ISO 4157-2:1998
(Main)Construction drawings - Designation systems - Part 2: Room names and numbers
Construction drawings - Designation systems - Part 2: Room names and numbers
Dessins de bâtiment — Systèmes de désignation — Partie 2: Noms et numéros de pièces
La présente partie de l'ISO 4157 spécifie les exigences concernant les systèmes de désignation par des noms et des numéros de pièces des pièces, zones, espaces et vides dans des bâtiments. Elle est destinée à l'identification des pièces dans l'usage quotidien des bâtiments. Pour l'identification des pièces dans un projet, tout au long de ses phases de conception, de programmation, d'étude, de construction, de maintenance, de rénovation et de démolition, voir l'ISO 4157-3.
General Information
- Status
- Published
- Publication Date
- 09-Dec-1998
- Technical Committee
- ISO/TC 10/SC 8 - Construction documentation
- Drafting Committee
- ISO/TC 10/SC 8 - Construction documentation
- Current Stage
- 9093 - International Standard confirmed
- Start Date
- 26-Jan-2023
- Completion Date
- 13-Dec-2025
Relations
- Effective Date
- 06-Jun-2022
- Effective Date
- 12-May-2008
- Effective Date
- 15-Apr-2008
Overview
ISO 4157-2:1998 - Construction drawings - Designation systems - Part 2: Room names and numbers - specifies rules for assigning and showing room names and room numbers on building drawings and for everyday identification of rooms, zones, spaces and voids. It is part of the ISO 4157 series that standardizes designation of buildings, rooms and piece identifiers. The standard is intended for routine building use; project-wide identification through design, construction and maintenance is covered by ISO 4157-3.
Key topics and requirements
- Logical numbering order: Assign numbers to all rooms on each level in a logical, preferably consecutive order, starting with n01 (where n = level number). Numbers may apply to exterior or covered zones (e.g., pool, garage).
- Separate buildings: Number rooms independently in each building included in a project.
- Presentation on drawings:
- Write room names and numbers inside each room on the drawing.
- Underline names and numbers on drawings for clarity; do not underline physical door signage.
- Small rooms may show only numbers on drawings; names should appear in a table on the same sheet unless a symbol clearly indicates use (toilet, sink, cloakroom).
- Number format rules:
- Prefer two-digit room numbers preceded by the level number (examples: 101–199, 201–299, 301–399).
- Avoid using a zero room number at any level; numbers like 20, 300 or 4000 are reserved to represent the exterior (the “PIÈCE 0” concept).
- Four-digit numbers must contain no spaces or punctuation.
- Alphanumeric prefixes (R01, C02, M03, S04) are allowed for mezzanines, basements, cellars, etc.
- Numbering direction and conventions:
- Number rooms to aid orientation (commonly clockwise from main entrance) or follow a logical local convention (e.g., hotel zigzag numbering).
- Omitting ranges for clarity or future reserve is permitted.
- Vertical shafts (stairwells, lifts) should keep consistent numbers across levels where possible.
- Modifications:
- New rooms added late can take the next unused number for the floor.
- When rooms are merged, the resulting room keeps the lowest original number.
- Small spaces (closets) may use the host room number with a lowercase suffix.
Applications and users
This standard is directly useful to:
- Architects and architectural drafters producing construction drawings
- BIM modelers and CAD managers implementing room numbering conventions
- Facility managers and building owners for consistent room identification
- Contractors, signage specialists and maintenance teams for site labeling and documentation
- Fire safety planners and emergency services for clear spatial referencing
Keywords: ISO 4157-2, room numbering, room names and numbers, construction drawings, designation systems, architectural drawings, facility management.
Related standards
- ISO 4157-1:1998 - Buildings and parts of buildings (reference for level numbering)
- ISO 4157-3 - Identifiers of rooms (for project identification across design, construction and maintenance)
Frequently Asked Questions
ISO 4157-2:1998 is a standard published by the International Organization for Standardization (ISO). Its full title is "Construction drawings - Designation systems - Part 2: Room names and numbers". This standard covers: La présente partie de l'ISO 4157 spécifie les exigences concernant les systèmes de désignation par des noms et des numéros de pièces des pièces, zones, espaces et vides dans des bâtiments. Elle est destinée à l'identification des pièces dans l'usage quotidien des bâtiments. Pour l'identification des pièces dans un projet, tout au long de ses phases de conception, de programmation, d'étude, de construction, de maintenance, de rénovation et de démolition, voir l'ISO 4157-3.
La présente partie de l'ISO 4157 spécifie les exigences concernant les systèmes de désignation par des noms et des numéros de pièces des pièces, zones, espaces et vides dans des bâtiments. Elle est destinée à l'identification des pièces dans l'usage quotidien des bâtiments. Pour l'identification des pièces dans un projet, tout au long de ses phases de conception, de programmation, d'étude, de construction, de maintenance, de rénovation et de démolition, voir l'ISO 4157-3.
ISO 4157-2:1998 is classified under the following ICS (International Classification for Standards) categories: 01.100.30 - Construction drawings. The ICS classification helps identify the subject area and facilitates finding related standards.
ISO 4157-2:1998 has the following relationships with other standards: It is inter standard links to ISO/IEC 10030:1990/Amd 2:1992, SIST ISO 4157-2:1995, ISO 4157-2:1982. Understanding these relationships helps ensure you are using the most current and applicable version of the standard.
You can purchase ISO 4157-2:1998 directly from iTeh Standards. The document is available in PDF format and is delivered instantly after payment. Add the standard to your cart and complete the secure checkout process. iTeh Standards is an authorized distributor of ISO standards.
Standards Content (Sample)
INTERNATIONAL ISO
STANDARD 4157-2
Second edition
1998-12-01
Construction drawings — Designation
systems —
Part 2:
Room names and numbers
Dessins de bâtiment — Systèmes de désignation —
Partie 2: Noms et numéros de pièces
A
Reference number
Foreword
ISO (the International Organization for Standardization) is a worldwide federation of national standards bodies (ISO
member bodies). The work of preparing International Standards is normally carried out through ISO technical
committees. Each member body interested in a subject for which a technical committee has been established has
the right to be represented on that committee. International organizations, governmental and non-governmental, in
liaison with ISO, also take part in the work. ISO collaborates closely with the International Electrotechnical
Commission (IEC) on all matters of electrotechnical standardization.
Draft International Standards adopted by the technical committees are circulated to the member bodies for voting.
Publication as an International Standard requires approval by at least 75 % of the member bodies casting a vote.
International Standard ISO 4157-2 was prepared by Technical Committee ISO/TC 10, Technical drawings, product
definition and related documentation, Subcommittee SC 8, Construction documentation.
This second edition cancels and replaces the first edition (ISO 4157-2:1982), which has been technically revised.
ISO 4157 consists of the following parts, under the general title Construction drawings — Designation systems:
Part 1: Buildings and parts of buildings
Part 2: Room names and numbers
Part 3: Room identifiers
© ISO 1998
All rights reserved. Unless otherwise specified, no part of this publication may be reproduced or utilized in any form or by any means, electronic
or mechanical, including photocopying and microfilm, without permission in writing from the publisher.
International Organization for Standardization
Case postale 56 • CH-1211 Genève 20 • Switzerland
Internet iso@iso.ch
Printed in Switzerland
ii
INTERNATIONAL STANDARD © ISO ISO 4157-2:1998(E)
Construction drawings — Designation systems —
Part 2:
Room names and numbers
1 Scope
This part of ISO 4157 specifies requirements for designation systems for rooms, areas, spaces, and voids in
buildings by room names and numbers. It is intended for identification of rooms in the daily use of the buildings.
For identification of rooms in a project throughout its life-cycle, i.e. conception, programming, planning, erection,
maintenance, remodelling and demolition phases, see ISO 4157-3.
2 Normative reference
The following standard contains provisions, which through reference in this text, constitute provisions of this part of
ISO 4157. At the time of publication, the edition indicated was valid. All standards are subject to revision, and
parties to agreements based on this part of ISO 4157 are encouraged to investigate the possibility of applying the
most recent edition of the standard indicated below. Members of IEC and ISO maintain registers of currently valid
International Standards.
ISO 4157-1:1998, Construction drawings — Designation systems — Part 1: Buildings and parts of buildings.
3 Definitions
For the purposes of this part of ISO 4157, the definitions given in ISO 4157-1 apply.
4 Room number principle
4.1 Logical order
Room numbers shall be assigned to all rooms on each floor in a logical order, preferably consecutive, starting with
number n01 (where n indicates floor number) within the limits of all the parts of the building. Such limits need not be
physical walls, so that outdoor or covered areas which are appropriate to include in the numbering system may be
assigned room numbers, e.g. an enclosed garden, a pool area, a carport, a covered loggia and in-between spaces.
4.2 Separate buildings
If several buildings are included in one building project, room numbers shall be allocated independently to each
building in accordance with 4.1. Separate buildings may be adjacent to each other, and may be interconnected by
doors or openings.
© ISO
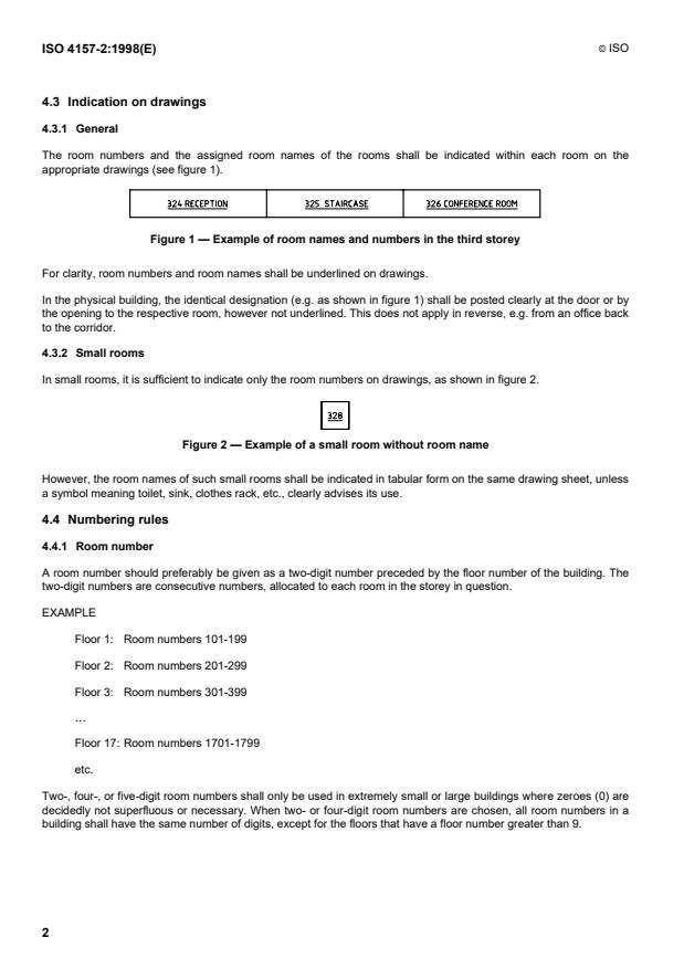
4.3 Indication on drawings
4.3.1 General
The room numbers and the assigned room names of the rooms shall be indicated within each room on the
appropriate drawings (see figure 1).
Figure 1 — Example of room names and numbers in the third storey
For clarity, room numbers and room names shall be underlined on drawings.
In the physical building, the identical designation (e.g. as shown in figure 1) shall be posted clearly at the door or by
the opening to the respective room, however not underlined. This does not apply in reverse, e.g. from an office back
to the corridor.
4.3.2 Small rooms
In small rooms, it is sufficient to indicate only the room numbers on drawings,
...
NORME ISO
INTERNATIONALE 4157-2
Deuxième édition
1998-12-01
Dessins de bâtiment — Systèmes de
désignation —
Partie 2:
Noms et numéros de pièces
Construction drawings — Designation systems —
Part 2: Room names and numbers
A
Numéro de référence
Avant-propos
L'ISO (Organisation internationale de normalisation) est une fédération mondiale d'organismes nationaux de
normalisation (comités membres de l'ISO). L'élaboration des Normes internationales est en général confiée aux
comités techniques de l'ISO. Chaque comité membre intéressé par une étude a le droit de faire partie du comité
technique créé à cet effet. Les organisations internationales, gouvernementales et non gouvernementales, en
liaison avec l'ISO, participent également aux travaux. L'ISO collabore étroitement avec la Commission
électrotechnique internationale (CEI) en ce qui concerne la normalisation électrotechnique.
Les projets de Normes internationales adoptés par les comités techniques sont soumis aux comités membres pour
vote. Leur publication comme Normes internationales requiert l'approbation de 75 % au moins des comités
membres votants.
La Norme internationale ISO 4157-2 a été élaborée par le comité technique ISO/TC 10, Dessins techniques,
définition de produits et documentation y relative, sous-comité SC 8, Documentation de construction.
Cette deuxième édition annule et remplace la première édition (ISO 4157-2:1982), dont elle constitue une révision
technique.
L'ISO 4157 comprend les parties suivantes, présentées sous le titre général Dessins de bâtiment — Systèmes de
désignation:
Partie 1: Bâtiments et parties de bâtiments
Partie 2: Noms et numéros de pièces
Partie 3: Identificateurs de pièces
© ISO 1998
Droits de reproduction réservés. Sauf prescription différente, aucune partie de cette publication ne peut être reproduite ni utilisée sous quelque
forme que ce soit et par aucun procédé, électronique ou mécanique, y compris la photocopie et les microfilms, sans l'accord écrit de l'éditeur.
Organisation internationale de normalisation
Case postale 56 • CH-1211 Genève 20 • Suisse
Internet iso@iso.ch
Imprimé en Suisse
ii
NORME INTERNATIONALE © ISO ISO 4157-2:1998(F)
Dessins de bâtiment — Systèmes de désignation —
Partie 2:
Noms et numéros de pièces
1 Domaine d’application
La présente partie de l'ISO 4157 spécifie les exigences concernant les systèmes de désignation par des noms et
des numéros de pièces des pièces, zones, espaces et vides dans des bâtiments. Elle est destinée à l'identification
des pièces dans l'usage quotidien des bâtiments.
Pour l'identification des pièces dans un projet, tout au long de ses phases de conception, de programmation,
d'étude, de construction, de maintenance, de rénovation et de démolition, voir l'ISO 4157-3.
2 Référence normative
La norme suivante contient des dispositions qui, par suite de la référence qui en est faite, constituent des
dispositions valables pour la présente partie de l’ISO 4157. Au moment de la publication, l’édition indiquée était en
vigueur. Toute norme est sujette à révision et les parties prenantes des accords fondés sur la présente partie de
l’ISO 4157 sont invitées à rechercher la possibilité d'appliquer l’édition la plus récente de la norme indiquée
ci-après. Les membres de la CEI et de l'ISO possèdent le registre des Normes internationales en vigueur à un
moment donné.
ISO 4157-1:1998, Dessins de bâtiment — Systèmes de désignation — Partie 1: Bâtiments et parties de bâtiments.
3 Définitions
Pour les besoins de la présente partie de l’ISO 4157, les définitions données dans l'ISO 4157-1 s'appliquent.
4 Principe de numérotation des pièces
4.1 Ordre logique
Les numéros doivent être attribués à toutes les pièces de chaque niveau dans un ordre logique, de préférence
consécutif, en commençant par le numéro n01 (où n indique le numéro du niveau) dans les limites de toutes les
parties du bâtiment. Ces limites peuvent être autres que des murs physiques, de façon à pouvoir attribuer des
numéros de pièces à des zones extérieures ou couvertes qui doivent faire partie du système de numérotation,
comme par exemple un jardin fermé, une piscine, un abri-garage, une loggia couverte et les espaces
intermédiaires.
4.2 Bâtiments séparés
Si plusieurs bâtiments sont inclus dans un projet de bâtiment, les numéros de pièces doivent être attribués
indépendamment à chaque bâtiment, conformément à 4.1. Des bâtiments séparés peuvent être adjacents, et reliés
par des portes ou des ouvertures.
© ISO
4.3 Indications sur les dessins
4.3.1 Généralités
Les numéros et les noms de pièces attribués aux pièces doivent être inscrits à l'intérieur de chaque pièce, comme
indiqué sur les dessins appropriés (voir figure 1).
Figure 1 — Exemple de noms et numéros de pièces au troisième étage
Pour une plus grande clarté, les numéros et les noms de pièces doivent être soulignés sur les dessins.
La même désignation (par exemple celle indiquée à la figure 1) doit être affichée clairement dans le bâtiment
physique sur la porte ou près de l'entrée de la pièce en question, mais non soulignée. Cette règle ne s'applique pas
dans le sens inverse, par exemple lorsqu'on sort d'un bureau dans le couloir.
4.3.2 Petites pièces
Pour de petites pièces, il suffit d’indiquer les numéros de pièces sur les dessins, comme représenté à la figure 2.
Figure 2 — Exemple d'une petite pièce sans nom
Cependant, le nom de ces petites pièces doit
...














Questions, Comments and Discussion
Ask us and Technical Secretary will try to provide an answer. You can facilitate discussion about the standard in here.
Loading comments...