ISO 8257-1:1987
(Main)Plastics — Poly(methyl methacrylate) (PMMA) moulding and extrusion materials — Part 1: Designation
Plastics — Poly(methyl methacrylate) (PMMA) moulding and extrusion materials — Part 1: Designation
Plastiques — Poly(méthacrylate de méthyle) (PMMA) pour moulage et extrusion — Partie 1: Désignation
General Information
- Status
- Withdrawn
- Publication Date
- 08-Jul-1987
- Withdrawal Date
- 08-Jul-1987
- Technical Committee
- ISO/TC 61/SC 9 - Thermoplastic materials
- Drafting Committee
- ISO/TC 61/SC 9 - Thermoplastic materials
- Current Stage
- 9599 - Withdrawal of International Standard
- Start Date
- 12-Nov-1998
- Completion Date
- 12-Feb-2026
Relations
- Effective Date
- 15-Apr-2008
ISO 8257-1:1987 - Plastics -- Poly(methyl methacrylate) (PMMA) moulding and extrusion materials
ISO 8257-1:1987 - Plastics — Poly(methyl methacrylate) (PMMA) moulding and extrusion materials — Part 1: Designation Released:7/9/1987
Get Certified
Connect with accredited certification bodies for this standard

Smithers Quality Assessments
US management systems and product certification.
DIN CERTCO
DIN Group product certification.
Sponsored listings
Frequently Asked Questions
ISO 8257-1:1987 is a standard published by the International Organization for Standardization (ISO). Its full title is "Plastics — Poly(methyl methacrylate) (PMMA) moulding and extrusion materials — Part 1: Designation". This standard covers: Plastics — Poly(methyl methacrylate) (PMMA) moulding and extrusion materials — Part 1: Designation
Plastics — Poly(methyl methacrylate) (PMMA) moulding and extrusion materials — Part 1: Designation
ISO 8257-1:1987 is classified under the following ICS (International Classification for Standards) categories: 83.080.20 - Thermoplastic materials. The ICS classification helps identify the subject area and facilitates finding related standards.
ISO 8257-1:1987 has the following relationships with other standards: It is inter standard links to ISO 8257-1:1998. Understanding these relationships helps ensure you are using the most current and applicable version of the standard.
ISO 8257-1:1987 is available in PDF format for immediate download after purchase. The document can be added to your cart and obtained through the secure checkout process. Digital delivery ensures instant access to the complete standard document.
Standards Content (Sample)
IS0
INTERNATIONAL STANDARD
8257-1
First edition
1987-07-1 5
INTERNATIONAL ORGANIZATION FOR STANDARDIZATION
ORGANISATION INTERNATIONALE DE NORMALISATION
MEXAYHAPOAHAR OPrAHM3AUMR il0 CTAHAAPTM3AUMM
Plastics - Poly( methyl methacrylate) (PMMA) moulding
-
and extrusion materials
Part 1 :
Designation
Plastiques - Poly(méthacrylate de méthyle) (PMMA) pour moulage et extrusion -
Partie 1 : Désignation
Reference number
IS0 8257-1 : 1987 (E)
Foreword
IS0 (the International Organization for Standardization) is a worldwide federation of
national standards bodies (IS0 member bodies). The work of preparing International
Standards is normally carried out through IS0 technical committees. Each member
body interested in a subject for which a technical committee has been established has
the right to be represented on that committee. International organizations, govern-
mental and non-governmental, in liaison with ISO, also take part in the work.
Draft International Standards adopted by the technical committees are circulated to
the member bodies for approval before their acceptance as International Standards by
the IS0 Council. They are approved in accordance with IS0 procedures requiring at
least 75 % approval by the member bodies voting.
8257-1 was prepared by Technical Committee ISO/TC 61,
International Standard IS0
Plastics.
Users should note that all International Standards undergo revision from time to time
and that any reference made herein to any other International Standard implies its
latest edition, unless otherwise stated.
O International Organization for Standardization, 1987 0
Printed in Switzerland
INTERNATIONAL STANDARD IS0 8257-1 : 1987 (E)
Plastics - Poly(meth, I methacrylate) (PMMA) mo lding
and extrusion materials -
Part I:
D esig nation
ID
specify a material for a particular end-use or method of pro-
1 Scope and field of application
cessing.
1.1 This part of IS0 8257 establishes a system of designation
If such additional properties are required, they shall be deter-
for poly(methy1 methacrylate) thermoplastic materials which
mined in accordance with the methods specified in IS0 8257-2,
may be used as the basis for specifications.
if suitable.
1.2 The types of PMMA plastics are differentiated from each
other by a classification system based on appropriate levels of
1.5 In order to specify a thermoplastic material for a
the designatory properties :
particular application or reproducible processing, additional
requirements can be coded in Data Block 5 (see clause 3).
a) Vicat softening temperature,
b) melt flow rate,
2 References
c) viscosity number (optional),
and information about intended application, method of pro-
IS0 306, Plastics - Determination of the Vicat softening
cessing, important properties, additives and colour.
temperature of thermoplastics.
1.3 This designation system is applicable to all poly(methy1
IS0 1043-1, Plastics - Symbols and codes - Part I: Symbols
methacrylate) (PMMA) homopolymers and copolymers of
for basic polymers and their special characteristics. 1 )
methyl methacrylate (MMA) containing at least 80 % (rn/rn) of
MMA and not more than 20 % (rn/rn) of acrylic esters or other
IS0 1133, Plastics - Determination of the melt flow rate of
monomers. It applies to materials ready for normal use and to
thermoplastics.
materials unmodified and modified by colorants, additives, etc.
IS0 1628-6, Plastics - Determination of viscosty number and
This part of IS0 8257 does not apply to PMMA modified with
limiting viscostiy number - Part 6: Poly(methy1 methacrylate)
elastomers.
(PMMA) moulding and extrusion materials. 2)
1.4 It is not intended to imply that materials having the same
IS0 8257-2, Plastics - Poly(methy1 methacrylate) IPMMAI
designation give necessarily the same performance. This part of
thermoplastic moulding material - Part 2: Preparation of test
IS0 8257 does not provide engineering data, performance data
specimens and determination of properties. 2)
or data on processing conditions which may be required to
At present at the stage of draft. (Partial revision of IS0 1043 : 1978.)
1)
2) At present at the stage of draft.
IS0 8257-1 : 1987 (E)
3 Designation system
The designation system of thermoplastics is based on the following standardized pattern.
I Designation I
Identity Block
Individual Item Block
Block
Standard Data 1
(optional) Number Block Block Block Block Block I
I
Block 5.
It consists of an optional Description Block, reading Thermoplastics, and an Identity Block comprising the international Standard
number and
...
IS0
8257-1
NORME INTERNATIONALE
Première édition
1987-07-15
INTERNATIONAL ORGANIZATION FOR STANDARDIZATION
ORGANISATION INTERNATIONALE DE NORMALISATION
MEXAYHAPOAHAR OPTAHHSAUMR Il0 CTAHAAPTMSAUMM
PMMA) pour
Plastiques - Poly(méthacry1ate de méthyle)
moulage et extrusion -
Partie 1 :
Désignation
Plastics - Poly(methy1 methacrylate) (PMMA) moulding and extrusion materials -
Part I: Designation
Numéro de référence
IS0 8257-1 : 1987 (F)
Avant-propos
L'ISO (Organisation internationale de normalisation) est une fédération mondiale
d'organismes nationaux de normalisation (comités membres de I'ISO). L'élaboration
des Normes internationales est normalement confiée aux comités techniques de I'ISO.
Chaque comité membre intéressé par une étude a le droit de faire partie du comité
technique créé à cet effet. Les organisations internationales, gouvernementales et non
gouvernementales, en liaison avec I'ISO participent également aux travaux.
Les projets de Normes internationales adoptés par les comités techniques sont soumis
aux comités membres pour approbation, avant leur acceptation comme Normes inter-
nationales par le Conseil de 1'60. Les Normes internationales sont approuvées confor-
mément aux procédures de I'ISO qui requièrent l'approbation de 75 % au moins des
comités membres votants.
La Norme internationale IS0 8257-1 a été élaborée par le comité technique ISO/TC 61,
Plastiques.
L'attention des utilisateurs est attirée sur le fait que toutes les Normes internationales
sont de temps en temps soumises à révision et que toute référence faite à une autre
Norme internationale dans le présent document implique qu'il s'agit, sauf indication
contraire, de la dernière édition.
0 Organisation internationale de normalisation, 1987 O
Imprimé en Suisse
IS0 8257-1 : 1987 (FI
NORM E I N TE R NAT1 ON A LE
Plast iq ues Poly( méthacrylate de méthyle) (PMMA) pour
moulage et extrusion -
Partie 1 :
Désignation
1 Objet et domaine d’application de données sur la conception, la performance ou les conditions
de mise en œuvre qui peuvent être exigées pour spécifier un
matériau pour une application ou une méthode de transforma-
1.1 La présente partie de I’ISO 8257 établit un système de
tion particulière.
désignation pour les matériaux thermoplastiques à base de
poly(méthacry1ate de méthyle) pour moulage et extrusion. Ce
Si de telles caractéristiques additionnelles sont nécessaires,
système peut être utilisé comme base pour les spécifications.
elles doivent être déterminées selon les méthodes d’essai spéci-
fiées dans I’ISO 8257-2, si celles-ci conviennent.
1.2 Les types de plastiques PMMA sont différenciés les uns
des autres par un système de classification basé sur des niveaux
1.5 Afin de spécifier un matériau pour une application parti-
appropriés des propriétés de désignation suivantes :
culière ou une méthode de transformation reproductible, des
exigences additionnelles peuvent être codées dans le bloc de
a) température de ramollissement Vicat;
données 5 (voir chapitre 3).
b) indice de fluidité à chaud;
c) indice de viscosité (facultatif)
2 Références
ainsi que sur l’information relative à l’application prévue, à la
IS0 306, Matières plastiques - Détermination de la tempéra-
méthode de transformation, aux caractéristiques essentielles,
ture de ramollissement Vicat des matières thermoplastiques.
aux additifs et à la couleur.
IS0 1043-1, Plastiques - Symboles et codes - Partie 1:
Symboles pour les polymères de base et leurs caractéristiques
1.3 Ce système de désignation est applicable à tous les
spéciales. 1)
homopolymères de méthacrylate de méthyle (MMA) et à tous
les copolymères de MMA contenant au moins 80 % (rn/rn) de
IS0 1133, Plastiques - Détermination de Sindice de fluidité à
MMA et moins de 20 % (rn/rn) d‘esters acryliques ou d’autres
chaud des thermoplastiques.
monomères. II s’applique aux matériaux prêts à l‘emploi, non
modifiés et modifiés par des colorants, des additifs, etc.
IS0 1628-6, Plastiques - Détermination de findice de viscosité
et de Sindice limite de viscosité - Partie 6: Matériaux à mouler
La présente partie de I’ISO 8257 n’est pas applicable aux
à extruder à base de polyiméthacrylate de méthyle)
et
PMMA modifiés Dar les élastomères.
IPMMAI. 2)
1.4 Le fait que des matériaux ont la même désignation
IS0 8257-2, Plastiques - Poly(méthacry1ate de méthyle)
n’implique pas qu’ils présentent nécessairement les mêmes per-
IPMMAI pour moulage et extrusion - Partie 2: Préparation
formances. La présente partie de I‘ISO 8257 ne comporte pas
des éprouvettes et détermination des caractéristiques. 2)
1) Actuellement au stade de projet. (Révision partielle de 1‘60 1043 : 1978.)
2) Actuellement au stade de projet.
IS0 8257-1 : 1987 (FI
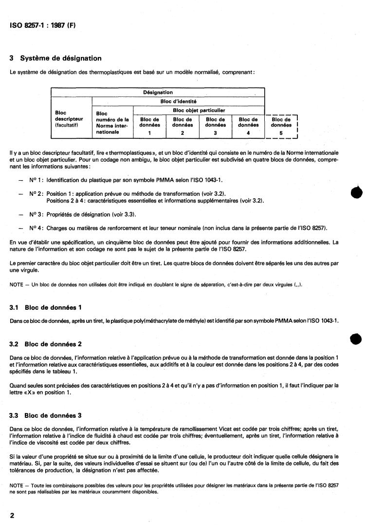
3 Système de désignation
Le système de désignation des thermoplastiques est basé sur un modèle normalisé, comprenant :
Désignation
Bloc d'identité
Bloc objet particulier
Bloc Bloc ----
descripteur numéro de la Bloc de Bloc de Bloc de Bloc de Bloc de 7
(facultatif) Norme inter- données données données données
données I
I
nationale 1 2 3 4
----A
- Nol Identification du plastique par son symbole PMMA selon 1'1S0 1043-1.
- NO2 Position 1 : application prévue ou méthode de transformation (voir 3.2).
Positions 2 à 4 : caractéri
...








Questions, Comments and Discussion
Ask us and Technical Secretary will try to provide an answer. You can facilitate discussion about the standard in here.
Loading comments...