ISO 10366-1:1993
(Main)Plastics — Methyl methacrylate/acrylonitrile/butadiene/styrene (MABS) moulding and extrusion materials — Part 1: Designation system and basis for specifications
Plastics — Methyl methacrylate/acrylonitrile/butadiene/styrene (MABS) moulding and extrusion materials — Part 1: Designation system and basis for specifications
The types of MABS plastics are differentiated from each other by a classification system based on appropriate levels of the designatory properties Vicat softening temperature, melt flow rate, impact strength, flexural modulus and on information about basic polymer parameters, intended application and/or method of processing, important properties, additives, colorants, fillers and reinforcing materials. Is applicable to materials ready for normal use in the form of powder, granules or pellets and to materials unmodified or modified by colorants, additives, fillers, etc.
Plastiques — Méthylméthacrylate/acrylonitrile/butadiène/ styrène (MABS) pour moulage et extrusion — Partie 1: Système de désignation et base de spécification
La présente partie de l'ISO 10366 établit un système de désignation des matériaux thermoplastiques MABS qui peut être utilisé comme base pour les spécifications. Les types de plastiques MABS sont différenciés les uns des autres par un système de classification basé sur des niveaux appropriés de(s) propriété(s) de désignation : a) température de ramollissement Vicat ; b) indice de fluidité ; c) résistance au choc ; d) module de flexion, et des informations concernant certains paramètres du polymère de base, l'application prévue et/ou la méthode de mise en oeuvre, les propriétés importantes, les additifs, colorants, matériaux de charge et renfort. La présente partie de l'ISO 10366 est applicable à tous les matériaux thermoplastiques à base de méthylméthacrylate/acrylonitrile/butadiène/styrène constitué d'une phase continue de polymères de styrène (et/ou de styrène alkyl-substitué), acrylonitrile, méthyl méthacrylate et d'une phase dispersée élastomérique à base de butadiène. Elle est applicable aux matériaux prêts à l'emploi sous forme de poudres, grains ou granulés, non modifiés ou modifiés par des colorants, additifs, charges, etc. Le fait que des matériaux aient la même désignation n'implique pas qu'ils présentent nécessairement les mêmes performances. La présente partie de l'ISO 10366 ne comporte pas de données sur la conception, la performance ou les conditions de mise en oeuvre qui peuvent être exigées pour spécifier un matériau pour une application et/ou une méthode de mise en oeuvre particulière. Si de telles caractéristiques additionnelles sont nécessaires, elles doivent être déterminées conformément aux méthodes d'essai prescrites dans l'ISO 10366-2, si appropriée. Afin de prescrire un matériau thermoplastique pour une application particulière ou d'assurer une méthode de mise en oeuvre reproductible, des exigences additionnelles peuvent être codées dans le bloc de données 5 (voir article 3, alinéa d'introduction).
General Information
- Status
- Withdrawn
- Publication Date
- 22-Dec-1993
- Withdrawal Date
- 22-Dec-1993
- Technical Committee
- ISO/TC 61/SC 9 - Thermoplastic materials
- Drafting Committee
- ISO/TC 61/SC 9/WG 7 - Styrene polymers
- Current Stage
- 9599 - Withdrawal of International Standard
- Start Date
- 10-Oct-2002
- Completion Date
- 12-Feb-2026
Relations
- Effective Date
- 15-Apr-2008
ISO 10366-1:1993 - Plastics -- Methyl methacrylate/acrylonitrile/butadiene/styrene (MABS) moulding and extrusion materials
ISO 10366-1:1993 - Plastiques -- Méthylméthacrylate/acrylonitrile/butadiene/ styrene (MABS) pour moulage et extrusion
ISO 10366-1:1993 - Plastiques -- Méthylméthacrylate/acrylonitrile/butadiene/ styrene (MABS) pour moulage et extrusion
Get Certified
Connect with accredited certification bodies for this standard

Smithers Quality Assessments
US management systems and product certification.
DIN CERTCO
DIN Group product certification.
Sponsored listings
Frequently Asked Questions
ISO 10366-1:1993 is a standard published by the International Organization for Standardization (ISO). Its full title is "Plastics — Methyl methacrylate/acrylonitrile/butadiene/styrene (MABS) moulding and extrusion materials — Part 1: Designation system and basis for specifications". This standard covers: The types of MABS plastics are differentiated from each other by a classification system based on appropriate levels of the designatory properties Vicat softening temperature, melt flow rate, impact strength, flexural modulus and on information about basic polymer parameters, intended application and/or method of processing, important properties, additives, colorants, fillers and reinforcing materials. Is applicable to materials ready for normal use in the form of powder, granules or pellets and to materials unmodified or modified by colorants, additives, fillers, etc.
The types of MABS plastics are differentiated from each other by a classification system based on appropriate levels of the designatory properties Vicat softening temperature, melt flow rate, impact strength, flexural modulus and on information about basic polymer parameters, intended application and/or method of processing, important properties, additives, colorants, fillers and reinforcing materials. Is applicable to materials ready for normal use in the form of powder, granules or pellets and to materials unmodified or modified by colorants, additives, fillers, etc.
ISO 10366-1:1993 is classified under the following ICS (International Classification for Standards) categories: 83.080.20 - Thermoplastic materials. The ICS classification helps identify the subject area and facilitates finding related standards.
ISO 10366-1:1993 has the following relationships with other standards: It is inter standard links to ISO 10366-1:2002. Understanding these relationships helps ensure you are using the most current and applicable version of the standard.
ISO 10366-1:1993 is available in PDF format for immediate download after purchase. The document can be added to your cart and obtained through the secure checkout process. Digital delivery ensures instant access to the complete standard document.
Standards Content (Sample)
INTERNATION Is0
10366-I
STANDARD
First edition
1993-I 2-l 5
Plastics - Methyl methacrylatel
acrylonitrile/butadiene/styrene (MABS)
moulding and extrusion materials -
Part 1:
Designation system and basis for
specifications
P/as tiques - M&hy/m&hacry/ate/acry/onitri/e/butadi~ne/styr~ne (MABS)
pour moulage et extrusion -
Partie I: Systhme de dhigna tion et base de spkifica tion
Reference number
IS0 10366-I :I 993(E)
IS0 10366=1:1993(E)
Foreword
IS0 (the International Organization for Standardization) is a worldwide
federation of national standards bodies (IS0 member bodies). The work
of preparing International Standards is normally carried out through IS0
technical committees. Each member body interested in a subject for
which a technical committee has been established has the right to be
represented on that committee. International organizations, governmental
and non-governmental, in liaison with ISO, also take part in the work. IS0
collaborates closely with the International Electrotechnical Commission
(IEC) on all matters of electrotechnical standardization.
Draft International Standards adopted by the technical committees are
circulated to the member bodies for voting. Publication as an International
Standard requires approval by at least 75 % of the member bodies casting
a vote.
International Standard IS0 10366-l was prepared by Technical Committee
ISOnC 61, Plastics, Sub-Committee SC 9, Thermoplastic materials.
IS0 10366 consists of the following parts, under the general title
P/as tics - Methyl methacrylate/acrylonitrile/butadiene/styrene (MABS)
moulding and extrusion materials:
- Part 1: Designation system and basis for specifications
- Part 2: Preparation of test specimens and determination of proper-
ties
0 IS0 1993
All rights reserved. No part of this publication may be reproduced or utilized in any form or
by any means, electronic or mechanical, including photocopying and microfilm, without per-
mission in writing from the publisher.
International Organization for Standardization
Case Postale 56 l CH-1211 Geneve 20 l Switzerland
Printed in Switzerland
ii
INTERNATIONAL STANDARD IS0 10366=1:1993[E)
Plastics - Methyl methacrylate/
acrylonitrile/butadiene/styrene (MABS) moulding and
extrusion materials -
Part I:
Designation system and basis for specifications
1 Scope
1.1 This part of IS0 10366 establishes a system of designation for MABS thermoplastic materia I, which may be
used as the basis for specifications.
1.2 The types of MABS plastics are differentiated from each other by a classification system based on appro-
priate levels of the designatoty properties
a) Vicat softening temperature
b) melt flow rate
c) impact strength
d) flexural modulus
and on information about basic polymer parameters, intended application and/or method of processing, important
properties, additives, colorants, fillers and reinforcing materials.
1.3 This part of IS0 10366 is applicable to all transparent methyl methacrylate/acrylonitrile/butadiene/styrene
thermoplastic materials comprised of a continuous phase consisting of polymers of styrene (and/or an alkyl-
substituted styrene), actylonitrile and poly(methyl methacrylate), and a dispersed elastomeric phase based on
butadiene.
It applies to materials ready for normal use in the form of powder, granules or pellets and to materials unmodified
or modified by colorants, additives, fillers, etc.
1.4 It is not intended to imply that materials having the same designation give necessarily the same perform-
ance. This part of IS0 10366 does not provide engineering data, performance data or data on processing conditions
which may be required to specify a material for a particular application and/or method of processing.
If such additional properties are required, they shall be determined in accordance with the test methods specified
in part 2 of this International Standard, if suitable.
1.5 In order to specify a thermoplastic material for a particular application or to ensure reproducible processing,
additional requirements may be given in data block 5 (see clause 3, introductory paragraph).
IS0 10366=1:1993(E)
2 Normative references
The following standards contain provisions which, through reference in this text, constitute provisions of this part
of IS0 10366. At the time of publication, the editions indicated were valid. All standards are subject to revision,
and parties to agreements based on this part of IS0 10366 are encouraged to investigate the possibility of applying
the most recent editions of the standards indicated below. Members of IEC and IS0 maintain registers of currently
valid International Standards.
IS0 1043-I :I 987, Plastics - Symbols -
Part I: Basic polymers and their special characteristics.
IS0 1133:1991, Plastics - Determination of the melt mass-flow rate (MFR) and the melt volume-flow rate (MVR)
of thermoplastics.
IS0 10366-2:-1), Plastics - Methyl methacrylate/ acrylonitrile/butadiene/styrene (MA BS) moulding and extrusion
materials - Part 2: Preparation of test specimens and determination of properties.
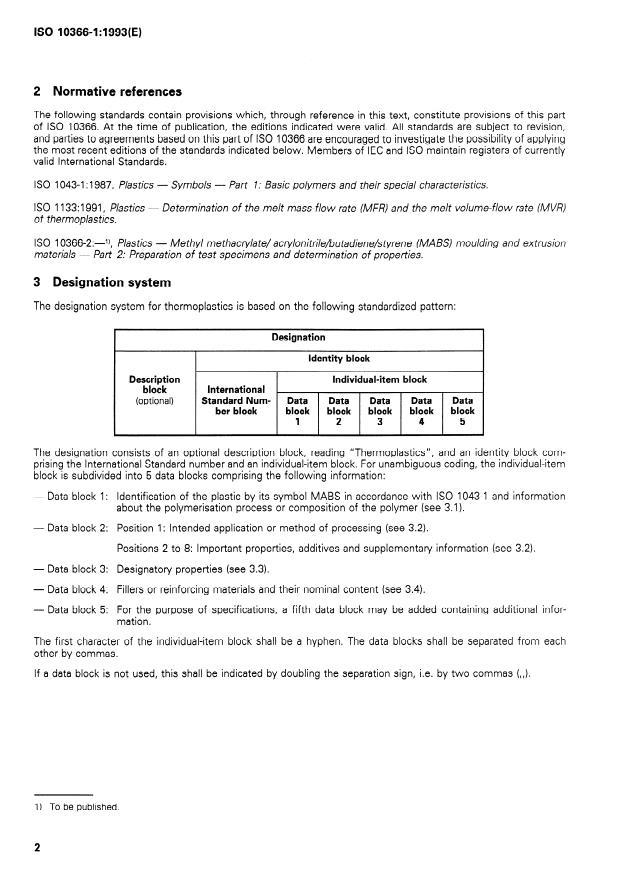
3 Designation system
The designation system for thermoplastics is based on the following standardized pattern:
Designation
Identity block
Description Individual-item block
block International
(optional) Standard Num- Data Data Data Data Data
ber block block block block block block
1 2 3 4 5
The designation consists of an optional description block, reading “Thermoplastics”, and an identity block com-
prising the International Standard number and an individual-item block. For unambiguous coding, the individual-item
block is subdivided into 5 data blocks comprising the following information:
- Data block 1: Identification of the plastic by its symbol MABS in accordance with IS0 1043-I and information
about the polymerisation process or composition of the polymer (see 3.1).
- Data block 2: Position 1: Intended application or method of processing (see 3.2).
Positions 2 to 8: Important properties, additives and supplementary information (see 3.2).
- Data block 3: Designator-y properties (see 3.3).
Fillers or reinforcing materials and their nominal content (see 3.4).
- Data block 4:
- Data block 5: For the purpose of specifications, a fifth data block may be added containing additional infor-
mation.
The first character of the individual-item block shall be a hyphen. The data blocks shall be separated from each
other by commas.
If a data block is not used, this shall be indicated by doubling the separation sign, i.e. by two commas (,,).
1) To be published.
IS0 10366=1:1993(E)
3.1 Data block 1
In this data block, after the hyphen, methyl methacrylate/actylonitrile/butadiene/styrene plastics are identified by
the symbol “MABS”, in accordance with IS0 1043-I I followed by a hyphen and a single code-letter, giving ad-
ditional information on the polymer as specified in table I.
Table 1 - Code-letters used for additional information in data block 1
Code-letter Range of AN content Range of MMA content
% (m/m) % (m/m)
I
A <30 >lObut<50
>50 but,< 80
B <30
>I0 but< 50
C 2 30
D > 30
The AN content of the continuous phase shall be determined in accordance with IS0 1O366-2:-2), annex A.
The MMA content of the compound shall be determined by analysis of the oxygen content.
2) To be published.
IS0 10
...
NORME ISO
INTERNATIONALE 10366-l
Premiére édition
1993-l 2-l 5
Plastiques - Méthylméthacrylate/
acrylonitrile/butadiène/styrène (MABS)
pour moulage et extrusion -
Partie 1:
Système de désignation et base de
spécification
P/as tics - Methyl methacrylate/acrylonitrile/butadiene/styrene (MA BS)
moulding and extrusion materials -
Part 1: Designa tion system and basis for specifica tions
Numéro de référence
ISO 10366-I :1993(F)
Avant-propos
L’ISO (Organisation internationale de normalisation) est une féderation
mondiale d’organismes nationaux de normalisation (comités membres de
I’ISO). L’élaboration des Normes internationales est en général confiée aux
comités techniques de I’ISO. Chaque comité membre intéressé par une
Atude a le droit de faire partie du comite technique cree à cet effet. Les
organisations internationales, gouvernementales et non gouvernemen-
tales, en liaison avec I’ISO participent également aux travaux. L’ISO colla-
bore étroitement avec la Commission électrotechnique internationale (CEI)
en ce qui concerne la normalisation électrotechnique.
Les projets de Normes internationales adoptes par les comités techniques
sont soumis aux comites membres pour vote. Leur publication comme
Normes internationales requiert l’approbation de 75 % au moins des co-
mites membres votants.
La Norme internationale ISO 10366-l a eté élaborée par le comité techni-
lSO/TC 61, Plastiques, sous-comite SC 9, Matériaux
que
thermoplas tiques.
L’ISO 10366 comprend les parties suivantes, présentées sous le titre gé-
neral Plastiques - Méthylméthacrylate/acrylonitrile/butadiène/styrène
(MABS) pour moulage et extrusion:
- Partie 1: Système de désignation et base de spécifica tion
- Partie 2: Préparation des éprouvettes et détermination des proprié-
tés
0 ISO 1993
Droits de reproduction réservés. Aucune partie de cette publication ne peut être reproduite
ni utilisbe sous quelque forme que ce soit et par aucun procédé, électronique ou mécanique,
y compris la photocopie et les microfilms, sans l’accord Ecrit de Mditeur.
Organisation internationale de normalisation
Case Postale 56 l CH-1 211 Genéve 20 l Suisse
Imprime en Suisse
NORME INTERNATIONALE ISO 103664:1993(F)
Plastiques - Méthylméthacrylate/acrylonitrile/butadiène/
styrène (MABS) pour moulage et extrusion -
Partie 1:
Système de désignation et base de spécification
1 Domaine d’application
1.1 La présente partie de NS0 10366 établit un système de désignation des matériaux thermoplastiques MABS
qui peut être utilise comme base pour les spécifications.
1.2 Les types de plastiques MABS sont différencies les uns des autres par un systéme de classification basé
sur des niveaux appropries de(s) propriété(s) de désignation:
a) température de ramollissement Vicat;
b) indice de fluidité;
c) resistance au choc;
d) module de flexion,
et des informations concernant certains paramètres du polymère de base, l’application prévue et/ou la méthode
de mise en œuvre, les propriétés importantes, les additifs, colorants, materiaux de charge et renfort.
1.3 La présente partie de I’ISO 10366 est applicable à tous les matériaux thermoplastiques a base de
méthylméthacrylate/acrylonitrile/butadiène/styrene constitue d’une phase continue de polymères de styrène
(et/ou de styrène alkyl-substitué), actylonitrile, méthylméthacrylate et d’une phase dispersée élastomérique a base
de butadiene.
Elle est applicable aux materiaux prêts à l’emploi sous forme de poudres, grains ou granules, non modifies ou
modifies par des colorants, additifs, charges, etc.
1.4 Le fait que des matériaux aient la même désignation n’implique pas qu’ils présentent nécessairement les
mêmes performances. La présente partie de I’ISO 10366 ne comporte pas de données sur la conception, la per-
formance ou les conditions de mise en œuvre qui peuvent être exigées pour spécifier un materiau pour une ap-
plication et/ou une méthode de mise en œuvre particulière.
Si de telles caractéristiques additionnelles sont nécessaires, elles doivent être determinées conformément aux
méthodes d’essai prescrites dans NS0 10366-2, si appropriée.
1.5 Afin de prescrire un matériau thermoplastique pour une application particulière ou d’assurer une méthode
de mise en œuvre reproductible, des exigences additionnelles peuvent être codées dans le bloc de données 5 (voir
article 3, alinéa d’introduction).
1.5 Afin de prescrire un matériau thermoplastique pour une application particulière ou d’assurer une méthode
de mise en œuvre reproductible, des exigences additionnelles peuvent être codees dans le bloc de données 5 (voir
article 3, alinéa d’introduction).
2 Références normatives
Les normes suivantes contiennent des dispositions qui, par suite de la reférence qui en est faite, constituent des
dispositions valables pour la présente partie de I’ISO 10366. Au moment de la publication, les éditions indiquées
étaient en vigueur. Toute norme est sujette a révision et les parties prenantes des accords fondes sur la présente
partie de I’ISO 10366 sont invitees à rechercher la possibilité d’appliquer les éditions les plus recentes des normes
indiquées ci-après. Les membres de la CEI et de I’ISO possédent le registre des Normes internationales en vigueur
à un moment donne.
ISO 1043-l : 1987, Plastiques - Symboles - Partie 1: Polymères de base et leurs caractéristiques spéciales.
ISO 1133:1991, Plastiques - Détermination de l’indice de fluidité a chaud des thermoplastiques, en masse (MFR)
et en volume (MVR).
ISO 10366-2: -l), Plastiques - Méthylméthacrylate/acrylonitrile/butadiene/styrene (MABS) pour moulage et ex-
- Partie 2: Préparation des éprouvettes et détermination des propriétés.
trusion
3 Système de désignation
Le système de désignation des thermoplastiques est base sur un modèle normalisé, comprenant:
Dbsignation
Bloc d’identité
Bloc descripteur Bloc «numéro
de Norme inter-
(facultatif)
La désignation consiste en un bloc descripteur facultatif se lisant ((thermoplastique)) et un bloc d’identité com-
prenant le numéro de la Norme internationale et un bloc «objet particulier». Pour une désignation non ambigüe,
le block «objet particulier» est subdivise en cinq blocs de données, comprenant les informations suivantes:
- Bloc de données 1: identification du plastique par son symbole MABS selon I’ISO 1043-l et information
concernant le procédé de polymérisation ou la composition du polymère (voir 3.1).
- Bloc de données 2: Position 1: application prévue ou méthode de mise en œuvre (voir 3.2).
Positions 2 à 8: propriétés importantes, additives et informations supplémentaires (voir
. .
3 2)
- Bloc de données 3: propriétés de désignation (voir 3.3).
- Bloc de données 4: charges ou matieres de renforcement et leur teneur nominale (voir 3.4).
- Bloc de données 5: pour les besoins de spécification, un cinquième bloc de donnees contenant une infor-
mation additionnelle peut être ajoute.
Le premier caractère du bloc objet particulier doit être un tiret. Les blocs de données doivent être séparés les uns
des autres par des virgules.
Un bloc de donnees non utilise doit être indique en doublant le signe de séparation, c’est-à-dire par deux virgules
1) À publier.
3.1 Bloc de données 1
Dans ce bloc de données, aprés un tiret, les plastiques méthylméthacrylate/acrylonitrile/butadiène/styrène sont
identifies par leur symbole (MABS), selon I’ISO 1043-1, suivi par un tiret et une lettre-code fournissant des infor-
mations additionnelles sur le polymère comme prescrit dans le tableau 1.
Tableau 1 - Lettres-code utilisées pour les informations additionnelles du bloc
de données 1
Lettre-code Plage de la teneur en AN Plage de la teneur en MMA
[% (m/m)] [% Wm)]
A < 30 AOrnais<
B
< 30 > 50 mais G 80
C > 30 > 10 mais < 50
D
> 30 > 50
La teneur en AN de la phase continue doit être determinee conformément à I’ISO 10366.2:-3), annexe A.
La teneur en MMA de la composition doit être determinée par analyse de la teneur en oxygène.
2) À publier.
3.2 Bloc de données 2
Dans ce bloc de données, l’information relative à l’application prévue et/ou à la méthode de mise en œuvre est
donnée dans la position 1 et l’information relative aux propriétés important
...
NORME ISO
INTERNATIONALE 10366-l
Premiére édition
1993-l 2-l 5
Plastiques - Méthylméthacrylate/
acrylonitrile/butadiène/styrène (MABS)
pour moulage et extrusion -
Partie 1:
Système de désignation et base de
spécification
P/as tics - Methyl methacrylate/acrylonitrile/butadiene/styrene (MA BS)
moulding and extrusion materials -
Part 1: Designa tion system and basis for specifica tions
Numéro de référence
ISO 10366-I :1993(F)
Avant-propos
L’ISO (Organisation internationale de normalisation) est une féderation
mondiale d’organismes nationaux de normalisation (comités membres de
I’ISO). L’élaboration des Normes internationales est en général confiée aux
comités techniques de I’ISO. Chaque comité membre intéressé par une
Atude a le droit de faire partie du comite technique cree à cet effet. Les
organisations internationales, gouvernementales et non gouvernemen-
tales, en liaison avec I’ISO participent également aux travaux. L’ISO colla-
bore étroitement avec la Commission électrotechnique internationale (CEI)
en ce qui concerne la normalisation électrotechnique.
Les projets de Normes internationales adoptes par les comités techniques
sont soumis aux comites membres pour vote. Leur publication comme
Normes internationales requiert l’approbation de 75 % au moins des co-
mites membres votants.
La Norme internationale ISO 10366-l a eté élaborée par le comité techni-
lSO/TC 61, Plastiques, sous-comite SC 9, Matériaux
que
thermoplas tiques.
L’ISO 10366 comprend les parties suivantes, présentées sous le titre gé-
neral Plastiques - Méthylméthacrylate/acrylonitrile/butadiène/styrène
(MABS) pour moulage et extrusion:
- Partie 1: Système de désignation et base de spécifica tion
- Partie 2: Préparation des éprouvettes et détermination des proprié-
tés
0 ISO 1993
Droits de reproduction réservés. Aucune partie de cette publication ne peut être reproduite
ni utilisbe sous quelque forme que ce soit et par aucun procédé, électronique ou mécanique,
y compris la photocopie et les microfilms, sans l’accord Ecrit de Mditeur.
Organisation internationale de normalisation
Case Postale 56 l CH-1 211 Genéve 20 l Suisse
Imprime en Suisse
NORME INTERNATIONALE ISO 103664:1993(F)
Plastiques - Méthylméthacrylate/acrylonitrile/butadiène/
styrène (MABS) pour moulage et extrusion -
Partie 1:
Système de désignation et base de spécification
1 Domaine d’application
1.1 La présente partie de NS0 10366 établit un système de désignation des matériaux thermoplastiques MABS
qui peut être utilise comme base pour les spécifications.
1.2 Les types de plastiques MABS sont différencies les uns des autres par un systéme de classification basé
sur des niveaux appropries de(s) propriété(s) de désignation:
a) température de ramollissement Vicat;
b) indice de fluidité;
c) resistance au choc;
d) module de flexion,
et des informations concernant certains paramètres du polymère de base, l’application prévue et/ou la méthode
de mise en œuvre, les propriétés importantes, les additifs, colorants, materiaux de charge et renfort.
1.3 La présente partie de I’ISO 10366 est applicable à tous les matériaux thermoplastiques a base de
méthylméthacrylate/acrylonitrile/butadiène/styrene constitue d’une phase continue de polymères de styrène
(et/ou de styrène alkyl-substitué), actylonitrile, méthylméthacrylate et d’une phase dispersée élastomérique a base
de butadiene.
Elle est applicable aux materiaux prêts à l’emploi sous forme de poudres, grains ou granules, non modifies ou
modifies par des colorants, additifs, charges, etc.
1.4 Le fait que des matériaux aient la même désignation n’implique pas qu’ils présentent nécessairement les
mêmes performances. La présente partie de I’ISO 10366 ne comporte pas de données sur la conception, la per-
formance ou les conditions de mise en œuvre qui peuvent être exigées pour spécifier un materiau pour une ap-
plication et/ou une méthode de mise en œuvre particulière.
Si de telles caractéristiques additionnelles sont nécessaires, elles doivent être determinées conformément aux
méthodes d’essai prescrites dans NS0 10366-2, si appropriée.
1.5 Afin de prescrire un matériau thermoplastique pour une application particulière ou d’assurer une méthode
de mise en œuvre reproductible, des exigences additionnelles peuvent être codées dans le bloc de données 5 (voir
article 3, alinéa d’introduction).
1.5 Afin de prescrire un matériau thermoplastique pour une application particulière ou d’assurer une méthode
de mise en œuvre reproductible, des exigences additionnelles peuvent être codees dans le bloc de données 5 (voir
article 3, alinéa d’introduction).
2 Références normatives
Les normes suivantes contiennent des dispositions qui, par suite de la reférence qui en est faite, constituent des
dispositions valables pour la présente partie de I’ISO 10366. Au moment de la publication, les éditions indiquées
étaient en vigueur. Toute norme est sujette a révision et les parties prenantes des accords fondes sur la présente
partie de I’ISO 10366 sont invitees à rechercher la possibilité d’appliquer les éditions les plus recentes des normes
indiquées ci-après. Les membres de la CEI et de I’ISO possédent le registre des Normes internationales en vigueur
à un moment donne.
ISO 1043-l : 1987, Plastiques - Symboles - Partie 1: Polymères de base et leurs caractéristiques spéciales.
ISO 1133:1991, Plastiques - Détermination de l’indice de fluidité a chaud des thermoplastiques, en masse (MFR)
et en volume (MVR).
ISO 10366-2: -l), Plastiques - Méthylméthacrylate/acrylonitrile/butadiene/styrene (MABS) pour moulage et ex-
- Partie 2: Préparation des éprouvettes et détermination des propriétés.
trusion
3 Système de désignation
Le système de désignation des thermoplastiques est base sur un modèle normalisé, comprenant:
Dbsignation
Bloc d’identité
Bloc descripteur Bloc «numéro
de Norme inter-
(facultatif)
La désignation consiste en un bloc descripteur facultatif se lisant ((thermoplastique)) et un bloc d’identité com-
prenant le numéro de la Norme internationale et un bloc «objet particulier». Pour une désignation non ambigüe,
le block «objet particulier» est subdivise en cinq blocs de données, comprenant les informations suivantes:
- Bloc de données 1: identification du plastique par son symbole MABS selon I’ISO 1043-l et information
concernant le procédé de polymérisation ou la composition du polymère (voir 3.1).
- Bloc de données 2: Position 1: application prévue ou méthode de mise en œuvre (voir 3.2).
Positions 2 à 8: propriétés importantes, additives et informations supplémentaires (voir
. .
3 2)
- Bloc de données 3: propriétés de désignation (voir 3.3).
- Bloc de données 4: charges ou matieres de renforcement et leur teneur nominale (voir 3.4).
- Bloc de données 5: pour les besoins de spécification, un cinquième bloc de donnees contenant une infor-
mation additionnelle peut être ajoute.
Le premier caractère du bloc objet particulier doit être un tiret. Les blocs de données doivent être séparés les uns
des autres par des virgules.
Un bloc de donnees non utilise doit être indique en doublant le signe de séparation, c’est-à-dire par deux virgules
1) À publier.
3.1 Bloc de données 1
Dans ce bloc de données, aprés un tiret, les plastiques méthylméthacrylate/acrylonitrile/butadiène/styrène sont
identifies par leur symbole (MABS), selon I’ISO 1043-1, suivi par un tiret et une lettre-code fournissant des infor-
mations additionnelles sur le polymère comme prescrit dans le tableau 1.
Tableau 1 - Lettres-code utilisées pour les informations additionnelles du bloc
de données 1
Lettre-code Plage de la teneur en AN Plage de la teneur en MMA
[% (m/m)] [% Wm)]
A < 30 AOrnais<
B
< 30 > 50 mais G 80
C > 30 > 10 mais < 50
D
> 30 > 50
La teneur en AN de la phase continue doit être determinee conformément à I’ISO 10366.2:-3), annexe A.
La teneur en MMA de la composition doit être determinée par analyse de la teneur en oxygène.
2) À publier.
3.2 Bloc de données 2
Dans ce bloc de données, l’information relative à l’application prévue et/ou à la méthode de mise en œuvre est
donnée dans la position 1 et l’information relative aux propriétés important
...












Questions, Comments and Discussion
Ask us and Technical Secretary will try to provide an answer. You can facilitate discussion about the standard in here.
Loading comments...