ISO 15118-21:2025
(Main)Road vehicles — Vehicle to grid communication interface — Part 21: Common 2nd generation network layer and application layer requirements conformance test plan
Road vehicles — Vehicle to grid communication interface — Part 21: Common 2nd generation network layer and application layer requirements conformance test plan
This document specifies conformance tests in the form of an abstract test suite (ATS) for a system under test (SUT) that implements an electric-vehicle communication controller (EVCC) or a supply-equipment communication controller (SECC) for all common requirements specified in ISO 15118-20 that are independent of a particular charging type (AC, DC, ACD, WPT charging). These conformance tests specify the testing of capabilities and behaviours of an SUT, as well as checking what is observed against the conformance requirements specified in ISO 15118-20 and against what the implementer states the SUT implementation's capabilities are. The capability tests within the ATS check that the observable capabilities of the SUT are in accordance with the static conformance requirements specified in ISO 15118-20. The behaviour tests of the ATS examine an implementation as thoroughly as practical over the full range of dynamic conformance requirements specified in ISO 15118-20 and within the capabilities of the SUT. A test architecture is described in correspondence to the ATS. The abstract test cases in this document are described leveraging this test architecture and are specified in descriptive tabular format covering the ISO/OSI layer 3 to 7 (network to application layers). In terms of coverage, this document only covers normative sections and requirements in ISO 15118-20. This document additionally refers to specific tests for requirements on referenced standards (e.g. IETF RFCs, W3C Recommendation, etc.) if they are relevant in terms of conformance for implementations according to ISO 15118-20. However, it is explicitly not intended to widen the scope of this conformance specification to such external standards, if it is not technically necessary for the purpose of conformance testing for ISO 15118-20. Furthermore, the conformance tests specified in this document do not include the assessment of performance nor robustness or reliability of an implementation. They cannot provide judgments on the physical realization of abstract service primitives, how a system is implemented, how it provides any requested service, or the environment of the protocol implementation. Furthermore, the abstract test cases specified in this document only consider the communication protocol and the system's behaviour specified in ISO 15118-20. Power flow between the EVSE and the EV is no prerequisite for the test cases specified in this document.
Véhicules routiers — Interface de communication entre véhicule et réseau électrique — Partie 21: Plan de test de conformité aux exigences communes de la couche réseau et de la couche application de 2ème génération
Le présent document spécifie les tests de conformité sous la forme d'une suite de tests abstraite (ATS) pour un système sous test (SUT) comportant un contrôleur de communication de véhicule électrique (CCVE) ou un contrôleur de communication de l'infrastructure de recharge (CCIR), pour toutes les exigences communes spécifiées dans l'ISO 15118-20 qui sont indépendantes d'un type de charge particulier (CA, CC, DCA, TPSF). Ces tests de conformité spécifient les tests de capacités et de comportements d'un SUT, puis vérifient les résultats obtenus par rapport aux conditions de conformité définies dans l'ISO 15118-20 et aux capacités d'implémentation du SUT définies par l'implémenteur. Les tests de capacités définis dans la suite de tests abstraite (ATS) vérifient que les capacités observables sur le SUT respectent les conditions de conformité statique spécifiées dans la norme ISO 15118-20. Les tests de comportement de la suite de tests abstraite (ATS) examinent en détail une implémentation donnée dans l'ensemble des conditions de conformité dynamique spécifiées dans la norme ISO 15118-20, ainsi que dans les limites des capacités du SUT. Une architecture de test est décrite sur la base de la suite de tests abstraite (ATS). Les tests élémentaires abstraits définis dans le présent document sont décrits sur la base de cette architecture de test et sont spécifiés sous la forme de tableaux descriptifs couvrant les couches ISO/OSI 3 à 7 (couches réseau/application). Le présent document ne couvre que les sections normatives et les exigences de l'ISO 15118-20. Le présent document renvoie également vers des tests spécifiques pour les exigences relatives aux normes citées (par exemple, les RFC de l'IETF, les recommandations W3C) si ces tests présentent un intérêt pour la conformité des implémentations conformément à l'ISO 15118-20. Toutefois, le présent document n'a pas pour objet d'élargir le domaine d'application de cette spécification de conformité à de telles normes externes, si cela n'est pas techniquement nécessaire pour les tests de conformité conformément à l'ISO 15118-20. En outre, les tests de conformité spécifiés dans le présent document n'incluent pas l'évaluation des performances, de la robustesse ou de la fiabilité d'une implémentation. Ces tests ne peuvent pas évaluer l'implémentation physique des primitives de services abstraites, la manière dont est implémenté un système, la manière dont celui-ci fournit un service demandé, ou l'environnement d'implémentation du protocole. Par ailleurs, les tests élémentaires abstraits spécifiés dans le présent document couvrent uniquement le protocole de communication et le comportement du système spécifiés par l'ISO 15118-20. Le flux de puissance entre l'IRVE et le VE n'est pas un prérequis pour les tests spécifiés dans le présent document.
General Information
- Status
- Published
- Publication Date
- 18-Sep-2025
- Technical Committee
- ISO/TC 22/SC 31 - Data communication
- Drafting Committee
- ISO/TC 22/SC 31 - Data communication
- Current Stage
- 9092 - International Standard to be revised
- Start Date
- 06-Feb-2026
- Completion Date
- 12-Feb-2026
Relations
- Effective Date
- 12-Feb-2026
Overview - ISO 15118-21:2025 (Vehicle-to-grid conformance test plan)
ISO 15118-21:2025 defines a conformance test plan (abstract test suite, ATS) for implementations of the vehicle-to-grid (V2G) communication interface specified in ISO 15118-20. The document targets systems under test (SUT) that implement an EV communication controller (EVCC) or a supply-equipment communication controller (SECC) and covers the common 2nd‑generation network layer and application layer requirements that are independent of charging type (AC, DC, ACD, WPT). Test cases are specified for ISO/OSI layers 3–7 (network to application) using a descriptive tabular format and a defined test architecture.
Key topics and technical requirements
- Abstract Test Suite (ATS) for capability and behaviour testing of EVCC and SECC implementations.
- Coverage strictly for normative requirements of ISO 15118-20; capability tests verify static conformance, behaviour tests exercise dynamic requirements.
- Test architecture components: test system (TS), platform adapters, and SUT adapters (including references to IEC 61851 and ISO 15118 profiles).
- Protocol-specific test areas such as SDP, V2GTP, and common V2G message flow test cases for both SECC and EVCC.
- Test support artifacts: PICS (Protocol Implementation Conformance Statement), PIXIT, test profiles, timers/timeouts, codecs, and template messages (annexes).
- References to external specifications (e.g., IETF RFCs, W3C) are made only when necessary for conformance testing, without extending the scope beyond ISO 15118-20.
- Explicit limitations: conformance tests do not assess performance, robustness, reliability, physical implementation details, or power-flow behavior - only the communication protocol and specified system behaviour are tested.
Practical applications
- Establishes a common, repeatable basis for protocol conformance testing of V2G communication stacks.
- Serves as a prerequisite for downstream interoperability testing and certification programs.
- Used to validate declared capabilities of EVCC/SECC implementations against ISO 15118-20 requirements.
- Provides test houses and labs with standardized test cases, templates, and architecture to reduce ambiguity in certification workflows.
Who should use ISO 15118-21:2025
- EV and EVSE manufacturers implementing V2G (ISO 15118) communication stacks.
- Test laboratories and certification bodies performing protocol conformance testing.
- System integrators, firmware/software developers, and QA engineers responsible for EVCC/SECC implementations.
- Standards and compliance managers coordinating ISO 15118‑based interoperability projects.
Related standards and scope notes
- Normative linkage: ISO 15118-20 (protocol requirements).
- Cross-references to IEC 61851, ISO 15118 parts (e.g., Part 3, Part 8), and external internet standards where required for conformance testing.
- Reminder: ISO 15118-21 focuses on communication conformance, not electrical power delivery or device-level reliability.
ISO 15118-21:2025 - Road vehicles — Vehicle to grid communication interface — Part 21: Common 2nd generation network layer and application layer requirements conformance test plan Released:19. 09. 2025
ISO 15118-21:2025 - Véhicules routiers — Interface de communication entre véhicule et réseau électrique — Partie 21: Plan de test de conformité aux exigences communes de la couche réseau et de la couche application de 2eme génération Released:3. 02. 2026
REDLINE ISO 15118-21:2025 - Véhicules routiers — Interface de communication entre véhicule et réseau électrique — Partie 21: Plan de test de conformité aux exigences communes de la couche réseau et de la couche application de 2eme génération Released:3. 02. 2026
Get Certified
Connect with accredited certification bodies for this standard

TÜV Rheinland
TÜV Rheinland is a leading international provider of technical services.

TÜV SÜD
TÜV SÜD is a trusted partner of choice for safety, security and sustainability solutions.
AIAG (Automotive Industry Action Group)
American automotive industry standards and training.
Sponsored listings
Frequently Asked Questions
ISO 15118-21:2025 is a standard published by the International Organization for Standardization (ISO). Its full title is "Road vehicles — Vehicle to grid communication interface — Part 21: Common 2nd generation network layer and application layer requirements conformance test plan". This standard covers: This document specifies conformance tests in the form of an abstract test suite (ATS) for a system under test (SUT) that implements an electric-vehicle communication controller (EVCC) or a supply-equipment communication controller (SECC) for all common requirements specified in ISO 15118-20 that are independent of a particular charging type (AC, DC, ACD, WPT charging). These conformance tests specify the testing of capabilities and behaviours of an SUT, as well as checking what is observed against the conformance requirements specified in ISO 15118-20 and against what the implementer states the SUT implementation's capabilities are. The capability tests within the ATS check that the observable capabilities of the SUT are in accordance with the static conformance requirements specified in ISO 15118-20. The behaviour tests of the ATS examine an implementation as thoroughly as practical over the full range of dynamic conformance requirements specified in ISO 15118-20 and within the capabilities of the SUT. A test architecture is described in correspondence to the ATS. The abstract test cases in this document are described leveraging this test architecture and are specified in descriptive tabular format covering the ISO/OSI layer 3 to 7 (network to application layers). In terms of coverage, this document only covers normative sections and requirements in ISO 15118-20. This document additionally refers to specific tests for requirements on referenced standards (e.g. IETF RFCs, W3C Recommendation, etc.) if they are relevant in terms of conformance for implementations according to ISO 15118-20. However, it is explicitly not intended to widen the scope of this conformance specification to such external standards, if it is not technically necessary for the purpose of conformance testing for ISO 15118-20. Furthermore, the conformance tests specified in this document do not include the assessment of performance nor robustness or reliability of an implementation. They cannot provide judgments on the physical realization of abstract service primitives, how a system is implemented, how it provides any requested service, or the environment of the protocol implementation. Furthermore, the abstract test cases specified in this document only consider the communication protocol and the system's behaviour specified in ISO 15118-20. Power flow between the EVSE and the EV is no prerequisite for the test cases specified in this document.
This document specifies conformance tests in the form of an abstract test suite (ATS) for a system under test (SUT) that implements an electric-vehicle communication controller (EVCC) or a supply-equipment communication controller (SECC) for all common requirements specified in ISO 15118-20 that are independent of a particular charging type (AC, DC, ACD, WPT charging). These conformance tests specify the testing of capabilities and behaviours of an SUT, as well as checking what is observed against the conformance requirements specified in ISO 15118-20 and against what the implementer states the SUT implementation's capabilities are. The capability tests within the ATS check that the observable capabilities of the SUT are in accordance with the static conformance requirements specified in ISO 15118-20. The behaviour tests of the ATS examine an implementation as thoroughly as practical over the full range of dynamic conformance requirements specified in ISO 15118-20 and within the capabilities of the SUT. A test architecture is described in correspondence to the ATS. The abstract test cases in this document are described leveraging this test architecture and are specified in descriptive tabular format covering the ISO/OSI layer 3 to 7 (network to application layers). In terms of coverage, this document only covers normative sections and requirements in ISO 15118-20. This document additionally refers to specific tests for requirements on referenced standards (e.g. IETF RFCs, W3C Recommendation, etc.) if they are relevant in terms of conformance for implementations according to ISO 15118-20. However, it is explicitly not intended to widen the scope of this conformance specification to such external standards, if it is not technically necessary for the purpose of conformance testing for ISO 15118-20. Furthermore, the conformance tests specified in this document do not include the assessment of performance nor robustness or reliability of an implementation. They cannot provide judgments on the physical realization of abstract service primitives, how a system is implemented, how it provides any requested service, or the environment of the protocol implementation. Furthermore, the abstract test cases specified in this document only consider the communication protocol and the system's behaviour specified in ISO 15118-20. Power flow between the EVSE and the EV is no prerequisite for the test cases specified in this document.
ISO 15118-21:2025 is classified under the following ICS (International Classification for Standards) categories: 43.120 - Electric road vehicles. The ICS classification helps identify the subject area and facilitates finding related standards.
ISO 15118-21:2025 has the following relationships with other standards: It is inter standard links to EN ISO 15118-21:2025. Understanding these relationships helps ensure you are using the most current and applicable version of the standard.
ISO 15118-21:2025 is available in PDF format for immediate download after purchase. The document can be added to your cart and obtained through the secure checkout process. Digital delivery ensures instant access to the complete standard document.
Standards Content (Sample)
International
Standard
ISO 15118-21
First edition
Road vehicles — Vehicle to grid
2025-09
communication interface —
Part 21:
Common 2nd generation network
layer and application layer
requirements conformance test plan
Véhicules routiers — Interface de communication entre véhicule
et réseau électrique —
Partie 21: Plan de test de conformité aux exigences communes de
la couche réseau et de la couche application de 2ème génération
Reference number
© ISO 2025
All rights reserved. Unless otherwise specified, or required in the context of its implementation, no part of this publication may
be reproduced or utilized otherwise in any form or by any means, electronic or mechanical, including photocopying, or posting on
the internet or an intranet, without prior written permission. Permission can be requested from either ISO at the address below
or ISO’s member body in the country of the requester.
ISO copyright office
CP 401 • Ch. de Blandonnet 8
CH-1214 Vernier, Geneva
Phone: +41 22 749 01 11
Email: copyright@iso.org
Website: www.iso.org
Published in Switzerland
ii
Contents Page
Foreword .v
Introduction .vi
1 Scope . 1
2 Normative references . 1
3 Terms and definitions . 2
4 Abbreviated terms . 6
5 Conventions . 7
5.1 Requirement structure .7
5.2 Test system (TS) description .8
6 Test architecture reference model . 8
6.1 General information.8
6.2 Platform adapter .8
6.3 SUT adapters .9
6.3.1 General information .9
6.3.2 IEC 61851-1 SUT adapter .9
6.3.3 ISO 15118-20 SUT adapter .10
6.3.4 ISO 15118-3 SUT adapter .11
6.3.5 ISO 15118-8 SUT adapter .11
6.4 Codecs . .11
6.5 Test system (TS) timer handling . 12
6.5.1 Definition of test system (TS) timers and timeouts . 12
6.5.2 Test system timer scenarios for SUT SECC . 13
6.5.3 Test system timer scenarios for SUT EVCC .14
7 Test suite conventions. 17
7.1 General information.17
7.2 Test suite structure (TSS) .17
7.3 Test profiles .18
7.3.1 General information .18
7.3.2 Test configurations .19
7.3.3 Protocol implementation conformance statement (PICS) definition .19
7.3.4 Protocol implementation extra information for testing (PIXIT) definition . 22
7.3.5 Test control .24
7.3.6 TS template messages .24
7.4 Test suite identifiers .24
7.4.1 General information .24
7.4.2 Test case identifiers .24
7.4.3 PICS/PIXIT identifiers . 25
7.4.4 Verdict types . 25
7.5 Test case specification . 26
8 Test case specification for common ISO 15118-20 requirements .27
8.1 General information.27
8.2 Test cases for SUT SECC .27
8.2.1 SECC SDP test case specifications .27
8.2.2 SECC V2GTP test case specifications . 30
8.2.3 SECC common V2G message flow test case specifications . 46
8.3 Test cases for SUT EVCC . 150
8.3.1 EVCC SDP test case specifications . 150
8.3.2 EVCC V2GTP test case specifications . 151
8.3.3 EVCC common V2G message flow test case specifications . 165
Annex A (informative) Test suite coverage .262
Annex B (normative) TS template messages for SUT type EVCC . 299
iii
Annex C (normative) Test system template messages for SUT type SECC .307
Annex D (normative) Test system functions for dynamic data elements in template messages.315
Bibliography .321
iv
Foreword
ISO (the International Organization for Standardization) and IEC (the International Electrotechnical
Commission) form the specialized system for worldwide standardization. National bodies that are
members of ISO or IEC participate in the development of International Standards through technical
committees established by the respective organization to deal with particular fields of technical activity.
ISO and IEC technical committees collaborate in fields of mutual interest. Other international organizations,
governmental and non-governmental, in liaison with ISO and IEC, also take part in the work.
The procedures used to develop this document and those intended for its further maintenance are described
in the ISO/IEC Directives, Part 1. In particular, the different approval criteria needed for the different types
of document should be noted. This document was drafted in accordance with the editorial rules of the ISO/
IEC Directives, Part 2 (see www.iso.org/directives or www.iec.ch/members_experts/refdocs).
ISO and IEC draw attention to the possibility that the implementation of this document may involve the
use of (a) patent(s). ISO and IEC take no position concerning the evidence, validity or applicability of any
claimed patent rights in respect thereof. As of the date of publication of this document, ISO and IEC had not
received notice of (a) patent(s) which may be required to implement this document. However, implementers
are cautioned that this may not represent the latest information, which may be obtained from the patent
database available at www.iso.org/patents and https://patents.iec.ch. ISO and IEC shall not be held
responsible for identifying any or all such patent rights.
Any trade name used in this document is information given for the convenience of users and does not
constitute an endorsement.
For an explanation of the voluntary nature of standards, the meaning of ISO specific terms and expressions
related to conformity assessment, as well as information about ISO's adherence to the World Trade
Organization (WTO) principles in the Technical Barriers to Trade (TBT) see www.iso.org/iso/foreword.html.
In the IEC, see www.iec.ch/understanding-standards.
This document was prepared jointly by Technical Committee ISO/TC 22, Road vehicles, Subcommittee SC
31, Data communication, and Technical Committee IEC/TC 69, Electrical power/energy transfer systems
for electrically propelled road vehicles and industrial trucks, and with the European Committee for
Standardization (CEN) Technical Committee CEN/TC 301, Road vehicles, in accordance with the Agreement
on technical cooperation between ISO and CEN (Vienna Agreement).
A list of all parts in the ISO 15118 series series can be found on the ISO and IEC websites.
Any feedback or questions on this document should be directed to the user’s national standards
body. A complete listing of these bodies can be found at www.iso.org/members.html and
www.iec.ch/national-committees.
v
Introduction
Resulting from the 2nd generation network layer and application layer requirements for the vehicle to grid
communication interface specified in ISO 15118-20, a corresponding set of abstract test cases is necessary
to verify the conformance of implementations. Hence, this document specifies a conformance test suite for
the 2nd generation network layer and application layer protocols to derive a common basis for conformance
tests. The resulting test suite is a prerequisite for downstream interoperability tests. Since interoperability
tests also involve the actual application logic of an implementation, such tests are beyond the scope of this
document (see NOTE 1). Therefore, this document focuses on the communication interface aspects and the
corresponding requirements given in ISO 15118-20 only.
The layered structure of the conformance test documents with reference to ISO 15118-20 is shown in
Figure 1. The complete set of relevant conformance test documents per charging type is composed of all the
documents within its column according to Figure 1.
Figure 1 — Overview of relevant conformance test plans for ISO 15118-20 per charging type
EXAMPLE For a SUT supporting DC-charging, the following conformance test plan documents apply:
— test plan for common network and application layer requirements (this document);
— test plan for common security requirements;
— test plan for AC-/DC-specific network and application layer requirements (only DC-specific subset applies).
NOTE 1 Practical limitations make it impossible to specify an exhaustive test suite, and economic considerations
can restrict testing even further. Hence, the purpose of this document is to increase the probability that different
implementations are able to interwork. This is achieved by verifying them by means of a protocol test suite, thereby
increasing the confidence that each implementation conforms to the protocol specification. However, the specified
protocol test suite cannot guarantee conformance to the specification since it detects errors rather than their absence.
Thus, conformance to a test suite alone cannot guarantee interworking. Instead, it gives confidence that a conforming
implementation has the required capabilities and that its behaviour conforms consistently in representative instances
of communication.
NOTE 2 This document generally refers to SUT instead of implementation under test (IUT), due to the black box
testing paradigm adopted in this document and related certification processes.
vi
NOTE 3 This document has some interdependencies to the conformance tests specified in ISO 15118-5 and ISO 15118-9
which result from ISO/OSI cross layer dependencies in the underlying protocol specification (e.g. for sleep mode).
vii
International Standard ISO 15118-21:2025(en)
Road vehicles — Vehicle to grid communication interface —
Part 21:
Common 2nd generation network layer and application layer
requirements conformance test plan
1 Scope
This document specifies conformance tests in the form of an abstract test suite (ATS) for a system under
test (SUT) that implements an electric-vehicle communication controller (EVCC) or a supply-equipment
communication controller (SECC) for all common requirements specified in ISO 15118-20 that are
independent of a particular charging type (AC, DC, ACD, WPT charging). These conformance tests specify
the testing of capabilities and behaviours of an SUT, as well as checking what is observed against the
conformance requirements specified in ISO 15118-20 and against what the implementer states the SUT
implementation's capabilities are.
The capability tests within the ATS check that the observable capabilities of the SUT are in accordance with
the static conformance requirements specified in ISO 15118-20. The behaviour tests of the ATS examine
an implementation as thoroughly as practical over the full range of dynamic conformance requirements
specified in ISO 15118-20 and within the capabilities of the SUT.
A test architecture is described in correspondence to the ATS. The abstract test cases in this document are
described leveraging this test architecture and are specified in descriptive tabular format covering the ISO/
OSI layer 3 to 7 (network to application layers).
In terms of coverage, this document only covers normative sections and requirements in ISO 15118-20. This
document additionally refers to specific tests for requirements on referenced standards (e.g. IETF RFCs,
W3C Recommendation, etc.) if they are relevant in terms of conformance for implementations according
to ISO 15118-20. However, it is explicitly not intended to widen the scope of this conformance specification
to such external standards, if it is not technically necessary for the purpose of conformance testing for
ISO 15118-20. Furthermore, the conformance tests specified in this document do not include the assessment
of performance nor robustness or reliability of an implementation. They cannot provide judgments on
the physical realization of abstract service primitives, how a system is implemented, how it provides any
requested service, or the environment of the protocol implementation. Furthermore, the abstract test cases
specified in this document only consider the communication protocol and the system's behaviour specified
in ISO 15118-20. Power flow between the EVSE and the EV is no prerequisite for the test cases specified in
this document.
2 Normative references
The following documents are referred to in the text in such a way that some or all of their content constitutes
requirements of this document. For dated references, only the edition cited applies. For undated references,
the latest edition of the referenced document (including any amendments) applies.
ISO 15118-1, Road vehicles — Vehicle to grid communication interface — Part 1: General information and use-
case definition
ISO 15118-3, Road vehicles — Vehicle to grid communication interface — Part 3: Physical and data link layer
requirements
ISO 15118-5:2018, Road vehicles — Vehicle to grid communication interface — Part 5: Physical layer and data
link layer conformance test
ISO 15118-8, Road vehicles — Vehicle to grid communication interface — Part 8: Physical layer and data link
layer requirements for wireless communication
ISO 15118-9:2022, Road vehicles — Vehicle to grid communication interface — Part 9: Physical and data link
layer conformance test for wireless communication
ISO 15118-20:2022, Road vehicles — Vehicle to grid communication interface — Part 20: 2nd generation
network layer and application layer requirements
IEC 61851-1:2017, Electric vehicle conductive charging system — Part 1: General requirements
IEC 61851-23, Electric vehicle conductive charging system — Part 23: DC electric vehicle charging station
1)
ETSI ES 201 873-5 V4.9.1 , Methods for Testing and Specification (MTS) — The Testing and Test Control
Notation version 3 — Part 5: TTCN-3 Runtime Interface (TRI) (April 2022)
2)
ETSI ES 201 873-6 V4.13.1 , Methods for Testing and Specification (MTS) — The Testing and Test Control
Notation version 3 — Part 6: TTCN-3 Control Interface (TCI) (April 2022)
3 Terms and definitions
For the purposes of this document, the terms and definitions given in ISO 15118-1, ISO 15118-3, ISO 15118-8,
ISO 15118-20 and the following apply.
ISO and IEC maintain terminology databases for use in standardization at the following addresses:
— ISO Online browsing platform: available at https:// www .iso .org/ obp
— IEC Electropedia: available at https:// www .electropedia .org/
3.1
abstract test case
complete and independent specification of the actions required to achieve a specific test purpose (3.25)
Note 1 to entry: See ITU-T X.290.
Note 2 to entry: This specification is defined at the level of abstraction of a particular abstract test method, starting
in a stable testing state and ending in a stable testing state and can involve one or more consecutive or concurrent
connections.
Note 3 to entry: The specification is complete in the sense that it is sufficient to enable a test verdict (3.29) to be
assigned unambiguously to each potentially observable test outcome (i.e. sequence of test events).
Note 4 to entry: The specification is independent in the sense that it is possible to execute the derived executable test
case (3.7) in isolation from other such test cases (i.e. the specification always includes the possibility of starting and
finishing in the “idle” state).
3.2
abstract test suite
ATS
collection of abstract test cases (3.1) with reference to a given requirement specification
Note 1 to entry: See ITU-T X.290.
3.3
black box testing
method of testing that examines the behaviour of an system under test (SUT) (3.20) without considering the
internal implementation and structure of the SUT, thus relying on the SUT's open interface for testing
1) Available at https:// www .etsi .org/ deliver/ etsi _es/ 201800 _201899/ 20187305/ 04 .09 .01 _60/ es
_20187305v040901p .pdf.
2) Available at https:// www .etsi .org/ deliver/ etsi _es/ 201800 _201899/ 20187306/ 04 .13 .01 _60/ es
_20187306v041301p .pdf.
3.4
conformance requirement
requirement for implementation of a real open system which is claimed to conform to the relevant
specification(s) that can be validated by black box testing (3.3)
Note 1 to entry: The set of conformance requirements together define the behaviour of the system and its
communication. Conformance of a real open system is, therefore, expressed at two levels, conformance to each
individual requirement and conformance to the set. In this document, applicable conformance tests include
requirements as far as they can be validated by black box testing.
Note 2 to entry: See also static conformance requirements (3.19) and dynamic conformance requirements (3.6).
Note 3 to entry: The requirements for this conformance specification are specified in ISO 15118-20.
3.5
conforming implementation
system under test (3.20) which satisfies both static conformance requirements (3.19) and dynamic conformance
requirements (3.6), consistent with the capabilities stated in the protocol implementation conformance
statements (3.16)
Note 1 to entry: See ITU-T X.290.
3.6
dynamic conformance requirement
requirement which specifies what observable behaviour is permitted by the relevant specification(s) in
instances of communication
Note 1 to entry: See ITU-T X.290.
Note 2 to entry: The requirements for this conformance specification are specified in ISO 15118-20.
3.7
executable test case
realization of an abstract test case (3.1)
Note 1 to entry: See ITU-T X.290.
3.8
expected behaviour
exact response of the system under test (3.20) according to the underlying protocol specification to the
stimulus defined in the test behaviour (3.21)
3.9
implementation conformance statement
ICS
statement made by the supplier of a system under test (3.20) claimed to conform to a given specification,
stating which capabilities have been implemented
Note 1 to entry: See ITU-T X.290.
Note 2 to entry: The given document for this conformance specification is ISO 15118-20.
3.10
implementation extra information for testing
IXIT
statement made by a supplier or implementer of a system under test (SUT) (3.20) which contains or references
all information [in addition to that given in the implementation conformance statement (3.9)] related to the SUT
and its testing environment, which enables the test laboratory to run an appropriate test suite against the SUT
Note 1 to entry: See ITU-T X.290.
3.11
implementation under test
IUT
implementation of one or more open system interconnection protocols in an adjacent user/provider
relationship, being part of a real open system, which is to be studied by testing
Note 1 to entry: See ITU-T X.290.
3.12
main test component
MTC
single test component in a test component configuration responsible for creating and controlling parallel
test components (3.13) and computing and assigning the test verdict (3.29)
Note 1 to entry: See ITU-T X.292.
3.13
parallel test component
PTC
test component created by the main test component (3.12)
Note 1 to entry: See ITU-T X.292.
3.14
post-condition
test steps needed to define the path from the end of the test behaviour (3.21) up to the finishing stable state
for the abstract test case (3.1)
3.15
pre-condition
test steps needed to define the path from the starting stable state of the abstract test case (3.1) up to the
initial state from which the test behaviour (3.21) starts
3.16
protocol implementation conformance statement
PICS
implementation conformance statement (3.9) for an implementation or system claimed to conform to a given
protocol specification
Note 1 to entry: See ITU-T X.290.
Note 2 to entry: The given protocol document for this conformance specification is ISO 15118-20.
3.17
protocol implementation extra information for testing
PIXIT
implementation extra information for testing (3.10) related to testing for conformance to a given protocol
specification
Note 1 to entry: See ITU-T X.290.
Note 2 to entry: The given protocol document for this conformance specification is ISO 15118-20.
3.18
runtime environment
environment that describes the operating system and corresponding platform requirements of a system
3.19
static conformance requirement
requirement that specifies the limitations on the combinations of implemented capabilities permitted in a
real open system which is claimed to conform to the relevant specification(s)
Note 1 to entry: See ITU-T X.290.
Note 2 to entry: The requirements for this conformance specification are specified in ISO 15118-20.
3.20
system under test
SUT
real open system in which the implementation under test (3.11) resides
Note 1 to entry: See ITU-T X.290.
3.21
test behaviour
set of test steps (test body) to achieve the test purpose (3.25) and assign verdicts (3.29) to the possible
outcomes
3.22
test control interface
TCI
four interfaces that define the interaction of the TTCN-3 executable with the test management, the coding
and decoding, the test component handling and the logging in a test system (3.26)
Note 1 to entry: See ETSI ES 201 873-6 V4.13.1.
3.23
test execution
TE
interpretation or execution of an abstract test suite (3.2)
Note 1 to entry: Conceptually, the test execution can be decomposed into three interacting entities: an executable test
suite, a test framework (3.24) and an optional internal encoding/decoding system entity.
Note 2 to entry: See ETSI ES 201 873-5 V4.9.1.
3.24
test framework
TFW
entity to perform all actions of executable test cases (3.7) or functions
Note 1 to entry: The test framework interacts with the test management, system under test adaptor and platform
adaptor entities via test control interface (3.22) and test runtime interface (3.27). It also manages the executable test suite
(ETS) and the encoding/decoding system (EDS) entities. The test framework initializes adaptors as well as ETS and EDS
entities. This entity performs all the actions necessary to properly start the execution of a test case or function with
parameters in the ETS entity. It queries the test management entity for module parameter values required by the ETS
and sends logging information to it. It also collects and resolves associated verdicts (3.29) returned by the ETS entity.
Note 2 to entry: See also ETSI ES 201 873-5 V4.9.1.
Note 3 to entry: In this document, the test framework TTCN-3 runtime system is used to explain a test framework
functionality.
3.25
test purpose
prose description of a well-defined objective of testing, focusing on a single static conformance requirement
(3.19) or dynamic conformance requirement (3.6) or a set as specified in the appropriate OSI specification
Note 1 to entry: See ITU-T X.290.
EXAMPLE Verifying the support of a specific value of a specific parameter.
3.26
test system
real system combining the test framework (3.24), abstract test suite (3.2), test execution (3.23) and adapters
as well as codecs
Note 1 to entry: The test system typically also contains a common runtime environment (3.18) based on an
operating system.
3.27
test runtime interface
TRI
two interfaces that define the interaction of the TTCN-3 executable between the system under test (3.20) and
the platform adapter and the system adapter in a test system (3.26)
Note 1 to entry: See ETSI ES 201 873-6 V4.13.1.
3.28
test system interface
TSI
test component that provides a mapping of the ports available in the (abstract) TTCN-3 test system (3.26) to
those offered by a real test system
Note 1 to entry: See ETSI ES 201 873-6 V4.13.1.
3.29
verdict
test verdict
statement of “pass”, “fail” or “inconclusive”, as specified in an abstract test case (3.1), concerning conformance
of a system under test (3.20) with respect to that test case when it is executed
Note 1 to entry: See ITU-T X.290.
4 Abbreviated terms
For the purposes of this document, the following abbreviated terms apply:
AP (wireless) access point
APUT access point under test
ATS abstract test suite
CP control pilot
ETT energy transfer types
EV electric vehicle
EVCC electric vehicle communication controller
EVSE electric vehicle supply equipment
EXI efficient XML interchange
HAL hardware abstraction layer
HPGP Homeplug Green PHY
ICS implementation conformance statement
IUT implementation under test
IXIT implementation extra information for testing
MTC main test component
PICS protocol implementation conformance statement
PIXIT protocol implementation extra information for testing
PLC powerline communication
PP proximity pilot
PTC parallel test component
SDP session description protocol
SECC supply equipment communication controller
STA (wireless) station
STAUT station under test
SUT system under test
TC test case
TCI test control interface
TCI-CD TCI-coding and decoding
TE test execution
TRI TTCN-3 runtime interface
TS test system
TSS test suite structure
TTCN-3 testing and test control notation version 3
UDP user data protocol
V2G vehicle-to-grid
WLAN wireless local area network
5 Conventions
5.1 Requirement structure
This document uses unique number identifiers for each individual requirement. This requirement structure
allows for easier requirement tracking and management. The following format is used throughout this
document:
'[V2G'Y'-'XXX']' requirement text
Where:
— 'V2G' represents the ISO 15118 series;
— Y represents the document part of the ISO 15118 series, for this document Y = 21;
— XXX represents the individual requirement number;
— 'requirement text' includes the actual text of the requirement.
5.2 Test system (TS) description
TTCN-3 is used in this document to specify the TS architecture and the conventions for the abstract test
suite. TTCN-3 is, however, not mandatory for the implementation of a conformance TS according to this
document.
[V2G21-001] The implementers of conformance tests shall verify that the test purposes implemented in
their executable test cases are identical to the abstract test cases described in this document.
NOTE In this document, test cases are not programmatically specified in TTNC-3 core language.
6 Test architecture reference model
6.1 General information
Figure 2 provides an overview of the test architecture for this document. Subclauses 6.2, 6.3 and 6.4 specify
the interface requirements Figure 2 for platform adapters and SUT adapters and all applicable codecs.
Figure 2 — Test architecture reference model
6.2 Platform adapter
The platform adapter within the TS is responsible for timers and external functions. Besides means for
timers, which are typically provided as part of the test framework, no external functions are specified for
this document.
[V2G21-002] The platform adapter of the TS shall follow the principles of the TriPlatformPA and the TriPlat-
formTE interfaces (see TRI in Figure 2) as specified in ETSI ES 201 873-5 V4.9.1:2022, 6.5.3.
6.3 SUT adapters
6.3.1 General information
The SUT adapter within the TS adapts the TTCN-3 communication operations to the SUT based on an
abstract TS interface and implements the real TS interface. It is responsible to propagate message requests
and procedure-based calls from the test execution (see Figure 2) to the SUT, and to notify the test execution
of any received test events.
[V2G21-003] Any SUT adapter of the TS shall implement the TriCommunicationSA and the TriCommunica-
tionTE interfaces (see TRI in Figure 2) as specified in ETSI ES 201 873-5 V4.9.1:2022, 6.5.2.
NOTE The actual implementation of these adapters is beyond the scope of this document.
6.3.2 IEC 61851-1 SUT adapter
The IEC 61851-1 SUT adapter implements a parallel test component (PTC) for the control pilot (CP) and
proximity pilot (PP) signalling specified in IEC 61851-1:2017 Annex A. It continuously controls and/or
observes the positive voltage (state), frequency, duty cycle and the proximity resistor value during the entire
test case execution in accordance with the specified valid range of values as specified in IEC 61851-1:2017,
Annex A.
[V2G21-004] The IEC 61851-1 SUT adapter as shown in Figure 2 shall adapt the functions as specified in
subclauses 6.3.2.1 to 6.3.2.3 to the CP or PP signal
NOTE 1 The IEC 61851-1 SUT adapter involves a hardware component for these adaptations. The corresponding
electrical requirements on the CP or PP line, such as accuracy, resolution, or measurement bandwidth, etc. are beyond
the scope of this document. For further information on such requirements refer to IEC 61851-1:2017 Annex A and
Reference [3].
NOTE 2 For AC charging systems, the underlying application requirements for CP and PP considered in this
document are specified in IEC 61851-1.
NOTE 3 For DC charging systems, the underlying application requirements for CP and PP considered in this
document are specified in IEC 61851-1 and IEC 61851-23.
NOTE 4 Applicability of IEC 61851-1 SUT adapter depends on underlying test configuration as specified in
subclause 7.3.2
6.3.2.1 Requirements of IEC 61851-1 SUT adapter for SECC or EVCC testing
[V2G21-005] The IEC 61851-1 SUT adapter for SECC or EVCC testing shall provide a function to get the
current CP state or associated voltage level.
[V2G21-006] The IEC 61851-1 SUT adapter for SECC or EVCC testing shall provide a call-back function
via the PTC which reports change events of the current CP state or associated voltage level.
[V2G21-007] The IEC 61851-1 SUT adapter for SECC or EVCC testing shall provide a function to set the PP
on the SUT side.
[V2G21-008] The IEC 61851-1 SUT adapter for SECC or EVCC testing shall provide a function to get the PP
resistor value from the SUT side.
[V2G21-009] The IEC 61851-1 SUT adapter for SECC or EVCC testing shall provide a call-back function
via the PTC)which reports change events of the resistor value of the PP from the SUT side.
[V2G21-010] The IEC 61851-1 SUT adapter for SECC or EVCC testing shall provide a function to get the CP
duty cycle in percentage.
[V2G21-011] The IEC 61851-1 SUT adapter for SECC or EVCC testing shall provide a call-back function via
the PTC which reports changes of the CP duty cycle in percentage.
[V2G21-012] The IEC 61851-1 SUT adapter for SECC or EVCC testing shall provide a function to get the CP
frequency in hertz.
[V2G21-013] The IEC 61851-1 SUT adapter for SECC or EVCC testing shall provide a call-back function via
the PTC which reports change events of the CP frequency in hertz.
6.3.2.2 Requirements of IEC 61851-1 SUT adapter for SECC testing
[V2G21-014] The IEC 61851-1 SUT adapter for SECC testing shall provide a function to set the current CP
state or associated voltage level. States B, C and D or the associated voltage level shall be
supported. Other voltage levels are optional.
6.3.2.3 Requirements of IEC 61851-1 SUT adapter for EVCC testing
[V2G21-015] The IEC 61851-1 SUT adapter for EVCC testing shall provide a function to set the current
CP state or associated voltage level. States E and F or the associated voltage level shall be
supported. Other voltage levels are optional.
[V2G21-016] The IEC 61851-1 SUT adapter for EVCC testing shall provide a function to set the current CP
duty cycle in percentage. The values 5 %, and 7 %−98 % shall be supported. Other values
are optional.
[V2G21-017] The IEC 61851-1 SUT adapter for EVCC testing shall provide a function to set current CP fre-
quency in hertz [Hz]. A value of 1 000 Hz ± 5 % shall be supported. Other values are optional.
[V2G21-018] The IEC 61851-1 SUT adapter for EVCC testing shall provide a function to switch on/off the
CP line to simulate an un-plug or plug-in for the SUT. State A or the associated voltage level
shall be supported. Another voltage level is optional.
6.3.3 ISO 15118-20 SUT adapter
[V2G21-019] The ISO 15118-20 SUT adapter as shown in Figure 2 shall send/receive the encoded SDP
requests/responses through UDP messages to/from the SUT as specified in ISO 15118-20.
[V2G21-020] The ISO 15118-20 SUT as shown in Figure 2 adapter shall send/receive the encoded V2G
messages through a TLS connection to/from the SUT as specified in ISO 15118-20.
[V2G21-021] The ISO 15118-20 SUT adapter as shown in Figure 2 shall support internal control messages
for TLS connection management.
NOTE 1 The TCP/TLS connection management includes the following functionalities:
a) control for TCP/TLS port disconnection handling;
b) control for receiving information / status on a given TCP/TLS connection;
c) notification of TCP connection status events;
d) notification of TLS Handshake status events.
[V2G21-022] The ISO 15118-20 SUT adapter as shown in Figure 2 shall provide additional parameters for
TCP and TLS connection configuration.
NOTE 2 The TCP/TLS connection configuration includes the following functionalities:
a) configuration for IP address and port;
b) configuration for usage of security (TCP/TLS);
c) configuration for cipherSuite;
d) configuration for TLS protocol version;
e) configuration for TLS certificate.
6.3.4 ISO 15118-3 SUT adapter
[V2G21-023] For an HPGP-based SUT the ISO 15118-3 SUT adapter as shown in Figure 2 shall be imple-
mented in accordance with ISO 15118-5:2018, 6.3.
NOTE 1 Applicability of ISO 15118-3 SUT adapter depends on underlying test configuration as specified in
subclause 7.3.2
6.3.5 ISO 15118-8 SUT adapter
[V2G21-024] For a WLAN-based SUT the ISO 15118-8 SUT adapter as shown in Figure 2 shall be imple-
mented in accordance with ISO 15118-9:2022, 6.3.
NOTE 1 Applicability of ISO 15118-8 SUT adapter depends on underlying test configuration as specified in
subclause 7.3.2
6.4 Codecs
A codec is responsible for the external encoding and decoding of the TS’s internal data representation into
bit strings suitable to be sent to the SUT. The test execution (TE) determines which codec shall be used and
passes the TS’s data representation into the appropriate encoder to obtain the encoded data. Received data
is decoded in this entity by using the appropriate decoder, which translates the received data into TS’s data
representation that can be matched against expected values or templates.
[V2G21-025] All codecs in this document shall follow the principles of the TCI-CD interface as specified
in ETSI ES 201 873-6 V4.13.1:2022, 7.3.2.
NOTE 1 For conformance testing in this document, the V2G-EXI, SDP, V2GTP, and security codecs (see Figure 2) are
used to encode or decode messages consumable by the tester into bit strings/signals consumable by the SUT.
NOTE 2 The exact implementation of these codecs is beyond the scope of this document.
[V2G21-026] The V2G-EXI codec shall encode message values of the TS into corresponding EXI streams
in accordance with ISO 15118-20:2022, 7.9.1.
[V2G21-027] The security codec shall encode message values of the TS for X.509 Certificates into a cor-
responding Base64 representation suitable for EXI streams in accordance with ISO 15118-
20:2022, 7.9.2.
[V2G21-028] The V2G-EXI codec shall decode EXI streams in accordance with ISO 15118-20:2022, 7.9.1
into message values of the TS.
[V2G21-029] The V2G-EXI codec shall validate decoded EXI streams for correct grammar according to
the XML schema specified in ISO 15118-20 and indicate a fault if a decoded EXI stream is
not well-formed.
[V2G21-030] The security codec shall decode Base64 representation of X.509 certificates from EXI streams
and decode DER representation in accordance with ISO 15118-20:2022, 7.9.2 into message
values of the TS for X.509 certificates.
---------------------
...
Norme
internationale
ISO 15118-21
Première édition
Véhicules routiers — Interface de
2025-09
communication entre véhicule et
réseau électrique —
Partie 21:
Plan de test de conformité aux
exigences communes de la couche
réseau et de la couche application
de 2ème génération
Road vehicles — Vehicle to grid communication interface —
Part 21: Common 2nd generation network layer and application
layer requirements conformance test plan
Numéro de référence
DOCUMENT PROTÉGÉ PAR COPYRIGHT
© ISO 2025
Tous droits réservés. Sauf prescription différente ou nécessité dans le contexte de sa mise en œuvre, aucune partie de cette
publication ne peut être reproduite ni utilisée sous quelque forme que ce soit et par aucun procédé, électronique ou mécanique,
y compris la photocopie, ou la diffusion sur l’internet ou sur un intranet, sans autorisation écrite préalable. Une autorisation peut
être demandée à l’ISO à l’adresse ci-après ou au comité membre de l’ISO dans le pays du demandeur.
ISO copyright office
Case postale 401 • Ch. de Blandonnet 8
CH-1214 Vernier, Genève
Tél.: +41 22 749 01 11
E-mail: copyright@iso.org
Web: www.iso.org
Publié en Suisse
ii
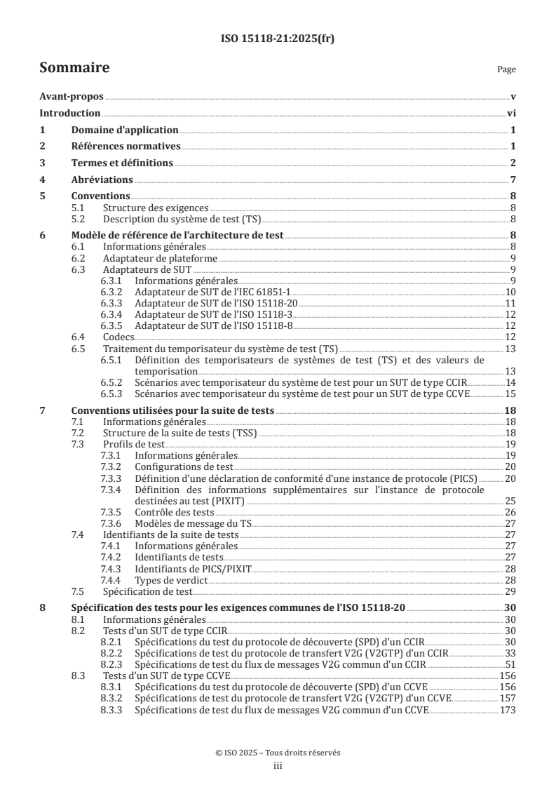
Sommaire Page
Avant-propos .v
Introduction .vi
1 Domaine d'application . 1
2 Références normatives . 1
3 Termes et définitions . 2
4 Abréviations . 7
5 Conventions . 8
5.1 Structure des exigences .8
5.2 Description du système de test (TS) .8
6 Modèle de référence de l'architecture de test . 8
6.1 Informations générales .8
6.2 Adaptateur de plateforme .9
6.3 Adaptateurs de SUT .9
6.3.1 Informations générales.9
6.3.2 Adaptateur de SUT de l'IEC 61851-1 .10
6.3.3 Adaptateur de SUT de l'ISO 15118-20 .11
6.3.4 Adaptateur de SUT de l'ISO 15118-3 . 12
6.3.5 Adaptateur de SUT de l'ISO 15118-8 . 12
6.4 Codecs . . 12
6.5 Traitement du temporisateur du système de test (TS) . 13
6.5.1 Définition des temporisateurs de systèmes de test (TS) et des valeurs de
temporisation . 13
6.5.2 Scénarios avec temporisateur du système de test pour un SUT de type CCIR.14
6.5.3 Scénarios avec temporisateur du système de test pour un SUT de type CCVE . 15
7 Conventions utilisées pour la suite de tests .18
7.1 Informations générales .18
7.2 Structure de la suite de tests (TSS) .18
7.3 Profils de test .19
7.3.1 Informations générales.19
7.3.2 Configurations de test . 20
7.3.3 Définition d'une déclaration de conformité d'une instance de protocole (PICS) . 20
7.3.4 Définition des informations supplémentaires sur l'instance de protocole
destinées au test (PIXIT) . 25
7.3.5 Contrôle des tests . 26
7.3.6 Modèles de message du TS . .27
7.4 Identifiants de la suite de tests .27
7.4.1 Informations générales.27
7.4.2 Identifiants de tests .27
7.4.3 Identifiants de PICS/PIXIT . . 28
7.4.4 Types de verdict . 28
7.5 Spécification de test . 29
8 Spécification des tests pour les exigences communes de l'ISO 15118-20 .30
8.1 Informations générales . 30
8.2 Tests d'un SUT de type CCIR. 30
8.2.1 Spécifications du test du protocole de découverte (SPD) d'un CCIR . 30
8.2.2 Spécifications de test du protocole de transfert V2G (V2GTP) d'un CCIR . 33
8.2.3 Spécifications de test du flux de messages V2G commun d'un CCIR .51
8.3 Tests d'un SUT de type CCVE . 156
8.3.1 Spécifications du test du protocole de découverte (SPD) d'un CCVE . 156
8.3.2 Spécifications de test du protocole de transfert V2G (V2GTP) d'un CCVE . 157
8.3.3 Spécifications de test du flux de messages V2G commun d'un CCVE . 173
iii
Annexe A (informative) Périmètre de la suite de tests .273
Annexe B (normative) Modèles de messages du système de test pour un SUT de type CCVE .311
Annexe C (normative) Modèles de messages du système de test pour un SUT de type CCIR .319
Annexe D (normative) Fonctions du système de test concernant les éléments de données
dynamiques dans les modèles de message .327
Bibliographie .332
iv
Avant-propos
L'ISO (Organisation internationale de normalisation) et l'IEC (Commission électrotechnique internationale)
forment le système spécialisé de la normalisation mondiale. Les organismes nationaux membres de l'ISO ou
de l'IEC participent au développement de Normes internationales par l'intermédiaire des comités techniques
créés par l'organisation concernée afin de s'occuper des domaines particuliers de l'activité technique.
Les comités techniques de l'ISO et de l'IEC collaborent dans des domaines d'intérêt commun. D'autres
organisations internationales, gouvernementales et non gouvernementales, en liaison avec l'ISO et l'IEC,
participent également aux travaux.
Les procédures utilisées pour élaborer le présent document et celles destinées à sa mise à jour sont
décrites dans les Directives ISO/IEC, Partie 1. Il convient, en particulier, de prendre note des différents
critères d'approbation requis pour les différents types de documents ISO. Le présent document
a été rédigé conformément aux règles de rédaction données dans les Directives ISO/IEC, Partie 2
(voir www.iso.org/directives ou www.iec.ch/members_experts/refdocs).
L'ISO et l'IEC attirent l'attention sur le fait que la mise en application du présent document peut entraîner
l'utilisation d'un ou de plusieurs brevets. L'ISO et l'IEC ne prennent pas position quant à la preuve, à la validité
et à l'applicabilité de tout droit de propriété revendiqué à cet égard. À la date de publication du présent
document, l'ISO et l'IEC n'avaient pas reçu notification qu'un ou plusieurs brevets pouvaient être nécessaires
à sa mise en application. Toutefois, il y a lieu d'avertir les responsables de la mise en application du présent
document que des informations plus récentes sont susceptibles de figurer dans la base de données de
brevets, disponible aux adresses www.iso.org/patents et https://patents.iec.ch. L'ISO et l'IEC ne sauraient
être tenues pour responsables de ne pas avoir identifié de tels droits de propriété.
Les appellations commerciales éventuellement mentionnées dans le présent document sont données pour
information, par souci de commodité, à l'intention des utilisateurs et ne sauraient constituer un engagement.
Pour une explication de la nature volontaire des normes, la signification des termes et expressions
spécifiques de l'ISO liés à l'évaluation de la conformité, ou pour toute information au sujet de l'adhésion de
l'ISO aux principes de l'Organisation mondiale du commerce (OMC) concernant les obstacles techniques
au commerce (OTC), voir le lien suivant: www.iso.org/iso/foreword.html. Dans l'IEC, voir le lien suivant:
www.iec.ch/understanding-standards.
Le présent document a été élaboré conjointement par le comité technique ISO/TC 22, Véhicules routiers, sous-
comité SC 31, Communication de données, et par le comité technique IEC/TC 69, Véhicules électriques destinés
à circuler sur la voie publique et chariots de manutention électriques, en collaboration avec le comité technique
CEN/TC 301, Véhicules routiers, du Comité européen de normalisation (CEN) conformément à l'Accord de
coopération technique entre l'ISO et le CEN (Accord de Vienne).
Une liste de toutes les parties de la série ISO 15118 se trouve sur les sites web de l'ISO et de l'IEC.
Il convient que l'utilisateur adresse tout retour d'information ou toute question concernant le présent
document à l'organisme national de normalisation de son pays. Une liste exhaustive desdits organismes se
trouve aux adresses www.iso.org/members.html et www.iec.ch/national-committees.
v
Introduction
En raison des exigences relatives aux couches réseau et application de 2ème génération pour l'interface de
communication entre véhicule et réseau électrique spécifiées dans l'ISO 15118-20, il est nécessaire de définir
un ensemble correspondant de tests élémentaires abstraits pour vérifier la conformité des implémentations.
De ce fait, le présent document définit donc une suite de tests de conformité pour les protocoles des couches
réseau et application de 2ème génération afin d'établir une base commune pour les tests de conformité.
Cette suite de tests constitue un prérequis pour les tests d'interopérabilité ultérieurs. Étant donné que
les tests d'interopérabilité impliquent également la logique d'application réelle d'une implémentation, ces
tests ne relèvent pas du domaine d'application du présent document (voir NOTE 1). Par conséquent, le
présent document traite plus particulièrement des aspects de l'interface de communication et des exigences
correspondantes spécifiées dans la norme ISO 15118-20 uniquement.
La structure en couches des documents relatifs aux tests de conformité, en référence à l'ISO 15118-20, est
représentée dans la Figure 1. L'ensemble complet des documents relatifs aux tests de conformité pertinents
par type de charge est constitué de tous les documents de la colonne correspondante dans la Figure 1.
Figure 1 — Vue d'ensemble des plans de tests de conformité pertinents pour la norme ISO 15118-20
par type de charge
EXEMPLE Pour un SUT permettant la charge en courant continu, les documents de planification des tests de
conformité s'appliquent:
— plan de test de conformité aux exigences communes de la couche réseau et de la couche application (présent
document);
— plan de test de conformité aux exigences communes de sécurité;
— plan de test de conformité aux exigences spécifiques à la couche réseau et à la couche application en CA/CC (seul
un sous-ensemble spécifique au courant continu s'applique).
vi
NOTE 1 En raison de limites techniques, il n'est pas possible de spécifier une suite de tests exhaustive, à cela
s'ajoutent des motifs d'ordre budgétaire qui peuvent également restreindre les tests. Le présent document a donc
pour but d'augmenter la probabilité que différentes implémentations puissent fonctionner de manière interopérable.
Pour vérifier ces implémentations, une suite de tests de protocole est ainsi spécifiée afin de garantir la conformité de
chaque implémentation à la spécification du protocole. Cependant, la suite de tests de protocole spécifiée ne peut pas
garantir la conformité d'une implémentation à la spécification, car ces tests visent davantage à détecter les erreurs
potentielles que leur absence. La conformité à une seule suite de tests ne peut donc pas garantir l'interopérabilité
des implémentations. Néanmoins, ces tests permettent de s'assurer qu'une implémentation conforme possède les
capacités requises et que son comportement est conforme et cohérent dans toutes les instances de communication
représentatives des conditions réelles.
NOTE 2 Le présent document se rapporte généralement au SUT plutôt qu'à l'implémentation sous test (IUT) du fait
du paradigme du test de boîte noire adopté dans le présent document et des processus de certification associés.
NOTE 3 Le présent document entretient des liens avec les tests de conformité spécifiés dans l'ISO 15118-5 et
l'ISO 15118-9, qui résultent des dépendances entre les couches ISO/OSI dans la spécification de protocole sous-jacente
(par exemple, en mode veille).
vii
Norme internationale ISO 15118-21:2025(fr)
Véhicules routiers — Interface de communication entre
véhicule et réseau électrique —
Partie 21:
Plan de test de conformité aux exigences communes de la
couche réseau et de la couche application de 2ème génération
1 Domaine d'application
Le présent document spécifie les tests de conformité sous la forme d'une suite de tests abstraite (ATS) pour
un système sous test (SUT) comportant un contrôleur de communication de véhicule électrique (CCVE) ou
un contrôleur de communication de l'infrastructure de recharge (CCIR), pour toutes les exigences communes
spécifiées dans l'ISO 15118-20 qui sont indépendantes d'un type de charge particulier (CA, CC, DCA, TPSF).
Ces tests de conformité spécifient les tests de capacités et de comportements d'un SUT, puis vérifient les
résultats obtenus par rapport aux conditions de conformité définies dans l'ISO 15118-20 et aux capacités
d'implémentation du SUT définies par l'implémenteur.
Les tests de capacités définis dans la suite de tests abstraite (ATS) vérifient que les capacités observables
sur le SUT respectent les conditions de conformité statique spécifiées dans la norme ISO 15118-20. Les tests
de comportement de la suite de tests abstraite (ATS) examinent en détail une implémentation donnée dans
l'ensemble des conditions de conformité dynamique spécifiées dans la norme ISO 15118-20, ainsi que dans
les limites des capacités du SUT.
Une architecture de test est décrite sur la base de la suite de tests abstraite (ATS). Les tests élémentaires
abstraits définis dans le présent document sont décrits sur la base de cette architecture de test et
sont spécifiés sous la forme de tableaux descriptifs couvrant les couches ISO/OSI 3 à 7 (couches réseau/
application).
Le présent document ne couvre que les sections normatives et les exigences de l'ISO 15118-20. Le présent
document renvoie également vers des tests spécifiques pour les exigences relatives aux normes citées (par
exemple, les RFC de l'IETF, les recommandations W3C) si ces tests présentent un intérêt pour la conformité
des implémentations conformément à l'ISO 15118-20. Toutefois, le présent document n'a pas pour objet
d'élargir le domaine d'application de cette spécification de conformité à de telles normes externes, si cela
n'est pas techniquement nécessaire pour les tests de conformité conformément à l'ISO 15118-20. En outre,
les tests de conformité spécifiés dans le présent document n'incluent pas l'évaluation des performances,
de la robustesse ou de la fiabilité d'une implémentation. Ces tests ne peuvent pas évaluer l'implémentation
physique des primitives de services abstraites, la manière dont est implémenté un système, la manière
dont celui-ci fournit un service demandé, ou l'environnement d'implémentation du protocole. Par ailleurs,
les tests élémentaires abstraits spécifiés dans le présent document couvrent uniquement le protocole de
communication et le comportement du système spécifiés par l'ISO 15118-20. Le flux de puissance entre
l'IRVE et le VE n'est pas un prérequis pour les tests spécifiés dans le présent document.
2 Références normatives
Les documents suivants sont cités dans le texte de sorte qu'ils constituent, pour tout ou partie de leur
contenu, des exigences du présent document. Pour les références datées, seule l'édition citée s'applique. Pour
les références non datées, la dernière édition du document de référence s'applique (y compris les éventuels
amendements).
ISO 15118-1, Véhicules routiers — Interface de communication entre véhicule et réseau électrique — Partie 1:
Informations générales et définition de cas d'utilisation
ISO 15118-3, Véhicules routiers — Interface de communication entre véhicule et réseau électrique — Partie 3:
Exigences relatives à la couche physique et à la couche liaison de données
ISO 15118-5:2018, Véhicules routiers — Interface de communication entre véhicule et réseau électrique —
Partie 5: Essai de conformité relatif à la couche physique et à la couche liaison de données
ISO 15118-8, Véhicules routiers — Interface de communication entre véhicule et réseau électrique — Partie 8:
Exigences relatives à la couche physique et à la couche de liaison pour la communication sans fil
ISO 15118-9:2022, Véhicules routiers — Interface de communication entre véhicule et réseau électrique —
Partie 9: Essai de conformité relatif à la couche physique et à la couche liaison de données pour la communication
sans-fil
ISO 15118-20:2022, Véhicules routiers — Interface de communication entre véhicule et réseau électrique —
Partie 20: Exigences des couches réseau et application de 2ème génération
IEC 61851-1:2017, Système de charge conductive pour véhicules électriques — Partie 1: Exigences générales
IEC 61851-23, Système de charge conductive pour véhicules électriques — Partie 23: Borne de charge en courant
continu pour véhicules électriques
1)
ETSI ES 201 873-5 V4.9.1 , Methods for Testing and Specification (MTS) — The Testing and Test Control
Notation version 3 — Part 5: TTCN-3 Runtime Interface (TRI) (April 2022) (disponible seulement en anglais)
2)
ETSI ES 201 873-6 V4.13.1 , Methods for Testing and Specification (MTS) — The Testing and Test Control
Notation version 3 — Part 6: TTCN-3 Control Interface (TCI) (April 2022) (disponible seulement en anglais)
3 Termes et définitions
Pour les besoins du présent document, les termes et définitions de l'ISO 15118-1, l'ISO 15118-3, l'ISO 15118-8,
l'ISO 15118-20 ainsi que les suivants s'appliquent.
L'ISO et l'IEC tiennent à jour des bases de données terminologiques destinées à être utilisées en normalisation,
consultables aux adresses suivantes:
— ISO Online browsing platform: disponible à l'adresse https:// www .iso .org/ obp
— IEC Electropedia: disponible à l'adresse https:// www .electropedia .org/
3.1
test élémentaire abstrait
spécification complète et indépendante des actions nécessaires afin de réaliser l'objectif du test spécifique
(3.25)
Note 1 à l'article: Voir l'ITU-T X.290.
Note 2 à l'article: Cette spécification est définie au niveau d'abstraction d'une méthode de test abstraite particulière.
Il commence et finit dans un état de test stable. Cette spécification peut mettre en jeu une ou plusieurs connexions
consécutives ou simultanées.
Note 3 à l'article: Cette spécification est complète, en ce sens qu'elle est suffisante pour permettre de rendre un verdict
de test (3.29) dépourvu d'ambiguïté sur chaque résultat de test potentiellement observable (c'est-à-dire à la suite de
chaque séquence d'événements de test).
Note 4 à l'article: Cette spécification est indépendante, en ce sens qu'il est possible d'exécuter le test élémentaire
exécutable dérivé (3.7), indépendamment des autres tests élémentaires de cette nature (c'est-à-dire que cette
spécification implique toujours la possibilité de lancement et de fin dans l'état de «repos»).
1) Disponible à l'adresse https:// www .etsi .org/ deliver/ etsi _es/ 201800 _201899/ 20187305/ 04 .09 .01 _60/ es
_20187305v040901p .pdf.
2) Disponible à l'adresse https:// www .etsi .org/ deliver/ etsi _es/ 201800 _201899/ 20187306/ 04 .13 .01 _60/ es
_20187306v041301p .pdf.
3.2
suite de tests abstraite
ATS
ensemble de tests élémentaires abstraits (3.1) associés à une spécification d'exigences donnée
Note 1 à l'article: Voir l'ITU-T X.290.
3.3
test de boîte noire
méthode de test qui examine le comportement d'un système sous test (SUT) (3.20), sans prendre en compte
l'implémentation et la structure internes du SUT, en considérant l'interface ouverte du SUT pour les tests
3.4
condition de conformité
exigence relative à l'implémentation d'un système ouvert réel qui est déclaré conforme à la ou aux
spécifications pertinentes qui peuvent être validées par un test de boîte noire (3.3)
Note 1 à l'article: L'ensemble des conditions de conformité définissent collectivement le comportement du système et
de sa communication. La conformité d'un système ouvert réel s'exprime donc à deux niveaux: la conformité à chaque
condition et la conformité à l'ensemble des conditions. Dans le présent document, les tests de conformité applicables
incluent des exigences sous réserve qu'elles puissent être validées par un test de boîte noire.
Note 2 à l'article: Voir aussi conditions de conformité statique (3.19) et conditions de conformité dynamique (3.6).
Note 3 à l'article: Les conditions relatives à cette spécification de conformité sont spécifiées dans la norme
ISO 15118-20.
3.5
implémentation conforme
système sous test (3.20) qui satisfait à la fois aux conditions de conformité statique (3.19) et aux conditions
de conformité dynamique (3.6) cohérentes avec les capacités indiquées dans les déclarations de conformité
d'instance de protocole (3.16)
Note 1 à l'article: Voir l'ITU-T X.290.
3.6
condition de conformité dynamique
condition qui spécifie le comportement observable admis par la ou les spécifications applicables dans les
instances de communication
Note 1 à l'article: Voir l'ITU-T X.290.
Note 2 à l'article: Les conditions relatives à cette spécification de conformité sont spécifiées dans la norme
ISO 15118-20.
3.7
test élémentaire exécutable
réalisation d'un test élémentaire abstrait (3.1)
Note 1 à l'article: Voir l'ITU-T X.290.
3.8
comportement prévu
réponse exacte du système sous test (3.20), conformément à la spécification de protocole sous-jacente, au
stimulus défini dans le comportement de test (3.21)
3.9
déclaration de conformité d'une application
ICS
déclaration faite par le fournisseur d'une application ou d'un système sous test (3.20) qui déclare se conformer
à une spécification donnée, qui précise les capacités mises en œuvre
Note 1 à l'article: Voir l'ITU-T X.290.
Note 2 à l'article: Le document donné pour cette spécification de conformité est la norme ISO 15118-20.
3.10
informations supplémentaires sur l'application concernant le test
IXIT
déclaration faite par le fournisseur ou l'implémenteur d'un système sous test (SUT) (3.20), qui contient toutes
les informations [en plus de celles fournies dans la déclaration de conformité d'application (3.9)] concernant
le SUT et son environnement de test, ou qui y renvoie, et qui permet au laboratoire de test d'exécuter une
suite de tests appropriée sur ce SUT
Note 1 à l'article: Voir l'ITU-T X.290.
3.11
implémentation sous test
IUT
implémentation d'un ou de plusieurs protocoles d'interconnexion des systèmes ouverts dans une relation
utilisateur/fournisseur adjacente, faisant partie d'un système ouvert réel, qui doit être étudiée par le biais
d'un test
Note 1 à l'article: Voir l'ITU-T X.290.
3.12
composante de test principale
MTC
seule composante de test d'une configuration de composantes de test qui est responsable de la création et
du contrôle des composantes de test parallèles (3.13) ainsi que du calcul et de l'affectation du verdict de test
(3.29)
Note 1 à l'article: Voir l'ITU-T X.292.
3.13
composante de test parallèle
PTC
composante de test créée par la composante de test principale (3.12)
Note 1 à l'article: Voir l'ITU-T X.292.
3.14
condition finale
étapes de test nécessaires pour définir la transition du SUT à la fin du comportement de test (3.21) jusqu'à
l'état final stable pour le test élémentaire abstrait (3.1)
3.15
condition préalable
étapes de test nécessaires pour définir la transition entre l'état stable de départ du test élémentaire abstrait
(3.1) et l'état initial à partir duquel le comportement de test (3.21) est exécuté
3.16
déclaration de conformité d'une instance de protocole
PICS
déclaration de conformité d'une application (3.9) d'une implémentation ou d'un système déclaré conforme à
une spécification de protocole donnée
Note 1 à l'article: Voir l'ITU-T X.290.
Note 2 à l'article: Le document de protocole donné pour cette spécification de conformité est la norme ISO 15118-20.
3.17
informations supplémentaires sur l'instance de protocole destinées au test
PIXIT
informations supplémentaires sur l'application concernant le test (3.10) relative aux tests de conformité d'une
spécification de protocole donnée
Note 1 à l'article: Voir l'ITU-T X.290.
Note 2 à l'article: Le document de protocole donné pour cette spécification de conformité est la norme ISO 15118-20.
3.18
environnement d'exécution
environnement qui décrit le système d'exploitation et les exigences correspondantes touchant la plateforme
d'un système
3.19
condition de conformité statique
condition qui spécifie les limites imposées à la combinaison de capacités mises en œuvre admise dans un
système ouvert réel déclaré conforme aux spécifications concernées
Note 1 à l'article: Voir l'ITU-T X.290.
Note 2 à l'article: Les conditions relatives à cette spécification de conformité sont spécifiées dans la norme
ISO 15118-20.
3.20
système sous test
SUT
système ouvert réel où réside l'implémentation sous test (3.11)
Note 1 à l'article: Voir l'ITU-T X.290.
3.21
comportement de test
ensemble d'étapes de test (corps du test) visant à réaliser l'objectif du test (3.25) et à rendre des verdicts
(3.29) en fonction des résultats possibles
3.22
interface de contrôle des tests
TCI
quatre interfaces qui définissent les interactions de l'exécutable TTCN-3 avec la gestion des tests, le codage
et le décodage, le traitement de la composante de test et la journalisation dans un système de test (3.26)
Note 1 à l'article: Voir ETSI ES 201 873-6 V4.13.1.
3.23
exécution des tests
TE
interprétation ou exécution d'une suite de tests abstraite (3.2)
Note 1 à l'article: Sur le plan conceptuel, la partie «exécution des tests» peut être décomposée en trois entités
interdépendantes: la suite de tests exécutables, le cadre des tests (3.24 et un système de codage/décodage interne
facultatif.
Note 2 à l'article: Voir ETSI ES 201 873-5 V4.9.1.
3.24
cadre des tests
TFW
entité chargée d'effectuer toutes les actions des tests élémentaires exécutables (3.7) ou des fonctions
Note 1 à l'article: Le cadre des tests interagit avec les entités «gestion des tests», «adaptateur du système sous test»
et «adaptateur de plateforme» par l'intermédiaire de l'interface de contrôle des tests (3.22) et l'interface d'exécution des
tests (3.27). Il gère également la suite de tests exécutables (ETS) et les entités du système de codage/décodage (EDS).
Le cadre des tests initialise les adaptateurs ainsi que les entités «suite de tests exécutables» (ETS) et «système de
codage/décodage» (EDS). Cette entité effectue toutes les actions nécessaires pour démarrer correctement l'exécution
d'un test ou d'une fonction, au moyen des paramètres figurant dans l'entité «suite de tests exécutables» (ETS). Il
interroge l'entité «gestion des tests» pour obtenir les valeurs de paramètres du module requises par la suite de tests
exécutables (ETS) et lui transmet des informations de journalisation. Il recueille et résout également les verdicts (3.29)
correspondants, qui sont retournés par l'entité «suite de tests exécutables» (ETS).
Note 2 à l'article: Voir également ETSI ES 201 873-5 V4.9.1.
Note 3 à l'article: Le présent document utilise le système d'exécution du cadre des tests TTCN-3 pour expliquer les
fonctionnalités du cadre des tests.
3.25
objectif du test
description simple d'un objectif de test strictement défini, centré sur une seule condition de conformité
statique (3.19), ou bien une seule condition de conformité dynamique (3.6), ou bien un ensemble de conditions
de conformité indiqué dans la spécification appropriée relative à l'OSI
Note 1 à l'article: Voir l'ITU-T X.290.
EXEMPLE Vérification de l'acceptation d'une valeur spécifique d'un paramètre donné.
3.26
système de test
système réel qui combine le cadre des tests (3.24) la suite de tests abstraite (3.2), l'exécution des tests (3.23),
ainsi que les adaptateurs et les codecs
Note 1 à l'article: Généralement, le système de test contient également un environnement d'exécution (3.18) commun
basé sur un système d'exploitation.
3.27
interface d'exécution des tests
TRI
deux interfaces qui définissent les interactions de l'exécutable TTCN-3 entre le système sous test (3.20) et
l'adaptateur de plateforme et l'adaptateur de système dans un système de test (3.26)
Note 1 à l'article: Voir ETSI ES 201 873-6 V4.13.1.
3.28
interface du système de test
TSI
composante de test qui associe les ports disponibles dans le système de test (3.26) TTCN-3 (abstrait) et les
ports présents sur un système de test réel
Note 1 à l'article: Voir ETSI ES 201 873-6 V4.13.1.
3.29
verdict
verdict d'un test
jugement «pass» (succès), «fail» (échec) ou «inconclusive / inconc» (non concluant) spécifié dans le test
élémentaire abstrait (3.1), sur la conformité d'un système sous test (3.20) lorsqu'un test élémentaire a été
exécuté
Note 1 à l'article: Voir l'ITU-T X.290.
4 Abréviations
Pour les besoins du présent document, les abréviations suivantes s'appliquent.
PA point d'accès (sans fil)
APUT (access point under test) point d'accès sous test
ATS (abstract test suite) suite de tests abstraite
PC pilote de commande
ETT (energy transfer types) types de transfert d'énergie
VE véhicule électrique
CCVE contrôleur de communication de véhicule électrique
IRVE infrastructure de recharge pour véhicules électriques
EXI (efficient XML interchange) échange XML efficace
HAL (hardware abstraction layer) couche d'abstraction matérielle
HPGP Homeplug Green PHY
ICS (implementation conformance statement) déclaration de conformité d'une application
IUT (implementation under test) implémentation sous test
IXIT (implementation extra information for informations supplémentaires sur l'application
testing) concernant le test
MTC (main test component) composante de test principale
PICS (protocol implementation conformance state- déclaration de conformité d'une instance de proto-
ment) cole
PIXIT (protocol implementation extra informations supplémentaires sur l'instance de pro-
information for testing) tocole destinées au test
PLC (power line communication) communication par courant porteur
PP pilote de proximité
PTC (parallel test component) composante de test parallèle
SDP (session description protocol) protocole de découverte de CCIR
CCIR contrôleur de communication de l'infrastructure de
recharge
STA (station) borne (sans fil)
STAUT (station under test) borne sous test
SUT (system under test) système sous test
TC (test case) test
TCI (test control interface) interface de contrôle des tests
TCI-CD codage et décodage TCI
TE (test execution) exécution des tests
TRI (TTCN-3 runtime interface) interface d'exécution des tests TTCN-3
TS (test system) système de test
TSS (test suite structure) structure de la suite de tests
TTCN-3 (testing and test control notation notation des tests et de contrôle des tests version 3
version 3)
UDP (user datagram protocol) protocole de datagramme utilisateur
V2G véhicule à réseau
WLAN (wireless local area network) réseau local sans fil
5 Conventions
5.1 Structure des exigences
Le présent document utilise un identifiant numérique unique par condition. Cette structure d'exigences
facilite le suivi et la gestion des exigences. Le format suivant est utilisé dans l'ensemble du présent document:
'[V2G'Y'-'XXX']' Formulation de l'exigence
Où:
— «V2G» représente la série ISO 15118;
— «Y» représente la partie du document de la série ISO 15118, où le présent document Y = 21;
— «XXX» représente le numéro de l'exigence;
— «formulation de l'exigence» correspond au texte décrivant l'exigence.
5.2 Description du système de test (TS)
Le présent document utilise le système TTCN-3 pour spécifier l'architecture du système de test et les
conventions applicables à la suite de tests abstraite. Toutefois, le système TTCN-3 n'est pas obligatoire pour
l'implémentation d'un système de test de conformité conformément au présent document.
[V2G21-001] Les implémenteurs des tests de conformité doivent vérifier que les objectifs de tests
implémentés dans leurs tests élémentaires exécutables sont identiques aux tests élémen-
taires abstraits décrits dans le présent document.
NOTE Dans le présent document, les tests ne sont pas définis selon les termes de programmation utilisés dans le
langage de base TTNC-3.
6 Modèle de référence de l'architecture de test
6.1 Informations générales
La Figure 2 fournit une vue d'ensemble de l'architecture de test dans le cadre du présent document. Les
paragraphes 6.2, 6.3 et 6.4 spécifient les exigences d'interface de la Figure 2 pour les adaptateurs de
plateforme, les adaptateurs de SUT et tous les codecs applicables.
Figure 2 — Modèle de référence de l'architecture de test
6.2 Adaptateur de plateforme
L'adaptateur de plateforme du système de test supervise les temporisateurs et les fonctions externes. Outre
les temporisateurs, qui sont généralement fournis avec le cadre des tests, aucune fonction externe n'est
spécifiée pour le présent document.
[V2G21-002] L'adaptateur de plateforme du système de test doit respecter les principes des interfaces
TriCommunicationSA et TriCommunicationTE (voir TRI à la Figure 2) spécifiés dans l'ETSI
ES 201 873-5 V4.9.1:2022, 6.5.3.
6.3 Adaptateurs de SUT
6.3.1 Informations générales
L'adaptateur de SUT du système de test adapte les opérations de communication TTCN-3 au SUT sur la base
d'une interface du système de test abstrait et implémente l'interface du système de test réel. Il assure la
diffusion des demandes de messages et des appels de procédures entre la partie «exécution des tests» (voir
la Figure 2) et le SUT, et remonte à la partie «exécution des tests» tout événement de test reçu.
[V2G21-003] Tout adaptateur de SUT du système de test doit implémenter les interfaces TriCommunica-
tionSA et TriCommunicationTE (voir TRI à la Figure 2) spécifiés dans l'ETSI ES 201 873-5
V4.9.1:2022, 6.5.2.
NOTE L'implémentation réelle de ces adaptateurs ne relève pas du domaine d'application du présent document.
6.3.2 Adaptateur de SUT de l'IEC 61851-1
L'adaptateur de SUT de l'IEC 61851-1 implémente une composante de test parallèle (PTC) pour la signalisation
du pilote de commande (PC) et du pilote de proximité (PP) spécifiée dans l'IEC 61851-1:2017, Annexe A. Il
commande et/ou surveille en permanence la tension positive (état), la fréquence, le cycle de service et la
valeur de résistance de proximité pendant toute l'exécution des tests, par rapport à la plage des valeurs
valides spécifiée dans l'IEC 61851-1:2017, Annexe A.
[V2G21-004] L'adaptateur de SUT de l'IEC 61851-1 représenté à la Figure 2 doit adapter ses fonctions
comme spécifié dans les paragraphes 6.3.2.1 à 6.3.2.3 au signal PC ou PP.
NOTE 1 L'adaptateur de SUT de l'IEC 61851-1 inclut un composant matériel pour ces adaptations. Les exigences
électriques correspondantes concernant la ligne PC ou PP, telles que la précision, la résolution ou la largeur de bande
de mesure, etc., ne relèvent pas du domaine d'application du présent document. Pour de plus amples informations sur
ces exigences, voir l'IEC 61851-1:2017, Annexe A et Référence [3].
NOTE 2 Pour les systèmes de charge en courant alternatif, les exigences d'application sous-jacentes applicables
au PC et au PP et prises en considération dans le présent document sont spécifiées dans l'IEC 61851-1.
NOTE 3 Pour les systèmes de charge en courant continu, les exigences d'application sous-jacentes applicables au PC
et au PP et prises en considération dans le présent document sont spécifiées dans l'IEC 61851-1 et l'IEC 61851-23.
NOTE 4 L'applicabilité de l'adaptateur de SUT de l'IEC 61851-1 dépend de la configuration d'essai sous-jacente
spécifiée en 7.3.2.
6.3.2.1 Exigences applicables à l'adaptateur de SUT de l'IEC 61851-1 pour les tests du CCIR ou du
CCVE
[V2G21-005] L'adaptateur de SUT de l'IEC 61851-1 destiné aux tests du CCIR ou du CCVE doit disposer
d'une fonction permettant de définir l'état du PC actuel ou le niveau de tension associé.
[V2G21-006] L'adaptateur de SUT de l'IEC 61851-1 destiné aux tests du CCIR ou du CCVE doit disposer
d'une fonction de rappel via la PTC signalant tout événement de modification de l'état
du PC actuel ou du niveau de tension associé.
[V2G21-007] L'adaptateur de SUT de l'IEC 61851-1 destiné aux tests du CCIR ou du CCVE doit disposer
d'une fonction permettant de définir le PP côté SUT.
[V2G21-008] L'adaptateur de SUT de l'IEC 61851-1 destiné aux tests du CCIR ou du CCVE doit disposer
d'une fonction permettant d'obtenir la valeur de résistance du PP côté SUT.
[V2G21-009] L'adaptateur de SUT de l'IEC 61851-1 destiné aux tests du CCIR ou du CCVE doit disposer
d'une fonction de rappel via la PTC, signalant tout événement de modification de la valeur
de résistance du PP côté SUT.
[V2G21-010] L'adaptateur de SUT de l'IEC 61851-1 destiné aux tests du CCIR ou du CCVE doit disposer
d'une fonction permettant d'obtenir le cycle de service du PC en pourcentage.
[V2G21-011] L'adaptateur de SUT de l'IEC 61851-1 destin
...
TC /SC ISO 15118-21:2025(fr)
Première édition
2025-09
Date: 2026-01-16
TC /SC /GT
Secrétariat:
Type du document:
Sous-type du document:
Stade du document:
Langue du document:
DOCUMENT PROTÉGÉ PAR COPYRIGHT
Droits de reproductionVéhicules routiers — Interface de
communication entre véhicule et réseau électrique —
Partie 21:
Plan de test de conformité aux exigences communes de la couche
réseau et de la couche application de 2ème génération
Road vehicles — Vehicle to grid communication interface —
Part 21: Common 2nd generation network layer and application layer requirements conformance test plan
Type du document:
Sous-type du document:
Stade du document:
Langue du document:
Tous droits réservés. Sauf indication contraireprescription différente ou nécessité dans le contexte de sa mise en oeuvre,
aucune partie de cette publication ne peut être reproduite ni utilisée sous quelque forme que ce soit et par aucun procédé,
électronique ou mécanique, y compris la photocopie, l’affichageou la diffusion sur l’internet ou sur un Intranetintranet,
sans autorisation écrite préalable. Les demandes d’autorisation peuventUne autorisation peut être adresséesdemandée
à l’ISO à l’adresse ci-après ou au comité membre de l’ISO dans le pays du demandeur.
ISO copyright office
CP 401 • Ch. de Blandonnet 8 • CP 401
CH-1214 Vernier, Geneva, Switzerland
Tel. Phone: + 41 22 749 01 11
Fax + 41 22 749 09 47
E-mail: copyright@iso.org
Website: www.iso.orgwww.iso.org
Publié en Suisse
iii
Sommaire Page
Avant-propos . v
Introduction . vi
1 Domaine d'application . 1
2 Références normatives . 1
3 Termes et définitions . 2
4 Abréviations . 7
5 Conventions . 8
5.1 Structure des exigences . 8
5.2 Description du système de test (TS) . 9
6 Modèle de référence de l'architecture de test . 9
6.1 Informations générales . 9
6.2 Adaptateur de plateforme . 11
6.3 Adaptateurs de SUT . 11
6.4 Codecs . 13
6.5 Traitement du temporisateur du système de test (TS) . 14
7 Conventions utilisées pour la suite de tests . 26
7.1 Informations générales . 26
7.2 Structure de la suite de tests (TSS) . 26
7.3 Profils de test . 28
7.4 Identifiants de la suite de tests . 37
7.5 Spécification de test . 38
8 Spécification des tests pour les exigences communes de l'ISO 15118-20 . 39
8.1 Informations générales . 39
8.2 Tests d'un SUT de type CCIR . 39
8.3 Tests d'un SUT de type CCVE . 177
Annexe A (informative) Périmètre de la suite de tests . 296
Annexe B (normative) Modèles de messages du système de test pour un SUT de type CCVE. 327
Annexe C (normative) Modèles de messages du système de test pour un SUT de type CCIR . 336
Annexe D (normative) Fonctions du système de test concernant les éléments de données
dynamiques dans les modèles de message . 345
Bibliographie . 351
iv
Avant-propos
L'ISO (Organisation internationale de normalisation) et l'IEC (Commission électrotechnique internationale)
forment le système spécialisé de la normalisation mondiale. Les organismes nationaux membres de l'ISO ou
de l'IEC participent au développement de Normes internationales par l'intermédiaire des comités techniques
créés par l'organisation concernée afin de s'occuper des domaines particuliers de l'activité technique. Les
comités techniques de l'ISO et de l'IEC collaborent dans des domaines d'intérêt commun. D'autres
organisations internationales, gouvernementales et non gouvernementales, en liaison avec l'ISO et l'IEC,
participent également aux travaux.
Les procédures utilisées pour élaborer le présent document et celles destinées à sa mise à jour sont décrites
dans les Directives ISO/IEC, Partie 1. Il convient, en particulier, de prendre note des différents critères
d'approbation requis pour les différents types de documents ISO. Le présent document a été rédigé
conformément aux règles de rédaction données dans les Directives ISO/IEC, Partie 2
(voir www.iso.org/directives ou www.iec.ch/members_experts/refdocs).
L'ISO et l'IEC attirent l'attention sur le fait que la mise en application du présent document peut entraîner
l'utilisation d'un ou de plusieurs brevets. L'ISO et l'IEC ne prennent pas position quant à la preuve, à la validité
et à l'applicabilité de tout droit de propriété revendiqué à cet égard. À la date de publication du présent
document, l'ISO et l'IEC n'avaient pas reçu notification qu'un ou plusieurs brevets pouvaient être nécessaires
à sa mise en application. Toutefois, il y a lieu d'avertir les responsables de la mise en application du présent
document que des informations plus récentes sont susceptibles de figurer dans la base de données de brevets,
disponible aux adresses www.iso.org/patents et https://patents.iec.ch. L'ISO et l'IEC ne sauraient être tenues
pour responsables de ne pas avoir identifié de tels droits de propriété.
Les appellations commerciales éventuellement mentionnées dans le présent document sont données pour
information, par souci de commodité, à l'intention des utilisateurs et ne sauraient constituer un engagement.
Pour une explication de la nature volontaire des normes, la signification des termes et expressions spécifiques
de l'ISO liés à l'évaluation de la conformité, ou pour toute information au sujet de l'adhésion de l'ISO aux
principes de l'Organisation mondiale du commerce (OMC) concernant les obstacles techniques au commerce
(OTC), voir le lien suivant: www.iso.org/iso/foreword.html. Dans l'IEC, voir le lien suivant:
www.iec.ch/understanding-standards.
Le présent document a été établiélaboré conjointement par le comité technique ISO/TC 22, Véhicules routiers,
sous-comité SC 31, Communication de données, et par le comité technique IEC/TC 69, Véhicules électriques
destinés à circuler sur la voie publique et chariots de manutention électriques, en collaboration avec le
Comitécomité technique CEN/TC 301, Véhicules routiers, du Comité européen de normalisation (CEN),
Véhicules routiers,) conformément à l'Accord de coopération technique entre l'ISO et le CEN (Accord de
Vienne).
Une liste de toutes les parties de la série ISO 15118 se trouve sur le siteles sites web de l'ISO et de l'IEC.
Il convient que l'utilisateur adresse tout retour d'information ou toute question concernant le présent
document à l'organisme national de normalisation de son pays. Une liste exhaustive desdits organismes se
trouve aux adresses www.iso.org/members.html et www.iec.ch/national-committees.
v
Introduction
En raison des exigences relatives aux couches réseau et application de 2ème génération pour l'interface de
communication entre véhicule et réseau électrique spécifiées dans l'ISO 15118-20, il est nécessaire de définir
un ensemble correspondant de tests élémentaires abstraits pour vérifier la conformité des implémentations.
De ce fait, le présent document définit donc une suite de tests de conformité pour les protocoles des couches
réseau et application de 2ème génération afin d'établir une base commune pour les tests de conformité. Cette
suite de tests constitue un prérequis pour les tests d'interopérabilité ultérieurs. Étant donné que les tests
d'interopérabilité impliquent également la logique d'application réelle d'une implémentation, ces tests ne
relèvent pas du domaine d'application du présent document (voir NOTE 1). Par conséquent, le présent
document traite plus particulièrement des aspects de l'interface de communication et des exigences
correspondantes spécifiées dans la norme ISO 15118-20 uniquement.
La structure en couches des documents relatifs aux tests de conformité, en référence à l'ISO 15118-20, est
représentée dans la Figure 1. L'ensemble complet des documents relatifs aux tests de conformité pertinents
par type de charge est constitué de tous les documents de la colonne correspondante dans la Figure 1.
vi
Figure 1 — Vue d'ensemble des plans de tests de conformité pertinents pour la norme ISO 15118-20
par type de charge
EXEMPLE Pour un SUT permettant la charge en courant continu, les documents de planification des tests de
conformité s'appliquent:
— plan de test de conformité aux exigences communes de la couche réseau et de la couche application (présent
document) ;);
— plan de test de conformité aux exigences communes de sécurité;
— plan de test de conformité aux exigences spécifiques à la couche réseau et à la couche application en CA/CC (seul un
sous-ensemble spécifique au courant continu s'applique).
vii
NOTE 1 En raison de limites techniques, il n'est pas possible de spécifier une suite de tests exhaustive, à cela s'ajoutent
des motifs d'ordre budgétaire qui peuvent également restreindre les tests. Le présent document a donc pour but
d'augmenter la probabilité que différentes implémentations puissent fonctionner de manière interopérable. Pour vérifier
ces implémentations, une suite de tests de protocole est ainsi spécifiée afin de garantir la conformité de chaque
implémentation à la spécification du protocole. Cependant, la suite de tests de protocole spécifiée ne peut pas garantir la
conformité d'une implémentation à la spécification, car ces tests visent davantage à détecter les erreurs potentielles que
leur absence. La conformité à une seule suite de tests ne peut donc pas garantir l'interopérabilité des implémentations.
Néanmoins, ces tests permettent de s'assurer qu'une implémentation conforme possède les capacités requises et que son
comportement est conforme et cohérent dans toutes les instances de communication représentatives des conditions
réelles.
NOTE 2 Le présent document se rapporte généralement au SUT plutôt qu'à l'implémentation sous test (IUT) du fait
du paradigme du test de boîte noire adopté dans le présent document et des processus de certification associés.
NOTE 3 Le présent document entretient des liens avec les tests de conformité spécifiés dans l'ISO 15118-5 et
l'ISO 15118-9, qui résultent des dépendances entre les couches ISO/OSI dans la spécification de protocole sous-jacente
(par exemple, en mode veille).
viii
Véhicules routiers — Interface de communication entre véhicule et
réseau électrique —
Partie 21:
Plan de test de conformité aux exigences communes de la couche
réseau et de la couche application de 2ème génération
1 Domaine d'application
Le présent document spécifie les tests de conformité sous la forme d'une suite de tests abstraite (ATS) pour
un système sous test (SUT) comportant un contrôleur de communication de véhicule électrique (CCVE) ou un
contrôleur de communication de l'infrastructure de recharge (CCIR), pour toutes les exigences communes
spécifiées dans l'ISO 15118-20 qui sont indépendantes d'un type de charge particulier (CA, CC, DCA, TPSF).
Ces tests de conformité spécifient les tests de capacités et de comportements d'un SUT, puis vérifient les
résultats obtenus par rapport aux conditions de conformité définies dans l'ISO 15118-20 et aux capacités
d'implémentation du SUT définies par l'implémenteur.
Les tests de capacités définis dans la suite de tests abstraite (ATS) vérifient que les capacités observables sur
le SUT respectent les conditions de conformité statique spécifiées dans la norme ISO 15118-20. Les tests de
comportement de la suite de tests abstraite (ATS) examinent en détail une implémentation donnée dans
l'ensemble des conditions de conformité dynamique spécifiées dans la norme ISO 15118-20, ainsi que dans
les limites des capacités du SUT.
Une architecture de test est décrite sur la base de la suite de tests abstraite (ATS). Les tests élémentaires
abstraits définis dans le présent document sont décrits sur la base de cette architecture de test et sont spécifiés
sous la forme de tableaux descriptifs couvrant les couches ISO/OSI 3 à 7 (couches réseau/application).
Le présent document ne couvre que les sections normatives et les exigences de l'ISO 15118-20. Le présent
document renvoie également vers des tests spécifiques pour les exigences relatives aux normes citées (par
exemple, les RFC de l'IETF, les recommandations W3C) si ces tests présentent un intérêt pour la conformité
des implémentations conformément à l'ISO 15118-20. Toutefois, le présent document n'a pas pour objet
d'élargir le domaine d'application de cette spécification de conformité à de telles normes externes, si cela n'est
pas techniquement nécessaire pour les tests de conformité conformément à l'ISO 15118-20. En outre, les tests
de conformité spécifiés dans le présent document n'incluent pas l'évaluation des performances, de la
robustesse ou de la fiabilité d'une implémentation. Ces tests ne peuvent pas évaluer l'implémentation
physique des primitives de services abstraites, la manière dont est implémenté un système, la manière dont
celui-ci fournit un service demandé, ou l'environnement d'implémentation du protocole. Par ailleurs, les tests
élémentaires abstraits spécifiés dans le présent document couvrent uniquement le protocole de
communication et le comportement du système spécifiés par l'ISO 15118-20. Le flux de puissance entre l'IRVE
et le VE n'est pas un prérequis pour les tests spécifiés dans le présent document.
2 Références normatives
Les documents suivants sont cités dans le texte de sorte qu'ils constituent, pour tout ou partie de leur contenu,
des exigences du présent document. Pour les références datées, seule l'édition citée s'applique. Pour les
références non datées, la dernière édition du document de référence s'applique (y compris les éventuels
amendements).
ISO 15118-1, Véhicules routiers ― — Interface de communication entre véhicule et réseau électrique ― — Partie
1: Informations générales et définition de cas d'utilisation
ISO 15118-3, Véhicules routiers ― — Interface de communication entre véhicule et réseau électrique ― — Partie
3: Exigences relatives à la couche physique et à la couche liaison de données
ISO 15118-5:2018, Véhicules routiers — Interface de communication entre véhicule et réseau électrique —
Partie 5: Essai de conformité relatif à la couche physique et à la couche liaison de données
ISO 15118-8, Véhicules routiers ― — Interface de communication entre véhicule et réseau électrique ― — Partie
8: Exigences relatives à la couche physique et à la couche de liaison de données pour la communication sans fil
ISO 15118-9:2022, Véhicules routiers — Interface de communication entre véhicule et réseau électrique —
Partie 9: Essai de conformité relatif à la couche physique et à la couche liaison de données pour la communication
sans-fil
ISO 15118-20:2022, Véhicules routiers — Interface de communication entre véhicule et réseau électrique —
Partie 20: Exigences des couches réseau et application de 2ème génération
IEC 61851-1:2017, Système de charge conductive pour véhicules électriques — Partie 1: Exigences générales
IEC 61851-23, Système de charge conductive pour véhicules électriques — Partie 23: Borne de charge en courant
continu pour véhicules électriques
1)
ETSI ES 201 873-5 V4.9.1 , Methods for Testing and Specification (MTS) — The Testing and Test Control
Notation version 3 — Part 5: TTCN-3 Runtime Interface (TRI) (April 2022) (disponible seulement en anglais)
2)
ETSI ES 201 873-6 V4.13.1 , Methods for Testing and Specification (MTS) — The Testing and Test Control
Notation version 3 — Part 6: TTCN-3 Control Interface (TCI) (April 2022) (disponible seulement en anglais)
3 Termes et définitions
Pour les besoins du présent document, les termes et définitions de l'ISO 15118-1, l'ISO 15118-3, l'ISO 15118-
8, l'ISO 15118-20 ainsi que les suivants s'appliquent.
L'ISO et l'IEC tiennent à jour des bases de données terminologiques destinées à être utilisées en normalisation,
consultables aux adresses suivantes:
— ISO Online browsing platform: disponible à l'adresse https://www.iso.org/obp
— IEC Electropedia: disponible à l'adresse https://www.electropedia.org//
3.1
test élémentaire abstrait
spécification complète et indépendante des actions nécessaires afin de réaliser l'objectif du test spécifique
(3.25)
Note 1 à l'article: Voir l'ITU-T X.290.
1)
Disponible à l'adresse
.https://www.etsi.org/deliver/etsi_es/201800_201899/20187305/04.09.01_60/es_20187305v040901p.pdf.
2)
Disponible à l'adresse
.https://www.etsi.org/deliver/etsi_es/201800_201899/20187306/04.13.01_60/es_20187306v041301p.pdf.
Note 2 à l'article: Cette spécification est définie au niveau d'abstraction d'une méthode de test abstraite particulière. Il
commence et finit dans un état de test stable. Cette spécification peut mettre en jeu une ou plusieurs connexions
consécutives ou simultanées.
Note 3 à l'article: Cette spécification est complète, en ce sens qu'elle est suffisante pour permettre de rendre un verdict
de test (3.29) dépourvu d'ambiguïté sur chaque résultat de test potentiellement observable (c'est-à-dire à la suite de
chaque séquence d'événements de test).
Note 4 à l'article: Cette spécification est indépendante, en ce sens qu'il est possible d'exécuter le test élémentaire
exécutable dérivé (3.7), indépendamment des autres tests élémentaires de cette nature (c'est-à-dire que cette
spécification implique toujours la possibilité de lancement et de fin dans l'état de «repos»).
3.2
suite de tests abstraite
ATS
ensemble de tests élémentaires abstraits (3.1) associés à une spécification d'exigences donnée
Note 1 à l'article: Voir l'ITU-T X.290.
3.3
test de boîte noire
méthode de test qui examine le comportement d'un système sous test (SUT) (3.20), sans prendre en compte
l'implémentation et la structure internes du SUT, en considérant l'interface ouverte du SUT pour les tests
3.4
condition de conformité
exigence relative à l'implémentation d'un système ouvert réel qui est déclaré conforme à la ou aux
spécifications pertinentes qui peuvent être validées par un test de boîte noire (3.3)
Note 1 à l'article: L'ensemble des conditions de conformité définissent collectivement le comportement du système et de
sa communication. La conformité d'un système ouvert réel s'exprime donc à deux niveaux: la conformité à chaque
condition et la conformité à l'ensemble des conditions. Dans le présent document, les tests de conformité applicables
incluent des exigences sous réserve qu'elles puissent être validées par un test de boîte noire.
Note 2 à l'article: Voir aussi conditions de conformité statique (3.19) et conditions de conformité dynamique (3.6).
Note 3 à l'article: Les conditions relatives à cette spécification de conformité sont spécifiées dans la norme ISO 15118-
20.
3.5
implémentation conforme
système sous test (3.20) qui satisfait à la fois aux conditions de conformité statique (3.19) et aux conditions de
conformité dynamique (3.6) cohérentes avec les capacités indiquées dans les déclarations de conformité
d'instance de protocole (3.16)
Note 1 à l'article: Voir l'ITU-T X.290.
3.6
condition de conformité dynamique
condition qui spécifie le comportement observable admis par la ou les spécifications applicables dans les
instances de communication
Note 1 à l'article: Voir l'ITU-T X.290.
Note 2 à l'article: Les conditions relatives à cette spécification de conformité sont spécifiées dans la norme ISO 15118-
20.
3.7
test élémentaire exécutable
réalisation d'un test élémentaire abstrait (3.1)
Note 1 à l'article: Voir l'ITU-T X.290.
3.8
comportement prévu
réponse exacte du système sous test (3.20), conformément à la spécification de protocole sous-jacente, au
stimulus défini dans le comportement de test (3.21)
3.9
déclaration de conformité d'une application
ICS
déclaration faite par le fournisseur d'une application ou d'un système sous test (3.20) qui déclare se conformer
à une spécification donnée, qui précise les capacités mises en œuvre
Note 1 à l'article: Voir l'ITU-T X.290.
Note 2 à l'article: Le document donné pour cette spécification de conformité est la norme ISO 15118-20.
3.10
informations supplémentaires sur l'application concernant le test
IXIT
déclaration faite par le fournisseur ou l'implémenteur d'un système sous test (SUT) (3.20), qui contient toutes
les informations [en plus de celles fournies dans la déclaration de conformité d'application (3.9)] concernant
le SUT et son environnement de test, ou qui y renvoie, et qui permet au laboratoire de test d'exécuter une suite
de tests appropriée sur ce SUT
Note 1 à l'article: Voir l'ITU-T X.290.
3.11
implémentation sous test
IUT
implémentation d'un ou de plusieurs protocoles d'interconnexion des systèmes ouverts dans une relation
utilisateur/fournisseur adjacente, faisant partie d'un système ouvert réel, qui doit être étudiée par le biais
d'un test
Note 1 à l'article: Voir l'ITU-T X.290.
3.12
composante de test principale
MTC
seule composante de test d'une configuration de composantes de test qui est responsable de la création et du
contrôle des composantes de test parallèles (3.13) ainsi que du calcul et de l'affectation du verdict de test (3.29)
Note 1 à l'article: Voir l'ITU-T X.292.
3.13
composante de test parallèle
PTC
composante de test créée par la composante de test principale (3.12)
Note 1 à l'article: Voir l'ITU-T X.292.
3.14
condition finale
étapes de test nécessaires pour définir la transition du SUT à la fin du comportement de test (3.21) jusqu'à
l'état final stable pour le test élémentaire abstrait (3.1)
3.15
condition préalable
étapes de test nécessaires pour définir la transition entre l'état stable de départ du test élémentaire abstrait
(3.1) et l'état initial à partir duquel le comportement de test (3.21) est exécuté
3.16
déclaration de conformité d'une instance de protocole
PICS
déclaration de conformité d'une application (3.9) d'une implémentation ou d'un système déclaré conforme à
une spécification de protocole donnée
Note 1 à l'article: Voir l'ITU-T X.290.
Note 2 à l'article: Le document de protocole donné pour cette spécification de conformité est la norme ISO 15118-20.
3.17
informations supplémentaires sur l'instance de protocole destinées au test
PIXIT
informations supplémentaires sur l'application concernant le test (3.10) relative aux tests de conformité d'une
spécification de protocole donnée
Note 1 à l'article: Voir l'ITU-T X.290.
Note 2 à l'article: Le document de protocole donné pour cette spécification de conformité est la norme ISO 15118-20.
3.18
environnement d'exécution
environnement qui décrit le système d'exploitation et les exigences correspondantes touchant la plateforme
d'un système
3.19
condition de conformité statique
condition qui spécifie les limites imposées à la combinaison de capacités mises en œuvre admise dans un
système ouvert réel déclaré conforme aux spécifications concernées
Note 1 à l'article: Voir l'ITU-T X.290.
Note 2 à l'article: Les conditions relatives à cette spécification de conformité sont spécifiées dans la norme ISO 15118-
20.
3.20
système sous test
SUT
système ouvert réel où réside l'implémentation sous test (3.11)
Note 1 à l'article: Voir l'ITU-T X.290.
3.21
comportement de test
ensemble d'étapes de test (corps du test) visant à réaliser l'objectif du test (3.25) et à rendre des verdicts (3.29)
en fonction des résultats possibles
3.22
interface de contrôle des tests
TCI
quatre interfaces qui définissent les interactions de l'exécutable TTCN-3 avec la gestion des tests, le codage et
le décodage, le traitement de la composante de test et la journalisation dans un système de test (3.26)
Note 1 à l'article: Voir ETSI ES 201 873-6 V4.13.1.
3.23
exécution des tests
TE
interprétation ou exécution d'une suite de tests abstraite (3.2)
Note 1 à l'article: Sur le plan conceptuel, la partie «exécution des tests» peut être décomposée en trois entités
interdépendantes: la suite de tests exécutables, le cadre des tests ((3.24 et un système de codage/décodage interne
facultatif.
Note 2 à l'article: Voir ETSI ES 201 873-5 V4.9.1.
3.24
cadre des tests
TFW
entité chargée d'effectuer toutes les actions des tests élémentaires exécutables (3.7) ou des fonctions
Note 1 à l'article: Le cadre des tests interagit avec les entités «gestion des tests », « », «adaptateur du système sous test»
et «adaptateur de plateforme» par l'intermédiaire de l'interface de contrôle des tests (3.22) et l'interface d'exécution des
tests (3.27). Il gère également la suite de tests exécutables (ETS) et les entités du système de codage/décodage (EDS). Le
cadre des tests initialise les adaptateurs ainsi que les entités «suite de tests exécutables» (ETS) et «système de
codage/décodage» (EDS). Cette entité effectue toutes les actions nécessaires pour démarrer correctement l'exécution
d'un test ou d'une fonction, au moyen des paramètres figurant dans l'entité «suite de tests exécutables» (ETS). Il interroge
l'entité «gestion des tests» pour obtenir les valeurs de paramètres du module requises par la suite de tests exécutables
(ETS) et lui transmet des informations de journalisation. Il recueille et résout également les verdicts (3.29)
correspondants, qui sont retournés par l'entité «suite de tests exécutables» (ETS).
Note 2 à l'article: Voir également ETSI ES 201 873-5 V4.9.1.
Note 3 à l'article: Le présent document utilise le système d'exécution du cadre des tests TTCN-3 pour expliquer les
fonctionnalités du cadre des tests.
3.25
objectif du test
description simple d'un objectif de test strictement défini, centré sur une seule condition de conformité statique
(3.19), ou bien une seule condition de conformité dynamique (3.6), ou bien un ensemble de conditions de
conformité indiqué dans la spécification appropriée relative à l'OSI
Note 1 à l'article: Voir l'ITU-T X.290.
EXEMPLE Vérification de l'acceptation d'une valeur spécifique d'un paramètre donné.
3.26
système de test
système réel qui combine le cadre des tests (3.24) la suite de tests abstraite (3.2), l'exécution des tests (3.23),
ainsi que les adaptateurs et les codecs
Note 1 à l'article: Généralement, le système de test contient également un environnement d'exécution (3.18) commun
basé sur un système d'exploitation.
3.27
interface d'exécution des tests
TRI
deux interfaces qui définissent les interactions de l'exécutable TTCN-3 entre le système sous test (3.20) et
l'adaptateur de plateforme et l'adaptateur de système dans un système de test (3.26)
Note 1 à l'article: Voir ETSI ES 201 873-6 V4.13.1.
3.28
interface du système de test
TSI
composante de test qui associe les ports disponibles dans le système de test (3.26) TTCN-3 (abstrait) et les
ports présents sur un système de test réel
Note 1 à l'article: Voir ETSI ES 201 873-6 V4.13.1.
3.29
verdict
verdict d'un test
jugement «pass» (succès), «fail» (échec) ou «inconclusive / inconc» (non concluant) spécifié dans le test
élémentaire abstrait (3.1), sur la conformité d'un système sous test (3.20) lorsqu'un test élémentaire a été
exécuté
Note 1 à l'article: Voir l'ITU-T X.290.
4 Abréviations
Pour les besoins du présent document, les abréviations suivantes s'appliquent.
PA point d'accès (sans fil)
APUT (Access Point Under Testaccess point under point d'accès sous test
test)
ATS (Abstract Test Suiteabstract test suite) suite de tests abstraite
PC pilote de commande
ETT (Energy Transfer Typesenergy transfer types) types de transfert d'énergie
VE véhicule électrique
CCVE contrôleur de communication de véhicule électrique
IRVE infrastructure de recharge pour véhicules électriques
EXI (Efficientefficient XML Interchangeinterchange) échange XML efficace
HAL (Hardware Abstraction Layerhardware couche d'abstraction matérielle
abstraction layer)
HPGP Homeplug Green PHY
ICS (Implementation Conformance déclaration de conformité d'une application
Statementimplementation conformance statement)
IUT (Implementation Under Testimplementation implémentation sous test
under test)
IXIT (Implementation eXtra informations supplémentaires sur l'application
Informationimplementation extra information for concernant le test
Testing
testing)
MTC (Main Test Componentmain test component) composante de test principale
PICS (Protocol Implementation Conformance déclaration de conformité d'une instance de protocole
Statementprotocol implementation conformance
statement)
PIXIT (Protocol Implementation Extra Information informations supplémentaires sur l'instance de
For Testing)PIXIT (protocol implementation extra protocole destinées au test
information for testing)
PLC (Power Line Communicationpower line communication par courant porteur
communication)
PP pilote de proximité
PTC (Parallel Test Componentparallel test composante de test parallèle
component)
SDP (Session Description Protocolsession description protocole de découverte de CCIR
protocol)
CCIR contrôleur de communication de l'infrastructure de
recharge
STA (Stationstation) borne (sans fil)
STAUT (Station Under Teststation under test) borne sous test
SUT (System Under Testsystem under test) système sous test
TC (Test Casetest case) test
TCI (Test Control Interfacetest control interface) interface de contrôle des tests
TCI-CD codage et décodage TCI
TE (Test Executiontest execution) exécution des tests
TRI (TTCN-3 Runtime Interfaceruntime interface) interface d'exécution des tests TTCN-3
TS (Test Systemtest system) système de test
TSS (Test Suite Structuretest suite structure) structure de la suite de tests
TTCN-3 (Testingtesting and Test Control Notation test notation des tests et de contrôle des tests version 3
control notation
version 3)
UDP (User Datagram Protocoluser datagram protocol) protocole de datagramme utilisateur
V2G véhicule à réseau
WLAN (Wireless Local Area Networkwireless local réseau local sans fil
area network)
5 Conventions
5.1 Structure des exigences
Le présent document utilise un identifiant numérique unique par condition. Cette structure d'exigences facilite
le suivi et la gestion des exigences. Le format suivant est utilisé dans l'ensemble du présent document:
'[V2G'Y'-'XXX']' Formulation de l'exigence
Où:
— «V2G» représente la série ISO 15118;
— «Y» représente la partie du document de la série ISO 15118, où le présent document Y = 21;
— «XXX» représente le numéro de l'exigence;
— «formulation de l'exigence» correspond au texte décrivant l'exigence.
5.2 Description du système de test (TS)
Le présent document utilise le système TTCN-3 pour spécifier l'architecture du système de test et les
conventions applicables à la suite de tests abstraite. Toutefois, le système TTCN-3 n'est pas obligatoire pour
l'implémentation d'un système de test de conformité conformément au présent document.
[V2G21-001] Les implémenteurs des tests de conformité doivent vérifier que les objectifs de tests
implémentés dans leurs tests élémentaires exécutables sont identiques aux tests
élémentaires abstraits décrits dans le présent document.
NOTE Dans le présent document, les tests ne sont pas définis selon les termes de programmation utilisés dans le
langage de base TTNC-3.
6 Modèle de référence de l'architecture de test
6.1 Informations générales
La Figure 2 fournit une vue d'ensemble de l'architecture de test dans le cadre du présent document. Les
paragraphes paragraphes 6.2, 6.3 et 6.4 spécifient les exigences d'interface de la Figure 2 pour les adaptateurs
de plateforme, les adaptateurs de SUT et tous les codecs applicables.
Figure 2 — Modèle de référence de l'architecture de test
6.2 Adaptateur de plateforme
L'adaptateur de plateforme du système de test supervise les temporisateurs et les fonctions externes. Outre
les temporisateurs, qui sont généralement fournis avec le cadre des tests, aucune fonction externe n'est
spécifiée pour le présent document.
[V2G21-002] L'adaptateur de plateforme du système de test doit respecter les principes des interfaces
TriCommunicationSA et TriCommunicationTE (voir TRI dansà la Figure 2)) spécifiés dans
l'ETSI ES 201 873-5 V4.9.1:2022, 6.5.3.
6.3 Adaptateurs de SUT
6.3.1 Informations générales
L'adaptateur de SUT du système de test adapte les opérations de communication TTCN-3 au SUT sur la base
d'une interface du système de test abstrait et implémente l'interface du système de test réel. Il assure la
diffusion des demandes de messages et des appels de procédures entre la partie «exécution des tests» (voir la
Figure 2)) et le SUT, et remonte à la partie «exécution des tests» tout événement de test reçu.
[V2G21-003] Tout adaptateur de SUT du système de test doit implémenter les interfaces
TriCommunicationSA et TriCommunicationTE (voir TRI dansà la Figure 2)) spécifiés dans
l'ETSI ES 201 873-5 V4.9.1:2022, 6.5.2.
NOTE L'implémentation réelle de ces adaptateurs ne relève pas du domaine d'application du présent document.
6.3.2 Adaptateur de SUT de l'IEC 61851-1
L'adaptateur de SUT de l'IEC 61851-1 implémente une composante de test parallèle (PTC) pour la
signalisation du pilote de commande (PC) et du pilote de proximité (PP) spécifiée dans l'IEC 61851-1:2017,
Annexe A. Il commande et/ou surveille en permanence la tension positive (état), la fréquence, le cycle de
service et la valeur de résistance de proximité pendant toute l'exécution des tests, par rapport à la plage des
valeurs valides spécifiée dans l'IEC 61851-1:2017, Annexe A.
[V2G21-004] L'adaptateur de SUT de l'IEC 61851-1 représenté dansà la Figure 2 doit adapter ses
fonctions comme spécifié dans les paragraphes 6.3.2.1paragraphes à 6.3.2.3 au signal PC
ou PP.
NOTE 1 L'adaptateur de SUT de l'IEC 61851-1 inclut un composant matériel pour ces adaptations. Les exigences
électriques correspondantes concernant la ligne PC ou PP, telles que la précision, la résolution ou la largeur de bande de
mesure, etc., ne relèvent pas du domaine d'application du présent document. Pour de plus amples informations sur ces
exigences, voir l'IEC 61851-1:2017, Annexe A et Référence [03].
NOTE 2 Pour les systèmes de charge en courant alternatif, les exigences d'application sous-jacentes applicables au PC
et au PP et prises en considération dans le présent document sont spécifiées dans l'IEC 61851-1.
NOTE 3 Pour les systèmes de charge en courant continu, les exigences d'application sous-jacentes applicables au PC
et au PP et prises en considération dans le présent document sont spécifiées dans l'IEC 61851-1 et l'IEC 61851-23.
NOTE 4 L'applicabilité de l'adaptateur de SUT de l'IEC 61851-1 dépend de la configuration d'essai sous-jacente
spécifiée en 7.3.2.
6.3.2.1 Exigences applicables à l'adaptateur de SUT de l'IEC 61851-1 pour les tests du CCIR ou du
CCVE
[V2G21-005] L'adaptateur de SUT de l'IEC 61851-1 destiné aux tests du CCIR ou du CCVE doit disposer
d'une fonction permettant de définir l'état du PC actuel ou le niveau de tension associé.
[V2G21-006] L'adaptateur de SUT de l'IEC 61851-1 destiné aux tests du CCIR ou du CCVE doit disposer
d'une fonction de rappel via la PTC signalant tout événement de modification de l'état
du PC actuel ou du niveau de tension associé.
[V2G21-007] L'adaptateur de SUT de l'IEC 61851-1 destiné aux tests du CCIR ou du CCVE doit disposer
d'une fonction permettant de définir le PP côté SUT.
[V2G21-008] L'adaptateur de SUT de l'IEC 61851-1 destiné aux tests du CCIR ou du CCVE doit disposer
d'une fonction permettant d'obtenir la valeur de résistance du PP côté SUT.
[V2G21-009] L'adaptateur de SUT de l'IEC 61851-1 destiné aux tests du CCIR ou du CCVE doit disposer
d'une fonction de rappel via la PTC, signalant tout événement de modification de la valeur
de résistance du PP côté SUT.
[V2G21-010] L'adaptateur de SUT de l'IEC 61851-1 destiné aux tests du CCIR ou du CCVE doit disposer
d'une fonction permettant d'obtenir le cycle de service du PC en pourcentage.
[V2G21-011] L'adaptateur de SUT de l'IEC 61851-1 destiné aux tests du CCIR ou du CCVE doit disposer
d'une fonction de rappel via la PTC signalant toute modification du cycle de service du PC
en pourcentage.
[V2G21-012] L'adaptateur de SUT de l'IEC 61851-1 destiné aux tests du CCIR ou du CCVE doit disposer
d'une fonction permettant d'obtenir la fréquence du PC en Hertz.
[V2G21-013] L'adaptateur de SUT de l'IEC 61851-1 destiné aux tests du CCIR ou du CCVE doit disposer
d'une fonction de rappel via la PTC signalant tout événement de modification de la
fréquence du PC en Hertz.
6.3.2.2 Exigences applicables à l'adaptateur de SUT de l'IEC 61851-1 pour les tests du CCIR
[V2G21-014] L'adaptateur de SUT de l'IEC 61851-1 destiné aux tests du CCIR doit disposer d'une
fonction permettant de définir l'état actuel du PC ou le niveau de tension associé. Les
états B, C et D ou le niveau de tension associé doivent être pris en charge. Les autres
niveaux de tension sont facultatifs.
6.3.2.3 Exigences applicables à l'adaptateur de SUT de l'IEC 61851-1 pour les tests du CCVE
[V2G21-015] L'adaptateur de SUT de l'IEC 61851-1 destiné aux tests du CCVE doit disposer d'une
fonction permettant de définir l'état actuel du PC ou le niveau de tension associé. Les
états E et F ou le niveau de tension associé doivent être pris en charge. Les autres niveaux
de tension sont facultatifs.
[V2G21-016] L'adaptateur de SUT de l'IEC 61851-1 destiné aux tests du CCVE doit disposer d'une
fonction permettant de définir le cycle de service actuel du PC en pourcentage. Les valeurs
de 5 % et de 7 % à 98 % doivent être prises en charge. Les autres valeurs sont facultatives.
[V2G21-017] L'adaptateur de SUT de l'IEC 61851-1 destiné aux tests du CCVE doit disposer d'une
fonction permettant de définir la fréquence de courant du PC en Hertz [Hz]. Une valeur de
1 000 Hz ± 5 % doit être prise en charge. Les autres valeurs sont facultatives.
[V2G21-018] L'adaptateur de SUT de l'IEC 61851-1 destiné aux tests du CCVE doit disposer d'une
fonction permettant d'activer/de désactiver la ligne du PC afin de simuler un branchement
ou un débranchement du SUT. L'état A ou le niveau de tension associé doivent être pris en
charge. Tout autre niveau de tension est facultatif.
6.3.3 Adaptateur de SUT de l'ISO 15118-20
[V2G21-019] L'adaptateur de SUT de l'ISO 15118-20 représenté dansà la Figure 2 doit envoyer et
réceptionner les demandes/réponses SDP encodées via des messages UDP vers et depuis
le SUT comme spécifié dans l'ISO 15118-20.
[V2G21-020] L'adaptateur de SUT de l'ISO 15118-20 représenté dansà la Figure 2 doit envoyer et
recevoir les messages V2G encodés via une connexion TLS vers et depuis le SUT comme
spécifié dans l'ISO 15118-20.
[V2G21-021] L'adaptateur de SUT de l'ISO 15118-20 représenté dansà la Figure 2 doit prendre en charge
les messages de contrôle internes aux fins de gestion de la connexion TLS.
NOTE 1 La gestion de la connexion TCP/TLS comprend les fonctionnalités suivantes:
a) la commande de déconnexion du port TCP/TLS;
b) la commande de réception des informations et du statut d'une connexion TCP/TLS donnée;
c) la notification des événements d'état de la connexion TCP;
d) la notification des événements d'état de la prise de contact TLS.
[V2G21-022] L'adaptateur de SUT de l'ISO 15118-20 représenté dansà la Figure 2 doit fournir les
paramètres supplémentaires pour la configuration des connexions TCP et TLS.
NOTE 2 La configuration de la connexion TCP/TLS comprend les fonctionnalités suivantes:
a) la configuration de l'adresse IP et du port;
b) la configuration d'utilisation de la sécurit
...












Questions, Comments and Discussion
Ask us and Technical Secretary will try to provide an answer. You can facilitate discussion about the standard in here.
Loading comments...