorporated into this guide, where possible. The Eco-RBCA process
complements existing technical and regulatory ecological risk guidance (see 4.2). In particular, it is intended to be compatible with
the USEPA programmatic guidelines for ERA (1) , guidance for the Superfund program (2), and other USEPA (3) risk assessment
and corrective-action programs. Eco-RBCA might also be used in conjunction with corrective action strategies that include human
health issues (for example, Guide E2081).
1.2 Chemical release sites vary greatly in terms of complexity, physical and chemical characteristics, and the risk that they might
pose to ecological resources. The Eco-RBCA process, as described in Guide E2081, recognizes this variability and incorporates
a tiered approach that integrates site assessment, response actions, and remedial actions with ERA. The process begins with
relatively simple analyses in Tier 1 and, if necessary, proceeds to more detailed evaluations in Tier 2 or Tier 3. The process of
gathering and evaluating data is conducted in such a manner that only those data that are necessary for a given tier’s decision
making are collected at each tier. Hence, this can facilitate effective use of resources and reduce initial data requirements.
1.3 Eco-RBCA is intended to provide a framework for sites not covered under regulatory programs and for sites under regulatory
programs that lack specific guidance. Eco-RBCA may also provide a useful framework to help merge several possible approaches
into a single approach when multiple regulatory programs apply. The user should be aware of the federal, state, and local corrective
action programs and policies that are applicable for the site and, regardless of the program, that agency approvals might be required
to implement the process for completing ERAs.
1.4 Various TPDs will need to be made regarding the aspects of Eco-RBCA. These TPDs may cover both the philosophical and
methodological aspects, from what values to protect to exactly how the Eco-RBCA process will be performed. TPDs may affect
every stage of the process, from the initial site assessment to development and monitoring of the remedy. It is the responsibility
of the user to identify the appropriate TPDs. Section 7, Appendix X2, and Guide E2081 provide more detail regarding TPDs in
the Eco-RBCA process.
1.5 The general performance standard for this document requires that:
1.5.1 Applicable TPDs be identified, beginning at the initiation of the Eco-RBCA process, and as appropriate, at later stages;
1.5.2 Data used in the Eco-RBCA process be of sufficient quantity and quality to answer the questions and support the decisions
made at the tier of investigation;
1.5.3 Site assessments be distinguished into tiers of appropriate levels of evaluation;
1.5.4 Actions taken should integrate the Eco-RBCA process for the protection of relevant ecological receptors and habitats and
RBCA for the protection of human health (see Guide E2081), as appropriate;
1.5.5 Applicable federal, state, and local laws and regulations be followed; and
1.5.6 Potential adverse effects on relevant ecological receptors and habitats be considered when selecting remedial action
alternatives. The remedial action alternatives should be consistent with the TPDs and the RBCA process (see Guide E2081).
1.6 Ecological resources are the focus of this guide; risks to human health are addressed for petroleum releases and chemical
releases in other ASTM RBCA standards (Guides E1739 and E2081). There are many features common to all three of the RBCA
guides. These three guides share the basic elements of RBCA: (1) site assessment; (2) tiered evaluations of exposure, effects, and
risk; (3) risk-based decision making; and (4) response, remedial action, and monitoring. There are a number of distinctions between
The boldface numbers in parentheses refer to the list of references at the end of this standard.
E2205/E2205M − 22
human health and ecological risk assessments. For example, while human health risk assessments focus on individuals, evaluations
of ecological risk typically focus on populations, communities, or ecosystems. Exceptions are species or critical habitats designated
for special protection (for example, endangered or culturally-important species). Biological data to support an ERA are more
amenable to direct field observation than are human exposure and epidemiological data.
1.7 The Eco-RBCA process addresses current and potential future risks to relevant ecological receptors and habitats at chemical
release sites. It is not intended to apply to current permitted releases and permit applications.
1.8 Eco-RBCA focuses on chemical stressors. However, the user may need to consider biological or physical stressors at the site
or effects from chemical sources unrelated to the site.
1.9 The process described in this guide integrates the principles of current ERA practices with site assessment activities and
remedial-action selection to ensure that the risk management decision protects ecological resources. Fig. 1 illustrates the following
activities in Eco-RBCA and those described in Section 7 (7.1 – 7.10):
1.9.1 Step 1—Initial Site Assessment;
1.9.2 Step 2—Decision Point;
1.9.3 Step 3—Tier 1 Ecological Risk Assessment;
1.9.4 Step 4—Tier 1 Decision Point;
1.9.5 Step 5—Tier 2 Ecological Risk Assessment;
1.9.6 Step 6—Tier 2 Decision Point;
1.9.7 Step 7—Tier 3 Ecological Risk Assessment;
1.9.8 Step 8—Tier 3 Decision Point;
1.9.9 Step 9—Implementing the Remedial Action Program; and
1.9.10 Step 10—Monitoring Programs (7.10).
1.9.11 The above steps can be applied in a flexible manner. It may not be necessary to conduct a full tier of evaluation if existing
site information indicates that a subsequent tier is more applicable to address site-specific concerns. Where experience indicates
that a more sophisticated assessment is warranted at a site, the user may elect to proceed conceptually through any earlier tiers to
conduct a site-specific assessment typical of Tier 2 or Tier 3. Additionally, the decision points in Steps 4, 6, and 8 allow the user
to exit the tiered evaluation process and select the appropriate remedial action once adequate information is available for decision
making.
1.10 This guide is organized as follows:
1.10.1 Section 2 lists referenced ASTM documents;
1.10.2 Section 3 defines terminology used in this guide;
1.10.3 Section 4 describes the significance and use of this guide;
1.10.4 Section 5 describes the tiered approach to the Eco-RBCA process;
1.10.5 Sections 6 and 7 presents Eco-RBCA procedures in a step-by-step process; and
1.10.6 The reference section provides all documents cited in this guide.
E2205/E2205M − 22
1.11 This guide also includes the following appendices, which are provided as supplemental information and are not included as
mandatory sections of this guide:
1.11.1 Appendix X1 presents information related to risk management issues;
1.11.2 Appendix X2 presents issues regarding TPDs;
1.11.3 Appendix X3 presents information on the activities occurring in each tier of the Eco-RBCA process;
1.11.4 Appendix X4 describes screening criteria and how they can be applied within the Eco-RBCA framework;
1.11.5 Appendix X5 presents the selection and use of relevant ecological screening benchmarks;
1.11.6 Appendix X6 includes two examples of the application of the Eco-RBCA framework; and
1.11.7 Appendix X7 presents information on uncertainty and its role in Eco-RBCA.
1.12 The values stated in either SI units or inch-pound units are to be regarded separately as standard. The values stated in each
system may not be exact equivalents; therefore, each system shall be used independently of the other. Combining values from the
two systems may result in non-conformance with the standard.
1.13 This international standard was developed in accordance with internationally recognized principles on standardization
established in the Decision on Principles for the Development of International Standards, Guides and Recommendations issued
by the World Trade Organization Technical Barriers to Trade (TBT) Committee.
2. Referenced Documents
2.1 ASTM Standards:
E1689 Guide for Developing Conceptual Site Models for Contaminated Sites
E1739 Guide for Risk-Based Corrective Action Applied at Petroleum Release Sites
E1848 Guide for Selecting and Using Ecological Endpoints for Contaminated Sites
E2020 Guide for Data and Information Options for Conducting an Ecological Risk Assessment at Contaminated Sites
E2081 Guide for Risk-Based Corrective Action
E2531 Guide for Development of Conceptual Site Models and Remediation Strategies for Light Nonaqueous-Phase Liquids
Released to the Subsurface
E3163 Guide for Selection and Application of Analytical Methods and Procedures Used during Sediment Corrective Action
E3164 Guide for Sediment Corrective Action – Monitoring
E3240 Guide for Risk-Based Corrective Action for Contaminated Sediment Sites
E3242 Guide for Determination of Representative Sediment Background Concentrations
E3248 Guide for NAPL Mobility and Migration in Sediment – Conceptual Models for Emplacement and Advection
2.2 Other Referenced Documents:
California of Environmental Health Hazard Assessment, Toxicity Criteria Database, https://data.ca.gov/dataset/toxicity-criteria-
database, May 2019
Federal Contaminated Sites Action Plan (FCSAP) Ecological Risk Assessment Guidance, Government of Canada, March 2012
Generic Ecological Assessment Endpoints (GEAEs) For Ecological Risk Assessment: Second Edition With Generic Ecosystem
Services Endpoints Added. EPA/100/F15/005, July 2016
International Standards Organization ISO 21365:2019- Soil quality -- Conceptual site models for potentially contaminated sites
U.S. EPA ECOTOX database; https://cfpub.epa.gov/ecotox
USEPA Comptox Dashboard: https://comptox.epa.gov/dashboard
Washington Dept. of Ecology Sediment Management Standard, Chapter 173-240 WAC
3. Terminology
3.1 Definitions:
For referenced ASTM standards, visit the ASTM website, www.astm.org, or contact ASTM Customer Service at service@astm.org. For Annual Book of ASTM Standards
volume information, refer to the standard’s Document Summary page on the ASTM website.
E2205/E2205M − 22
3.1.1 The user should be familiar with the definitions presented here before reading the remainder of this guide, as many of the
terms might have specific regulatory definitions within existing federal, regional, state, or local programs that vary from that used
in this guide. The following terms are being defined to reflect their specific use in this guide. The user should not assume that these
definitions replace existing regulatory definitions. Where the definition or use of a term in this guide differs from an existing
regulatory definition or use, the user should address these differences before proceeding with the Eco-RBCA process. The
definitions presented here are intended to be consistent with those provided in Guide E2081.
3.1.2 acceptable ecological risk—a condition under which the likelihood of adverse effects to relevant ecological receptors and
habitats is within tolerable limits, as defined by TPDs.
3.1.3 assessment endpoint—the explicit expression of the environmental value that is to be protected, operationally defined by an
ecological entity and its attributes (1). The term in this standard for ecological entity is relevant ecological receptors and habitats
(see 3.1.26). Additional information regarding assessment endpoints can be found in Guide E1848.
3.1.4 bioavailability—the degree to which a material in environmental media can be assimilated by an organism (2).
3.1.5 chemical release—any spill or leak to, or detection of chemicals of concern in, environmental media other than permitted
discharges.
3.1.6 chemical of concern (COC)—specific constituent and its breakdown products that are identified for evaluation in the risk
assessment process. Identification can be based on a chemical’s historical and current use at a site; detected concentration in
environmental media; or mobility, toxicity, and persistence in the environment. Chemical(s) of concern may be identified at many
points in the RBCA process. The term COC does not imply the degree of risk.
3.1.7 corrective action—the sequence of actions that may include site assessment and investigation, risk assessment, response
actions, interim remedial action, remedial action, operation and maintenance of equipment, monitoring of progress, making no
further action determinations, and termination of the remedial action.
3.1.8 corrective-action goal—a remedial action performance criterion that once achieved, is protective of relevant ecological
receptors and critical habitats and requires no further action. Examples include chemical concentrations, environmental quality
indices, or physical conditions based on Relevant Ecological Screening Criteria (RESC), Site Specific Ecological Criteria (SSEC),
or Other Relevant Measurable Criteria (ORMC) (see 3.1.22, 3.1.27, and 3.1.37). A corrective action goal for a site can vary with
each tier of evaluation, dependent on the level of uncertainty associated with each tier. Tier 1 evaluations with higher uncertainty
may have more conservative corrective action goals than would subsequent tiers with lower uncertainty.
3.1.9 data quality objectives (DQO)—a qualitative or quantitative statement that clarifies study objectives, defines the appropriate
type of data, and specifies the tolerable levels of potential decision errors that will be used as the basis for establishing the quality
and quantity of data to support decisions. A formal DQO process is presented in USEPA (3).
3.1.10 decision point—an occasion during the Eco-RBCA process when assessment results are integrated with risk management
goals and TPDs for the purpose of risk management decision making. At such points, the user must decide the appropriate course
of action.
3.1.11 ecological-risk assessment (ERA)—a process for organizing and analyzing data, information, assumptions, and uncertain-
ties to evaluate the likelihood that adverse ecological effects might occur or are occurring as a result of a stressor.
3.1.12 exposure assessment—the determination or estimation (qualitative or quantitative) of the magnitude, frequency, duration,
and route of exposure between a source and a receptor.
3.1.13 exposure pathway—the course a chemical of concern takes from the source area(s) to a relevant ecological receptor and
habitat. An exposure pathway describes a mechanism by which an individual or population is exposed to a chemical of concern
originating from a site. Each exposure pathway includes a source or release from a source of a chemical of concern, a point of
exposure, an exposure route, and a relevant ecological receptor and habitat. If the exposure point is not at the source, a transport
or exposure medium, or either (for example, soil or water), is also included.
E2205/E2205M − 22
3.1.14 exposure route—the manner in which a chemical of concern comes in contact with a relevant ecological receptor and habitat
(for example, ingestion or direct contact).
3.1.15 exposure scenario—the description of the circumstances, including site properties and chemical properties, or the potential
circumstances under which a relevant ecological receptor or habitat could be in contact with chemical(s) of concern.
3.1.16 facility—the property where a chemical release has occurred. A facility might include multiple sources of chemical releases
and therefore, multiple sites.
3.1.17 hazard quotient—the numerical ratio that relates receptor exposure to toxicity by comparing an exposure dose or a media
concentration (numerator) to a comparable toxicological benchmark or comparable screening value (denominator).
3.1.18 initial site assessment criteria—tools used in Step 1 for determining when an ERA might be appropriate for a site or to
identify risks that should be considered in the RBCA process. Such screening criteria are discussed in greater detail in Appendix
X5.
3.1.19 interim remedial action—an intervening action taken to minimize exposure to relevant ecological receptors and habitats.
Interim remedial actions are taken to reduce migration of a chemical of concern or to reduce the concentration of a chemical of
concern at a source area or areas. Such actions are typically taken when site conditions are considered hazardous or when there
is direct evidence of impact. An interim remedial action may or may not become the final remedial action, but may be undertaken
for an intervening time until a final remedy is initiated.
3.1.20 measure of effect—a change in an attribute of an assessment endpoint or its surrogate in response to a stressor to which it
is exposed (1). Measures of effect are also referred to as measurement endpoints.
3.1.21 natural attenuation—a reduction in risk due to change in chemical concentration, toxicity, bioavailability, or mobility as
a result of naturally occurring physical, chemical, and biological processes (for example, diffusion, dispersion, adsorption,
chemical degradation, and biodegradation).
3.1.22 other relevant measurable criteria (ORMC)— parameters used to define corrective action goals. The ORMC are
concentration values, other numeric values, physical condition, or performance criteria other than RESC and SSEC. Examples of
ORMC are regulatory standards, consensus criteria, and aesthetic criteria. Technical policy decisions regarding ORMC may exist,
or may need to be made, to determine the appropriate values, conditions, or performance criteria that are used for the corrective
action goals.
3.1.23 potentially complete exposure pathway— a situation with a reasonably likely chance of occurrence in which a relevant
ecological receptor or habitat might become directly or indirectly exposed to the chemical(s) of concern.
3.1.24 probabilistic analysis—quantitative procedures used to evaluate the variability or uncertainty, or both, surrounding a
distribution when the result depends on a number of factors, each of which has its own variability and uncertainty. Additional detail
regarding probabilistic analyses is provided in Appendix X7.
3.1.25 problem formulation—the collection and analysis of information needed to determine the appropriate scope and focus of
the investigation. Problem formulation is analogous to the planning and scoping phase of Eco-RBCA. The outcome of the problem
formulation steps are the selection of the assessment endpoints (see 3.1.3) that will be evaluated in the risk characterization (see
3.1.32) and the identification of the specific measures that will best represent the assessment endpoints. Problem formulation as
described in USEPA (1) includes characterization of fate and transport, identification of exposure pathways and receptors, potential
toxicological effects, development of the conceptual model, identification of the assessment endpoints, and identification of
measures of effect.
3.1.26 relevant ecological receptors and habitats— the ecological resources that are valued at the site. Identification of relevant
ecological receptors and habitats is dependent upon site-specific factors and is a technical policy decision important to the planning
and scoping phase of ecological evaluation. Examples may include species or communities afforded special protection by law or
regulation; recreationally, commercially, or culturally important resources; regionally or nationally rare communities; communities
E2205/E2205M − 22
with high aesthetic quality; and habitats, species, or communities that are important in maintaining the integrity and biodiversity
of the environment. This may be functionally equivalent to assessment end points (3.1.3).
3.1.27 relevant ecological screening criteria (RESC)—non–site-specific ecological measures or guidelines used during the Tier 1
evaluation that are applicable to relevant ecological receptors and habitats, exposure pathways, and site conditions. These might
include chemical concentrations, biological measures or other relevant generic criteria consistent with the purpose of the
assessment, the problem(s) defined at the site, and TPDs (see Appendix X2 and Appendix X4).
3.1.28 remedial action—an action taken to minimize or eliminate current or potential future exposure to relevant ecological
receptors and habitats. Such activities are conducted to reduce concentrations of chemicals of concern or eliminate pathways of
exposures to meet corrective action goals.
3.1.29 response action—an immediate course of action taken in Step 2 (before an interim remedial action) to mitigate an imminent
or known threat to relevant ecological receptors and habitats. Response actions taken may not differ from interim remedial actions
or remedial actions taken later in the RBCA process; the key difference between actions is timing and urgency. Response actions
may include abatement or containment measures.
3.1.30 response action evaluation—a qualitative site analysis in Step 2 based on known or readily available information to identify
the need for and urgency of response actions and the need for further information gathering. The evaluation is also used to identify
appropriate early risk reduction steps.
3.1.31 risk—the likelihood of, potential for, or probability of an adverse effect. Risk might be expressed qualitatively or
quantitatively.
3.1.32 risk characterization—the integration of the results of the exposure and ecological effects analysis to evaluate the likelihood
of adverse ecological effects associated with exposure to the stressor.
3.1.33 site—the area defined by the likely physical distribution of a chemical release. A site could be an entire property or facility,
a defined area or portion of a facility or property, or multiple facilities or properties. One facility might contain multiple sites.
Multiple sites at one facility might be addressed individually or as a group.
3.1.34 site assessment—a characterization of a site through an evaluation of its physical and environmental context (for example,
subsurface geology, soil properties and structures, hydrology, and surface characteristics) to determine if a release has occurred.
The characterization may identify the concentration and distribution of chemical(s) of concern. Information collected during the
site assessment may include data on soil, ground water and surface water quality, land and resource use, and potential receptors.
This information is used to develop a site conceptual model and support risk-based decision making.
3.1.35 site conceptual model (also known as conceptual site model)—a written description or visual representation, or both, of
predicted relationships between relevant ecological receptors and habitats and the COCs to which they may be exposed. Site
conceptual models describe predicted relationships among sources of released chemicals, exposure pathways, and relevant
ecological receptors and habitats, along with the rationale for their selection. The site conceptual model illustrates these
relationships.
3.1.36 site-specific—activities, information, and data unique to a particular site.
3.1.37 site-specific ecological criteria (SSEC)— risk-based measures or guidelines appropriate for evaluating relevant ecological
receptors and habitats identified for a particular site under the Tier 2 or Tier 3 evaluations. These qualitative or quantitative criteria
might include chemical concentrations, biological measures, or RESC that can be applied on a site-specific basis consistent with
the TPDs (see Appendix X2). SSEC might be revised as data are obtained that better describe the conditions and the relevant
ecological receptors and habitats.
3.1.38 stakeholders—individuals, organizations, or other entities that affect or are affected by the site conditions or the corrective
action, or both. Stakeholders might include, but are not limited to, owners, buyers, developers, lenders, insurers, government
agencies, and community groups or members. The number and composition of stakeholders may change throughout the
Eco-RBCA process.
E2205/E2205M − 22
3.1.39 technical policy decision (TPD)—a consideration that helps form the basis for implementing the Eco-RBCA process for a
given site. TPDs are developed for a variety of technical aspects, including context setting in the initial site assessment, analytical
approaches, data needs and quality, and action triggers. Paragraphs 6.5 and 7.1.1.1 contain information on TPDs, and Appendix
X2 provides supplemental information on TPDs.
3.1.40 Tier 1 evaluation—a screening level assessment of ecological risk that uses existing information, generic information, and
ecologically protective (that is, conservative) assumptions to ensure that risks are not underestimated. Tier 1 may be comprised
of a qualitative ecological screening evaluation for complete and partially complete exposure pathways for relevant ecological
receptors and habitats, or relatively simple comparisons of site conditions to RESC, or both. The tier concludes with a risk
management decision.
3.1.41 Tier 2 evaluation—an assessment of ecological risk that builds on the Tier 1 evaluation by using more site-specific data and
assumptions. Tier 2 involves gathering additional information to develop and refine assessment endpoints and measures of effect
and compares this additional information to SSEC. The additional information should focus on providing more site-specific
information on receptors and their habitats, exposure pathways, and exposure concentrations or doses. The tier concludes with a
risk management decision.
3.1.42 Tier 3 evaluation—a detailed and quantitative assessment of ecological risk that relies on more site-specific information and
sophisticated tools than those used at Tiers 1 and 2. Tier 3 may involve the use of multiple lines of evidence; predictive models;
or probabilistic approaches for evaluating exposure, effects and risk or a combination of these. The tier concludes with a risk
management decision
3.1.43 unacceptable ecological risk—a condition under which the likelihood of adverse effects to relevant ecological receptors and
habitats is not within tolerable limits as defined by TPDs.
3.1.44 uncertainty—the lack of knowledge regarding site conditions, the nature of exposure, and effects on relevant ecological
receptors and habitats. This lack of knowledge is recognized at each tier of evaluation through an uncertainty analysis.
3.1.45 user—an individual or group employing the Eco-RBCA process. Users may include owners, operators, regulators, UST
fund managers, government case managers, attorneys, consultants, legislators, and other stakeholders.
3.2 There are three definitions specific to ASTM that are included here for clarity:
3.2.1 standard—as used in ASTM, a document that has been developed and established within the consensus principles of the
Society and that meets the approval requirements of ASTM procedures and regulations.
3.2.2 guide—a series of options or instructions that do not recommend a specific course of action.
3.2.3 practice—a definitive procedure for performing one or more specific operations or functions that does not produce a test
result.
3.3 Acronyms:
3.3.1 COC—Chemical of Concern
3.3.2 COPC—Chemical of Potential Concern
3.3.3 DQO—Data Quality Objectives
3.3.4 ERA—Ecological Risk Assessment
3.3.5 ORMC—other relevant measurable criteria
3.3.6 RBCA—Risk-Based Corrective Action
E2205/E2205M − 22
3.3.7 RBSL—Risk-Based Screening Level
3.3.8 RESC—relevant ecological screening criteria
3.3.9 SSEC—site-specific ecological criteria
3.3.10 SSTL—site-specific target levels
3.3.11 TPD—Technical Policy Decision
3.3.12 USEPA—United States Environmental Protection Agency
4. Significance and Use
4.1 The Eco-RBCA process presented in this guide is a streamlined decision-making process for implementing corrective action
protective of ecological resources at chemical release sites in a consistent manner. Eco-RBCA provides a framework for sites not
covered under regulatory programs, for sites under regulatory programs that lack guidance, or for sites under programs with
guidance that lack detail. Eco-RBCA may also provide a useful framework to help merge an approach when multiple regulatory
programs apply.
4.2 Ecological risk assessment is a science-based process that can be used to provide insight for risk management
decision-making. Numerous federal and state programs have guidance for conducting ERA. Available regulatory approaches to
ERA were reviewed in preparation for the development of this Eco-RBCA guide. Eco-RBCA was designed to be adaptable to the
use of a variety of methods for considering risks to relevant ecological receptors and habitats. Some attributes of the standard are:
4.2.1 Use of a tiered approach, including process flow charts to identify critical steps and facilitate the development of an overview
of the entire process;
4.2.2 Identification, development, and use of TPDs from Step 1 and throughout the entire Eco-RBCA process;
4.2.3 Indications of the value and timing of stakeholder involvement, recognizing that some regulations require coordination with
federal, state, tribal, and natural-resource trustees, and other stakeholders;
4.2.4 Identification of situations under which an ERA may or may not be necessary; and
4.2.5 Identification of decision points where ERA results are used for risk management decision making.
4.3 Activities described in this guide should involve persons with the appropriate skills and expertise. The user may rely on
individuals expert in remediation science and technology, ecology/biology, ecotoxicology, ERA practices, and site characterization
techniques.
4.4 This guide and supporting appendices provide examples and technical support for the proper application of the Eco-RBCA
process. The user should avoid inappropriate actions or use of Eco-RBCA such as:
4.4.1 Prescribing Tier 1 RESC as presumptive remediation cleanup goals rather than as screening criteria or, when appropriate,
as site-specific remediation cleanup goals;
4.4.2 Limiting the use of the Eco-RBCA process to Tier 1 evaluation only and not continuing with Tier 2 or Tier 3 evaluations
for sites where further tiered evaluation is appropriate;
4.4.3 Placing arbitrary time constraints on the corrective action process that do not reflect the actual urgency and risk posed by
the site;
4.4.4 Using Eco-RBCA only at sites where active remedial action is not technically feasible;
E2205/E2205M − 22
4.4.5 Initiating remedial action(s) before determining applicable corrective action goals;
4.4.6 Limiting options to a single class of remedial action for all sites;
4.4.7 Using unjustified or inappropriate exposure factors;
4.4.8 Using unjustified or inappropriate toxicity parameters;
4.4.9 Using modeling that is not supported by the available data or knowledge of site conditions;
4.4.10 Using measurement or assessment endpoints that are ambiguous or insufficiently defined;
4.4.11 Drawing conclusions that are not supported by available data;
4.4.12 Failing to monitor the effectiveness of engineering or institutional controls;
4.4.13 Using an interim remedial action not to reduce risk but solely to delay the Eco-RBCA process;
4.4.14 Failing to consider the long-term effectiveness, reliability, and risks to relevant ecological receptors and habitats of potential
remedial action options; or,
4.4.15 Continuing monitoring or remedial action at sites that have achieved remedial action goals (unless monitoring is
specifically required for an engineering or institutional control or other regulatory requirements).
5. A Tiered Approach to Eco-RBCA
5.1 Eco-RBCA is a process that integrates site assessment, ERA, remedial action, and risk management such that corrective-action
decisions protective of relevant ecological receptors and habitats can be made in a consistent manner. At the initiation of the
Eco-RBCA process, the user should identify the stakeholders and TPDs appropriate for the site. Supplemental information on TPDs
is provided in Appendix X2.
5.2 Eco-RBCA is a process for evaluating ecological risk and decision making. To facilitate the implementation of Eco-RBCA,
the framework is organized into ten steps and three risk assessment tiers (Fig. 1 and Appendix X3). Although organized into steps
and tiers, the user should recognize that Eco-RBCA does not have to be implemented in a linear manner. Instead, the objective
should be to conduct the evaluation in the manner that most appropriately meets the needs and goals of the assessment.
5.3 Eco-RBCA can be used in a flexible manner. As the user proceeds to higher tiers, the understanding gained about the site is
used to tailor the degree of investigation needed. In some cases, completion of a detailed evaluation in a given tier may be
unnecessary. For example, the user may determine that conducting a detailed Tier 1 evaluation is unnecessary because of the wealth
of historical data available at a site. Starting the evaluation at Tier 2 in this case would be a more efficient means of achieving
corrective action goals.
5.4 Throughout the Eco-RBCA process, appropriate DQOs (see 3.1.9) should be determined for the initial site assessment and all
subsequent tiers of evaluation. These objectives integrate site-specific data needs for each task and applicable regulatory
requirements. To meet these objectives, the user might generate site-specific data for key physical characteristics or make
reasonable estimates from readily available site data. Sufficient quantity and quality of data should be collected to meet the DQOs
for each tier of the Eco-RBCA process conducted. The user is referred to USEPA (3, 4) and Guide E2020 for a more detailed
discussion of DQOs. Data quality objectives are TPDs.
5.5 The results of all of the completed tiers of analyses may be compiled into one Eco-RBCA report at the end of the evaluation.
Reporting requirements and approvals could be determined based on federal, state, and local programs if they apply to the site.
Otherwise, guidance on reporting is provided in 7.11 and in GuideGuides E2081, E2531, E3240.
6. Eco-RBCA Process Overview
Eco-RBCA is a process that provides a framework for evaluating the potential for adverse effects to ecological resources at sites
where a chemical release has occurred; this evaluation is then linked to the RBCA process
...








Questions, Comments and Discussion
Ask us and Technical Secretary will try to provide an answer. You can facilitate discussion about the standard in here.
Loading comments...