ISO/FDIS 11783-3
(Main)Tractors and machinery for agriculture and forestry - Serial control and communications data network - Part 3: Application layer, transport layer and network layer
Tractors and machinery for agriculture and forestry - Serial control and communications data network - Part 3: Application layer, transport layer and network layer
This document specifies the application, the network layer protocols and the mapping to the controller area network (CAN) data link layer protocol as specified in ISO 11898-1. The application layer specifies protocol data units (PDU), which can be mapped to Classical CAN data frames using the Classical Extended Frame Format (CEFF). For PDUs exceeding the length of the CEFF-formatted data frames, this document specifies transport layer protocols and the mapping to CEFF-formatted data frames.
Tracteurs et matériels agricoles et forestiers — Réseaux de commande et de communication de données en série — Partie 3: Couche d'application, couche transport et couche réseau
Le présent document spécifie l'application, les protocoles de couche réseau et le mappage avec le protocole de couche de liaison de données CAN (controller area network) comme spécifié dans l'ISO 11898‑1. La couche d'application spécifie les unités de données de protocole (PDU), qui peuvent être mappées aux trames de données CAN classiques à l'aide du format CEFF (Classical Extended Frame Format). Pour les PDU dépassant la longueur des trames de données formatées CEFF, ce document spécifie les protocoles de la couche transport et le mappage aux trames de données formatées CEFF.
General Information
- Status
- Not Published
- Technical Committee
- ISO/TC 23/SC 19 - Agricultural electronics
- Drafting Committee
- ISO/TC 23/SC 19/WG 5 - Communication infrastructures
- Current Stage
- 5020 - FDIS ballot initiated: 2 months. Proof sent to secretariat
- Start Date
- 09-Dec-2025
- Completion Date
- 09-Dec-2025
Relations
- Effective Date
- 29-Jun-2024
Overview
ISO/FDIS 11783-3:2025, titled "Tractors and machinery for agriculture and forestry - Serial control and communications data network - Part 3: Application layer, transport layer and network layer", is an international standard developed by ISO Technical Committee ISO/TC 23/SC 19/WG 5. This standard specifies protocols for the application, network, and transport layers used in electronic communication for agricultural and forestry machinery.
It defines the mapping of application layer messages to the Controller Area Network (CAN) data link layer protocol as outlined in ISO 11898-1. Crucially, this part of the ISO 11783 series covers how protocol data units (PDUs) are structured and transmitted using Classical CAN data frames, including handling longer messages through transport layer protocols. The goal is to ensure interoperability, reliability, and efficient communication between electronic control units (ECUs) in tractors and related machinery.
Key Topics
Application Layer Messaging: Defines standardized Protocol Data Units (PDUs) that are used to encapsulate messages for communication. These PDUs utilize the Classical Extended Frame Format (CEFF) for CAN data frames, establishing a clear structure for message priority, addressing, and content.
Transport Layer Protocols: Specifies mechanisms for segmenting, sending, and reassembling messages that exceed the size limits of CEFF CAN frames. This includes connection management and error handling procedures ensuring reliable data transmission.
Network Layer Functions: Details addressing schemes such as Source Address (SA), Parameter Group Number (PGN), and message formats (PDU1, PDU2). This layer manages routing and prioritization of messages within the network.
Mapping to CAN Protocol: Aligns ISO 11783 application layer messages to the CAN bus protocol (ISO 11898-1), utilizing Classic CAN IDs for message identification and arbitration on the network.
Message Types and Priority: Categorizes message types such as broadcast, request/response, acknowledgements, and group functions while defining message priority and bus access arbitration for efficient communication.
Transport Protocol Connection Management: Covers both standard and extended transport protocols, ensuring session management, data transfer sequencing, and timeout handling for robust communication.
Error Detection and Handling: Establishes procedures to detect communication errors and arbitration conflicts, enhancing network reliability in demanding agricultural environments.
Applications
ISO/FDIS 11783-3:2025 is essential in the agricultural and forestry machinery sectors for:
Electronic Control Unit (ECU) Interoperability: Enables multiple ECUs from different manufacturers to communicate seamlessly over a shared CAN network, facilitating integrated machine operations.
Precision Agriculture Systems: Supports advanced data exchanges necessary for precision farming equipment, including GPS guidance, variable-rate applications, and automated controls.
Telematics and Fleet Management: Provides a standardized backbone for in-field data collection and remote monitoring systems that improve operational efficiency and maintenance.
Machine Automation and Control: Facilitates real-time control and data exchange between subsystems such as engine management, hydraulics, and implement controls.
Diagnostic and Maintenance Tools: Assists in standardized communication for fault detection, diagnostics, and software updates across agricultural machinery networks.
By adhering to this standard, manufacturers and developers ensure compatibility, reduce development complexity, and enhance the reliability of digital communication systems in agricultural and forestry machinery.
Related Standards
ISO 11898-1: Specifies the Controller Area Network (CAN) data link layer protocol, which ISO 11783-3 uses as the foundation for message framing and transmission.
ISO 11783-1: Provides an overview of the entire ISO 11783 series, including general requirements and system architecture for agricultural communication networks.
SAE J1939 Series: Defines vehicle network standards widely used in commercial vehicles and on which ISO 11783 partially bases its transport and network layer protocols.
ISO 11783-2: Covers physical layer requirements for communication buses in agricultural vehicle systems, complementing the higher-layer protocols of Part 3.
Adopting ISO/FDIS 11783-3 along with related standards supports a comprehensive, open communication system architecture for next-generation agricultural and forestry equipment, enhancing data exchange, control, and automation capabilities.
Keywords: ISO 11783-3, agricultural machinery communication, CAN protocol, application layer, transport layer, network layer, ISO 11898-1, SAE J1939, protocol data units, tractors and forestry equipment, electronic control units, precision agriculture networking.
ISO/FDIS 11783-3 - Tractors and machinery for agriculture and forestry — Serial control and communications data network — Part 3: Application layer, transport layer and network layer Released:11/25/2025
REDLINE ISO/FDIS 11783-3 - Tractors and machinery for agriculture and forestry — Serial control and communications data network — Part 3: Application layer, transport layer and network layer Released:11/25/2025
ISO/FDIS 11783-3 - Tracteurs et matériels agricoles et forestiers — Réseaux de commande et de communication de données en série — Partie 3: Couche d'application, couche transport et couche réseau Released:23. 12. 2025
Frequently Asked Questions
ISO/FDIS 11783-3 is a draft published by the International Organization for Standardization (ISO). Its full title is "Tractors and machinery for agriculture and forestry - Serial control and communications data network - Part 3: Application layer, transport layer and network layer". This standard covers: This document specifies the application, the network layer protocols and the mapping to the controller area network (CAN) data link layer protocol as specified in ISO 11898-1. The application layer specifies protocol data units (PDU), which can be mapped to Classical CAN data frames using the Classical Extended Frame Format (CEFF). For PDUs exceeding the length of the CEFF-formatted data frames, this document specifies transport layer protocols and the mapping to CEFF-formatted data frames.
This document specifies the application, the network layer protocols and the mapping to the controller area network (CAN) data link layer protocol as specified in ISO 11898-1. The application layer specifies protocol data units (PDU), which can be mapped to Classical CAN data frames using the Classical Extended Frame Format (CEFF). For PDUs exceeding the length of the CEFF-formatted data frames, this document specifies transport layer protocols and the mapping to CEFF-formatted data frames.
ISO/FDIS 11783-3 is classified under the following ICS (International Classification for Standards) categories: 35.240.99 - IT applications in other fields; 65.060.01 - Agricultural machines and equipment in general. The ICS classification helps identify the subject area and facilitates finding related standards.
ISO/FDIS 11783-3 has the following relationships with other standards: It is inter standard links to ISO 11783-3:2018. Understanding these relationships helps ensure you are using the most current and applicable version of the standard.
ISO/FDIS 11783-3 is available in PDF format for immediate download after purchase. The document can be added to your cart and obtained through the secure checkout process. Digital delivery ensures instant access to the complete standard document.
Standards Content (Sample)
FINAL DRAFT
International
Standard
ISO/TC 23/SC 19
Tractors and machinery for
Secretariat: DIN
agriculture and forestry — Serial
Voting begins on:
control and communications data
2025-12-09
network —
Voting terminates on:
2026-02-03
Part 3:
Application layer, transport layer
and network layer
Tracteurs et matériels agricoles et forestiers - Réseaux de
commande et de communication de données en série —
Partie 3: couche liaison de données
RECIPIENTS OF THIS DRAFT ARE INVITED TO SUBMIT,
WITH THEIR COMMENTS, NOTIFICATION OF ANY
RELEVANT PATENT RIGHTS OF WHICH THEY ARE AWARE
AND TO PROVIDE SUPPOR TING DOCUMENTATION.
IN ADDITION TO THEIR EVALUATION AS
BEING ACCEPTABLE FOR INDUSTRIAL, TECHNO-
LOGICAL, COMMERCIAL AND USER PURPOSES, DRAFT
INTERNATIONAL STANDARDS MAY ON OCCASION HAVE
TO BE CONSIDERED IN THE LIGHT OF THEIR POTENTIAL
TO BECOME STAN DARDS TO WHICH REFERENCE MAY BE
MADE IN NATIONAL REGULATIONS.
Reference number
FINAL DRAFT
International
Standard
ISO/TC 23/SC 19
Tractors and machinery for
Secretariat: DIN
agriculture and forestry — Serial
Voting begins on:
control and communications data
network —
Voting terminates on:
Part 3:
Application layer, transport layer
and network layer
Tracteurs et matériels agricoles et forestiers - Réseaux de
commande et de communication de données en série —
Partie 3: couche liaison de données
RECIPIENTS OF THIS DRAFT ARE INVITED TO SUBMIT,
WITH THEIR COMMENTS, NOTIFICATION OF ANY
RELEVANT PATENT RIGHTS OF WHICH THEY ARE AWARE
AND TO PROVIDE SUPPOR TING DOCUMENTATION.
© ISO 2025
IN ADDITION TO THEIR EVALUATION AS
All rights reserved. Unless otherwise specified, or required in the context of its implementation, no part of this publication may
BEING ACCEPTABLE FOR INDUSTRIAL, TECHNO-
LOGICAL, COMMERCIAL AND USER PURPOSES, DRAFT
be reproduced or utilized otherwise in any form or by any means, electronic or mechanical, including photocopying, or posting on
INTERNATIONAL STANDARDS MAY ON OCCASION HAVE
the internet or an intranet, without prior written permission. Permission can be requested from either ISO at the address below
TO BE CONSIDERED IN THE LIGHT OF THEIR POTENTIAL
or ISO’s member body in the country of the requester.
TO BECOME STAN DARDS TO WHICH REFERENCE MAY BE
MADE IN NATIONAL REGULATIONS.
ISO copyright office
CP 401 • Ch. de Blandonnet 8
CH-1214 Vernier, Geneva
Phone: +41 22 749 01 11
Email: copyright@iso.org
Website: www.iso.org
Published in Switzerland Reference number
ii
Contents Page
Foreword .v
Introduction .vi
1 Scope . 1
2 Normative references . 1
3 Terms and definitions . 1
4 Abbreviated terms . 3
5 General description . 3
6 Technical requirements . 3
6.1 Mapping of messages to CAN data frames .3
6.1.1 General requirements and recommendations .3
6.1.2 Mapping of ISO 11783 messages to CAN data frames in CEFF .4
6.1.3 Parameter group numbers (PGN) .6
6.1.4 ISO 11783 support of ISO 11898-1 data frames in CBFF .7
6.2 Protocol data unit (PDU) .7
6.2.1 General .7
6.2.2 Priority (P).8
6.2.3 Extended data page (EDP) .8
6.2.4 Data page (DP) .8
6.2.5 PDU format (PF) .9
6.2.6 PDU specific (PS) .9
6.2.7 Source address (SA) .9
6.2.8 PG data field .9
6.3 Protocol data unit (PDU) formats.10
6.3.1 General .10
6.3.2 PDU1 format .10
6.3.3 PDU2 format .11
6.4 Message types . 12
6.4.1 General . 12
6.4.2 PG command . 13
6.4.3 Request . 13
6.4.4 Broadcast/response .17
6.4.5 Acknowledgement .17
6.4.6 Group functions .19
6.4.7 Transfer .21
6.5 Message priority . 22
6.6 Bus access . 22
6.7 Contention-based arbitration . 22
6.8 Error detection . 23
6.9 Transport protocol functions . 23
6.9.1 General . 23
6.9.2 “Packetization” and reassembly . 23
6.9.3 Transport protocol — connection management .24
6.9.4 Transport protocol — connection management messages (TP.CM) . 26
6.9.5 Transport protocol — data transfer messages (TP.DT) . 30
6.9.6 Transport protocol connection constraints .31
6.10 Extended transport protocol functions .32
6.10.1 Overview .32
6.10.2 General .32
6.10.3 Message size .32
6.10.4 Extended transport protocol — connection management .32
6.10.5 Extended transport protocol — connection management messages (ETP.CM) . 34
6.10.6 Extended transport protocol — data transfer messages (ETP.DT) .37
6.10.7 Extended transport protocol — connection constraints . 38
iii
6.11 PDU processing requirements . 38
6.12 Miscellaneous provisions . 38
6.12.1 Request scheduling . 38
6.12.2 Controller response time and timeout defaults . 38
6.12.3 Required responses . 39
6.12.4 Transmission of PGs to specific or global destinations . 39
6.12.5 CTS number of packet recommendation . 40
Annex A (normative) Assignment process for SA, PG and PGN . 41
Annex B (informative) Network bandwidth utilization .44
Annex C (informative) Transport protocol transfer sequences — Examples of connection mode
data transfer .45
Annex D (informative) Communication mode examples .53
Bibliography .55
iv
Foreword
ISO (the International Organization for Standardization) is a worldwide federation of national standards
bodies (ISO member bodies). The work of preparing International Standards is normally carried out through
ISO technical committees. Each member body interested in a subject for which a technical committee
has been established has the right to be represented on that committee. International organizations,
governmental and non-governmental, in liaison with ISO, also take part in the work. ISO collaborates closely
with the International Electrotechnical Commission (IEC) on all matters of electrotechnical standardization.
The procedures used to develop this document and those intended for its further maintenance are described
in the ISO/IEC Directives, Part 1. In particular, the different approval criteria needed for the different types
of ISO document should be noted. This document was drafted in accordance with the editorial rules of the
ISO/IEC Directives, Part 2 (see www.iso.org/directives).
ISO draws attention to the possibility that the implementation of this document may involve the use of (a)
patent(s). ISO takes no position concerning the evidence, validity or applicability of any claimed patent
rights in respect thereof. As of the date of publication of this document, ISO had not received notice of (a)
patent(s) which may be required to implement this document. However, implementers are cautioned that
this may not represent the latest information, which may be obtained from the patent database available at
www.iso.org/patents. ISO shall not be held responsible for identifying any or all such patent rights.
Any trade name used in this document is information given for the convenience of users and does not
constitute an endorsement.
For an explanation of the voluntary nature of standards, the meaning of ISO specific terms and expressions
related to conformity assessment, as well as information about ISO's adherence to the World Trade
Organization (WTO) principles in the Technical Barriers to Trade (TBT), see www.iso.org/iso/foreword.html.
This document was prepared by Technical Committee ISO/TC 23, Tractors and machinery for agriculture and
forestry, Subcommittee SC 19, Agricultural electronics.
This fifth edition cancels and replaces the fourth edition (ISO 11783-3:2018), which has been technically
revised.
The main changes are as follows:
— term entries have been added in Clause 3;
— former Annex A has been deleted, and subsequent annexes have been relabelled;
— default priority has been replaced by assigned priority;
— transport protocol abort handling has been improved to unambiguously close a transport session;
— proprietary B PG has been added to data page one;
— length limit for Proprietary A and Proprietary A2 PGs have been removed;
— usage of 11-bit CAN IDs has been limited;
— a control function responding with a NACK when receiving unsupported PDU1 type messages has been
made possible.
A list of all parts in the ISO 11783 series can be found on the ISO website.
Any feedback or questions on this document should be directed to the user’s national standards body. A
complete listing of these bodies can be found at www.iso.org/members.html.
v
Introduction
The ISO 11783 series specifies a communications system for agricultural equipment based on the ISO 11898-1
1)
CAN protocol. The SAE J1939 series , on which parts of ISO 11783 series are based, were developed jointly
for use in truck and bus applications and for construction and agriculture applications. Joint documents
have been completed to allow electronic units that meet the truck and bus SAE J1939 specifications to be
used by agricultural and forestry equipment with minimal changes. General information on the ISO 11783
series can be found in ISO 11783-1.
The purpose of the ISO 11783 series is to provide an open, interconnected system for on-board electronic
systems. It is intended to enable electronic control units (ECUs) to communicate with each other, providing
a standardized system.
1) Society of automotive engineers.
vi
FINAL DRAFT International Standard ISO/FDIS 11783-3:2025(en)
Tractors and machinery for agriculture and forestry — Serial
control and communications data network —
Part 3:
Application layer, transport layer and network layer
1 Scope
This document specifies the open system interconnections (OSI) application layer, the transport, and the
network layer, as well as the mapping to the controller area network (CAN) data link layer protocol as
specified in ISO 11898-1. The application layer specifies messages, which are mapped to CAN CC data frames
using the classic extended frame format (CEFF). For messages exceeding the length of the CEFF-formatted
data frames, this document specifies transport layer and network layer protocols based on the SAE J1939-21
recommended practice.
2 Normative references
The following documents are referred to in the text in such a way that some or all of their content constitutes
requirements of this document. For dated references, only the edition cited applies. For undated references,
the latest edition of the referenced document (including any amendments) applies.
ISO 11783-1, Tractors and machinery for agriculture and forestry — Serial control and communications data
network — Part 1: General standard for mobile data communication
ISO 11783-5, Tractors and machinery for agriculture and forestry — Serial control and communications data
network — Part 5: Network management
ISO 11783-7, Tractors and machinery for agriculture and forestry — Serial control and communications data
network — Part 7: Implement messages application layer
ISO 11898-1, Road vehicles — Controller area network (CAN) — Part 1: Data link layer and physical coding
sublayer
3 Terms and definitions
For the purposes of this document, the terms and definitions given in ISO 11783-1, ISO 11898-1 and the
following apply.
ISO and IEC maintain terminological databases for use in standardization at the following addresses:
— ISO Online browsing platform: available at https:// www .iso .org/ obp
— IEC Electropedia: available at https:// www .electropedia .org/
3.1
multi-packet message
message that does not fit into the data field of a single CAN data frame (i.e. messages with more than eight
byte of parameters)
3.2
data transfer packet
packet that contains data which is part of a larger message communicated using either TP.DT or ETP.DT
3.3
request to send
RTS
message used to gain approval to send a block of data
3.4
clear to send
CTS
message used to grant approval to a sender of a block of data
3.5
group function value
GFV
unsigned eight-bit number that identifies a unique parameter or sequence of parameters in a dedicated PG
Note 1 to entry: The values follow the recommendations for one-byte parameter given in ISO 11783-7.
3.6
extended group function value
EGFV
one-, two- or three-byte number that identifies a unique parameter or sequence of parameters in a dedicated PG
Note 1 to entry: The interpretation of the values is proprietary and defined by the manufacturer.
3.7
message
protocol entity of the application layer such as parameter groups (PG)
3.8
controller area network
CAN
serial communication technology covering the data link layer and the physical coding sublayer in accordance
with ISO 11898-1 as well as the physical medium attachment (PMA) sublayer in accordance with ISO 11898-2
Note 1 to entry: There are three frame format types specified: CAN CC (classic), CAN FD (flexible data rate) and CAN
XL (extended data-field length). This document series uses only CAN CC frame formats.
Note 2 to entry: There are five PMA types specified: CAN HS (high-speed), CAN FD, CAN SIC (signal improvement
capability), CAN SIC XL, and CAN FT (fault-tolerant). This document series uses only the CAN HS type.
3.9
source address
SA
number identifying the originator CF of a message
3.10
destination address
DA
number identifying the consumer CF of a message
4 Abbreviated terms
ACK acknowledgement
CAN CC CAN classic
CAN FD CAN flexible data rate
CAN XL CAN extended data-field length
CBFF classic basic frame format
CEFF classic extended frame format
CF controller function
CRC cyclic redundancy check
DP data page
EDP extended data page
EOF end of frame
PDU protocol data unit
PF PDU format
PS PDU specific
GE group extension
GFI group function index
IDE identifier extension
N/A not appliable
RTR remote transmission request
SOF start of frame
SRR substitute remote request bit
5 General description
6 Technical requirements
6.1 Mapping of messages to CAN data frames
6.1.1 General requirements and recommendations
Messages specified in this document shall be mapped to CAN data frames in CEFF using 29-bit identifier
fields. CAN data frames in CBFF may be transmitted for proprietary purposes (for details, see 6.1.4). An ECU
conformant with this document shall not transmit CAN FD data frames and CAN XL data frames as well as
CAN remote frames.
NOTE The CAN data link layer entity sends CAN error frames and CAN overload frames as specified in ISO 11898-1.
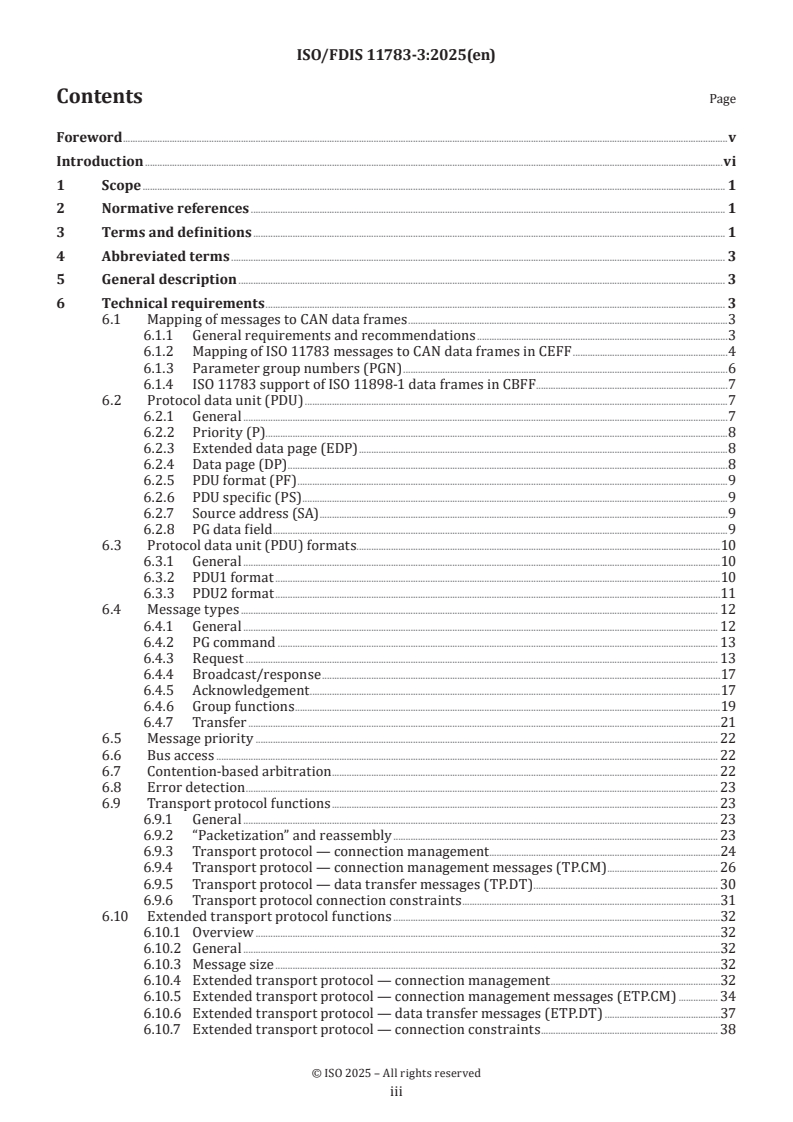
6.1.2 Mapping of ISO 11783 messages to CAN data frames in CEFF
The CEFF message, illustrated in Figure 1, encompasses a single protocol data unit (PDU). The PDU consists
of seven predefined fields, assimilated from information provided by the application layer:
— priority;
— EDP;
— DP;
— PF;
— PS, which can be DA, GE;
— SA;
— data.
See 6.2 for a detailed description of each field, and 6.3 for PDU formats.
a) CBFF
b) CEFF
Figure 1 — CAN CC data frames
The fields are then packaged into one CAN CC data frame and sent over the physical media to other network
controllers. The layers of the OSI model that ISO 11783 series supports are shown in Figure 2. It is possible
that some PG definitions require more than one CAN CC data frame in order to send their information.
Figure 2 — Application of OSI model according to ISO 11783 series
Table 1 shows the arbitration and control fields of the 29-bit identifier for CAN, 29-bit identifier for the
ISO 11783 series and 11-bit identifier for CAN, and the use of the 11-bit identifier on an ISO 11783 series-
defined network. A complete definition for each of the bit field assignments according to ISO 11783 series is
given in 6.3. In the ISO 11783 series, the CAN data frame data field is described as bytes one to eight. Byte
one’s most significant bit, bit eight, is the first bit sent closest to the data length code (DLC). Byte eight’s
least significant bit, bit one, is the last of the data bits to be sent and is closest to the cyclic redundancy check
(CRC) field. See Figure 3.
Table 1 — Mapping of ISO 11783 fields into CAN arbitration and control fields
29-bit CAN identifier 11-bit CAN identifier
CAN ISO 11783 CAN ISO 11783
ID28 P3 ID28 P3
ID27 P2 ID27 P2
ID26 P1 ID26 P1
ID25 EDP ID25 SA8
ID24 DP ID24 SA7
ID23 PF8 ID23 SA6
ID22 PF7 ID22 SA5
ID21 PF6 ID21 SA4
ID20 PF5 ID20 SA3
ID19 PF4 ID19 SA2
ID18 PF3 ID18 SA1
ID17 PF2 - -
ID16 PF1 - -
ID15 PS8 - -
ID14 PS7 - -
ID13 PS6 - -
TTabablele 1 1 ((ccoonnttiinnueuedd))
29-bit CAN identifier 11-bit CAN identifier
CAN ISO 11783 CAN ISO 11783
ID12 PS5 - -
ID11 PS4 - -
ID10 PS3 - -
ID9 PS2 - -
ID8 PS1 - -
ID7 SA8 - -
ID6 SA7 - -
ID5 SA6 - -
ID4 SA5 - -
ID3 SA4 - -
ID2 SA3 - -
ID1 SA2 - -
ID0 SA1 - -
P# Priority bit number (#) according to this document
EDP Extended data page according to this document
SA# Source address bit number (#) according to this document
DP Data page according to this document
PF# PDU format bit number (#) according to this document
PS# PDU specific bit number (#) according to this document
Figure 3 — CAN CC data field
6.1.3 Parameter group numbers (PGN)
Mapping of the 18-bit PGN in the 24-bit PG data field is done as follows.
The 24-bit value shall be sent the least significant byte (LSB) first (see Table 2), also according to which
the most significant byte (MSB) is sent third and the middle byte second and the LSB first. The 24-bit PGN
shall be determined from the following constituent components: six bit set to zero, EDP bit, DP bit, PF field
(eight bit) and PS field (eight bit).
The procedure for the bit fields to be converted to PGN is as follows.
The six most significant bits of the PGN shall be set to zero. Then the EDP bit, DP bit and PF field shall be
copied into the next 10 bit. If the PF value is less than 240 (F0 ), then the LSB of the PGN shall be set to
zero. Otherwise, it may be set to the value of the PS field. See Table 2 for an illustration of the PGN, their
corresponding bits and their conversion to a decimal number.
NOTE Not all 131 072 combinations (2 ) are available to be assigned as PGN. Only a total of 8 672 combinations
are available for assignment {calculated as: 2 pages × [240 + (16 × 256)] = 8 672}, using the conventions specified in
this document. See ISO 11783-1 for the latest PGN assignments.
Table 2 — Parameter group number examples
PGN constituent components
PGN PGN (LSB)
PGN (MSB)
Byte 2 Byte 3
Byte 1
Numbers of Cumulative
sent second sent first PGN
sent third
assignable numbers of Assigned by
in CAN data in CAN data
(hex.)
in CAN data field
PGs PGs
field field
EDP DP PF PS
Bit
8 to 3
Bit 2 Bit 1 Bit 8 to 1 Bit 8 to 1
0 0 0 0 to 238 0 000000 to 00EE00 239 239 ISO
0 0 0 239 0 00EF00 1 240 MF
0 0 0 240 to 254 0 to 255 00F000 to 00FEFF 3 840 4 080 ISO
0 0 0 255 0 to 255 00FF00 to 00FFFF 256 4 336 MF
0 0 1 0 to 238 0 010000 to 01EE00 239 4 575 ISO
0 0 1 239 0 01EF00 1 4 576 MF
0 0 1 240 to 255 0 to 255 01F000 to 01FFFF 4 096 8 672 ISO
Key
MF Manufacturer
6.1.4 ISO 11783 support of ISO 11898-1 data frames in CBFF
Controllers on the network, based on ISO 11783 series may support data frames in CBFF. Though these are
not compatible with the ISO 11783 series message structure, to accommodate the co-existence of the two
formats, a minimum level of definition is given. This minimum definition allows controllers that use this
format to reduce the interference with other controllers. CBFF messages are defined as being proprietary.
CBFF messages should not be transmitted, because of real-time and timing-behaviour impacts for the
messages standardized in ISO 11783 series. In reference to Table 1, the 11-bit CAN identifier field is parsed
as follows: the three most significant bits are used as priority bits; the eight least significant bits identify the
SA of the PDU. Priority bits are described in 6.2.2 The SA is described in 6.2.7.
Incorrect bus arbitration can occur when two messages, one base frame and one extended frame, access the
bus at the same time. The SA is a higher relative priority in the base frame messages than in the extended
frame messages. The message with an 11-bit CAN identifier (base frame) can have an SA indicating a higher
priority than that of the EDP bit, DP bit and PF of the 29-bit CAN identifier (extended frame) message. The
three priority bits should be used to achieve the correct bus arbitration.
6.2 Protocol data unit (PDU)
6.2.1 General
The protocol data unit (PDU), as specified in this document, shall consist of the seven fields listed in 6.1.2
and those specified below. These fields shall then be packaged into one or more CAN CC data frames and sent
over the physical media to other network controllers. There is only one PDU per CAN CC data frame possible.
NOTE Some PG definitions require more than one CAN CC data frame for sending the corresponding data.
Certain bits of the CAN CC data frame fields are left out of the PDU definition because they are controlled
entirely by the CAN data link layer. These include the SOF, SRR, IDE, RTR, CRC, ACK and EOF fields, and parts
of the control field.
The PDU fields (see Figure 4) are specified in 6.2.2 to 6.2.8.
Figure 4 — PDU fields
6.2.2 Priority (P)
6.2.2.1 Priority field
The three bits of the Priority field (P3, P2, P1) shall be mapped into the three highest priority CAN identifier
bits (as specified in Table 1). On the receiving CAN nodes, the Priority field shall be ignored.
The Priority field value of 000 has the highest priority and the value of 111 has the lowest priority
2 2
according to ISO 11898-1. See Annex B for additional information about on assignment of priority values to
messages.
6.2.2.2 Assigned priority
Messages with an assigned priority shall use the assigned priority.
NOTE 1 The assigned priority is intended to achieve the application-required latency for messages.
NOTE 2 Transport protocol messages (see 6.9.4, 6.9.5, 6.10.5.2 and 6.10.6) use their Assigned priority and the
Assigned priority of the transported PG is not used.
6.2.2.3 Default priority
Messages with a default priority should be sent with the priority given in Annex B. Messages with the default
priority may be sent with the priority as specified for the message.
6.2.3 Extended data page (EDP)
The EDP bit is used in conjunction with the DP bit to determine the structure of the CAN identifier of the
CAN CC data frame. The EDP bit shall be set to zero on transmitted messages. (See Table 3 for the defined
uses of the EDP and DP fields.)
6.2.4 Data page (DP)
The DP bit is used in conjunction with the EDP bit to determine the structure of the CAN identifier of the
CAN CC data frame. With the EDP bit set to zero, the DP bit selects between page zero and page one of the PG
descriptions. See Table 3.
Table 3 — Definition of extended data page (EDP) and data page (DP) use
EDP DP
Bit 25 Bit 24
Description
CAN ID Bit 25 CAN ID Bit 24
0 0 ISO 11783 page 0 PG
0 1 ISO 11783 page 1 PG
1 0 Reserved by SAE J1939 series
1 1 Reserved by SAE J1939 series
NOTE There is no mapping of DP 10 and 11 to a CAN Identifier specified.
2 2
6.2.5 PDU format (PF)
PF is an 8-bit field determining the PDU format as specified in Table 4.
Table 4 — Definition of PDU specific (PS) field
PDU format PF PS
PDU1 00 to EF Destination address (DA)
16 16
PDU2 F0 to FF Group extension (GE)
16 16
6.2.6 PDU specific (PS)
PS is an 8-bit field containing either the DA or GE. See Table 4.
In case of a DA of 00 to FD (specific address), only the addressed CF shall process the message; other CFs
16 16
should ignore it. If the DA is FF (global address), the CF shall process the message.
NOTE DA of FE (NULL address) is not applicable as DA.
The GE field, in conjunction with the four least significant bits of the PF field, provides 4 096 additional PDU2
PGs per data page.
NOTE When the four most significant bits of the PDU format field are set, it indicates that the PS field is a GE field.
In addition, 240 PGs are provided in each data page for use only in the destination-specific format PDU
(PDU1 format). In total, 8 672 PGs are available to be defined using the two data pages available.
This total is calculated using Formula (1):
[240 + (16 × 256)] × 2 = 8 672 (1)
where
240 is the number of PDU format field values available per data page (i.e. PDU1 format, PS field = DA);
16 is the number of PDU format values per GE value (i.e. PDU2 format only);
256 is the number of possible GE values (i.e. PDU2 format only);
2 is the number of data page states (both PDU formats).
See also 6.3.
6.2.7 Source address (SA)
The SA is an 8-bit field. A CF shall use only one SA. There shall only be one CF on the network with a given SA.
NOTE For address management and allocation, and procedures to prevent duplication of SA, see ISO 11783-5.
6.2.8 PG data field
6.2.8.1 PG data field with fixed length from zero byte to eight byte
When a PG needs eight or less data bytes for transporting parameters, then it can be mapped into a single
CAN data frame in CEFF. PGs should allocate eight byte of the CAN data field independent of the size of
the mapped parameters. This provides a means of adding parameters and avoiding incompatibility with
previous revisions that only define part of the CAN data field. The remaining, not used, CAN data field bytes
shall be defined as “not available” (see ISO 11783-7:2022, 3.3.4). When the number of parameter data bytes
associated with a PG is specified, it cannot be changed. For example, the Request PG (PGN 59 904), has a PG
data length of three byte, so the CAN DLC is set to three.
NOTE A group function (see 6.4.6), for example VT-commands (as specified in ISO 11783-6:2018, 5.2.6), uses the
same data field length because the PG is the same.
6.2.8.2 PG data field greater than eight byte
When a PG needs more than eight data bytes, then it is mapped to multiple CAN CC data frames representing
packets respectively segments. The term multi-packet is used to describe this type of PG. A PG defined
as being multi-packet capable, having less than nine data bytes to transfer in a specific instance, shall be
sent in a single CAN CC data frame with the DLC set to eight. When a particular PG has nine or more data
bytes to transfer, then one of the transport protocol functions are used. The transport function connection
management capability is used to set up and close out the communication of the multi-packet PGs. The
transport protocol data transfer capability is used to communicate the data itself in a series of packets
mapped to single CAN CC data frames containing the “packetized” data. Additionally, the transport protocol
function provides flow control and handshaking capabilities for destination-specific transfers (see 6.9).
CAN CC data frames associated with a particular multi-packet response shall have a DLC of eight. All unused
data bytes shall be set to “not available”. The number of bytes per packet is fixed; however, the ISO 11783
series defines multi-packet messages that have a variable and or fixed number of packets. The PG for active
diagnostic codes is an example of a multi-packet message that has a variable number of packets. PGs that are
defined as multi-packet only use the transport protocol, when more than eight data bytes number are needed.
6.3 Protocol data unit (PDU) formats
6.3.1 General
The PDU formats, illustrated in Figure 5, are defined as PDU1 (PS = DA) and PDU2 (PS = GE). PDU1 allows for
direction of the CAN CC data frame to a specific destination address (CF); PDU2 only communicates CAN CC
data frames that are not destination specific. Two separate PDU formats are created to provide more possible
PGN combinations while still providing for destination-specific communications. Proprietary PG definitions
are assigned so that both PDU formats can be used for proprietary communications. A standardized method
for proprietary communications is defined to prevent possible conflicts in identifier usage.
The definition of proprietary PGNs has been established allowing both PDU1 and PDU2 formats to be used.
The interpretation of the proprietary information varies by manufacturer.
a) PDU1
b) PDU2
Figure 5 — DU formats
6.3.2 PDU1 format
PDU1 format messages can be sent to either a specific or global destination because the PS field contains the DA.
PDU1 format messages can be requested or sent as unsolicited messages.
PDU1 format messages are determined by the PF field. When the value of that field is 0 to 239, the message is
in the PDU1 format. The format of the PDU1 message is illustrated by Figure 5. See also Figure 6.
a
Currently, 2 × 240 = 480.
Figure 6 — PDU1 format
Messages of type PDU1 defined with a high repetition rate are in the range from PF 0 to PF 238; messages of
type PDU1 defined with a low repetition rate are in the range from PF 238 to PF 0. See Figure A.1.
A PF equal to 239 (EDP bit = 0 and DP bit = 0 or 1) is assigned for proprietary use. In this case the PS field
represents a DA (see 6.4.6). See 6.4.6.2 for Proprietary A and 6.4.6.3 for Proprietary A2 definition.
6.3.3 PDU2 format
The PDU2 format can be used to broadcast messages to the network for reception by any interested CF, and
therefore does not contain a DA. PDU2 format messages can be requested or sent as unsolicited messages.
The PS field contains the GE.
NOTE Selection of the PDU2 format at the time a PG is defined prevents that PG from ever being able to be directed
to a specific destination.
PDU2 format messages are defined as being those where the PF value is equal to 240 to 255. The format of
the PDU2 message is illustrated by Figure 5. Also see Figure 7.
a
Currently, 2 × 16 × 256 = 8 192.
Figure 7 — PDU2 format
The PGN of messages that are sent at fast update rates (generally less than 100 ms) start at PF = 240 and
increment towards 254. See Figure 7.
The PGN of messages that are only requested, sent on change, or are sent at slow update rates (generally
greater than 100 ms) start at PF = 254 and decrement towards 240. See Figure A.1. A PF equal to 255
(Extended Data Page bit = 0 and Data Page bit = 0 or 1) is assigned for proprietary use. The PS field is left to
be defined and used by each manufacturer (see 6.4.6). See 6.4.6.4 for Proprietary B definition.
6.4 Message types
6.4.1 General
There are five message types currently supported:
— commands,
— requests,
— broadcasts/responses,
— acknowledgements,
— group functions.
These types are recognized by the assigned PGN.
A device shall not send a message with another device’s SA. A separate request mechanism exists (see 6.4.3).
Multi-byte parameters that appear in the data field of a CAN CC data frame shall be placed LSB first.
Exceptions are noted where applicable (i.e. ASCII data). If a two-byte parameter were to be placed in
bytes seven and eight of the CAN CC data frame, the LSB would be placed in byte seven and the MSB in
byte eight.
If a CF receives a PDU1 type message sent specifically to the CF’s address, the CF may ignore the message or
respond with a NACK.
NOTE Responding with a NACK will allow the originating CF to stop sending this specific message to reduce load
on the network.
6.4.2 PG command
The command message type categorizes those PGs that command a specific or global destination from a
source. The destination is then supposed to take specific actions based on the reception of this command
message type. Both PDU1 (PS = DA) and PDU2 format (PS = GE) messages can be used for commands.
Example command modes include Transmission Control, Address Request and Torque/Speed Control.
6.4.3 Request
6.4.3.1 General
The request message type, identified by the PGN, provides the ability to request information globally or
from a specific destination. Requests specific to one destination are known as destination-specific requests.
The following are general rules of operation for determining whether to send a PG to a global or specific
destination. See Table 5 and Table 7.
a) If the request is sent to a global address, then the response, if any, shall be sent to a global address.
— A NACK (see 6.4.5) shall not be sent as a response to a global request.
— A “busy” (ACKM with Response type set to 3, see Table 10) may be generated if the controller supports
the requested PG but cannot respond within T for the network segment.
r
b) If the request is sent to a specific address, then the response shall be sent to a specific address.
— A NACK shall be sent if the PG is not supported.
Exceptions:
— PDU2 format PG with eight byte or less can only be sent to a global destination because there is no
destination address field in the PDU2 format.
— The Address Claim PG shall be sent to the global destination address even though the request for it
is to a specific destination address (see ISO 11783-5).
NOTE Exceptions to these general rules do exist. The exceptions are noted in the applicable document in the
section in which the PG is defined.
6.4.3.2 Request PG
This PG requests the transmission of a dedicated PG corresponding to the PGN in the PG data field. The
following specifies the Request PG:
© ISO
...
ISO/TC 23/SC 19/WG 5
Secretariat: DIN
Date: 2025-0611-24
Tractors and machinery for agriculture and forestry — Serial control
and communications data network — Part 3: Application layer,
transport layer and network layer
Part 3:
Application layer, transport layer and network layer
Tracteurs et matériels agricoles et forestiers — - Réseaux de commande et de communication de
donn2éesdonnées en série —
Partie 3: Couchecouche liaison de données
FDIS stage
All rights reserved. Unless otherwise specified, or required in the context of its implementation, no part of this publication
may be reproduced or utilized otherwise in any form or by any means, electronic or mechanical, including photocopying,
or posting on the internet or an intranet, without prior written permission. Permission can be requested from either ISO
at the address below or ISO'sISO’s member body in the country of the requester.
ISO Copyright Officecopyright office
CP 401 • Ch. de Blandonnet 8
CH-1214 Vernier, Geneva
Phone: + 41 22 749 01 11
Email: copyright@iso.org
E-mail: copyright@iso.org
Website: www.iso.orgwww.iso.org
Published in Switzerland.
ii
Contents Page
Foreword . v
Introduction . vii
1 Scope . 1
2 Normative references . 1
3 Terms and definitions . 1
4 Abbreviated terms . 3
5 General description . 3
6 Technical requirements . 3
Annex A (normative) Assignment process for SA, PG and PGN . 47
Annex B (informative) Network bandwidth utilization . 52
Annex C (informative) Transport protocol transfer sequences — Examples of connection mode
data transfer . 54
Annex D (informative) Communication mode examples. 70
Bibliography . 73
Foreword . v
Introduction . vii
1 Scope . 1
2 Normative references . 1
3 Terms and definitions . 1
4 Abbreviated terms . 3
5 General description . 3
6 Technical requirements . 3
6.1 Mapping of messages to CAN data frames . 3
6.1.1 General requirements and recommendations . 3
6.1.2 Mapping of ISO 11783 messages to CAN data frames in CEFF . 4
6.1.3 Parameter group numbers (PGN) . 7
6.1.4 ISO 11783 support of ISO 11898-1 data frames in CBFF . 7
6.2 Protocol data unit (PDU) . 8
6.2.1 General . 8
6.2.2 Priority (P) . 8
6.2.3 Extended data page (EDP) . 8
6.2.4 Data page (DP) . 9
6.2.5 PDU format (PF) . 9
6.2.6 PDU specific (PS) . 9
6.2.7 Source address (SA) . 10
6.2.8 PG data field . 10
6.3 Protocol data unit (PDU) formats . 10
6.3.1 General . 10
6.3.2 PDU1 format . 11
6.3.3 PDU2 format . 12
6.4 Message types . 13
iii
6.4.1 General . 13
6.4.2 PG command . 13
6.4.3 Request . 13
6.4.4 Broadcast/response . 17
6.4.5 Acknowledgement . 17
6.4.6 Group functions . 19
6.4.7 Transfer . 21
6.5 Message priority . 22
6.6 Bus access . 23
6.7 Contention-based arbitration . 23
6.8 Error detection . 23
6.9 Transport protocol functions . 23
6.9.1 General . 23
6.9.2 “Packetization” and reassembly . 23
6.9.3 Transport protocol — connection management . 24
6.9.4 Transport protocol — connection management messages (TP.CM) . 27
6.9.5 Transport protocol — data transfer messages (TP.DT) . 31
6.9.6 Transport protocol connection constraints . 31
6.10 Extended transport protocol functions . 32
6.10.1 Overview . 32
6.10.2 General . 33
6.10.3 Message size . 33
6.10.4 Extended transport protocol — connection management. 33
6.10.5 Extended transport protocol — connection management messages (ETP.CM) . 34
6.10.6 Extended transport protocol — data transfer messages (ETP.DT) . 37
6.10.7 Extended transport protocol — connection constraints . 38
6.11 PDU processing requirements . 38
6.12 Miscellaneous provisions . 38
6.12.1 Request scheduling . 38
6.12.2 Controller response time and timeout defaults . 38
6.12.3 Required responses . 39
6.12.4 Transmission of PGs to specific or global destinations . 39
6.12.5 CTS number of packet recommendation . 39
Annex A (normative) . 40
Annex B (normative) . 43
Annex C (informative) . 45
Annex D (informative) . 53
Bibliography . 55
iv
Foreword
ISO (the International Organization for Standardization) is a worldwide federation of national standards
bodies (ISO member bodies). The work of preparing International Standards is normally carried out through
ISO technical committees. Each member body interested in a subject for which a technical committee has been
established has the right to be represented on that committee. International organizations, governmental and
non-governmental, in liaison with ISO, also take part in the work. ISO collaborates closely with the
International Electrotechnical Commission (IEC) on all matters of electrotechnical standardization.
The procedures used to develop this document and those intended for its further maintenance are described
in the ISO/IEC Directives, Part 1. In particular, the different approval criteria needed for the different types of
ISO document should be noted. This document was drafted in accordance with the editorial rules of the
ISO/IEC Directives, Part 2 (see www.iso.org/directives).
ISO draws attention to the possibility that the implementation of this document may involve the use of (a)
patent(s). ISO takes no position concerning the evidence, validity or applicability of any claimed patent rights
in respect thereof. As of the date of publication of this document, ISO had not received notice of (a) patent(s)
which may be required to implement this document. However, implementers are cautioned that this may not
represent the latest information, which may be obtained from the patent database available at
www.iso.org/patents.www.iso.org/patents. ISO shall not be held responsible for identifying any or all such
patent rights.
Any trade name used in this document is information given for the convenience of users and does not
constitute an endorsement.
For an explanation of the voluntary nature of standards, the meaning of ISO specific terms and expressions
related to conformity assessment, as well as information about ISO's adherence to the World Trade
Organization (WTO) principles in the Technical Barriers to Trade (TBT), see
www.iso.org/iso/foreword.htmlwww.iso.org/iso/foreword.html.
This document was prepared by Technical Committee ISO/TC 23, Tractors and machinery for agriculture and
forestry, Subcommittee SC 19, Agricultural electronics.
This fifth edition cancels and replaces the fourth edition (ISO 11783-3:2018), which has been technically
revised. The main changes are as follows:
The main changes are as follows:—
— term entries have been added in Clause 3;3;
— — former Annex A has been deleted, and subsequent annexes have been relabelled;
— — default priority has been replaced by assigned priority;
— — improve transport protocol abort handling has been improved to unambiguously close a transport
session;
— — Proprietaryproprietary B PG has been added to data page one;
— — length limit for Proprietary A and Proprietary A2 PGs have been removed;
— — usage of 11-bit CAN IDs has been limited;
— — a control function may respondresponding with a NACK when receiving unsupported PDU1 type
messages has been made possible.
v
A list of all parts in the ISO 11783 series can be found on the ISO website.
Any feedback or questions on this document should be directed to the user’s national standards body. A
complete listing of these bodies can be found at www.iso.org/members.htmlwww.iso.org/members.html.
vi
Introduction
The ISO 11783 series specifies a communications system for agricultural equipment based on the ISO 11898-
1 1)
1 CAN protocol. The SAE J1939 series , , on which parts of ISO 11783 series are based, were developed jointly
for use in truck and bus applications and for construction and agriculture applications. Joint documents have
been completed to allow electronic units that meet the truck and bus SAE J1939 specifications to be used by
agricultural and forestry equipment with minimal changes. General information on the ISO 11783 series can
be found in ISO 11783-1.
The purpose of the ISO 11783 series is to provide an open, interconnected system for on-board electronic
systems. It is intended to enable electronic control units (ECUs) to communicate with each other, providing a
standardized system.
Society of automotive engineers.
1)
Society of automotive engineers.
vii
DRAFT International Standard ISO/DIS 11783-3:2025(en)
Tractors and machinery for agriculture and forestry — Serial control
and communications data network — Part 3: Data link layer
Part 3:
Application layer, transport layer and network layer
1 Scope
This document specifies the OSI (open system interconnections (OSI) application layer, the transport, and the
network layer, as well as the mapping to the controller area network (CAN) data link layer protocol as
specified in ISO 11898-1. The application layer specifies messages, which are mapped to CAN CC data frames
using the classic extended frame format (CEFF). For messages exceeding the length of the CEFF-formatted
data frames, this document specifies transport layer and network layer protocols based on the SAE J1939-21
recommended practice.
2 Normative references
The following documents are referred to in the text in such a way that some or all of their content constitutes
requirements of this document. For dated references, only the edition cited applies. For undated references,
the latest edition of the referenced document (including any amendments) applies.
ISO 11783--1:2017, Tractors and machinery for agriculture and forestry — Serial control and communications
data network — Part 1: General standard for mobile data communication
ISO 11783--5:2019, Tractors and machinery for agriculture and forestry — Serial control and communications
data network — Part 5: Network management
ISO 11783--7:2022, Tractors and machinery for agriculture and forestry — Serial control and communications
data network — Part 7: Implement messages application layer
ISO 11898--1:2024, Road vehicles — Controller area network (CAN) — Part 1: Data link layer and physical
coding sublayer
3 Terms and definitions
For the purposes of this document, the terms and definitions given in ISO 11783-1, ISO 11898-1 and the
following apply.
ISO and IEC maintain terminological databases for use in standardization at the following addresses:
— — ISO Online browsing platform: available at https://www.iso.org/obphttps://www.iso.org/obp
— — IEC Electropedia: available at https://www.electropedia.org/https://www.electropedia.org/
3.1 3.1
multi-packet message
message that does not fit into the data field of a single CAN data frame (i.e. messages with more than eight byte
of parameters)
3.2 3.2
data transfer packet
packet that contains data which is part of a larger message communicated using either TP.DT or ETP.DT
3.3 3.3
request to send
RTS
message used to gain approval to send a block of data
3.4 3.4
clear to send
CTS
message used to grant approval to a sender of a block of data
3.5 3.5
group function value
GFV
unsigned eight-bit number that identifies a unique parameter or sequence of parameters in a dedicated PG
Note 1 to entry: The values follow the recommendations for one-byte parameter given in ISO 11783-7.
3.6 3.6
extended group function value
EGFV
one-, two- or three-byte number that identifies a unique parameter or sequence of parameters in a dedicated
PG
Note 1 to entry: The interpretation of the values is proprietary and defined by the manufacturer.
3.7 3.7
message
protocol entity of the application layer such as parameter groups (PG)
3.8 3.8
controller area network
CAN
serial communication technology covering the data link layer and the physical coding sublayer in accordance
with ISO 11898-1 as well as the physical medium attachment (PMA) sublayer in accordance with ISO 11898-
Note 1 to entry: There are three frame format types specified: CAN CC (classic), CAN FD (flexible data rate) and CAN XL
(extended data-field length). This document series uses only CAN CC frame formats.
Note 2 to entry: There are five PMA types specified: CAN HS (high-speed), CAN FD, CAN SIC (signal improvement
capability), CAN SIC XL, and CAN FT (fault-tolerant). This document series uses only the CAN HS type.
3.9 3.9
source address
SA
number identifying the originator CF of a message
3.10 3.10
destination address
DA
number identifying the consumer CF of a message
4 Abbreviated terms
ACK acknowledgement
CAN CC CAN classic
CAN FD CAN flexible data rate
CAN XL CAN extended data-field length
CBFF classic basic frame format
CEFF classic extended frame format
CF controller function
CRC cyclic redundancy check
DP data page
EDP extended data page
EOF end of frame
PDU protocol data unit
PF PDU format
PS PDU specific
GE group extension
GFI group function index
IDE identifier extension
N/A not appliable
RTR remote transmission request
SOF start of frame
SRR substitute remote request bit
5 General description
6 Technical requirements
6.1 Mapping of messages to CAN data frames
6.1.1 General requirements and recommendations
Messages specified in this document shall be mapped to CAN data frames in CEFF using 29-bit identifier fields.
CAN data frames in CBFF may be transmitted for proprietary purposes (for details see 6.1.4)., see 6.1.4). An
ECU conformant with this document shall not transmit CAN FD data frames and CAN XL data frames as well
as CAN remote frames.
NOTE. The CAN data link layer entity sends CAN error frames and CAN overload frames as specified in ISO 11898-1.
6.1.2 Mapping of ISO 11783 messages to CAN data frames in CEFF
The CEFF message, illustrated by Figure 1,in 0, encompasses a single protocol data unit (PDU). The PDU
consists of seven predefined fields, assimilated from information provided by the application layer:
— — priority;
— — EDP;
— — DP;
— — PF ;
— — PS, which can be DA, GE;
— — SA;
— — data.
See 6.26.2 for a detailed description of each field, and 6.36.3 for PDU formats.
CBFF data frame
maximum frame length with bit stuffing = 127 bit
Arbitration field Control field
Data field
12 bit 6 bit
S Base R I D ACK
r DLC Data field CRC EOF
O identifier T D L field
0 4 bit 0 to 8 byte 15 bit 7 bit
F 11 bit R E M 2 bit
no bit
bit stuffing
stuffing
a) CBFF
CEFF data frame
maximum frame length with bit stuffing = 150 bit
Arbitration field Control field
32 bit 6 bit Data field CRC field
S Base S I Identifier R D ACK
r r DLC Data field CRC EOF
O identifier R D extension T L field
1 0 4 bit 0 to 8 byte 15 bit 7 bit
F 11 bit R E 18 bit R M 2 bit
no bit
bit stuffing
stuffing
b) CEFF
a) CBFF
b) CEFF
Figure 1 1 — CAN CC data frames
The fields are then packaged into one CAN CC data frame and sent over the physical media to other network
controllers. The layers of the OSI model that ISO 11783 series supports are shown in Figure 2.0. It is possible
that some PG definitions require more than one CAN CC data frame in order to send their information.
Receiving control
Originating control
OSI Layer
function
function
Data layer Priority, DA, PGs, SPs Priority, SA, PGs, SPs
Application layer
protocol
PDU, NM, DM PDU, NM, DM
Presentation layer
protocol
Session layer protocol
Transport layer
BAM, TP, ETP BAM, TP, ETP
protocol
Network layer protocol
Data link layer protocol CAN data frames in CEFF CAN data frames in CEFF
Physical layer CAN transceiver CAN transceiver
Figure 2 2 — Application of OSI model according to ISO 11783 series
Table 10 shows the arbitration and control fields of the 29-bit identifier for CAN, 29-bit identifier for the
ISO 11783 series and 11-bit identifier for CAN, and the use of the 11-bit identifier on an ISO 11783 series -
defined network. A complete definition for each of the bit field assignments according to ISO 11783 series is
given in 6.3. In6.3. In the ISO 11783 series, the CAN data frame data field is described as bytes one to eight.
Byte one’s most significant bit, bit eight, is the first bit sent closest to the data length code (DLC). Byte eight’s
least significant bit, bit one, is the last of the data bits to be sent and is closest to the cyclic redundancy check
(CRC) field. See Figure 3.See 0.
Table 1 1 — Mapping of ISO 11783 fields into CAN arbitration and control fields
29-bit CAN identifier 11-bit CAN identifier
CAN ISO 11783 CAN ISO 11783
ID28 P3 ID28 P3
ID27 P2 ID27 P2
ID26 P1 ID26 P1
ID25 EDP ID25 SA8
ID24 DP ID24 SA7
ID23 PF8 ID23 SA6
ID22 PF7 ID22 SA5
ID21 PF6 ID21 SA4
ID20 PF5 ID20 SA3
ID19 PF4 ID19 SA2
ID18 PF3 ID18 SA1
ID17 PF2 - -
ID16 PF1 - -
ID15 PS8 - -
ID14 PS7 - -
ID13 PS6 - -
ID12 PS5 - -
ID11 PS4 - -
ID10 PS3 - -
ID9 PS2 - -
ID8 PS1 - -
ID7 SA8 - -
ID6 SA7 - -
ID5 SA6 - -
ID4 SA5 - -
ID3 SA4 - -
ID2 SA3 - -
ID1 SA2 - -
ID0 SA1 - -
P# Priority bit number (#) according to this document
EDP Extended data page according to this document
SA# Source address bit number (#) according to this document
DP Data page according to this document
29-bit CAN identifier 11-bit CAN identifier
CAN ISO 11783 CAN ISO 11783
PF# PDU format bit number (#) according to this document
PS# PDU specific bit number (#) according to this document
Identifier Data field
bit 1 bit 8
DLC
byte 1 byte 2 byte 3 byte 4 byte 5 byte 6 byte 7 byte 8 CRC
4 bit
bit 8 bit 1
Transmission sequence
time
Figure 3 3 — CAN CC data field
6.1.3 Parameter group numbers (PGN)
Mapping of the 18-bit PGN in the 24-bit PG data field is done as follows.
The 24-bit value shall be sent the least significant byte (LSB) first (see Table 2),0), also according to which the
most significant byte (MSB) is sent third and the middle byte second and the LSB first. The 24-bit PGN shall be
determined from the following constituent components: six bit set to zero, EDP bit, DP bit, PF field (eight bit),)
and PS field (eight bit).
The procedure for the bit fields to be converted to PGN is as follows.
The six most significant bits of the PGN shall be set to zero. Then the EDP bit, DP bit and PF field shall be copied
into the next 10 bit. If the PF value is less than 240 (F0 )), then the LSB of the PGN shall be set to zero.
Otherwise, it may be set to the value of the PS field. See Table 2See 0 for an illustration of the PGN, their
corresponding bits and their conversion to a decimal number.
NOTE Not all 131 072 combinations (2 ) are available to be assigned as PGN. Only a total of 8 672 combinations are
available for assignment {calculated as: 2 pages × [240 + (16 × 256)] = 8 672}, using the conventions specified in this
document. See ISO 11783-1 for the latest PGN assignments.
Table 2 2 — Parameter group number examples
PGN constituent components
PGN PGN (LSB)
PGN (MSB)
Byte 2 Byte 3
Byte 1
Numbers of Cumulative
sent second sent first PGN
sent third
assignable numbers of Assigned by
in CAN data in CAN data
(hex.)
in CAN data field
PGs PGs
field field
EDP DP PF PS
Bit
8 to 3
Bit 2 Bit 1 Bit 8 to 1 Bit 8 to 1
0 0 0 0 to 238 0 000000 to 00EE00 239 239 ISO
0 0 0 239 0 00EF00 1 240 MF
0 0 0 240 to 254 0 to 255 00F000 to 00FEFF 3 840 4 080 ISO
0 0 0 255 0 to 255 00FF00 to 00FFFF 256 4 336 MF
0 0 1 0 to 238 0 010000 to 01EE00 239 4 575 ISO
0 0 1 239 0 01EF00 1 4 576 MF
0 0 1 240 to 255 0 to 255 01F000 to 01FFFF 4 096 86728 672 ISO
Key
MF Manufacturer
6.1.4 ISO 11783 support of ISO 11898-1 data frames in CBFF
Controllers on the network, based on ISO 11783 series may support data frames in CBFF. Though these are
not compatible with the ISO 11783 series message structure, to accommodate the co-existence of the two
formats, a minimum level of definition is given. This minimum definition allows controllers that use this
format to reduce the interference with other controllers. CBFF messages are defined as being proprietary.
CBFF messages should not be transmitted, because of real-time and timing-behaviour impacts for the
messages standardized in ISO 11783 series. In reference to Table 1,0, the 11-bit CAN identifier field is parsed
as follows: the three most significant bits are used as priority bits; the eight least significant bits identify the
SA of the PDU. Priority bits are described in 6.2.2 The SA is described in 6.2.7.6.2.2 The SA is described in 6.2.7.
Incorrect bus arbitration can occur when two messages, one base frame and one extended frame, access the
bus at the same time. The SA is a higher relative priority in the base frame messages than in the extended
frame messages. The message with an 11-bit CAN identifier (base frame) can have an SA indicating a higher
priority than that of the EDP bit, DP bit and PF of the 29-bit CAN identifier (extended frame) message. The
three priority bits should be used to achieve the correct bus arbitration.
6.2 Protocol data unit (PDU)
6.2.1 General
The protocol data unit (PDU)), as specified in this document, shall consist of the seven fields listed in 6.1.20
and those specified below. These fields shall then be packaged into one or more CAN CC data frames and sent
over the physical media to other network controllers. There is only one PDU per CAN CC data frame possible.
NOTE Some PG definitions require more than one CAN CC data frame for sending the corresponding data.
Certain bits of the CAN CC data frame fields are left out of the PDU definition because they are controlled
entirely by the CAN data link layer. These include the SOF, SRR, IDE, RTR, CRC, ACK and EOF fields, and parts
of the control field.
The PDU fields (see Figure 4)0) are specified in 6.2.26.2.2 to 6.2.8.6.2.8.
Priority EDP DP PF PS SA Data
No. of bits 3 1 1 8 8 8 64
Figure 4 4 — PDU fields
6.2.2 Priority (P)
6.2.2.1 Priority field
The three bits of the Priority field (P3, P2, P1) shall be mapped into the three highest priority CAN identifier
bits (as specified in Table 1).0). On the receiving CAN nodes, the Priority field shall be ignored.
The Priority field value of 000 has the highest priority and the value of 111 has the lowest priority according
2 2
to ISO 11898-1. See Annex BSee Annex A for additional information about on assignment of priority values to
messages.
6.2.2.2 Assigned priority
Messages with an assigned priority shall use the assigned priority.
NOTE 1 The assigned priority is intended to achieve the application-required latency for messages.
NOTE 2 Transport protocol messages (see 6.9.4, 6.9.5, 6.10.5.2 and 6.10.6)NOTE 2 Transport protocol messages (see
6.9.4, 6.9.5, 6.10.5.2 and 6.10.6) use their Assigned priority and the Assigned priority of the transported PG is not used.
6.2.2.3 Default priority
Messages with a default priority should be sent with the priority given in Annex B.Annex A. Messages with the
default priority may be sent with the priority as specified for the message.
6.2.3 Extended data page (EDP)
The EDP bit is used in conjunction with the DP bit to determine the structure of the CAN identifier of the
CAN CC data frame. The EDP bit shall be set to zero on transmitted messages. (See Table 3(See 0 for the defined
uses of the EDP and DP fields.)
6.2.4 Data page (DP)
The DP bit is used in conjunction with the EDP bit to determine the structure of the CAN identifier of the
CAN CC data frame. With the EDP bit set to zero, the DP bit selects between page zero and page one of the PG
descriptions. See Table 3.See 0.
Table 3 3 — Definition of extended data page (EDP) and data page (DP) use
EDP DP
Bit 25 Bit 24
Description
CAN ID Bit 25 CAN ID Bit 24
0 0 ISO 11783 page 0 PG
EDP DP
Bit 25 Bit 24
Description
CAN ID Bit 25 CAN ID Bit 24
0 1 ISO 11783 page 1 PG
1 0 Reserved by SAE J1939 series
1 1 Reserved by SAE J1939 series
NOTE There is no mapping of DP 10 and 11 to a CAN Identifier specified.
2 2
6.2.5 PDU format (PF)
PF is an 8-bit field determining the PDU format as specified in Table 4.0.
Table 4 4 — Definition of PDU specific (PS) field
PDU format PF PS
PDU1 00 to EF Destination address (DA)
16 16
PDU2 F016 to FF16 Group extension (GE)
6.2.6 PDU specific (PS)
PS is an 8-bit field containscontaining either the DA or GE. See Table 4.0.
In case of a DA of 00 to FD (specific address), only the addressed CF shall process the message; other CFs
16 16
should ignore it. If the DA is FF (global address), the CF shall process the message.
NOTE DA of FE16 (NULL address) is not applicable as DA.
The GE field, in conjunction with the four least significant bits of the PF field, provides 4 096 additional PDU2
PGs per data page.
NOTE When the four most significant bits of the PDU format field are set, it indicates that the PS field is a GE field.
In addition, 240 PGs are provided in each data page for use only in the destination-specific format PDU (PDU1
format). In total, 8 672 PGs are available to be defined using the two data pages available.
This total is calculated using Formula (1):0:
[240 + (16 × 256)] × 2 = 8 672 (1)
where
240 represents the number of PDU format field values available per data page (i.e. PDU1 format,
PS field = DA);
16 is the number of PDU format values per GE value (i.e. PDU2 format only);
256 is the number of possible GE values (i.e. PDU2 format only);
2 is the number of data page states (both PDU formats).
See also 6.3.
240 is the number of PDU format field values available per data page (i.e. PDU1 format,
PS field = DA);
16 is the number of PDU format values per GE value (i.e. PDU2 format only);
256 is the number of possible GE values (i.e. PDU2 format only);
2 is the number of data page states (both PDU formats).
See also 6.3.
6.2.7 Source address (SA)
The SA is an 8-bit field. A CF shall use only one SA. There shall only be one CF on the network with a given SA.
NOTE For address management and allocation, and procedures to prevent duplication of SA, see ISO 11783-5.
6.2.8 PG data field
6.2.8.1 PG data field with fixed length from zero byte to eight byte
When a PG needs eight or less data bytes for transporting parameters, then it can be mapped into a single CAN
data frame in CEFF. PGs should allocate eight byte of the CAN data field independent of the size of the mapped
parameters. This provides a means of adding parameters and avoiding incompatibility with previous revisions
that only define part of the CAN data field. The remaining, not used, CAN data field bytes shall be defined as
“not available” (see ISO 11783-7:2022, clause 3.3.4). When the number of parameter data bytes associated
with a PG is specified, it cannot be changed. For example, the Request PG (PGN 59 904), has a PG data length
of three byte, so the CAN DLC is set to three.
NOTE A group function (see 6.4.6),6.4.6), for example VT-commands (as specified in ISO 11783-6:2018, 5.2.6), uses
the same data field length because the PG is the same.
6.2.8.2 PG data field greater than eight byte
When a PG needs more than eight data bytes, then it is mapped to multiple CAN CC data frames representing
packets respectively segments. The term multi-packet is used to describe this type of PG. A PG defined as being
multi-packet capable, having less than nine data bytes to transfer in a specific instance, shall be sent in a single
CAN CC data frame with the DLC set to eight. When a particular PG has nine or more data bytes to transfer,
then one of the transport protocol functions are used. The transport function connection management
capability is used to set up and close out the communication of the multi-packet PGs. The transport protocol
data transfer capability is used to communicate the data itself in a series of packets mapped to single CAN CC
data frames containing the “packetized” data. Additionally, the transport protocol function provides flow
control and handshaking capabilities for destination-specific transfers (see 6.9).6.9).
CAN CC data frames associated with a particular multi-packet response shall have a DLC of eight. All unused
data bytes shall be set to “not available”. The number of bytes per packet is fixed; however, the ISO 11783
series defines multi-packet messages that have a variable and or fixed number of packets. The PG for active
diagnostic codes is an example of a multi-packet message that has a variable number of packets. PGs that are
defined as multi-packet only use the transport protocol, when more than eight data bytes number are needed.
6.3 Protocol data unit (PDU) formats
6.3.1 General
The PDU formats, illustrated in Figure 5,0, are defined as PDU1 (PS = DA) and PDU2 (PS = GE). PDU1 allows
for direction of the CAN CC data frame to a specific destination address (CF); PDU2 only communicates CAN CC
data frames that are not destination specific. Two separate PDU formats are created to provide more possible
PGN combinations while still providing for destination-specific communications. Proprietary PG definitions
are assigned so that both PDU formats can be used for proprietary communications. A standardized method
for proprietary communications is defined to prevent possible conflicts in identifier usage.
The definition of proprietary PGNs has been established allowing both PDU1 and PDU2 formats to be used.
The interpretation of the proprietary information varies by manufacturer.
Priority EDP DP PF PS(DA) SA Data
No. of bits 3 1 1 8 8 8 64
a) PDU1
Priority EDP DP PF PS(GE) SA Data
No. of bits 3 1 1 8 8 8 64
b) PDU2
a) PDU1
b) PDU2
Figure 5 — PDU 5 — DU formats
6.3.2 PDU1 format
PDU1 format messages can be sent to either a specific or global destination because the PS field contains the
DA.
PDU1 format messages can be requested or sent as unsolicited messages.
PDU1 format messages are determined by the PF field. When the value of that field is 0 to 239, the message is
in the PDU1 format. The format of the PDU1 message is illustrated by Figure 5.0. See also Figure 6.0.
29 bit Identifier
Priority DP PF PS (DA) SA
EDP
0 0 0 0 0
. 1 . . .
. . . .
.
. . . .
.
7 239 255 255
.
PGNs
a
available for PDU1 format
a
Currently, 2 × 240 = 480.
a
Currently, 2 × 240 = 480.
Figure 6 6 — PDU1 format
Messages of type PDU1 defined with a high repetition rate are in the range from PF 0 to PF 238; messages of
type PDU1 defined with a low repetition rate are in the range from PF 238 to PF 0. See Figure A. 1.See 0.
A PF equal to 239 (EDP bit = 0 and DP bit = 0 or 1) is assigned for proprietary use. In this case the PS field
represents a DA (see 6.4.6). See 6.4.6.2 for Proprietary A and 6.4.6.36.4.6). See 6.4.6.2 for Proprietary A and
6.4.6.3 for Proprietary A2 definition.
6.3.3 PDU2 format
The PDU2 format can be used to broadcast messages to the network for reception by any interested CF, and
therefore does not contain a DA. PDU2 format messages can be requested or sent as unsolicited messages. The
PS field contains the GE.
NOTE Selection of the PDU2 format at the time a PG is defined prevents that PG from ever being able to be directed
to a specific destination.
PDU2 format messages are defined as being those where the PF value is equal to 240 to 255. The format of the
PDU2 message is illustrated by Figure 5. Also see Figure 7.0. Also see 0.
29 bit Identifier
Priority DP PF PS (GE) SA
EDP
0 0 240 0
. 1 . 16 .
pages
. . pages .
pages
of 256
of 256
. . .
of 256
7 255 255
.
1p6a ges
. pages
pages
of 256
. of 256
of 256
PGNs
a
available for PDU2 format
a
Currently, 2 × 16 × 256 = 8 192.
a
Currently, 2 × 16 × 256 = 8 192.
Figure 7 7 — PDU2 format
The PGN of messages that are sent at fast update rates (generally less than 100 ms) start at PF = 240 and
increment towards 254. See Figure 7.See 0.
The PGN of messages that are only requested, sent on change, or are sent at slow update rates (generally
greater than 100 ms) start at PF = 254 and decrement towards 240. See Figure A. 1.See 0. A PF equal to 255
(Extended Data Page bit = 0 and Data Page bit = 0 or 1) is assigned for proprietary use. The PS field is left to
be defined and used by each manufacturer (see 6.4.6). See 6.4.6.46.4.6). See 6.4.6.4 for Proprietary B
definition.
6.4 Message types
6.4.1 General
There are five message types currently supported:
— — commands,
— — requests,
— — broadcasts/responses,
— — acknowledgements,
— — group functions.
These types are recognized by the assigned PGN.
A device shall not send a message with another devi
...
PROJET FINAL
Norme
internationale
ISO/TC 23/SC 19
Tracteurs et matériels agricoles et
Secrétariat: DIN
forestiers — Réseaux de commande
Début de vote:
et de communication de données en
2025-12-09
série —
Vote clos le:
2026-02-03
Partie 3:
Couche d'application, couche
transport et couche réseau
Tractors and machinery for agriculture and forestry — Serial
control and communications data network —
Part 3: Application layer, transport layer and network layer
LES DESTINATAIRES DU PRÉSENT PROJET SONT
INVITÉS À PRÉSENTER, AVEC LEURS OBSERVATIONS,
NOTIFICATION DES DROITS DE PROPRIÉTÉ DONT ILS
AURAIENT ÉVENTUELLEMENT CONNAISSANCE ET À
FOURNIR UNE DOCUMENTATION EXPLICATIVE.
OUTRE LE FAIT D’ÊTRE EXAMINÉS POUR
ÉTABLIR S’ILS SONT ACCEPTABLES À DES FINS
INDUSTRIELLES, TECHNOLOGIQUES ET COM-MERCIALES,
AINSI QUE DU POINT DE VUE DES UTILISATEURS, LES
PROJETS DE NORMES
INTERNATIONALES DOIVENT PARFOIS ÊTRE CONSIDÉRÉS
DU POINT DE VUE DE LEUR POSSI BILITÉ DE DEVENIR DES
NORMES POUVANT
SERVIR DE RÉFÉRENCE DANS LA RÉGLEMENTATION
NATIONALE.
Numéro de référence
PROJET FINAL
Norme
internationale
ISO/TC 23/SC 19
Tracteurs et matériels agricoles et
Secrétariat: DIN
forestiers — Réseaux de commande
Début de vote:
et de communication de données en
2025-12-09
série —
Vote clos le:
2026-02-03
Partie 3:
Couche d'application, couche
transport et couche réseau
Tractors and machinery for agriculture and forestry — Serial
control and communications data network —
Part 3: Application layer, transport layer and network layer
LES DESTINATAIRES DU PRÉSENT PROJET SONT
INVITÉS À PRÉSENTER, AVEC LEURS OBSERVATIONS,
NOTIFICATION DES DROITS DE PROPRIÉTÉ DONT ILS
AURAIENT ÉVENTUELLEMENT CONNAISSANCE ET À
FOURNIR UNE DOCUMENTATION EXPLICATIVE.
DOCUMENT PROTÉGÉ PAR COPYRIGHT
OUTRE LE FAIT D’ÊTRE EXAMINÉS POUR
ÉTABLIR S’ILS SONT ACCEPTABLES À DES FINS
© ISO 2025 INDUSTRIELLES, TECHNOLOGIQUES ET COM-MERCIALES,
AINSI QUE DU POINT DE VUE DES UTILISATEURS, LES
Tous droits réservés. Sauf prescription différente ou nécessité dans le contexte de sa mise en œuvre, aucune partie de cette
PROJETS DE NORMES
INTERNATIONALES DOIVENT PARFOIS ÊTRE CONSIDÉRÉS
publication ne peut être reproduite ni utilisée sous quelque forme que ce soit et par aucun procédé, électronique ou mécanique,
DU POINT DE VUE DE LEUR POSSI BILITÉ DE DEVENIR DES
y compris la photocopie, ou la diffusion sur l’internet ou sur un intranet, sans autorisation écrite préalable. Une autorisation peut
NORMES POUVANT
être demandée à l’ISO à l’adresse ci-après ou au comité membre de l’ISO dans le pays du demandeur.
SERVIR DE RÉFÉRENCE DANS LA RÉGLEMENTATION
NATIONALE.
ISO copyright office
Case postale 401 • Ch. de Blandonnet 8
CH-1214 Vernier, Genève
Tél.: +41 22 749 01 11
E-mail: copyright@iso.org
Web: www.iso.org
Publié en Suisse Numéro de référence
ii
Sommaire Page
Avant-propos .v
Introduction .vii
1 Domaine d’application . 1
2 Références normatives . 1
3 Termes et définitions . 1
4 Symboles et termes abrégés . 3
5 Description générale . 3
6 Exigences techniques . 3
6.1 Mappage des messages aux trames de données CAN .3
6.1.1 Exigences générales et recommandations .3
6.1.2 Mappage des messages de l'ISO 11783 aux trames de données CAN au
format CEFF .4
6.1.3 Numéros de groupe de paramètres (PGN, parameter group numbers) .6
6.1.4 Prise en charge par l'ISO 11783 de trames de donnés au format CBFF de
l'ISO 11898-1 .7
6.2 Unité de données de protocole (PDU) .8
6.2.1 Généralités .8
6.2.2 Priorité (P) .8
6.2.3 Page de données étendue (EDP) .8
6.2.4 Page de données (DP).9
6.2.5 Format PDU (PF) .9
6.2.6 Spécifique PDU (PS) . .9
6.2.7 Adresse source (SA) .10
6.2.8 Champ de données de PG .10
6.3 Formats des unités de données de protocole (PDU) .11
6.3.1 Généralités .11
6.3.2 Format PDU1 .11
6.3.3 Format PDU2 . 12
6.4 Types de messages . 13
6.4.1 Généralités . 13
6.4.2 Commande PG .14
6.4.3 Demande .14
6.4.4 Diffusion/réponse .18
6.4.5 Accusé de réception .18
6.4.6 Fonctions de groupe . 20
6.4.7 Transfert . 22
6.5 Priorité des messages . .24
6.6 Accès au bus .24
6.7 Arbitrage des conflits d'accès.24
6.8 Détection d'erreurs.24
6.9 Fonctions de protocole de transport . 25
6.9.1 Généralités . 25
6.9.2 Mise en paquets et réassemblage . 25
6.9.3 Protocole de transport — Gestion des connexions . 26
6.9.4 Protocole de transport — messages de gestion des connexions (TP.CM) . 28
6.9.5 Protocole de transport — Messages de transfert de données (TP.DT) . 33
6.9.6 Contraintes relatives à la connexion du protocole de transport . 34
6.10 Fonctions de protocole de transport étendu . 35
6.10.1 Vue d'ensemble. 35
6.10.2 Généralités . 35
6.10.3 Taille du message . 35
6.10.4 Protocole de transport étendu — Gestion des connexions . 35
6.10.5 Protocole de transport étendu — Messages de gestion des connexions (ETP.CM) . 36
iii
6.10.6 Protocole de transport étendu — messages de transfert de données (ETP.DT) . 39
6.10.7 Protocole de transport étendu — contraintes relatives à la connexion . 40
6.11 Exigences de traitement des PDU . 40
6.12 Dispositions diverses . 40
6.12.1 Programmation des demandes. 40
6.12.2 Temps de réponse des contrôleurs et défauts de temps morts .41
6.12.3 Réponses requises .41
6.12.4 Transmission de PG à des destinations spécifiques ou globales .41
6.12.5 Recommandation relative au nombre de paquets CTS.42
Annexe A (normative) Processus d'affectation des SA, de PG et de PGN .43
Annexe B (informative) Utilisation de la bande passante du réseau .46
Annexe C (informative) Séquences de transfert du protocole de transport — Exemples de
transfert de données en mode connexion . 47
Annexe D (informative) Exemples de modes de communication .55
Bibliographie .57
iv
Avant-propos
L'ISO (Organisation internationale de normalisation) est une fédération mondiale d'organismes nationaux
de normalisation (comités membres de l'ISO). L'élaboration des Normes internationales est en général
confiée aux comités techniques de l'ISO. Chaque comité membre intéressé par une étude a le droit de faire
partie du comité technique créé à cet effet. Les organisations internationales, gouvernementales et non
gouvernementales, en liaison avec l'ISO participent également aux travaux. L'ISO collabore étroitement avec
la Commission électrotechnique internationale (IEC) en ce qui concerne la normalisation électrotechnique.
Les procédures utilisées pour élaborer le présent document et celles destinées à sa mise à jour sont
décrites dans les Directives ISO/IEC, Partie 1. Il convient, en particulier, de prendre note des différents
critères d'approbation requis pour les différents types de documents ISO. Le présent document
a été rédigé conformément aux règles de rédaction données dans les Directives ISO/IEC, Partie 2
(voir www.iso.org/directives).
L’ISO attire l’attention sur le fait que la mise en application du présent document peut entraîner l’utilisation
d’un ou de plusieurs brevets. L’ISO ne prend pas position quant à la preuve, à la validité et à l’applicabilité de
tout droit de propriété revendiqué à cet égard. À la date de publication du présent document, l’ISO n'avait pas
reçu notification qu’un ou plusieurs brevets pouvaient être nécessaires à sa mise en application. Toutefois,
il y a lieu d’avertir les responsables de la mise en application du présent document que des informations
plus récentes sont susceptibles de figurer dans la base de données de brevets, disponible à l'adresse
www.iso.org/brevets. L’ISO ne saurait être tenue pour responsable de ne pas avoir identifié tout ou partie de
tels droits de propriété.
Les appellations commerciales éventuellement mentionnées dans le présent document sont données pour
information, par souci de commodité, à l’intention des utilisateurs et ne sauraient constituer un engagement.
Pour une explication de la nature volontaire des normes, la signification des termes et expressions
spécifiques de l'ISO liés à l'évaluation de la conformité, ou pour toute information au sujet de l'adhésion de
l'ISO aux principes de l’Organisation mondiale du commerce (OMC) concernant les obstacles techniques au
commerce (OTC), voir www.iso.org/avant-propos.
Le présent document a été élaboré par le comité technique ISO/TC 23, Tracteurs et matériels agricoles et
forestiers, sous-comité SC 19, Électronique en agriculture.
Cette cinquième édition annule et remplace la quatrième édition (ISO 11783-3:2018), qui a fait l'objet d'une
révision technique.
Les principales modifications sont les suivantes:
— des termes ont été ajoutés à l'Article 3;
— l'ancienne Annexe A a été supprimée et les annexes suivantes ont été renommées;
— la priorité par défaut a été remplacée par la priorité attribuée;
— la gestion de l'abandon du protocole transport a été améliorée pour fermer de manière non ambiguë une
session de transport;
— le PG Propre au Constructeur B à été ajouté à la page de données égale à un;
— la limite de longueur pour les PG Propre au Constructeur A et Propre au Constructeur A2 a été supprimée;
— l'utilisation des ID CAN à 11 bits a été limitée;
— une fonction de contrôle répondant avec un NACK lors de la réception de messages de type PDU1 non pris
en charge a été rendue possible.
Une liste de toutes les parties de la série ISO 11783 se trouve sur le site Web de l’ISO.
v
Il convient que l’utilisateur adresse tout retour d’information ou toute question concernant le présent
document à l’organisme national de normalisation de son pays. Une liste exhaustive desdits organismes se
trouve à l’adresse www.iso.org/fr/members.html.
vi
Introduction
La série ISO 11783 spécifie un système de communication destiné aux matériels agricoles fondé sur le
1)
protocole CAN de la série ISO 11898-1. La série SAE J1939 , sur laquelle certaines parties de la série ISO 11783
se fondent, a été élaborée pour une utilisation dans des applications de camions et de bus, ainsi que pour
des applications de construction et d'agriculture. Des documents communs ont été élaborés pour permettre
l'utilisation, par des matériels agricoles et forestiers, d'unités électroniques conformes aux spécifications
SAE J1939 relatives aux camions et aux bus, avec des modifications mineures. Des informations générales
sur la série ISO 11783 peuvent être consultées dans l'ISO 11783-1.
L'objectif de la série ISO 11783 est de proposer un système ouvert pour les systèmes électroniques embarqués
interconnectés. Elle vise à permettre la communication entre unités de commande électroniques (UCE) en
proposant un système normalisé.
1) Society of automotive engineers.
vii
PROJET FINAL Norme internationale ISO/FDIS 11783-3:2025(fr)
Tracteurs et matériels agricoles et forestiers — Réseaux de
commande et de communication de données en série —
Partie 3:
Couche d'application, couche transport et couche réseau
1 Domaine d’application
Le présent document spécifie la couche d'application du modèle OSI (Open Systems Interconnection ou
interconnexion de systèmes ouverts), les couches transport et réseau, ainsi que le mappage avec le protocole
de couche de liaison de données CAN comme spécifié dans l'ISO 11898-1. La couche d'application spécifie
des messages qui sont mappés aux trames de données CAN CC à l'aide du format CEFF. Pour les messages
dépassant la longueur des trames de données formatées CEFF, le présent document spécifie les protocoles
de la couche transport et de la couche réseau fondés sur les pratiques recommandées dans la SAE J1939-21.
2 Références normatives
Les documents suivants sont cités dans le texte de sorte qu’ils constituent, pour tout ou partie de leur
contenu, des exigences du présent document. Pour les références datées, seule l’édition citée s’applique. Pour
les références non datées, la dernière édition du document de référence s'applique (y compris les éventuels
amendements).
ISO 11783-1, Tracteurs et matériels agricoles et forestiers — Réseaux de commande et de communication
de données en série — Partie 1: Système normalisé général pour les communications de données avec les
équipements mobiles
ISO 11783-5, Tracteurs et matériels agricoles et forestiers — Réseaux de commande et de communication de
données en série — Partie 5: Gestion du réseau
ISO 11783-7, Tracteurs et matériels agricoles et forestiers — Réseaux de commande et de communication de
données en série — Partie 7: Couche d’application de base
ISO 11898-1, Véhicules routiers — Gestionnaire de réseau de communication (CAN) — Partie 1: Couche liaison
de données et sous-couche de codage physique
3 Termes et définitions
Pour les besoins du présent document, les termes et les définitions de l’ISO 11783-1, l’ISO 11898-1, ainsi que
les suivants s’appliquent.
L'ISO et l'IEC tiennent à jour des bases de données terminologiques destinées à être utilisées en normalisation,
consultables aux adresses suivantes:
— ISO Online browsing platform: disponible à l’adresse https:// www .iso .org/ obp
— IEC Electropedia: disponible à l’adresse https:// www .electropedia .org/
3.1
message à paquets multiples
message dont les données ne suffisent pas au champ de données d'une seule trame de données CAN (c'est-à-
dire des messages avec plus de huit octets de paramètres)
3.2
paquet de transfert de données
paquet contenant des données qui font partie d'un message plus grand et qui est transmis par TP.DT ou
par ETP.DT
3.3
demande d'émettre
RTS
message utilisé pour obtenir l'autorisation d'envoyer un bloc de données
3.4
prêt à émettre
CTS
message utilisé pour accorder l'autorisation à un expéditeur d'un bloc de données
3.5
valeur de la fonction de groupe
GFV
numéro à huit bits non signé qui identifie un paramètre unique ou une séquence de paramètres dans un PG
dédié
Note 1 à l'article: Les valeurs suivent les recommandations relatives à un paramètre à un octet données dans
l'ISO 11783-7.
3.6
valeur de la fonction de groupe étendue
EGFV
nombre à un, deux ou trois octets qui identifie un paramètre unique ou une séquence de paramètres dans
un PG dédié
Note 1 à l'article: L'interprétation des valeurs est spécifique et définie par le constructeur.
3.7
message
entité de protocole de la couche d'application telle que les groupes de paramètres (PG)
3.8
controller area network
CAN
technologie de communication en série couvrant la couche liaison de données et la sous-couche de codage
physique conformément à l'ISO 11898-1, ainsi que la sous-couche de raccordement au support physique
(PMA) conformément à l'ISO 11898-2
Note 1 à l'article: Il existe trois types de formats de trame: CAN CC (classique), CAN FD (taux de données flexible) et
CAN XL (longueur du champ de données étendue). La présente série de documents n'utilise que le format de trame
CAN CC.
Note 2 à l'article: Il existe cinq types de PMA: CAN HS (grande vitesse), CAN FD, CAN SIC (capacité d'amélioration du
signal), CAN SIC XL, et CAN FT (tolérance aux pannes). La présente série de documents n'utilise que le type CAN HS.
3.9
adresse source
SA (source address)
nombre qui identifie la FC de la source d'un message
3.10
adresse de destination
DA (destination address)
nombre qui identifie la FC du récepteur d'un message
4 Symboles et termes abrégés
ACK acknowledgement (accusé de réception)
CAN CC CAN classic (CAN classique)
CAN FD CAN flexible data rate (CAN taux de données flexible)
CAN XL CAN extended data-field length (CAN longueur du champ de données étendue)
CBFF classic basic frame format (format de trame classique de base)
CEFF classic extended frame format (format de trame classique étendue)
CRC cyclic redundancy check (contrôle de redondance cyclique)
DP data page (page de données)
EDP extended data page (page de données étendue)
EOF end of frame (fin de trame)
FC controller function (fonction de contrôle)
PDU protocol data unit (unité de données de protocole)
PF PDU format (format PDU)
PS PDU specific (spécifique PDU)
GE group extension (extension de groupe)
GFI group function index (indice de la fonction de groupe)
IDE identifier extension (extension d'identificateur)
N/A non applicable
RTR remote transmission request (demande de télétransmission)
SOF start of frame (début de trame)
SRR substitute remote request bit (demande à distance de remplacement)
5 Description générale
6 Exigences techniques
6.1 Mappage des messages aux trames de données CAN
6.1.1 Exigences générales et recommandations
Les messages spécifiés dans le présent document doivent être mis en correspondance avec les trames de
données CAN au format CEFF qui utilisent des champs d'identificateur à 29 bits. Les trames de données CAN
au format CBFF peuvent être transmises à des fins exclusives (voir 6.1.4 pour plus de détails). Une UCE
conforme au présent document ne doit pas transmettre de trames de données CAN FD, ni de trames de
données CAN XL et pas de trames à distance CAN non plus.
NOTE L'entité de la couche liaison de données CAN envoie les trames d'erreur CAN et les trames de surcharge
CAN comme spécifié dans l'ISO 11898-1.
6.1.2 Mappage des messages de l'ISO 11783 aux trames de données CAN au format CEFF
Le message au format CEFF, illustré à la Figure 1, contient une seule unité de données de protocole (PDU).
Les PDU sont composées de sept champs prédéfinis remplis à l'aide des informations fournies par la couche
application:
— priorité;
— EDP;
— DP;
— PF;
— PS, qui peut être une DA, une GE;
— SA;
— données.
Voir 6.2 pour une description détaillée de chaque champ, et 6.3 pour les formats PDU.
a) CBFF
b) CEFF
Figure 1 — Trames de données CAN CC
Ces champs sont ensuite regroupés dans une trame de données CAN CC et transmis sur le support physique
à d'autres contrôleurs du réseau. Les couches du modèle OSI que la série ISO 11783 prend en charge sont
illustrées à la Figure 2. Il est possible que certaines définitions de PG nécessitent plusieurs trames de
données CAN CC pour transmettre leurs informations.
Figure 2 — Application du modèle OSI conformément à la série ISO 11783
Le Tableau 1 indique les champs d'arbitrage et de contrôle de l'identificateur à 29 bits pour CAN, de
l'identificateur à 29 bits pour la série ISO 11783 et de l'identificateur à 11 bits pour CAN, ainsi que
l'utilisation de l'identificateur à 11 bits pour un réseau défini de la série ISO 11783. Une définition complète
de chacune des affectations de champs de bits conformément à la série ISO 11783 est donnée en 6.3. Dans
la série ISO 11783, le champ de trame de données CAN se compose des octets un à huit. Le bit le plus
significatif (MSB, most significant bit) de l'octet un, le bit huit, est le premier bit transmis le plus proche du
code de longueur de données (DLC, data length code). Le bit le moins significatif (LSB, least significant bit) de
l'octet huit, le bit un, est le dernier des bits de données transmis et est le plus proche du champ de contrôle
de redondance cyclique (CRC). Voir Figure 3.
Tableau 1 — Mappage des champs de l'ISO 11783 aux champs d'arbitrage et de contrôle CAN
Identificateur CAN de 29 bits Identificateur CAN de 11 bits
CAN ISO 11783 CAN ISO 11783
ID28 P3 ID28 P3
ID27 P2 ID27 P2
ID26 P1 ID26 P1
ID25 EDP ID25 SA8
ID24 DP ID24 SA7
ID23 PF8 ID23 SA6
ID22 PF7 ID22 SA5
ID21 PF6 ID21 SA4
ID20 PF5 ID20 SA3
ID19 PF4 ID19 SA2
ID18 PF3 ID18 SA1
ID17 PF2 - -
ID16 PF1 - -
ID15 PS8 - -
TTabableleaauu 1 1 ((ssuuiitte)e)
Identificateur CAN de 29 bits Identificateur CAN de 11 bits
CAN ISO 11783 CAN ISO 11783
ID14 PS7 - -
ID13 PS6 - -
ID12 PS5 - -
ID11 PS4 - -
ID10 PS3 - -
ID9 PS2 - -
ID8 PS1 - -
ID7 SA8 - -
ID6 SA7 - -
ID5 SA6 - -
ID4 SA5 - -
ID3 SA4 - -
ID2 SA3 - -
ID1 SA2 - -
ID0 SA1 - -
P# Bit de priorité n° (#), conformément au présent document
EDP Page de données étendue, conformément au présent document
SA# Bit d'adresse source n° (#), conformément au présent document
DP Page de données, conformément au présent document
PF# Bit de format PDU n° (#), conformément au présent document
PS# Bit spécifique PDU n° (#), conformément au présent document
Figure 3 — Champ de données CAN CC
6.1.3 Numéros de groupe de paramètres (PGN, parameter group numbers)
Le mappage du PGN à 18 bits dans le champ de données du PG à 24 bits est effectué comme suit.
La valeur de 24 bits doit être transmise avec l'octet le moins significatif (LSB) en premier (voir le Tableau 2,
qui indique également que l'octet le plus significatif [MSB] est transmis en troisième, l'octet médian en
second et l'octet le moins significatif en premier). Le PGN à 24 bits doit être déterminé à l'aide des composants
suivants: six bits mis à zéro, bit d'EDP, bit de DP, champ de PF (huit bits) et champ de PS (huit bits).
Le mode opératoire de conversion des champs de bits en PGN est le suivant.
Les six bits les plus significatifs du PGN doivent être mis à zéro. Puis le bit EDP, le bit DP et le champ PF
doivent être copiés dans les 10 bits suivants. Si la valeur PF est inférieure à 240 (F0 ), alors l'octet le moins
significatif du PGN doit être mis à zéro. Sinon, il peut être mis à la valeur du champ PS. Voir le Tableau 2 pour
une illustration des PGN, de leurs bits correspondants et de leur conversion en un nombre décimal.
NOTE Les 131 072 combinaisons (2 ) ne peuvent pas toutes être affectées comme PGN. Seules 8 672 combinaisons
sont disponibles pour l'affectation (calculées de la manière suivante: 2 pages × [240 + (16 × 256)] = 8 672, en appliquant
les conventions spécifiées dans le présent document. Voir l'ISO 11783-1 pour les dernières affectations de PGN.
Tableau 2 — Exemples de numéros de groupes de paramètres
Composants du PGN
PGN
PGN (LSB)
Octet 2
PGN (MSB)
Octet 3
transmis
transmis
Octet 1
en deu-
Nombres
en premier
transmis en troi-
xième
de Nombre de
dans le
sième
PGN Affecté par
dans le
PG affec- PG cumulés
champ de
dans le champ de
champ de
tables
données
données CAN
données
CAN
CAN
EDP DP PF PS
Bit
8 à 3
Bit 2 Bit 1 Bit 8 à 1 Bit 8 à 1
0 0 0 0 à 238 0 000000 à 00EE00 239 239 ISO
0 0 0 239 0 00EF00 1 240 MF
0 0 0 240 à 254 0 à 255 00F000 à 00FEFF 3 840 4 080 ISO
0 0 0 255 0 à 255 00FF00 à 00FFFF 256 4 336 MF
0 0 1 0 à 238 0 010000 à 01EE00 239 4 575 ISO
0 0 1 239 0 01EF00 1 4 576 MF
0 0 1 240 à 255 0 à 255 01F000 à 01FFFF 4 096 8 672 ISO
Légende
MF Manufacturer (constructeur)
6.1.4 Prise en charge par l'ISO 11783 de trames de donnés au format CBFF de l'ISO 11898-1
Les contrôleurs du réseau, basés sur la série ISO 11783, peuvent prendre en charge les trames de données
au format CBFF. Bien que ce format ne soit pas compatible avec la structure de message conforme à la
série ISO 11783, un niveau minimal de définition est donné pour s'adapter à la coexistence des deux
formats. Cette définition minimale permet aux contrôleurs qui utilisent ce format de réduire l'interférence
avec d'autres contrôleurs. Les messages au format CBFF sont définis comme étant exclusifs. Il convient de
ne pas transmettre les messages au format CBFF en raison des impacts en temps réel et du comportement
temporel pour les messages normalisés dans la série ISO 11783. En se reportant au Tableau 1, le champ
de l'identificateur CAN à 11 bits est analysé de la manière suivante: les trois bits les plus significatifs sont
utilisés comme des bits de priorité, et les huit bits les moins significatifs identifient la SA de la PDU. Les bits
de priorité sont décrits en 6.2.2. La SA est décrite en 6.2.7.
Un arbitrage incorrect des accès au bus peut se produire lorsque deux messages, un à trame standard et l'autre
à trame étendue, accèdent simultanément au bus. La SA a une priorité relative plus élevée dans les messages
à trame standard que dans les messages à trame étendue. Le message contenant l'identificateur CAN à
11 bits (trame standard) peut avoir une SA indiquant une priorité plus élevée que celle du bit d'EDP, le bit
de DP ou le PF du message à identificateur à 29 bits (trame étendue). Il convient d'utiliser les trois bits de
priorité pour obtenir un arbitrage correct des accès au bus.
6.2 Unité de données de protocole (PDU)
6.2.1 Généralités
L'unité de données de protocole (PDU), telle que spécifiée dans le présent document, doit être composée des
sept champs répertoriés en 6.1.2 et de ceux spécifiés ci-dessous. Ces champs doivent ensuite être regroupés
dans une ou plusieurs trames de données CAN CC et transmis sur le support physique à d'autres contrôleurs
du réseau. Il n'y a qu'une PDU possible par trame de données CAN CC.
NOTE Certaines définitions de PG nécessitent plusieurs trames de données CAN CC pour transmettre les données
correspondantes.
Certains bits des champs de la trame de données CAN CC sont exclus de la définition de la PDU, parce qu'ils
sont entièrement contrôlés par la couche liaison de données CAN. Ils comprennent les champs SOF, SRR, IDE,
RTR, CRC, ACK et EOF, et des parties du champ de contrôle.
Les champs de la PDU (voir Figure 4) sont spécifiés dans les paragraphes 6.2.2 à 6.2.8.
Figure 4 — Champs de la PDU
6.2.2 Priorité (P)
6.2.2.1 Champ de priorité
Les trois bits du champ de priorité (P3, P2, P1) doivent être mappés avec les trois bits d'identificateur CAN
de priorité la plus élevée (comme spécifié dans le Tableau 1). Sur les nœuds CAN récepteurs, le champ de
priorité doit être ignoré.
La valeur de champ de priorité de 000 a la priorité la plus élevée et la valeur de 111 a la priorité la plus
2 2
faible conformément à l'ISO 11898-1. Voir l'Annexe B pour des informations supplémentaires sur l'affectation
des valeurs de priorité aux messages.
6.2.2.2 Priorité attribuée
Les messages avec une priorité attribuée doivent utiliser la priorité attribuée.
NOTE 1 La priorité attribuée est destinée à atteindre la latence requise par l'application pour les messages.
NOTE 2 Les messages de protocole de transport (voir 6.9.4, 6.9.5, 6.10.5.2 et 6.10.6) utilisent leur priorité attribuée
et la priorité attribuée du PG véhiculé n'est pas utilisée.
6.2.2.3 Priorité par défaut
Il convient d'envoyer les messages avec une priorité par défaut avec la priorité donnée dans l'Annexe B. Les
messages avec la priorité par défaut peuvent être envoyés avec la priorité spécifiée pour le message.
6.2.3 Page de données étendue (EDP)
Le bit d'EDP est utilisé conjointement au bit de DP pour déterminer la structure de l'identificateur CAN de la
trame de données CAN CC. Le bit d'EDP doit être mis à zéro sur les messages transmis. (Voir le Tableau 3 qui
indique les utilisations définies des champs EDP et DP.)
6.2.4 Page de données (DP)
Le bit de DP est utilisé conjointement au bit d'EDP pour déterminer la structure de l'identificateur CAN de la
trame de données CAN CC. Le bit d'EDP étant mis à zéro, le bit de DP sélectionne la page zéro ou la page une
des descriptions du PG. Voir Tableau 3.
Tableau 3 — Définition pour l'utilisation de la page de données étendue (EDP) et de la page de
données (DP)
EDP DP
Bit 25 Bit 24
Description
ID 25 bits CAN ID 24 bits CAN
0 0 PG page 0 selon l'ISO 11783
0 1 PG page 1 selon l’ISO 11783
1 0 Réservé par la série SAE J1939
1 1 Réservé par la série SAE J1939
NOTE Il n'y a pas de mappage de DP 10 et 11 à un Identificateur de CAN spécifié.
2 2
6.2.5 Format PDU (PF)
Le PF est un champ à 8 bits qui détermine le format PDU, tel que spécifié dans le Tableau 4.
Tableau 4 — Définition du champ spécifique à la PDU (PS)
Format PDU PF PS
PDU1 00 à EF Adresse de destination (DA)
16 16
PDU2 F0 à FF Extension de groupe (GE)
16 16
6.2.6 Spécifique PDU (PS)
Le PS est un champ à 8 bits qui contient soit la DA ou la GE. Voir Tableau 4.
Dans le cas d'une DA de 00 à FD (adresse spécifique), seule la FC adressée doit traiter le message; il
16 16
convient que les autres FC l'ignorent. Si la DA correspond à FF (adresse globale), la FC doit traiter le
message.
NOTE Une DA de FE (adresse NULLE) n'est pas applicable en tant que DA.
Le champ GE, associé aux quatre bits les moins significatifs du champ PF, assure 4 096 PG PDU2
supplémentaires par page de données.
NOTE Lorsque les quatre bits les plus significatifs du champ de format PDU sont fixés, cela signifie que le champ
PS est un champ de GE.
En outre, 240 PG sont réservés dans chaque page de données à une utilisation dans le format PDU à
destination spécifique (format PDU1). Au total, 8 672 PG peuvent être définis en utilisant les deux pages de
données disponibles.
Ce nombre total est calculé en utilisant la Formule (1):
[240 + (16 × 256)] × 2 = 8 672 (1)
où
240 est le nombre de valeurs de champs de format PDU disponibles par page de données (c'est-à-
dire format PDU1, champ PS = DA);
16 est le nombre de valeurs de format PDU par valeur de GE (c'est-à-dire format PDU2 uniquement);
256 est le nombre de valeurs d'extension de groupe possibles (c'est-à-dire format PDU2
uniquement);
2 est le nombre d'états de la page de données (les deux formats PDU).
Voir aussi 6.3.
6.2.7 Adresse source (SA)
La SA est un champ à 8 bits. Une FC ne doit utiliser qu'une seule SA. Il ne doit y avoir qu'une seule FC sur le
réseau avec une SA donnée.
NOTE La gestion et l'affectation des adresses, ainsi que les modes opératoires empêchant la duplication de SA,
sont détaillés dans l'ISO 11783-5.
6.2.8 Champ de données de PG
6.2.8.1 Champ de données de PG avec une longueur fixe de zéro octet à huit octets
Lorsqu'un PG nécessite huit octets de données ou moins pour les paramètres de transport, il peut alors être
mappé à une seule trame de données CAN au format CEFF. Il convient que les PG allouent huit octets du
champ de données CAN indépendamment de la taille des paramètres mappés. Cette procédure fournit un
moyen d'ajouter des paramètres et d'éviter l'incompatibilité avec des révisions antérieures qui définissent
uniquement une partie du champ de données CAN. Les octets de champ de données CAN restants, non
utilisés, doivent être définis comme «non disponibles» (voir ISO 11783-7:2022, 3.3.4). Lorsque le nombre
d'octets de données de paramètres associés à un PG est spécifié, il ne peut pas être modifié. Par exemple, le
PG Demande (PGN 59 904), a une longueur de données de PG de trois octets, le DLC du CAN est donc défini
sur trois.
NOTE Une fonction de groupe (voir 6.4.6), par exemple les commandes de VT (telles que spécifiées dans
l'ISO 11783-6,:2018, 5.2.6), utilise la même longueur de champ de données, car le PG est le même.
6.2.8.2 Champ de données de PG supérieures à huit octets
Lorsqu'un PG nécessite plus de huit octets de données, il est ensuite mappé à plusieurs trames de
données CAN CC représentant respectivement des segments de paquets. Le terme paquet multiple
est utilisé pour décrire ce type de PG. Un PG défini comme étant un paquet multiple, ayant moins de
neuf octets de données à transférer dans une instance spécifique, doit être transmis dans une seule trame
de données CAN CC, le DLC étant mis à huit. Lorsqu'un PG particulier a neuf octets de données ou plus à
transférer, alors l'une des fonctions de protocole de transport est utilisée. La capacité de gestion des
connexions de la fonction de transport est utilisée pour établir et arrêter la transmission des PG à paquets
multiples. La capacité de transfert de données du protocole de transport est utilisée pour transmettre les
données elles-mêmes en une série de paquets mappés à des trames de données CAN CC uniques contenant
les données «mises en paquets». Par ailleurs, la fonction de protocole de transport assure un contrôle de flux
et offre des capacités d'établissement d'une liaison pour des transferts à destination spécifique (voir 6.9).
Toutes les trames de données CAN CC associées à une réponse à paquets multiples particulière doivent
avoir un DLC de huit. Tous les octets de données non utilisés doivent être mis à «non disponible». Le nombre
d'octets par paquet est fixe; cependant, la série ISO 11783 définit des messages à paquets multiples qui
ont un nombre variable et/ou fixe de paquets. Le PG pour les codes de diagnostic actifs est un exemple de
message à paquets multiples ayant un nombre variable de paquets. Les PG qui sont définis comme à paquets
multiples utilisent uniquement le protocole de transport, lorsqu'un nombre d'octets de données supérieur à
huit est nécessaire.
6.3 Formats des unités de données de protocole (PDU)
6.3.1 Généralités
Les formats de PDU, illustrés à la Figure 5, sont PDU1 (PS = DA) et PDU2 (PS = GE). Le format PDU1 permet
de diriger la trame de données CAN CC vers une adresse spécifique de destination (FC); le format PDU2 ne
peut transmettre que des trames de données CAN CC n'ayant pas de destination spécifique. Deux formats
distincts de PDU sont créés afin d'offrir un plus grand nombre de combinaisons possibles de PGN, tout en
assurant toujours les communications à destination spécifique. Les définitions des PG exclusifs ont été
affectées de sorte que les deux formats de PDU peuvent être utilisés pour des communications exclusives.
Une méthode normalisée a été déterminée pour les communications exclusives afin d'éviter tout conflit
éventuel dans l'usage des identificateurs.
La définition de PGN exclusifs a été établie afin de permettre l'utilisation des formats PDU1 et PDU2.
L'interprétation des informations exclusives varie selon le constructeur.
a) PDU1
b) PDU2
Figure 5 — Formats PDU
6.3.2 Format PDU1
Les messages du format PDU1 peuvent être envoyés à une destination spécifique ou globale, car le champ PS
contient la DA.
Les messages au format PDU1 peuvent être demandés ou envoyés comme des messages non sollicités.
Les messages au format PDU1 sont déterminés par le champ PF. Lorsque la valeur du champ de format PDU
est comprise entre 0 et 239, le message es
...












Questions, Comments and Discussion
Ask us and Technical Secretary will try to provide an answer. You can facilitate discussion about the standard in here.
Loading comments...