ISO 1872-1:1986
(Main)Plastics — Polyethylene (PE) and ethylene copolymer thermoplastics — Part 1: Designation
Plastics — Polyethylene (PE) and ethylene copolymer thermoplastics — Part 1: Designation
Plastiques — Thermoplastiques à base de polyéthylène (PE) et de copolymères d'éthylène — Partie 1: Désignation
Plastične mase - Plastomerni polietileni in etilenski kopolimeri - 1. del: Označevanje
General Information
- Status
- Withdrawn
- Publication Date
- 03-Sep-1986
- Withdrawal Date
- 03-Sep-1986
- Technical Committee
- ISO/TC 61/SC 9 - Thermoplastic materials
- Drafting Committee
- ISO/TC 61/SC 9/WG 6 - Polyolefins
- Current Stage
- 9599 - Withdrawal of International Standard
- Start Date
- 23-Dec-1993
- Completion Date
- 12-Feb-2026
Relations
- Effective Date
- 12-May-2008
- Effective Date
- 15-Apr-2008
- Effective Date
- 15-Apr-2008
ISO 1872-1:1986 - Plastics -- Polyethylene (PE) and ethylene copolymer thermoplastics
ISO 1872-1:1986 - Plastics — Polyethylene (PE) and ethylene copolymer thermoplastics — Part 1: Designation Released:9/4/1986
Get Certified
Connect with accredited certification bodies for this standard

Smithers Quality Assessments
US management systems and product certification.
DIN CERTCO
DIN Group product certification.
Sponsored listings
Frequently Asked Questions
ISO 1872-1:1986 is a standard published by the International Organization for Standardization (ISO). Its full title is "Plastics — Polyethylene (PE) and ethylene copolymer thermoplastics — Part 1: Designation". This standard covers: Plastics — Polyethylene (PE) and ethylene copolymer thermoplastics — Part 1: Designation
Plastics — Polyethylene (PE) and ethylene copolymer thermoplastics — Part 1: Designation
ISO 1872-1:1986 is classified under the following ICS (International Classification for Standards) categories: 83.080.20 - Thermoplastic materials. The ICS classification helps identify the subject area and facilitates finding related standards.
ISO 1872-1:1986 has the following relationships with other standards: It is inter standard links to SIST ISO 1872-1:2000, ISO 1872-1:1993, ISO 1872:1972. Understanding these relationships helps ensure you are using the most current and applicable version of the standard.
ISO 1872-1:1986 is available in PDF format for immediate download after purchase. The document can be added to your cart and obtained through the secure checkout process. Digital delivery ensures instant access to the complete standard document.
Standards Content (Sample)
International Standard @ 187211
INTERNATIONAL ORGANIZATION FOR STANDARDIZATION*ME~(aYHAPOnHAPOAHAR OPrAHU3AUUR il0 CTAH~APTU3AUUU.ORGANlSATlON INTERNATIONALE DE NORMALISATION
\
Plastics - Polyethylene (PE) and ethylene copolymer
\- thermoplastics -
Part 1 : Designation
Plastiques - Thermoplastiques à base de polyéthylène (PEI et de copolymères d'éthylène - Partie I: Désignation
First edition - 1986-08-15
I
e UDC 678.742.2 Ref. No. IS0 1872/1-1986 (E)
; Descriptors : plastics, thermoplastic resins, copolymers, polyethylene, designation.
.
O
Price based on 6 pages
v,
Foreword
IS0 (the International Organization for Standardization) is a worldwide federation of
national standards bodies (IS0 member bodies). The work of preparing International
Standards is normally carried out through IS0 technical committees. Each member
body interested in a subject for which a technical committee has been established has
the right to be represented on that committee. International organizations, govern-
mental and non-governmental, in liaison with ISO, also take part in the work.
Draft International Standards adopted by the technical committees are circulated to
the member bodies for approval before their acceptance as International Standards by
the IS0 Council. They are approved in accordance with IS0 procedures requiring at
least 75 % approval by the member bodies voting.
International Standard IS0 1872/1 was prepared by Technical Committee ISO/TC 61,
Plastics.
It cancels and replaces International Standard IS0 1872-1972, of which it constitutes a
technical revision.
Users should note that all International Standards undergo revision from time to time
and that any reference made herein to any other International Standard implies its
latest edition, unless otherwise stated.
O International Organization for Standardization, 1986 0
Printed in Switzerland
INTERNATIONAL STANDARD IS0 1872/1-1986 (E)
Plastics - Polyethylene (PE) and ethylene copolymer
thermoplastics -
Part I : Designation
1 Scope and field of application If such additional properties are required, they shall be deter-
mined in accordance with the test methods specified in
1.1 This part of IS0 1872 establishes a system of designation
IS0 187212, if suitable.
for polyethylene (PE) thermoplastic materials which may be
used as the basis for specifications.
1.5 In order to specify a thermoplastic material for a
particular application or reproducible processing, additional
1.2 The types of polyethylene plastics are differentiated from
requirements may be coded in Data Block 5 (see clause 3).
each other by a classification system based on appropriate
levels of the designatory properties :
a) conventional density,
2 References
b) melt flow rate
IS0 554, Standard atmospheres for conditioning andlor test-
and information about intended application, method of
ing - Specifications.
processing, important properties, additives, colour, fillers and
reinforcing materials.
IS0 1043, Plastics - Symbols and codes
1.3 This designation system is applicable to all ethylene
v
-
homopolymers and to copolymers of ethylene having a maxi-
Part I: Symbols for basic polymers and their special
mum content of other 1-olefin monomers of less than
characteristics. 1
50 % (rnlrn) and a content of non-olefinic monomers with
-
functional groups up to a maximum of 3 % (rn/rn). It applies to Part 2: Codes for designations of polymers by a data
materials ready for normal use in the form of powder, granules block system. 1)
or pellets, and to materials unmodified and modified by
colorants, additives, fillers, etc.
IS0 1133, Plastics - Determination of the melt flow rate of
thermoplastics.
This part of IS0 1872 does not apply to masterbatches or EPM
rubber.
IS0 1183, Plastics - Methods for determining the density and
relative density (specific gravity) of plastics excluding cellular
1.4 It is not intended to imply that materials having the same
plastics. 2)
designation give necessarily the same performance. This part of
IS0 1872 does not provide engineering data, performance data
or data on processing conditions which may be required to IS0 187212, Plastics - Polyethylene and ethylene copolymer
specify a material for a particular application or method of thermoplastics - Part 2: Preparation of test specimens and
processing. determination of properties. 3)
1) At present at the stage of draft. (Partial revision of IS0 1043-1978.)
2) At present at the stage of draft. (Revision of IS0 1183-1970.)
3) At present at the stage of draft.
IS0 1872/1-1986 (E)
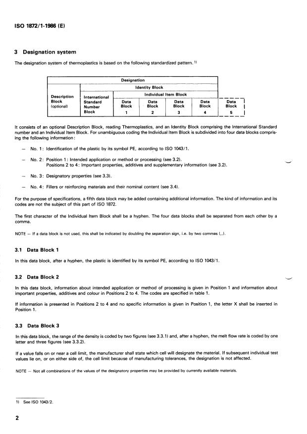
3 Designation system
The designation system of thermoplastics is based on the following standardized pattern. 1)
I Designation I
Identity Block
Individual Item Block
Description
international ------
Block
Standard Data Data Data Data Data I
Number Block ' Block Block Block Block I
(optional)
Block 1 2 3 4
-----
It consists of an optional Description Block, reading Thermoplastics, and an Identity Block comprising the International Standard
number and an Individual Item Block. For unambiguous coding the Individual Item Block is subdivided into four data blocks compris-
ing the following information :
-
No. 1 : Identification of the plastic by its symbol PE, according to IS0 1043/1.
-
No. 2: Position 1 : Intended application or method or processing (see 3.2).
Positions 2 to 4 : Important properties, additives and supplementary information (see 3.2).
-
No. 3 : Designatory properties (see 3.3).
-
No. 4: Fillers or reinforcing materials and their nominal content (see 3.4).
For the purpose of specifications, a fifth data block may be added containing additional information. The kind of information and its
codes are not the subject of this part of IS0 1872.
The first character of the Individual Item Block shall be a hyphen. The four data blocks shall be separated from each other by a
comma.
NOTE - If a data block is not used, this shall be indicated by doubling the separation sign, i.e. by two commas L,).
3.1 Data Block 1
In this data block, after a hyphen, the plastic is identified by its symbol PE, according to IS0 104311
3.2 Data Block 2
In this data block, information about intended application or method of processing is given in Position 1 and information about
important properties, additives and colour in Positions 2 to 4. The codes are specified in table 1.
If information is presented in Positions 2 to 4 and no specific information is given in Position 1, the letter X shall be inserted in
Position 1.
3.3 Data Block 3
In this data block, the range of the density is coded by two figures (see 3.3.1) and, after a hyphen, the melt flow rate is coded by one
letter and three figures (see 3.3.21.
If a value falls on or near a cell limit, the manufacturer shall state which cell will designate the material. If subsequ
...
Norme internationale @ 187211
INTERNATIONAL ORGANIZATION FOR STANDARDIZATIONOME~(nYHAP0~HAA OPiAHHJAUHR no CTAHJ~APTH~AUML~*ORGANISATION INTERNATIONALE DE NORMALISATION
Plastiques - Thermoplastiques à base de polyéthylène (PE)
.L
et de copolymères d'éthylène -
Partie 1 : Désignation
Plastics - Polyethylene (PE) and ethylene copolymer thermoplastics - Part I: Designation
Première édition - 1986-08-15
-
CDU 678.742.2 Réf. no : IS0 1872/1-1986 (FI
!I c
Descripteurs : plastique, résine thermoplastique, copolymère, polyéthylène, désignation.
. 7
N
E
Prix basé sur 6 pages
s
Avant-propos
L‘ISO (organisation internationale de normalisation) est une fédération mondiale
d‘organismes nationaux de normalisation (comités membres de I’ISO). L‘élaboration
des Normes internationales est confiée aux comités techniques de I’ISO. Chaque
comité membre intéressé par une étude a le droit de faire partie du comité technique
créé à cet effet. Les organisations internationales, gouvernementales et non gouverne-
mentales, en liaison avec I’ISO participent également aux travaux.
Les projets de Normes internationales adoptés par les comités techniques sont soumis
aux comités membres pour approbation, avant leur acceptation comme Normes inter-
nationales par le Conseil de I’ISO. Les Normes internationales sont approuvées confor-
mément aux procédures de I’ISO qui requièrent l’approbation de 75 % au moins des
comités membres votants.
La Norme internationale IS0 1872/1 a été élaborée par le comité technique ISO/TC 61,
Plastiques.
Elle annule et remplace la Norme internationale IS0 1872-1972, dont elle constitue une
révision technique.
L’attention des utilisateurs est attirée sur le fait que toutes les Normes internationales
sont de temps en temps soumises à révision et que toute référence faite à une autre
Norme internationale dans le présent document implique qu’il s’agit, sauf indication
contraire, de la dernière édition.
O Organisation internationale de normalisation, 1986 O
imprimé en Suisse
IS0 1872/1-1986 (F)
NORME INTERNATIONALE
Plastiques - Thermoplastiques à base de polyéthylène (PE)
et de copolymères d'éthylène -
Partie 1 : Désignation
1 Objet et domaine d'application de mise en œuvre qui peuvent être exigées pour spécifier un
matériau pour une application ou une méthode de transforma-
tion particulière.
1.1 La présente partie de I'ISO 1872 établit un système de
désignation pour les matériaux thermoplastiques à base de
Si de telles caractéristiques additionnelles sont nécessaires,
polyéthylène (PE). Ce système peut être utilisé comme base
elles doivent être déterminées selon les méthodes d'essai spéci-
pour les spécifications.
fiées dans I'ISO 1872/2, si celles-ci conviennent.
1.2 Les types de plastiques à base de polyéthylène sont diffé-
1.5 Afin de spécifier un matériau pour une application parti-
renciés les uns des autres par un système de classification basé
culière ou une méthode de transformation reproductible, des
sur des niveaux appropriés des propriétés suivantes :
exigences additionnelles peuvent être codées dans le bloc de
données 5 (voir chapitre 3).
a) masse volumique conventionnelle;
indice de fluidité à chaud
b)
2 Références
ainsi que sur l'information relative à l'application prévue, à la
méthode de transformation, aux caractéristiques essentielles,
IS0 554, Atmosphères normales de conditionnement et/ou
aux additifs, à la couleur, aux charges et aux matières de ren- - Spécifications.
d'essai
forcement.
IS0 1043, Plastiques - Symboles et codes
L
-
1.3 Ce système de désignation est applicable seulement aux Partie 1 : Symboles pour des polymères de base et leurs
homopolymères et aux copolymères de l'éthylène ayant une
caractéristiques spéciales. 1 )
teneur maximale en autres monomères oléfiniques-1 inférieure
-
Partie 2: Codes pour la désignation de polymères par
à 50 % (rn/rn) et avec les monomères non oléfiniques à la
un système de bloc de données. 1 )
teneur maximale de 3 % (rn/rn). II s'applique aux matériaux
prêts à l'emploi sous forme de poudre, grains ou granulés, non
IS0 1133, Plastiques - Détermination de l'indice de fluidité à
modifiés et modifiés par des colorants, des additifs, des char-
chaud des thermoplastiques.
ges, etc.
IS0 1183, Plastiques - Méthodes pour déterminer la masse
I'ISO 1872 ne s'applique ni aux mélanges
La présente partie de
volumique et la densité relative des plastiques à l'exclusion des
mères ni au caoutchouc EPM.
plastiques alvéolaires. 2)
1.4 Le fait que des matériaux ont la même désignation IS0 187212, Plastiques - Thermoplastiques à base de
n'implique pas qu'ils présentent nécessairement les mêmes per- polyéthylène (PEI et de copolymères d'éthylène - Partie 2:
formances. La présente partie de I'ISO 1872 ne comporte pas Préparation des éprouvettes et détermination des caractéristi-
de données sur la conception, la petformance ou les conditions ques. 3)
1) Actuellement au stade de projet. (Révision partielle de 1'1Ç0 1043-1978.)
Actuellement au stade de projet. (Revision de I'ISO 1183-1970.)
2)
Actuellement au stade de projet.
3)
IS0 1872/1-1986 (F)
3 Système de désignation
Le système de désignation des thermoplastiques est basé sur un modèle normalisé, 1) comprenant
Désignation
I I Bloc d‘identité I
I I I
Bloc Bloc
-----
(facultatif)
nationale
II y a un bloc descripteur facultatif, lire ((thermoplastiques)), et un bloc d’identité qui consiste en le numéro de la Norme internationale
et un bloc objet particulier. Pour un codage non ambigu, le bloc objet particulier est subdivisé en quatre blocs de données, compre-
les informations suivantes:
nant
-
No 1 : Identification du plastique par son symbole PE selon I‘ISO 1043/1
-
No 2 : Position 1 : application prévue ou méthode de transformation (voir 3.2).
Positions 2 à 4 : caractéristiques essentielles et informations supplémentaires (voir 3.2).
-
No 3 : Propriétés de désignation (voir 3.3).
-
No 4: Charges ou matières de renforcement et leur teneur nominale (voir 3.4).
En vue d’établir une spécification, un cinquième bloc de données peut être ajouté pour fournir des informations additionnelles. La
nature de l‘information et son codage ne sont pas le sujet de la présente partie de 1’1S0 1872.
Le premier caractère du bloc objet particulier doit être un tiret. Le quatre blocs de données doivent être séparés les uns des autres par
une virgule.
NOTE - Un bloc de données non utilisées doit être indiqué en doublant le signe de séparation, c’est-à-dire par deux virgules (,,I.
3.1 Bloc de données 1
Dans ce bloc de données, après un tiret, le plastique est identifié par son symbole PE selon I’ISO 1043/1.
3.2 Bloc de données 2
v
Dans ce bloc de données, l’information relative à l’application prévue ou à la méthode de transformation est donnée dans la position 1
et l’information relative aux caractéristiques essentielles, aux additifs et à la couleur est donnée dans les positions 2 à 4, par des codes
spécifiés dans le tableau 1.
Quand seules sont précisées des caractéristiques en positions 2 à 4 et qu’il n’y a pas information en position 1, il faut l‘indiquer par la
lettre (( X )) en position 1.
3.3 Bloc de données 3
Dans ce bloc de données, l’information relative à la masse volumique conventionnelle est codée par deux chiffres (voir 3.3.1) et, après
un tiret, l‘indice de fluidité à chaud est codé par une lettre et trois chiffres (voir 3.3.2).
Si la valeur d‘une propriété se situe sur ou à proximité de la limite d’une cellule, le producteur doit indiquer quelle cellule désignera le
matériau. Si, par la suite, des valeurs individuelles d‘essai se situent sur (ou de) l’un ou l’autre côté de la limite de cellule, du fait des
tolérances de production, la désignation n’est pas affectée.
NOTE - Toute les combinaisons possibles des valeurs pour les propriétés utilisées pour désigner les matériaux dans la présente partie de I‘ISO 1872
ne sont pas réalisables par les matériaux couramment disponibles.
1) Voir IS0 1043/2
...








Questions, Comments and Discussion
Ask us and Technical Secretary will try to provide an answer. You can facilitate discussion about the standard in here.
Loading comments...