ISO 1874-1:1985
(Main)Plastics — Polyamide (PA) homopolymers for moulding and extrusion — Part 1: Designation
Plastics — Polyamide (PA) homopolymers for moulding and extrusion — Part 1: Designation
Plastiques — Homopolymères polyamides pour moulage et extrusion — Partie 1: Désignation
General Information
- Status
- Withdrawn
- Publication Date
- 18-Dec-1985
- Withdrawal Date
- 18-Dec-1985
- Technical Committee
- ISO/TC 61/SC 9 - Thermoplastic materials
- Drafting Committee
- ISO/TC 61/SC 9/WG 8 - Polyamides
- Current Stage
- 9599 - Withdrawal of International Standard
- Start Date
- 19-Feb-1992
- Completion Date
- 14-Feb-2026
Relations
- Effective Date
- 12-May-2008
- Revised
ISO 1874-1:1992 - Plastics — Polyamide (PA) moulding and extrusion materials — Part 1: Designation - Effective Date
- 15-Apr-2008
- Effective Date
- 15-Apr-2008
Buy Documents
ISO 1874-1:1985 - Plastics -- Polyamide (PA) homopolymers for moulding and extrusion
ISO 1874-1:1985 - Plastics — Polyamide (PA) homopolymers for moulding and extrusion — Part 1: Designation Released:12/19/1985
Get Certified
Connect with accredited certification bodies for this standard

Smithers Quality Assessments
US management systems and product certification.
DIN CERTCO
DIN Group product certification.
Sponsored listings
Frequently Asked Questions
ISO 1874-1:1985 is a standard published by the International Organization for Standardization (ISO). Its full title is "Plastics — Polyamide (PA) homopolymers for moulding and extrusion — Part 1: Designation". This standard covers: Plastics — Polyamide (PA) homopolymers for moulding and extrusion — Part 1: Designation
Plastics — Polyamide (PA) homopolymers for moulding and extrusion — Part 1: Designation
ISO 1874-1:1985 is classified under the following ICS (International Classification for Standards) categories: 83.080.20 - Thermoplastic materials. The ICS classification helps identify the subject area and facilitates finding related standards.
ISO 1874-1:1985 has the following relationships with other standards: It is inter standard links to SIST ISO 1874-1:1996, ISO 1874-1:1992, ISO/R 1874:1971. Understanding these relationships helps ensure you are using the most current and applicable version of the standard.
ISO 1874-1:1985 is available in PDF format for immediate download after purchase. The document can be added to your cart and obtained through the secure checkout process. Digital delivery ensures instant access to the complete standard document.
Standards Content (Sample)
International Standard @ 187411
INTERNATIONAL ORGANIZATION FOR STANDARDIZATION*ME)((nYHAPO((nHAfl OPrAHM3AUHR no CTAHAAPTM3AUIIH.OflGANlSATlON INTERNATIONALE DE NORMALISATION
Plastics - Polyamide (PA) ho-mopolymers for moulding
d
and extrusion -
Part 1: Designation
Plastiques - Homopolvrnères polyamides IPA) pour moulage et extrusion - Partie I: Désignation
First edition - 1985-12-15
-
Ln UDC 678.675 Ref. No. IS0 1874/1-1985 (E)
c
,L Descriptors : plastics, polyamide homopolymers, moulding materials, designation.
Price based on 7 pages
Foreword
IS0 (the International Organization for standardization) is a worldwide federation of
national standards bodies (IS0 member bodies). The work of preparing International
Standards is normally carried out through IS0 technical committees. Each member
body interested in a subject for which a technical committee has been established has
the right to be represented on that committee. International organizations, govern-
mental and non-governmental, in liaison with ISO, also take part in the work.
Draft International Standards adopted by the technical committees are circulated to
the member bodies for approval before their acceptance as International Standards by
the IS0 Council. They are approved in accordance with IS0 procedures requiring at
least 75 % approval by the member bodies voting.
International Standard IS0 1874/1 was prepared by Technical Committee ISO/TC 61,
Plastics.
IS0 1874/1 and IS0 1874/2 cancel and replace IS0 Recommendation R 1874-1971, of
which they constitute a technical revision.
Users should note that all International Standards undergo revision from time to time
and that any reference made herein to any other International Standard implies its
latest edition, unless otherwise stated.
O International Organization for Standardization, 1985 0
Printed in Switzerland
INTERNATIONAL STANDARD IS0 1874/1-1985 (E)
Plastics - Polyamide (PA) homopolymers for moulding
and extrusion -
Part 1: Designation
If such additional properties are required, they shall be deter-
1 Scope and field of application
mined in accordance with the test methods specified in
v
IS0 187412, if suitable.
1.1 This part of IS0 1874 establishes a system of designation
for polyamide (PA) thermoplastic materials which may be used
1.5 In order to specify a thermoplastic material for a par-
as the basis for specifications.
ticular application or reproducible processing, additional re-
quirements may be coded in Data Block 5 (see clause 4).
It covers polyamide homopolymers for moulding and extrusion
based on PA 6, PA 66, PA 69, PA 610, PA 612, PA 11, PA 12
and PA MXD6.
2 References
IS0 307, Plastics - Polyamides - Determination of viscosity.
1.2 The types of polyamide plastics are differentiated from
each other by a classification system based on appropriate
IS0 527, Plastics - Determination of tensile properties.
levels of the designatory properties:
IS0 1043, Plastics - Symbols and codes
ai viscosity number,
-
Part 1 : S ymbols for basic polymers and their modifica-
tions, and for plasticizers. l)
b) tensile modulus of elasticity,
-
Part 2: Codes for designations of polymers by a data-
and information about chemical structure, intended applica-
block system. l)
tion, method of processing, important properties, additives,
colour, fillers and reinforcing materials.
IS0 187412, Plastics - Polyamide IPAJ homopolymers for
moulding and extrusion - Part 2: Preparation of test
specimens and determination of properties. 2,
1.3 This designation system is applicable to all polyamide
homopolymers. It applies to materials ready for normal use, un-
IS0 345114, Plastics - Determination of ash - Part4:
modified and modified by colorants, additives, fillers, reinforc-
Polyamides. 3,
ing material, polymer modifiers, etc.
This International Standard does not apply to casting type 3 Definition
polyamides of PA 6 and PA 12.
polyamide materials: Thermoplastic materials that contain
carboxylic amide groups, - CONH-, at regular distances in
the linear polymer chain.
1.4 It is not intended to imply that materials having the same
designation give necessarily the same performance. This part of
IS0 1874 does not provide engineering data, performance data Polyamides may be built up from a single starting material
or data on processing conditions which may be required to (aminocarboxylic acids or their lactams) ; they are designated
by a figure corresponding to the number of carbon atoms in the
specify a material for a particular application or method of pro-
starting material (see table II.
cessing.
1) At present at the stage of draft. (Partial revision of IS0 1043-1978.)
2) At present at the stage of draft. (Partial revision of ISO/R 1874-1971.)
3) At present at the stage of draft.
IS0 1874/1-1985 (E)
Table 1 - Designation of polyamides of general
formula - [NH - (CH2lX - CO], -
Symbol in the starting
material
PA 11
PA 12 11 12
However, the polyamides may also be built up from one starting material with amino groups plus one starting material with carboxylic
acid groups. These polyamides based on diamines and dicarboxylic acids, are designated by a two-digit or three-digit number, respec-
tively, the first digit corresponding to the number of C atoms in the diamine [MXD is used for meta-xylylene diamine (see table 311 and
the second (with some materials the second and third) to the number of C atoms in the dicarboxylic acid (see table 2).
Table 2 - Designation of polyamides of general
formula - [NH - (CH216 - NH - CO - (CHzIJ, - CO] ,, -
-
Symbol Value of y
PA 66
PA 610 8
PA 612 10
4 Designation system
The designation system of thermoplastics is based on the following standardized pattern”:
Designation
Identity Block
I
Individual Item Block
Description
ln terna tionai
-----
Block
Standard Data I
(optional)
Number Block Block Block Block Block
I
Block
It consists of an optional Description Block, reading Thermoplastics, and an Identity Block comprising the International Standard
number and an Individual Item Block. For unambiguous coding the Individual Item Block is subdivided into four data blocks compris-
ing the following information :
v’
-
No. 1 : Identification of the plastic by its symbol PA, according to IS0 1043/1, and coded information about chemical struc-
ture and composition (see 4.1).
-
No. 2: Position 1 : Intended application or method of processing (see 4.2).
Positions 2 to 4: Important properties, additives and supplementary information (see 4.2).
-
No. 3: Designatory properties (see 4.3).
-
No. 4: Fillers or reinforcing materials and their nominal content (see 4.4).
For the purpose of specifications, a fifth data block may be added containing additional information. The kind of information and its
codes are not the subject of this part of IS0 1874.
The first character of the Individual Item Block shall be a hyphen. The four data blocks shall be separated from each other by a
comma.
NOTE - If a data block is not used, this shall be indicated by doubling the separation sign, i.e. by two commas (,,I.
1) See IS0 1û43/2.
IS0 1874/1-1985 (E)
4.1 Data Block 1
In this data block, after a hyphen, PA plastics are identified by the symbols and codes listed in table 3.
Plastics containing plasticizer can be designated by the letter P after the symbol, separated by a hyphen (for example PA 610-P).
4.2 Data Block 2
In this data block, information about intended application or method of processing is given in Position 1 and information about impor-
tant properties, additives and colour in Positions 2 to 4. The codes are specified in table 4.
If information is presented in Positions 2 to 4 and no specific information is given in Position 1, the letter X shall be inserted in
Position 1.
4.3 Data Block 3
In this data block, the viscosity number is coded by two figures (see 4.3.1 and the modulus of elasticity by three figures (see 4.3.2).
The two codes are separated from each other by a hyphen.
Rapid setting (nucleated) material may be coded by the letter N in the very last position of Data Block 3.
If a property value falls on or near a cell limit, the manufacturer shall state which cell will designate the material. If subsequent in-
dividual test values lie on, or either side of, the cell limit because of manufacturing tolerances, the designation is not affected.
NOTE - Not all combinations of the d
...
Norme internationale @ 187411
INTERNATIONAL ORGANIZATION FOR STANDARDIZATION*MEmYHAPOAHAR OPTAHMJAUUA fl0 CTAHflAPTU3AUUH*ORGANlSATlON INTERNATIONALE DE NORMALISATION
Plastiques - Homopolymères polyamides (PA) pour
\
moulage et extrusion -
Partie 1 : Désignation
Plastics - Polyamide (PA) homopolymers for moulding and extrusion - Part 7: Designation
Première édition - 1985-12-15
L
CDU 678.675 Réf. no : IS0 1874/1-1985 (FI
@
-
Descripteurs : plastique, polyamide homopolymère, matière à mouler, désignation.
s
Prix basé sur 7 pages
Avant-propos
L‘ISO (organisation internationale de normalisation) est une fédération mondiale
I’ISO). L’élaboration
d’organismes nationaux de normalisation (comités membres de
des Normes internationales est confiée aux comités techniques de I’ISO. Chaque
comité membre intéressé par une étude a le droit de faire partie du comité technique
créé à cet effet. Les organisations internationales, gouvernementales et non gouverne-
mentales, en liaison avec I’ISO participent également aux travaux.
Les projets de Normes internationales adoptés par les comités techniques sont soumis
aux comités membres pour approbation, avant leur acceptation comme Normes inter-
nationales par le Conseil de I’ISO. Les Normes internationales sont approuvées confor-
mément aux procédures de 1‘1S0 qui requièrent l’approbation de 75 % au moins des
comités membres votants.
La Norme internationale IS0 1874/1 a été élaborée par le comité technique ISO/TC 61,
Plastiques.
Les Normes internationales IS0 1874/1 et IS0 1874/2 annulent et remplacent la
Recommandation ISO/R 1874-1971, dont elles constituent une révision technique.
L‘attention des utilisateurs est attirée sur le fait que toutes les Normes internationales
sont de temps en temps soumises à révision et que toute référence faite à une autre
Norme internationale dans le présent document implique qu‘il s’agit, sauf indication
contraire, de la dernière édition.
O Organisation internationale de normalisation, 1985
Imprimé en Suisse
NORME INTERNATIONALE IS0 1874/1-1985 (FI
Plastiques - Homopolymères polyamides (PA) pour
moulage et extrusion -
Partie I : Désignation
Si de telles caractéristiques additionnelles sont nécessaires,
1 Objet et domaine d'application
elles doivent être déterminées selon les méthodes d'essai spéci-
I'ISO 187412, si celles-ci conviennent.
fiées dans
1.1 La présente partie de I'ISO 1874 établit un système de
'
désignation pour les matériaux thermoplastiques polyamides
1.5 Afin de spécifier un matériau pour une application parti-
(PA). Ce système peut être utilisé comme base pour les spécifi-
culière ou une méthode de transformation reproductible, des
cations.
exigences additionnelles peuvent être codées dans le bloc de
données 5 (voir chapitre 4).
Elle couvre les homopolymères polyamides pour moulage et
extrusion basés sur le PA 6, PA 66, PA 69, PA 610, PA 612,
PA 11, PA 12 et PA MXDG.
2 Références
IS0 307, Plastiques - polyamides - Détermination de l'indice
1.2 Les types de polyamides sont différenciés les uns des
de viscosité.
autres par un système de classification basé sur des niveaux
appropriés des propriétés de désignation suivantes:
IS0 527, Plastiques - Détermination des caractéristiques en
traction.
a) indice de viscosité;
IS0 1043, Plastiques - Symboles et codes
b) module d'élasticité en traction
-
Partie I: Symboles pour des polymères de base et leurs
ainsi que sur l'information relative à la structure chimique, à modifications, et pour des plastifiants. ')
l'application prévue, à la méthode de transformation, aux
-
Partie 2: Codes pour la désignation de polymères par
à la couleur, aux
caractéristiques essentielles, aux additifs,
un système de bloc de données.')
charges et aux matières de renforcement.
IS0 187412, Plastiques - Homopolymères polyamides IPA)
1.3 Ce système de désignation est applicable à tous les
L
pour moulage et extrusion - Partie 2: Préparation des éprou-
homopolymères polyamides. II s'applique aux matériaux prêts à
vettes et détermination des caractéristiques. 2,
l'emploi, non modifiés et modifiés par des colorants, des addi-
tifs, des charges, des matières de renforcement et des modi- IS0 3451 14, Plastiques - Détermination du taux de cendres -
fiants de polymères. Partie 4: Polyamides. 3,
La présente partie de I'ISO 1874 n'est pas applicable aux poiya-
3 Définition
6 et PA 12.
mides de coulée du type PA
matériaux polyamides: Matériaux thermoplastiques qui con-
1.4 Le fait que des matériaux ont la même désignation
tiennent des groupements carboxylamide -CO" - à dis-
n'implique pas qu'ils présentent nécessairement les mêmes per-
tance régulière dans la chaîne polymérique linéaire.
formances. La présente partie de 1'1S0 1874 ne comporte pas
de données sur la conception, la performance ou les conditions Les polyamides peuvent être obtenus à partir d'une matière de
départ unique (acides aminocarboxyliques ou leurs lactames) ;
de mise en œuvre qui peuvent être exigées pour spécifier un
matériau pour une application ou une méthode de transforma- ils sont désignés par un chiffre correspondant au nombre d'ato-
mes de carbone dans la matière de départ (voir tableau 1).
tion particulière.
1) Actuellement au stade de projet. (Révision partielle de I'ISO 1043-1978.)
2) Actuellement au stade de projet. (Révision partielle de I'ISO/R 1874-1971.)
3) Actuellement au stade de projet.
IS0 1874/1-1985 (FI
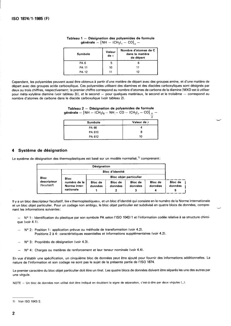
Tableau 1 - Désignation des polyamides de formule
générale - [NH - (CH21w - CO],, -
Nombre d‘atomes de C
Symbole
dans la matière
I dew I dedépart
PA 6 6
PA 11 11
PA 12 I :i I 12
Cependant, les polyamides peuvent aussi être obtenus à partir d’une matière de départ avec des groupes amine, et d’une matière de
départ avec des groupes acide carboxylique. Ces polyamides utilisant des diamines et des diacides carboxyliques sont désignés par
la diamine [MXD est à utiliser
deux ou trois chiffres, respectivement; le premier chiffre correspond au nombre d‘atomes de carbone de
pour méta-xylylène diamine (voir tableau 311, et le second - pour quelques matériaux, le second et le troisième - correspond au
nombre d’atomes de carbone dans le diacide carboxylique (voir tableau 2).
Tableau 2 - Désignation de polyamides de formule
générale - [NH - (CH2I6 - NH,- CO - (CH21y - CO] ,, -
-
PA 66
PA 610 a
I PA 612
4 Système de désignation
Le système de désignation des thermoplastiques est basé sur un modèle normalisé,’) comprenant:
I Désignation I
Bloc d‘identité
Bloc objet particulier
Bloc
Bloc -----
descripteur
numéro de la Bloc de Bloc de Bloc de Bloc de Bloc de I
(facultatif)
Norme inter- données données données données données I
nationale 1 2 3 4
____- 51
II y a un bloc descripteur facultatif, lire ((thermoplastiques)), et un bloc d’identité qui consiste en le numéro de la Norme internationale
et un bloc objet particulier. Pour un codage non ambigu, le bloc objet particulier est subdivisé en quatre blocs de données, compre-
d
nant les informations suivantes:
-
No 1 : Identification du plastique par son symbole PA selon VISO 1043/1 et l‘information codée relative à sa structure chimi-
que (voir 4.11.
-
No 2: Position 1 : application prévue ou méthode de transformation (voir 4.21.
Positions 2 à 4: caractéristiques essentielles et informations supplémentaires (voir 4.21.
-
No 3: Propriétés de désignation (voir 4.31.
-
No 4: Charges ou matières de renforcement et leur teneur nominale (voir 4.41.
En vue d’établir une spécification, un cinquième bloc de données peut être ajouté pour fournir des informations additionnelles. La
nature de l‘information et son codage ne sont pas le sujet de la présente partie de 1‘1S0 1874.
Le premier caractère du bloc objet particulier doit être un tiret. Les quatre blocs de données doivent être séparés les uns des autres par
une virgule.
NOTE - Un bloc de données non utilisé doit être indiqué en doublant le signe de séparation, c’est-à-dire par deux virgules (,,).
1) Voir IS0 1043/2.
IS0 1874/1-1985 (FI
4.1 Bloc de données 1
Dans ce bloc de données, après un tiret, les polyamides sont identifiés par leur symbole et des codes spécifiés dans le tableau 3.
Tableau 3 - Symboles et codes pour la structure chimique des polyamides
dans le bloc de données 1
I Symbole 1 Nom et structure chimique
~~~
PA 6 Polyamide 6; homopolymère à base d’e-caprolactame
Polyamide 66; homopolycondensat à base d’hexaméthylène diamine et d’acide
PA 66
adipique
PA 69 Polyamide 69; homopolycondensat à base d’hexaméthylène diamine et d‘acide
azélaïque
PA 610 Polyamide 610; homopolycondensat à base d’hexaméthylène diamine et d‘acide
sébacique
PA 612 Polyamide 612; homopolycondensat à base d‘hexaméthylène diamine et d’acide dodé-
canedioïque’)
PA 11 Polyamide 11; homopolymère à base d‘acide amino-1 1-undécanoïque
Polyamide 12; homopolymère à base d‘acide w-aminododécanoïque (w-lauryl
PA 12
L
lactame)
PA MXD6 Polyamide MXD6; homopolycondensat à base de m-xylylène diamine et d’acide
adipique
1) Acide décane dicarboxylique-l ,lo.
Les plastiques contenant des plastifiants peuvent être désignés par la lettre P après le symbole, séparée par un tiret (par exemple,
PA 610-Pl.
4.2 Bloc de données 2
Dans ce bloc de données, l’information relative à l’application prévue ou à la méthode de transformation est donnée dans la position 1
et l’information relative aux caractéristiques essentielles, aux additifs et à la couleur est donnée dans les positions 2 à 4, par des codes
spécifiés dans le tableau 4.
Tableau 4 - Codes utilisés dans le bloc de données 2
Position 1 Code Positions 2 à 4
Code
Stabilisé pour la mise en œuvre
A
B Antiadhérent
0 Moulage par soufflage
L C Col
...








Questions, Comments and Discussion
Ask us and Technical Secretary will try to provide an answer. You can facilitate discussion about the standard in here.
Loading comments...