EN 1302:1999/AC:2002
(Corrigendum)Chemicals used for treatment of water intended for human consumption - Aluminium-based coagulants - Analytical methods
Chemicals used for treatment of water intended for human consumption - Aluminium-based coagulants - Analytical methods
TC - WG 9 identified some mistakes to be corrected, corrigendum sent by TC
Produkte zur Aufbereitung von Wasser für den menschlichen Gebrauch - Flockungsmittel auf Aluminiumbasis - Analytische Methoden
Produits chimiques utilisés pour le traitement de l'eau destinée à la consommation humaine - Coagulants à base d'aluminium - Méthodes d'analyse
Kemikalije, ki se uporabljajo za pripravo pitne vode – Koagulanti na osnovi aluminija – Analitske metode
General Information
- Status
- Withdrawn
- Publication Date
- 26-Feb-2002
- Withdrawal Date
- 13-Apr-2025
- Technical Committee
- CEN/TC 164 - Water supply
- Drafting Committee
- CEN/TC 164 - Water supply
- Current Stage
- 9960 - Withdrawal effective - Withdrawal
- Start Date
- 04-Dec-2024
- Completion Date
- 14-Apr-2025
Relations
- Effective Date
- 11-Dec-2024
- Effective Date
- 22-Dec-2008
Frequently Asked Questions
EN 1302:1999/AC:2002 is a corrigendum published by the European Committee for Standardization (CEN). Its full title is "Chemicals used for treatment of water intended for human consumption - Aluminium-based coagulants - Analytical methods". This standard covers: TC - WG 9 identified some mistakes to be corrected, corrigendum sent by TC
TC - WG 9 identified some mistakes to be corrected, corrigendum sent by TC
EN 1302:1999/AC:2002 is classified under the following ICS (International Classification for Standards) categories: 71.100.80 - Chemicals for purification of water. The ICS classification helps identify the subject area and facilitates finding related standards.
EN 1302:1999/AC:2002 has the following relationships with other standards: It is inter standard links to EN 1302:2024, EN 1302:1999. Understanding these relationships helps ensure you are using the most current and applicable version of the standard.
You can purchase EN 1302:1999/AC:2002 directly from iTeh Standards. The document is available in PDF format and is delivered instantly after payment. Add the standard to your cart and complete the secure checkout process. iTeh Standards is an authorized distributor of CEN standards.
Standards Content (Sample)
2003-01.Slovenski inštitut za standardizacijo. Razmnoževanje celote ali delov tega standarda ni dovoljeno.Kemikalije, ki se uporabljajo za pripravo pitne vode – Koagulanti na osnovi aluminija – Analitske metodeProdukte zur Aufbereitung von Wasser für den menschlichen Gebrauch - Flockungsmittel auf Aluminiumbasis - Analytische MethodenProduits chimiques utilisés pour le traitement de l'eau destinée a la consommation humaine - Coagulants a base d'aluminium - Méthodes d'analyseChemicals used for treatment of water intended for human consumption - Aluminium-based coagulants - Analytical methods71.100.80Chemicals for purification of water13.060.20Pitna vodaDrinking waterICS:Ta slovenski standard je istoveten z:EN 1302:1999/AC:2002SIST EN 1302:2000/AC:2002en01-december-2002SIST EN 1302:2000/AC:2002SLOVENSKI
STANDARD
EUROPEAN STANDARDNORME EUROPÉENNEEUROPÄISCHE NORMEN 1302:199/ACFebruary 2002Février 2002Februar 2002English versionVersion FrançaiseDeutsche FassungChemicals used for treatment of water intended for humanconsumption - Aluminium-based coagulants - AnalyticalmethodsProduits chimiques utilisés pour letraitement de l'eau destinée à laconsommation humaine - Coagulantsà base d'aluminium - Méthodesd'analyseProdukte zur Aufbereitung vonWasser für den menschlichenGebrauch - Flockungsmittel aufAluminiumbasis - AnalytischeMethodenThis corrigendum becomes effective on 27 February 2002 for incorporation in the three officiallanguage versions of the EN.Ce corrigendum prendra effet le 27 février 2002 pour incorporation dans les trois versionslinguistiques officielles de l’EN.Die Berichtigung tritt am 27.Februar 2002 zur Einarbeitung in die drei offiziellen Sprachfassungen derEN in Kraft.EUROPEAN COMMITTEE FOR STANDARDIZATIONCOMITÉ EUROPÉEN DE NORMALISATIONEUROPÄISCHES KOMITEE FÜR NORMUNGManagement Centre: rue de Stassart, 36
B-1050 Brussels© 2002 CENAll rights of exploitation in any form and by any means reserved worldwide for CEN national Members.Tous droits d'exploitation sous quelque forme et de quelque manière que ce soit réservés dans le monde entier auxmembres nationaux du CEN.Alle Rechte der Verwertung, gleich in welcher Form und in welchem Verfahren, sind weltweit den nationalen Mitgliedernvon CEN vorbehalten.Ref. No. EN 1302:1999/AC:2002 D/E/FSIST EN 1302:2000/AC:2002
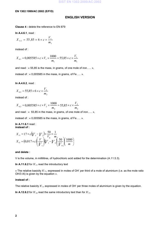
EN 1302:199/AC:2002 (E/F/D)2ENGLISH VERSIONClause 4 : delete the reference to EN 879In A.4.6.1, read :instead of :and read : « 55,85 is the mass, in grams, of one mole of iron…. »,instead of : « 0,005585 in the mass, in grams, of Fe…. ».In A.4.6.2, read :instead of :and read : «
55,85 in the mass, in grams, of one mole of iron…. »,instead of : « 0,005585 is the mass, in grams, of Fe…. ».In A.11.6.1 read :instead of :and delete :V is the
...










Questions, Comments and Discussion
Ask us and Technical Secretary will try to provide an answer. You can facilitate discussion about the standard in here.
Loading comments...