ISO 22467:2021
(Main)Traditional Chinese medicine — Determination of microorganisms in natural products
Traditional Chinese medicine — Determination of microorganisms in natural products
This document specifies test methods to determine microorganisms in natural products. It is applicable only to natural products used in traditional Chinese medicine, including raw materials, herbal pieces and preparations.
Médecine traditionnelle chinoise — Détermination des micro-organismes dans les produits naturels
General Information
- Status
- Published
- Publication Date
- 14-Oct-2021
- Technical Committee
- ISO/TC 249 - Traditional Chinese medicine
- Drafting Committee
- ISO/TC 249/WG 2 - Quality and safety of manufactured TCM products
- Current Stage
- 6060 - International Standard published
- Start Date
- 15-Oct-2021
- Due Date
- 15-May-2021
- Completion Date
- 15-Oct-2021
Overview
ISO 22467:2021 - Traditional Chinese medicine - Determination of microorganisms in natural products - specifies microbiological test methods for natural products used in Traditional Chinese Medicine (TCM). It covers testing of raw materials, herbal pieces and finished preparations to detect and enumerate microorganisms, and to assess product sterility under defined laboratory conditions.
Key topics and technical requirements
- Scope and applicability: Applies only to natural products used in TCM (raw materials, herbal pieces, preparations).
- Test methods: Detailed procedures for
- Test for sterility (aseptic technique, culture media, incubation)
- Microbial enumeration tests (total aerobic microbial count - TAMC, total combined yeast and mould count - TYMC)
- Tests for specified microorganisms (presence/absence of pathogens)
- Culture media and incubation: Recommended media include fluid thioglycollate medium (primarily for anaerobes; incubate 30–35 °C) and soya‑bean casein digest medium (for fungi and aerobes). For products with mercurial preservatives validated alternatives at 20–25 °C are allowed.
- Growth promotion and method suitability: Each lot of medium requires growth promotion testing using specified standard strains (examples listed in Table 1: Escherichia coli ATCC 8739, Pseudomonas aeruginosa ATCC 9027, Staphylococcus aureus ATCC 6538, Candida albicans ATCC 10231, Aspergillus brasiliensis ATCC 16404, etc.). Inocula for growth promotion are small (≤100 cfu); incubation up to 3 days for bacteria and up to 5 days for fungi.
- Controls and quality assurance: Use of seed‑lot systems for strain maintenance, negative controls, method suitability tests, and ongoing environmental monitoring.
- Acceptance criteria: Defined acceptance criteria for sterility tests, enumeration methods and tests for specified microorganisms are provided (see Clause 6 and Annex A for microbiological quality guidance).
- Annexes: Annex A (normative) on microbiological quality; Annex B (informative) with recommended solutions and culture media.
Applications and intended users
ISO 22467:2021 is intended for:
- Quality control laboratories performing microbiological testing of TCM raw materials and products
- Manufacturers of herbal medicines and TCM preparations for in‑house release testing and supplier qualification
- Regulatory authorities and inspectors assessing compliance with microbial safety requirements
- Research laboratories developing validated test methods for herbal product safety
Using ISO 22467 helps harmonize microbial testing for TCM, supports international trade, and provides standardized methods for sterility, microbial enumeration and pathogen testing.
Related standards and references
- Prepared by ISO/TC 249 (Traditional Chinese medicine).
- Sterility definition aligned with ISO 11139:2018 terminology.
- The standard complements national pharmacopeial microbial limits (e.g., those in various national pharmacopeias) by providing harmonized methods for detection and enumeration.
ISO 22467:2021 - Traditional Chinese medicine -- Determination of microorganisms in natural products
ISO 22467:2021 - Traditional Chinese medicine — Determination of microorganisms in natural products Released:10/15/2021
Get Certified
Connect with accredited certification bodies for this standard

BSI Group
BSI (British Standards Institution) is the business standards company that helps organizations make excellence a habit.

TÜV Rheinland
TÜV Rheinland is a leading international provider of technical services.

TÜV SÜD
TÜV SÜD is a trusted partner of choice for safety, security and sustainability solutions.
Sponsored listings
Frequently Asked Questions
ISO 22467:2021 is a standard published by the International Organization for Standardization (ISO). Its full title is "Traditional Chinese medicine — Determination of microorganisms in natural products". This standard covers: This document specifies test methods to determine microorganisms in natural products. It is applicable only to natural products used in traditional Chinese medicine, including raw materials, herbal pieces and preparations.
This document specifies test methods to determine microorganisms in natural products. It is applicable only to natural products used in traditional Chinese medicine, including raw materials, herbal pieces and preparations.
ISO 22467:2021 is classified under the following ICS (International Classification for Standards) categories: 11.120.10 - Medicaments. The ICS classification helps identify the subject area and facilitates finding related standards.
ISO 22467:2021 is available in PDF format for immediate download after purchase. The document can be added to your cart and obtained through the secure checkout process. Digital delivery ensures instant access to the complete standard document.
Standards Content (Sample)
INTERNATIONAL ISO
STANDARD 22467
First edition
2021-10
Traditional Chinese medicine —
Determination of microorganisms in
natural products
Médecine traditionnelle chinoise — Détermination des micro-
organismes dans les produits naturels
Reference number
© ISO 2021
All rights reserved. Unless otherwise specified, or required in the context of its implementation, no part of this publication may
be reproduced or utilized otherwise in any form or by any means, electronic or mechanical, including photocopying, or posting on
the internet or an intranet, without prior written permission. Permission can be requested from either ISO at the address below
or ISO’s member body in the country of the requester.
ISO copyright office
CP 401 • Ch. de Blandonnet 8
CH-1214 Vernier, Geneva
Phone: +41 22 749 01 11
Email: copyright@iso.org
Website: www.iso.org
Published in Switzerland
ii
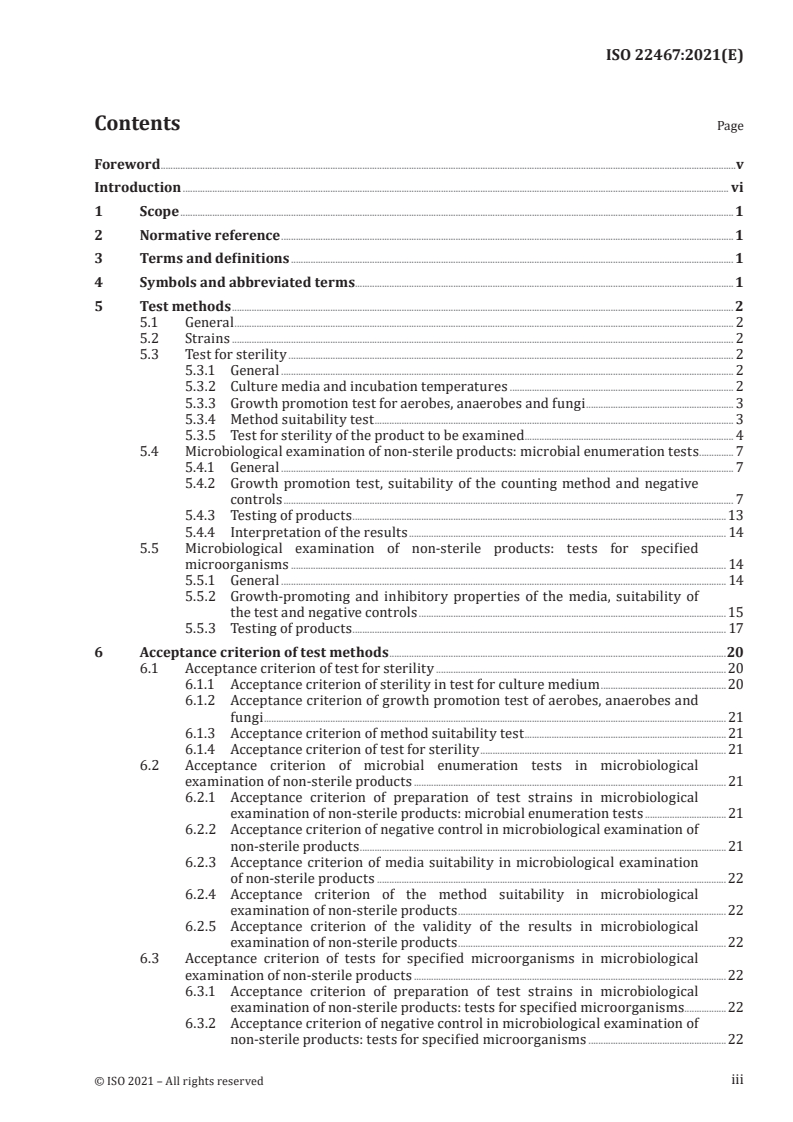
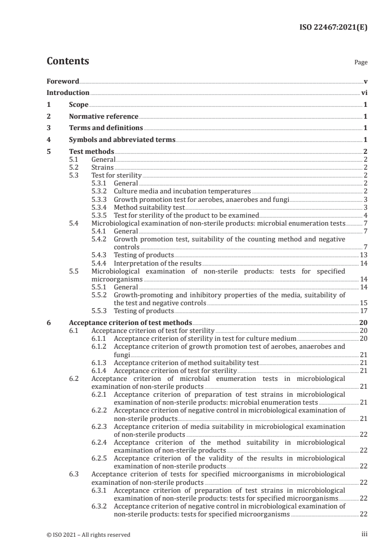
Contents Page
Foreword .v
Introduction . vi
1 Scope . 1
2 Normative reference .1
3 Terms and definitions . 1
4 Symbols and abbreviated terms.1
5 Test methods . 2
5.1 General . 2
5.2 Strains . 2
5.3 Test for sterility . 2
5.3.1 General . 2
5.3.2 Culture media and incubation temperatures . 2
5.3.3 Growth promotion test for aerobes, anaerobes and fungi . 3
5.3.4 Method suitability test . 3
5.3.5 Test for sterility of the product to be examined . 4
5.4 Microbiological examination of non-sterile products: microbial enumeration tests . 7
5.4.1 General . 7
5.4.2 Growth promotion test, suitability of the counting method and negative
controls . 7
5.4.3 Testing of products .13
5.4.4 Interpretation of the results . 14
5.5 Microbiological examination of non-sterile products: tests for specified
microorganisms . 14
5.5.1 General . 14
5.5.2 Growth-promoting and inhibitory properties of the media, suitability of
the test and negative controls . 15
5.5.3 Testing of products . 17
6 Acceptance criterion of test methods .20
6.1 Acceptance criterion of test for sterility . 20
6.1.1 Acceptance criterion of sterility in test for culture medium .20
6.1.2 Acceptance criterion of growth promotion test of aerobes, anaerobes and
fungi . 21
6.1.3 Acceptance criterion of method suitability test . 21
6.1.4 Acceptance criterion of test for sterility . 21
6.2 Acceptance criterion of microbial enumeration tests in microbiological
examination of non-sterile products . 21
6.2.1 Acceptance criterion of preparation of test strains in microbiological
examination of non-sterile products: microbial enumeration tests . 21
6.2.2 Acceptance criterion of negative control in microbiological examination of
non-sterile products . 21
6.2.3 Acceptance criterion of media suitability in microbiological examination
of non-sterile products . 22
6.2.4 Acceptance criterion of the method suitability in microbiological
examination of non-sterile products .22
6.2.5 Acceptance criterion of the validity of the results in microbiological
examination of non-sterile products .22
6.3 Acceptance criterion of tests for specified microorganisms in microbiological
examination of non-sterile products . 22
6.3.1 Acceptance criterion of preparation of test strains in microbiological
examination of non-sterile products: tests for specified microorganisms .22
6.3.2 Acceptance criterion of negative control in microbiological examination of
non-sterile products: tests for specified microorganisms .22
iii
6.3.3 Acceptance criterion of media suitability in microbiological examination
of non-sterile products: tests for specified microorganisms .22
6.3.4 Acceptance criterion of the method suitability in microbiological
examination of non-sterile products: tests for specified microorganism .23
6.3.5 Acceptance criterion of the validity of the results in microbiological
examination of non-sterile products . 23
Annex A (normative) Microbiological quality of natural products .24
Annex B (informative) Recommended solutions and culture media .35
Bibliography .40
iv
Foreword
ISO (the International Organization for Standardization) is a worldwide federation of national standards
bodies (ISO member bodies). The work of preparing International Standards is normally carried out
through ISO technical committees. Each member body interested in a subject for which a technical
committee has been established has the right to be represented on that committee. International
organizations, governmental and non-governmental, in liaison with ISO, also take part in the work.
ISO collaborates closely with the International Electrotechnical Commission (IEC) on all matters of
electrotechnical standardization.
The procedures used to develop this document and those intended for its further maintenance are
described in the ISO/IEC Directives, Part 1. In particular, the different approval criteria needed for the
different types of ISO documents should be noted. This document was drafted in accordance with the
editorial rules of the ISO/IEC Directives, Part 2 (see www.iso.org/directives).
Attention is drawn to the possibility that some of the elements of this document may be the subject of
patent rights. ISO shall not be held responsible for identifying any or all such patent rights. Details of
any patent rights identified during the development of the document will be in the Introduction and/or
on the ISO list of patent declarations received (see www.iso.org/patents).
Any trade name used in this document is information given for the convenience of users and does not
constitute an endorsement.
For an explanation of the voluntary nature of standards, the meaning of ISO specific terms and
expressions related to conformity assessment, as well as information about ISO's adherence to
the World Trade Organization (WTO) principles in the Technical Barriers to Trade (TBT), see
www.iso.org/iso/foreword.html.
This document was prepared by Technical Committee ISO/TC 249, Traditional Chinese medicine.
Any feedback or questions on this document should be directed to the user’s national standards body. A
complete listing of these bodies can be found at www.iso.org/members.html.
v
Introduction
Natural products used in traditional Chinese medicine are widely used around the world due to their
high medicinal values and mild side effects. It is a common phenomenon that natural products are
contaminated by microorganisms which not only impact their quality and efficacy, but also restrict the
international trade in them and related products. Although the Pharmacopeia of the People’s Republic
of China, the British Pharmacopoeia, the Japanese Pharmacopoeia, the European Pharmacopoeia and
the United States Pharmacopeia have stipulated the microbial limits of natural products, there is no
International Standard for microorganism detection methods, which adversely affects communication
and trade between researchers and factories in different countries. Furthermore, microorganism
levels on or in natural products usually exceed the maximum limit levels set by many international
organizations and countries due to the lack of an International Standard.
vi
INTERNATIONAL STANDARD ISO 22467:2021(E)
Traditional Chinese medicine — Determination of
microorganisms in natural products
1 Scope
This document specifies test methods to determine microorganisms in natural products. It is applicable
only to natural products used in traditional Chinese medicine, including raw materials, herbal pieces
and preparations.
2 Normative reference
There are no normative references in this document.
3 Terms and definitions
For the purposes of this document, the following terms and definitions apply.
ISO and IEC maintain terminological databases for use in standardization at the following addresses:
— ISO Online browsing platform: available at https:// www .iso .org/ obp
— IEC Electropedia: available at http:// www .electropedia .org/
3.1
sterility
state of being free from viable microorganisms
Note 1 to entry: In practice, no such absolute statement regarding the absence of microorganisms can be proven.
[SOURCE: ISO 11139:2018, 3.274]
3.2
microbial enumeration test
quantitative counting of mesophilic bacteria and fungi which may grow under aerobic conditions
4 Symbols and abbreviated terms
ATCC American Type Culture Collection
CMCC National Center for Medical Culture Collections
CIP Collection de Bactéries de I'Institut Pasteur
IMI International Mycological Institute
IP Institut Pasteur
MPN most-probable-number
NBRC Biological Resource Center, National Institute of Technology and Evaluation
NCIMB National Collection of Industrial and Marine Bacteria Ltd
NCPF National Collection of Pathogenic Fungi
NCTC National Collection of Type Cultures
TAMC total aerobic microbial count
TYMC total combined yeast and mould count
5 Test methods
5.1 General
The test shall be carried out under aseptic conditions. In order to achieve such conditions, the test
environment shall be adapted to the way in which the sterility test is performed. The precautions
taken to avoid contamination shall be such that they do not affect any microorganisms which are to
be revealed in the test. The working conditions in which the tests are performed shall be monitored
regularly by appropriate sampling of the working area and by carrying out appropriate controls.
5.2 Strains
The standardized stable suspensions of test strains as stated in Table 1 shall be used. Seed-lot culture
maintenance techniques (seed-lot systems) shall be used so that the viable microorganisms used for
inoculation are not more than five passages removed from the original master seed-lot.
Table 1 — Standard strains
Escherichia coli ATCC 8739, NCIMB 8545, CIP 53.126 NBRC 3972 or CMCC (B) 44102
Pseudomonas aeruginosa ATCC 9027, NCIMB 8626, CIP 82.118, NBRC 13275 or CMCC (B) 10104
Clostridium sporogenes CMCC (B) 64941 or ATCC 11437 (NBRC 14293, NCIMB 12343, CIP 100651) or
ATCC 19404 (NCTC 532 or CIP 79.03) or NBRC 14293
Staphylococcus Aureus ATCC6538, NCIMB9518, CIP 4.83, NBRC 13276 or CMCC (B)26003
Bacillus subtilis ATCC 6633, NCIMB 8054, CIP 52.62, NBRC 3134 or CMCC (B) 63501
Candida albicans ATCC 10231, NCPF 3179, IP 48.72 or NBRC 1594 or CMCC (F) 98001
Aspergillus brasiliensis ATCC 16404, IMI 149007, IP 1431.83 NBRC 9455 or CMCC (F) 98003
(Aspergillus niger)
Salmonella paratyphi B CMCC(B)50094, ATCC 14028 or, as an alternative, Salmonella enteric subsp. enteric
serovar Abony such as NBRC 100797, NCTC 6017 or CIP 80.39
Shigella dysenteriae type 1 ATCC 11835, ATCC 9361, CMCC 51252
5.3 Test for sterility
5.3.1 General
The test is applied to raw materials, herbal pieces and preparations which are required to be sterile.
However, a satisfactory result only indicates that no contaminating microorganism has been found
in the sample examined under the conditions of the test. The acceptance criteria for microbiological
quality of products to be tested shall be done according to A.1 in Annex A.
5.3.2 Culture media and incubation temperatures
Recommended media for the test may be prepared as shown in Annex B, or equivalent commercial
media may be used provided that they conform to the growth promotion test.
The culture media have been found to be suitable for the test for sterility. Fluid thioglycollate medium
is primarily intended for the culture of anaerobic bacteria. However, it can also detect aerobic bacteria.
Soya-bean casein digest medium is suitable for the culture of both fungi and aerobic bacteria.
Fluid thioglycollate medium shall be incubated at 30 °C to 35 °C. For products containing a mercurial
preservative that cannot be tested by the membrane-filtration method, fluid thioglycollate medium
incubated at 20 °C to 25 °C may be used instead of soya-bean casein digest medium provided that it has
been validated as described in the growth promotion test.
5.3.3 Growth promotion test for aerobes, anaerobes and fungi
Test each lot of ready-prepared medium and each batch of medium prepared either from dehydrated
medium or from ingredients. Suitable strains of microorganisms are indicated in Table 2.
Inoculate portions of fluid thioglycollate medium with a small number (not more than 100 cfu) of
microorganisms, using a separate portion of medium for each of the following species of microorganism:
Clostridium sporogenes, Pseudomonas aeruginosa and Staphylococcus aureus.
Inoculate portions of alternative thioglycollate medium with a small number (not more than 100 cfu) of
Clostridium sporogenes. Inoculate portions of soya-bean casein digest medium with a small number (not
more than 100 cfu) of microorganisms, using a separate portion of medium for each of the following
species of microorganism: Aspergillus brasiliensis, Bacillus subtilis, and Candida albicans. Incubate for
not more than 3 days in the case of bacteria and not more than 5 days in the case of fungi. Seed lot
culture maintenance techniques (seed-lot systems) are used so that the viable microorganisms used for
inoculation are not more than five passages removed from the original master seed-lot.
Table 2 — Strains of the test microorganisms suitable for use in the growth promotion test and
the method validation
Staphylococcus aureus
ATCC 6538, CIP 4.83, NCTC 10788, NCIMB 9518, NBRC 13276 or CMCC (B)26003
Bacillus subtilis
Aerobic bacteria
ATCC 6633, CIP 52.62, NCIMB 8054, NBRC 3134 or CMCC (B) 63501
a
Pseudomonas aeruginosa
ATCC 9027, NCIMB 8626, CIP 82.118, NBRC 13275 or CMCC (B) 10104
b
Clostridium sporogenes
Anaerobic bacterium
ATCC 19404, CIP 79.3, NCTC 532, ATCC 11437, NBRC 14293 or CMCC (B) 64941
Candida albicans
ATCC 10231, IP 48.72, NCPF 3179, NBRC 1594 or CMCC (F) 98001
Fungi
Aspergillus brasiliensis
ATCC 16404, IP 1431.83, IMI 149007, NBRC 9455 or CMCC (F) 98003
a
An alternative microorganism in Aerobic bacteria is Micrococcus luteus (ATCC 9341).
b
An alternative to Clostridium sporogenes, when a nonspore-forming microorganism is desired, is Bacteroides vulgatus
(ATCC 8482).
5.3.4 Method suitability test
5.3.4.1 Membrane filtration
After transferring the contents of the container or containers to be tested to the membrane, add an
inoculum of a small number of viable microorganisms (not more than 100 cfu) to the final portion of
sterile diluent used to rinse the filter.
5.3.4.2 Direct inoculation
After transferring the contents of the container or containers to be tested to the culture medium, add
an inoculum of a small number of viable microorganisms (not more than 100 cfu) to the medium.
In both cases, use the same microorganisms as those described in 5.3.3. Perform a growth promotion
test as a positive control. Incubate all the containers containing medium for not more than 5 days.
5.3.5 Test for sterility of the product to be examined
5.3.5.1 General
Unless otherwise specified elsewhere in this document or in the individual monograph, test the number
of articles specified in Table 3. If the contents of each article are of sufficient quantity (see Table 3), they
may be divided so that equal appropriate portions are added to each of the specified media. (Perform
sterility testing employing two or more of the specified media.) If neither article contains sufficient
quantities for each medium, use twice the number of articles indicated in Table 4.
The test may be carried out using the technique of membrane filtration or by direct inoculation of
the culture medium with the product to be examined. Appropriate negative controls are included.
The technique of membrane filtration is used whenever the nature of the product permits; that is, for
filterable aqueous preparations, for alcoholic or oily preparations, and for preparations miscible with,
or soluble in, aqueous or oily solvents, provided these solvents do not have an antimicrobial effect in the
conditions of the test.
5.3.5.2 Membrane filtration
5.3.5.2.1 General
Use membrane filters having a nominal pore size not greater than 0,45 μm, in which the effectiveness to
retain microorganisms has been established. Cellulose nitrate filters, for example, are used for aqueous,
oily and weakly alcoholic solutions. Cellulose acetate filters, for example, are used for strongly alcoholic
solutions. Specially adapted filters may be needed for certain products.
Sterility test assumes that membranes about 50 mm in diameter will be used. If filters of a different
diameter are used, the volumes of the dilutions and the washings should be adjusted accordingly. The
filtration apparatus and membrane shall be sterilized by appropriate means. The apparatus is designed
so that the solution to be examined can be introduced and filtered under aseptic conditions. It permits
the aseptic removal of the membrane for transfer to the medium or it is suitable for carrying out the
incubation after adding the medium to the apparatus itself.
5.3.5.2.2 Aqueous solutions
If appropriate, transfer a small quantity of a suitable, sterile diluent such as a 1 g/l neutral solution of
meat or casein peptone pH 7,1 ± 0,2 onto the membrane in the apparatus and filter. The diluents may
contain suitable neutralizing substances, appropriate inactivating substances or both, for example in
the case of antibiotics.
Transfer the contents of the container or containers to be tested to the membrane or membranes, if
necessary, after diluting to the volume used in 5.3.4 with the chosen sterile diluent; in any case, using
not less than the quantities of the product to be examined prescribed in Table 3. Filter immediately. If
the product has antimicrobial properties, wash the membrane not less than three times by filtering
through it each time the volume of the chosen sterile diluent used in 5.3.4. Do not exceed a washing
cycle of five times 100 ml per filter, even if during the method suitability test it has been demonstrated
that such a cycle does not fully eliminate the antimicrobial activity. Transfer the whole membrane to the
culture medium or cut it aseptically into two equal parts and transfer one half to each of two suitable
media. Use the same volume of each medium as in the method suitability test. Alternatively, transfer
the medium onto the membrane in the apparatus. Incubate the media for not less than 14 days.
5.3.5.2.3 Soluble solids
Use for each medium not less than the quantity prescribed in Table 3 of the product dissolved in a
suitable solvent, such as the solvent provided with the preparation, water for injections, saline or a 1 g/l
neutral solution of meat or casein peptone. Proceed with the test as described in 5.3.5.2.2 or aqueous
solutions using a membrane appropriate to the chosen solvent.
5.3.5.2.4 Oils and oily solutions
Use for each medium not less than the quantity of the product prescribed in Table 3. Oils and oily
solutions of sufficiently low viscosity may be filtered without dilution through a dry membrane. Viscous
oils may be diluted as necessary with a suitable sterile diluent such as isopropyl myristate shown not
to have antimicrobial activity in the conditions of the test. Allow the oil to penetrate the membrane
by its own weight then filter, applying the pressure or suction gradually. Wash the membrane at least
three times by filtering through it each time about 100 ml of a suitable sterile solution, such as 1 g/l
neutral meat or casein peptone containing a suitable emulsifying agent at a concentration shown to be
appropriate in 5.3.4, for example polysorbate 80 at a concentration of 10 g/l. Transfer the membrane or
membranes to the culture medium or media or vice versa as described in 5.3.5.2.2, and incubate at the
same temperature for the same time.
5.3.5.2.5 Ointments and creams
Use for each medium not less than the quantities of the product prescribed in Table 3. Ointments in
a fatty base and emulsions of the water-in-oil type may be diluted to 1 % in isopropyl myristate as
described in 5.3.5.2.4 by heating, if necessary, to not more than 40 °C. In exceptional cases it may be
necessary to heat to not more than 44 °C. Filter as rapidly as possible and proceed as described in
5.3.5.2.4.
5.3.5.2.6 Sterile aerosol products
For fluid products in pressurized aerosol form, freeze the containers in an alcohol-dry ice mixture of at
least –20 °C for about 1 hour. If feasible, allow the propellant to escape before aseptically opening the
container and transfer the contents to a sterile pooling vessel. Add 100 ml of fluid D (see Table B.2) to
the pooling vessel and mix gently. Proceed as described in 5.3.5.2.2 or 5.3.5.2.4, whichever applies.
Table 3 — Minimum quantity to be used for each medium
Minimum quantity to be used for each medium unless
Quantity per container
otherwise justified and authorized
Liquids
— less than 1 ml The entire contents of each container
— 1 ml to 40 ml Half the contents of each container but not less than 1 ml
— greater than 40 ml and less than 100 ml 20 ml
10 % of the contents of the container but not less than
— greater than 100 ml
20 ml
Antibiotic liquids 1 ml
Insoluble preparations, creams and ointments to be Use the contents of each container to provide not less
suspended or emulsified than 200 mg
Solids
Less than 50 mg The entire contents of each container
Half the contents of each container but not less than
50 mg or more but less than 300 mg
50 mg
300 mg to 5 g 150 mg
Greater than 5 g 500 mg
Table 4 — Minimum number of items to be tested
Number of items in the batch Minimum number of items to be tested for each
medium, unless otherwise justified and author-
ized
Parenteral preparations
Not more than 100 containers 10 % or four containers, whichever is greater
More than 100 but not more than 500 containers 10 containers
More than 500 containers 2 % or 20 containers (10 containers for
large-volume parenterals), whichever is less
Ophthalmic and other non-injectable
Not more than 200 containers 5 % or two containers, whichever is greater
More than 200 containers 10 containers
If the product is presented in the form of single-dose contain-
ers, apply the scheme shown for preparations for parenteral
use
Bulk solid products
Up to four containers Each container
More than four containers but not more than 50 containers 20 % or four containers, whichever is greater
More than 50 containers 2 % or 10 containers, whichever is greater
5.3.5.3 Direct inoculation of the culture medium
5.3.5.3.1 General
Transfer the quantity of the preparation to be examined prescribed in Table 3 directly into the culture
medium so that the volume of the product is not more than 10 % of the volume of the medium, unless
otherwise prescribed.
If the product to be examined has antimicrobial activity, carry out the test after neutralizing this with
a suitable neutralizing substance or by dilution in a sufficient quantity of culture medium. When it
is necessary to use a large volume of the product, it may be preferable to use a concentrated culture
medium prepared in such a way that it takes account of the subsequent dilution. Where appropriate, the
concentrated medium may be added directly to the product in its container.
5.3.5.3.2 Oily liquids
Use media to which have been added a suitable emulsifying agent at a concentration shown to be
appropriate in the method suitability test, for example polysorbate 80 at a concentration of 10 g/l.
5.3.5.3.3 Ointments and creams
Prepare by diluting to about 1 in 10 by emulsifying with the chosen emulsifying agent in a suitable
sterile diluent, such as a 1 g/l neutral solution of meat or casein peptone. Transfer the diluted product
to a medium not containing an emulsifying agent.
Incubate the inoculated media for not less than 14 days. Observe the cultures several times during
the incubation period. Shake cultures containing oily products gently each day. However, when fluid
thioglycollate medium is used for the detection of anaerobic microorganisms, keep shaking or mixing
to a minimum in order to maintain anaerobic conditions.
5.3.5.4 Observation and interpretation of results
At intervals during the incubation period and at its conclusion, examine the media for macroscopic
evidence of microbial growth. If the material being tested renders the medium turbid so that the
presence or absence of microbial growth cannot be readily determined by visual examination, 14 days
after the beginning of incubation transfer portions (each not less than 1 ml) of the medium-to-fresh
vessels of the same medium, and then incubate the original and transfer vessels for not less than 4 days.
The validity of the test is established according to 6.1.4. If the test is declared to be invalid, it is repeated
with the same number of units as in the original test.
5.3.5.5 Minimum number of items to be tested
The minimum number of items to be tested in relation to the size of the batch is given in Table 4. If the
batch size is unknown, use the maximum number of items prescribed. If the contents of one container
are enough to inoculate the two media, this column gives the number of containers needed for both the
media together.
5.4 Microbiological examination of non-sterile products: microbial enumeration tests
5.4.1 General
The test is applied to determinate whether the non-sterile products involving raw materials, herbal
pieces and preparations conformed to the standard or not.
If the product to be examined has antimicrobial activity, this is as far as possible removed or
neutralized. If neutralizers or inactivators are used in tests, their efficacy and their absence of toxicity
for microorganisms shall be demonstrated. If surfactants are used for sample preparation, their
absence of toxicity for microorganisms and their compatibility with any neutralizers or inactivators
used shall be demonstrated.
The enumeration methods involve membrane filtration, the plate count method and the most-probable-
number (MPN) method. Use the membrane filtration method or one of the plate-count methods, as
directed. The MPN method is generally the least-accurate method for microbial counts; however, for
certain product groups with very low bioburden it might be the most appropriate method.
The choice of a method is based on factors such as the nature of the product and the required limit of
microorganisms. The method chosen shall allow testing of a sufficient sample size to judge conformity
with the specification. The suitability of the chosen method shall be established.
The acceptance criteria for microbiological quality of products to be tested shall be done according to
A.2 (Table A.1 to Table A.15) in Annex A.
5.4.2 Growth promotion test, suitability of the counting method and negative controls
5.4.2.1 General
The ability of the test to detect microorganisms in the product to be tested shall be established.
Suitability shall be confirmed if a change in testing performance or a change in the product that may
affect the outcome of the test is introduced.
5.4.2.2 Preparation of test strains
Use standardized stable suspensions of test strains or prepare as described in Table 5. Seed-lot culture
maintenance techniques (seed-lot systems) are used so that the viable microorganisms used for
inoculation are not more than five passages removed from the original master seed-lot. Grow each of
the bacterial and fungal test strains separately as described in Table 5.
Table 5 — Preparation and use of test microorganisms
Microorganism Preparation of Growth promotion Suitability of counting method in
test strain the product
Total aerobic Total yeast and Total aerobic Total yeast and
microbial count mould count microbial count mould count
Staphylococcus Soya-bean casein Soya-bean casein Soya-bean casein
aureus digest agar or digest agar and digest agar/MPN
such as casein soya-bean soya-bean casein soya-bean casein
ATCC 6538, digest broth digest broth digest broth
NCIMB 9518,
30 °C to 35 °C ≤ 100 cfu 30 °C to ≤ 100 cfu
CIP 4.83 or
35 °C
NBRC 13276 18 h to 24 h 30 °C to 35 °C
≤ 3 days
≤ 3 days
Pseudomonas Soya-bean casein Soya-bean casein Soya-bean casein
aeruginosa digest agar or digest agar and digest agar/MPN
such as soya-bean casein soya-bean casein soya-bean casein
ATCC 9027, digest broth digest broth digest broth
NCIMB 8626,
30 °C to 35 °C ≤ 100 cfu 30 °C to ≤ 100 cfu
CIP 82.118 or
35 °C
NBRC 13275 18 h to 24 h 30 °C to 35 °C
≤ 3 days
≤ 3 days
Bacillus subtilis Soya-bean casein Soya-bean casein Soya-bean casein
such as digest agar or digest agar and digest agar/MPN
ATCC 6633, soya-bean casein soya-bean casein soya-bean casein
NCIMB 8054, digest broth digest broth digest broth
CIP 52.62 or
30 °C to 35 °C ≤ 100 cfu 30 °C to ≤ 100 cfu
NBRC 3134
35 °C
18 h to 24 h 30 °C to 35 °C
≤ 3 days
≤ 3 days
Candida albicans Sabouraud-dex- Soya-bean casein Sabouraud-dex- Soya-bean casein Sabouraud-dex-
such as trose agar or digest agar trose agar digest agar trose agar
ATCC 10231, Sabouraud- dex-
≤ 100 cfu 30 °C to ≤ 100 cfu 20 °C to ≤ 100 cfu ≤ 100 cfu
NCPF 3179, trose broth
35 °C 25 °C
IP 48.72 or 30 °C to 35 °C 20 °C to 25 °C
20 °C to 25 °C
NBRC 1594 ≤ 5 days ≤ 5 days
≤ 5 days ≤ 5 days
2 days to 3 days
MPN: not appli-
cable
Aspergillus brasil- Sabouraud-dex- Soya-bean Sabouraud-dex- Soya-bean Sabouraud-dex-
iensis trose agar or casein digest trose casein digest trose
such as potato- dextrose agar ≤ 100 cfu agar ≤ 100 cfu agar ≤ 100 cfu agar ≤ 100 cfu
ATCC 16404, agar 20 °C to
30 °C to 35 °C 20 °C to 25 °C 30 to 35 °C 20 °C to 25 °C
IMI 149007, 25 °C
IP 1431.83 or ≤ 5 days ≤ 5 days ≤ 5 days ≤ 5 days
5 days to 7 days,
NBRC 9455
or until good MPN: not appli-
sporulation is cable
achieved
Use buffered sodium chloride–peptone solution pH 7,0 (see Table B.3) or phosphate buffer solution
pH 7,2 (see Table B.1) to make test suspensions; to suspend Aspergillus brasiliensis spores, 0,05 % of
polysorbate 80 may be added to the buffer. Use the suspensions within 2 hours, or within 24 hours if
stored between 2 °C and 8 °C. As an alternative to preparing and then diluting a fresh suspension of
vegetative cells of Aspergillus brasiliensis or B. subtilis, a stable spore suspension is prepared and then
an appropriate volume of the spore suspension is used for test inoculation. The stable spore suspension
may be maintained at 2 °C to 8 °C for a validated period of time.
The preparation of media in Table 5 are shown in Table B.4 to Table B.8.
5.4.2.3 Negative control
To verify testing conditions, a negative control is performed using the chosen diluent in place of the test
preparation. There shall be no growth of microorganisms. A negative control is also performed when
testing the products as described in 5.4.3. A failed negative control requires an investigation.
5.4.2.4 Growth promotion of the media
Test each batch of ready-prepared medium and each batch of medium prepared either from dehydrated
medium or from the ingredients described.
Inoculate portions or plates of soya-bean casein digest broth (see Table B.4) and soya-bean casein digest
agar (see Table B.5) with a small number (not more than 100 cfu) of the microorganisms indicated in
Table 5, using a separate portion or plate of medium for each. Inoculate plates of Sabouraud dextrose
agar with a small number (not more than 100 cfu) of the microorganisms indicated in Table 5, using a
separate plate of medium for each. Incubate according to the conditions described in Table 5.
For solid media, growth obtained shall not differ by a factor greater than two from the calculated
value for a standardized inoculum. For a freshly prepared inoculum, growth of the microorganisms
comparable to that previously obtained with a previously tested and approved batch of medium occurs.
Liquid media are suitable if clearly visible growth of the microorganisms comparable to that previously
obtained with a previously tested and approved batch of medium occurs.
5.4.2.5 Suitability of the counting method
5.4.2.5.1 Preparation of the sample
The method for sample preparation depends on the physical characteristics of the product to be tested.
If none of the following procedures can be demonstrated to be satisfactory, a suitable alternative
procedure shall be developed.
1) Water-soluble products: dissolve or dilute (usually a 1 in 10 dilution is prepared) the product to be
examined in buffered sodium chloride–peptone solution pH 7,0 (see Table B.3), phosphate buffer
solution pH 7,2 (see Table B.1) or soya-bean casein digest broth (see Table B.4). If necessary, adjust
to a pH of 6 to 8. Further dilutions, where necessary, are prepared with the same diluent.
2) Non-fatty products insoluble in water: suspend the product to be examined (usually a 1 in
10 dilution is prepared) in buffered sodium chloride–peptone solution pH 7,0 (see Table B.3),
phosphate buffer solution pH 7,2 (see Table B.1) or soya-bean casein digest broth (see Table B.4). A
surface-active agent such as 1 g/l of polysorbate 80 may be added to assist the suspension of poorly
wet table substances. If necessary, adjust to a pH of 6 to 8. Further dilutions, where necessary, are
prepared with the same diluent.
3) Fatty products: dissolve in isopropyl myristate sterilized by filtration, or mix the product to be
examined with the minimum necessary quantity of sterile polysorbate 80 or another non-inhibitory
sterile surface-active reagent heated, if necessary, to not more than 40 °C or, in exceptional cases,
to not more than 45 °C. Mix carefully and, if necessary, maintain the temperature in a water bath.
Add a sufficient quantity of the prewarmed chosen diluent to make a 1 in 10 dilution of the original
product. Mix carefully, while maintaining the temperature for the shortest time necessary for the
formation of an emulsion. Further serial tenfold dilutions may be prepared using the chosen diluent
containing a suitable concentration of sterile polysorbate 80 or another non-inhibitory sterile
surface-active reagent.
4) Fluids or solids in aerosol form: aseptically transfer the product into a membrane filter apparatus
or a sterile container for further sampling. Use either the total contents or a defined number of
metered doses from each of the containers tested.
5) Transdermal patches: remove the protective cover sheets (“release liners”) of the transdermal
patches and place them, adhesive side upwards, on sterile glass or plastic trays. Cover the adhesive
surface with a suitable sterile porous material (e.g. sterile gauze) to prevent the patches from
sticking together and transfer the patches to a suitable volume of the chosen diluent containing
inactivators such as polysorbate 80 or lecithin. Shake the preparation vigorously for at least 30 min.
5.4.2.5.2 Inoculation and dilution
Add to the sample prepared as described in 5.4.2.5.1 and to a control (with no test material included)
a sufficient volume of the microbial suspension to obtain an inoculum of not more than 100 cfu. The
volume of the suspension of the inoculum should not exceed 1 % of the volume of diluted product.
To demonstrate acceptable microbial recovery from the product, the lowest possible dilution factor of
the prepared sample shall be used for the test. Where this is not possible due to antimicrobial activity or
poor solubility, further appropriate protocols shall be developed. If inhibition of growth by the sample
cannot otherwise be avoided, the aliquot of the microbial suspension may be added after neutralization,
dilution or filtration.
5.4.2.5.3 Neutralization or removal of antimicrobial
The number of microorganisms recovered from the prepared sample, diluted as described in
5.4.2.5.2 and incubated following the procedure described in 5.4.2.5.4, is compared to the number of
microorganisms recovered from the control preparation.
If growth is inhibited (reduction by a factor greater than two), then modify the procedure for the
particular enumeration test to ensure the validity of the results. Modification of the procedure may
include, for example:
1) an increase in the volume of the diluent or culture medium;
2) incorporation of a specific or general neutralizing agents into the diluent;
3) membrane filtration;
4) a combination of measures 1) to 3).
Neutralizing agents may be used to neutralize the activity of antimicrobial agents (see Table 6). They
may be added to the chosen diluent or the medium, preferably before sterilization. If used, their efficacy
and their absence of toxicity for microorganisms shall be demonstrated by carrying out a blank with
neutralizer and without product.
Table 6 — Common neutralizing agents for interfering substances
Interfering substance Potential neutralizing method
Glutaraldehyde, mercurials Sodium hydrogensulfite (sodium bisulfite)
Phenolics, alcohol, aldehydes, sorbate Dilution
Aldehydes Glycine
Quaternary Ammonium Compounds (QACs), parahy- Lecithin
droxybenzoates (parabens), bis-biguanide
QACs, iodine, parabens Polysorbate
Mercurials Thioglycollate
Mercurials, halogens, aldehydes Thiosulfate
2+ 2+
EDTA (edetate) Mg or Ca ions
If no suitable neutralizing method can be found, it can be assumed that the failure to isolate the
inoculated organism is attributable to the microbicidal activity of the product. This information serves
to indicate that the article is not likely to be contaminated with the given species of the microorganism.
However, it is possible that the product inhibits only some of the microorganisms specified herein,
but does not
...
INTERNATIONAL ISO
STANDARD 22467
First edition
2021-10
Traditional Chinese medicine —
Determination of microorganisms in
natural products
Médecine traditionnelle chinoise — Détermination des micro-
organismes dans les produits naturels
Reference number
© ISO 2021
All rights reserved. Unless otherwise specified, or required in the context of its implementation, no part of this publication may
be reproduced or utilized otherwise in any form or by any means, electronic or mechanical, including photocopying, or posting on
the internet or an intranet, without prior written permission. Permission can be requested from either ISO at the address below
or ISO’s member body in the country of the requester.
ISO copyright office
CP 401 • Ch. de Blandonnet 8
CH-1214 Vernier, Geneva
Phone: +41 22 749 01 11
Email: copyright@iso.org
Website: www.iso.org
Published in Switzerland
ii
Contents Page
Foreword .v
Introduction . vi
1 Scope . 1
2 Normative reference .1
3 Terms and definitions . 1
4 Symbols and abbreviated terms.1
5 Test methods . 2
5.1 General . 2
5.2 Strains . 2
5.3 Test for sterility . 2
5.3.1 General . 2
5.3.2 Culture media and incubation temperatures . 2
5.3.3 Growth promotion test for aerobes, anaerobes and fungi . 3
5.3.4 Method suitability test . 3
5.3.5 Test for sterility of the product to be examined . 4
5.4 Microbiological examination of non-sterile products: microbial enumeration tests . 7
5.4.1 General . 7
5.4.2 Growth promotion test, suitability of the counting method and negative
controls . 7
5.4.3 Testing of products .13
5.4.4 Interpretation of the results . 14
5.5 Microbiological examination of non-sterile products: tests for specified
microorganisms . 14
5.5.1 General . 14
5.5.2 Growth-promoting and inhibitory properties of the media, suitability of
the test and negative controls . 15
5.5.3 Testing of products . 17
6 Acceptance criterion of test methods .20
6.1 Acceptance criterion of test for sterility . 20
6.1.1 Acceptance criterion of sterility in test for culture medium .20
6.1.2 Acceptance criterion of growth promotion test of aerobes, anaerobes and
fungi . 21
6.1.3 Acceptance criterion of method suitability test . 21
6.1.4 Acceptance criterion of test for sterility . 21
6.2 Acceptance criterion of microbial enumeration tests in microbiological
examination of non-sterile products . 21
6.2.1 Acceptance criterion of preparation of test strains in microbiological
examination of non-sterile products: microbial enumeration tests . 21
6.2.2 Acceptance criterion of negative control in microbiological examination of
non-sterile products . 21
6.2.3 Acceptance criterion of media suitability in microbiological examination
of non-sterile products . 22
6.2.4 Acceptance criterion of the method suitability in microbiological
examination of non-sterile products .22
6.2.5 Acceptance criterion of the validity of the results in microbiological
examination of non-sterile products .22
6.3 Acceptance criterion of tests for specified microorganisms in microbiological
examination of non-sterile products . 22
6.3.1 Acceptance criterion of preparation of test strains in microbiological
examination of non-sterile products: tests for specified microorganisms .22
6.3.2 Acceptance criterion of negative control in microbiological examination of
non-sterile products: tests for specified microorganisms .22
iii
6.3.3 Acceptance criterion of media suitability in microbiological examination
of non-sterile products: tests for specified microorganisms .22
6.3.4 Acceptance criterion of the method suitability in microbiological
examination of non-sterile products: tests for specified microorganism .23
6.3.5 Acceptance criterion of the validity of the results in microbiological
examination of non-sterile products . 23
Annex A (normative) Microbiological quality of natural products .24
Annex B (informative) Recommended solutions and culture media .35
Bibliography .40
iv
Foreword
ISO (the International Organization for Standardization) is a worldwide federation of national standards
bodies (ISO member bodies). The work of preparing International Standards is normally carried out
through ISO technical committees. Each member body interested in a subject for which a technical
committee has been established has the right to be represented on that committee. International
organizations, governmental and non-governmental, in liaison with ISO, also take part in the work.
ISO collaborates closely with the International Electrotechnical Commission (IEC) on all matters of
electrotechnical standardization.
The procedures used to develop this document and those intended for its further maintenance are
described in the ISO/IEC Directives, Part 1. In particular, the different approval criteria needed for the
different types of ISO documents should be noted. This document was drafted in accordance with the
editorial rules of the ISO/IEC Directives, Part 2 (see www.iso.org/directives).
Attention is drawn to the possibility that some of the elements of this document may be the subject of
patent rights. ISO shall not be held responsible for identifying any or all such patent rights. Details of
any patent rights identified during the development of the document will be in the Introduction and/or
on the ISO list of patent declarations received (see www.iso.org/patents).
Any trade name used in this document is information given for the convenience of users and does not
constitute an endorsement.
For an explanation of the voluntary nature of standards, the meaning of ISO specific terms and
expressions related to conformity assessment, as well as information about ISO's adherence to
the World Trade Organization (WTO) principles in the Technical Barriers to Trade (TBT), see
www.iso.org/iso/foreword.html.
This document was prepared by Technical Committee ISO/TC 249, Traditional Chinese medicine.
Any feedback or questions on this document should be directed to the user’s national standards body. A
complete listing of these bodies can be found at www.iso.org/members.html.
v
Introduction
Natural products used in traditional Chinese medicine are widely used around the world due to their
high medicinal values and mild side effects. It is a common phenomenon that natural products are
contaminated by microorganisms which not only impact their quality and efficacy, but also restrict the
international trade in them and related products. Although the Pharmacopeia of the People’s Republic
of China, the British Pharmacopoeia, the Japanese Pharmacopoeia, the European Pharmacopoeia and
the United States Pharmacopeia have stipulated the microbial limits of natural products, there is no
International Standard for microorganism detection methods, which adversely affects communication
and trade between researchers and factories in different countries. Furthermore, microorganism
levels on or in natural products usually exceed the maximum limit levels set by many international
organizations and countries due to the lack of an International Standard.
vi
INTERNATIONAL STANDARD ISO 22467:2021(E)
Traditional Chinese medicine — Determination of
microorganisms in natural products
1 Scope
This document specifies test methods to determine microorganisms in natural products. It is applicable
only to natural products used in traditional Chinese medicine, including raw materials, herbal pieces
and preparations.
2 Normative reference
There are no normative references in this document.
3 Terms and definitions
For the purposes of this document, the following terms and definitions apply.
ISO and IEC maintain terminological databases for use in standardization at the following addresses:
— ISO Online browsing platform: available at https:// www .iso .org/ obp
— IEC Electropedia: available at http:// www .electropedia .org/
3.1
sterility
state of being free from viable microorganisms
Note 1 to entry: In practice, no such absolute statement regarding the absence of microorganisms can be proven.
[SOURCE: ISO 11139:2018, 3.274]
3.2
microbial enumeration test
quantitative counting of mesophilic bacteria and fungi which may grow under aerobic conditions
4 Symbols and abbreviated terms
ATCC American Type Culture Collection
CMCC National Center for Medical Culture Collections
CIP Collection de Bactéries de I'Institut Pasteur
IMI International Mycological Institute
IP Institut Pasteur
MPN most-probable-number
NBRC Biological Resource Center, National Institute of Technology and Evaluation
NCIMB National Collection of Industrial and Marine Bacteria Ltd
NCPF National Collection of Pathogenic Fungi
NCTC National Collection of Type Cultures
TAMC total aerobic microbial count
TYMC total combined yeast and mould count
5 Test methods
5.1 General
The test shall be carried out under aseptic conditions. In order to achieve such conditions, the test
environment shall be adapted to the way in which the sterility test is performed. The precautions
taken to avoid contamination shall be such that they do not affect any microorganisms which are to
be revealed in the test. The working conditions in which the tests are performed shall be monitored
regularly by appropriate sampling of the working area and by carrying out appropriate controls.
5.2 Strains
The standardized stable suspensions of test strains as stated in Table 1 shall be used. Seed-lot culture
maintenance techniques (seed-lot systems) shall be used so that the viable microorganisms used for
inoculation are not more than five passages removed from the original master seed-lot.
Table 1 — Standard strains
Escherichia coli ATCC 8739, NCIMB 8545, CIP 53.126 NBRC 3972 or CMCC (B) 44102
Pseudomonas aeruginosa ATCC 9027, NCIMB 8626, CIP 82.118, NBRC 13275 or CMCC (B) 10104
Clostridium sporogenes CMCC (B) 64941 or ATCC 11437 (NBRC 14293, NCIMB 12343, CIP 100651) or
ATCC 19404 (NCTC 532 or CIP 79.03) or NBRC 14293
Staphylococcus Aureus ATCC6538, NCIMB9518, CIP 4.83, NBRC 13276 or CMCC (B)26003
Bacillus subtilis ATCC 6633, NCIMB 8054, CIP 52.62, NBRC 3134 or CMCC (B) 63501
Candida albicans ATCC 10231, NCPF 3179, IP 48.72 or NBRC 1594 or CMCC (F) 98001
Aspergillus brasiliensis ATCC 16404, IMI 149007, IP 1431.83 NBRC 9455 or CMCC (F) 98003
(Aspergillus niger)
Salmonella paratyphi B CMCC(B)50094, ATCC 14028 or, as an alternative, Salmonella enteric subsp. enteric
serovar Abony such as NBRC 100797, NCTC 6017 or CIP 80.39
Shigella dysenteriae type 1 ATCC 11835, ATCC 9361, CMCC 51252
5.3 Test for sterility
5.3.1 General
The test is applied to raw materials, herbal pieces and preparations which are required to be sterile.
However, a satisfactory result only indicates that no contaminating microorganism has been found
in the sample examined under the conditions of the test. The acceptance criteria for microbiological
quality of products to be tested shall be done according to A.1 in Annex A.
5.3.2 Culture media and incubation temperatures
Recommended media for the test may be prepared as shown in Annex B, or equivalent commercial
media may be used provided that they conform to the growth promotion test.
The culture media have been found to be suitable for the test for sterility. Fluid thioglycollate medium
is primarily intended for the culture of anaerobic bacteria. However, it can also detect aerobic bacteria.
Soya-bean casein digest medium is suitable for the culture of both fungi and aerobic bacteria.
Fluid thioglycollate medium shall be incubated at 30 °C to 35 °C. For products containing a mercurial
preservative that cannot be tested by the membrane-filtration method, fluid thioglycollate medium
incubated at 20 °C to 25 °C may be used instead of soya-bean casein digest medium provided that it has
been validated as described in the growth promotion test.
5.3.3 Growth promotion test for aerobes, anaerobes and fungi
Test each lot of ready-prepared medium and each batch of medium prepared either from dehydrated
medium or from ingredients. Suitable strains of microorganisms are indicated in Table 2.
Inoculate portions of fluid thioglycollate medium with a small number (not more than 100 cfu) of
microorganisms, using a separate portion of medium for each of the following species of microorganism:
Clostridium sporogenes, Pseudomonas aeruginosa and Staphylococcus aureus.
Inoculate portions of alternative thioglycollate medium with a small number (not more than 100 cfu) of
Clostridium sporogenes. Inoculate portions of soya-bean casein digest medium with a small number (not
more than 100 cfu) of microorganisms, using a separate portion of medium for each of the following
species of microorganism: Aspergillus brasiliensis, Bacillus subtilis, and Candida albicans. Incubate for
not more than 3 days in the case of bacteria and not more than 5 days in the case of fungi. Seed lot
culture maintenance techniques (seed-lot systems) are used so that the viable microorganisms used for
inoculation are not more than five passages removed from the original master seed-lot.
Table 2 — Strains of the test microorganisms suitable for use in the growth promotion test and
the method validation
Staphylococcus aureus
ATCC 6538, CIP 4.83, NCTC 10788, NCIMB 9518, NBRC 13276 or CMCC (B)26003
Bacillus subtilis
Aerobic bacteria
ATCC 6633, CIP 52.62, NCIMB 8054, NBRC 3134 or CMCC (B) 63501
a
Pseudomonas aeruginosa
ATCC 9027, NCIMB 8626, CIP 82.118, NBRC 13275 or CMCC (B) 10104
b
Clostridium sporogenes
Anaerobic bacterium
ATCC 19404, CIP 79.3, NCTC 532, ATCC 11437, NBRC 14293 or CMCC (B) 64941
Candida albicans
ATCC 10231, IP 48.72, NCPF 3179, NBRC 1594 or CMCC (F) 98001
Fungi
Aspergillus brasiliensis
ATCC 16404, IP 1431.83, IMI 149007, NBRC 9455 or CMCC (F) 98003
a
An alternative microorganism in Aerobic bacteria is Micrococcus luteus (ATCC 9341).
b
An alternative to Clostridium sporogenes, when a nonspore-forming microorganism is desired, is Bacteroides vulgatus
(ATCC 8482).
5.3.4 Method suitability test
5.3.4.1 Membrane filtration
After transferring the contents of the container or containers to be tested to the membrane, add an
inoculum of a small number of viable microorganisms (not more than 100 cfu) to the final portion of
sterile diluent used to rinse the filter.
5.3.4.2 Direct inoculation
After transferring the contents of the container or containers to be tested to the culture medium, add
an inoculum of a small number of viable microorganisms (not more than 100 cfu) to the medium.
In both cases, use the same microorganisms as those described in 5.3.3. Perform a growth promotion
test as a positive control. Incubate all the containers containing medium for not more than 5 days.
5.3.5 Test for sterility of the product to be examined
5.3.5.1 General
Unless otherwise specified elsewhere in this document or in the individual monograph, test the number
of articles specified in Table 3. If the contents of each article are of sufficient quantity (see Table 3), they
may be divided so that equal appropriate portions are added to each of the specified media. (Perform
sterility testing employing two or more of the specified media.) If neither article contains sufficient
quantities for each medium, use twice the number of articles indicated in Table 4.
The test may be carried out using the technique of membrane filtration or by direct inoculation of
the culture medium with the product to be examined. Appropriate negative controls are included.
The technique of membrane filtration is used whenever the nature of the product permits; that is, for
filterable aqueous preparations, for alcoholic or oily preparations, and for preparations miscible with,
or soluble in, aqueous or oily solvents, provided these solvents do not have an antimicrobial effect in the
conditions of the test.
5.3.5.2 Membrane filtration
5.3.5.2.1 General
Use membrane filters having a nominal pore size not greater than 0,45 μm, in which the effectiveness to
retain microorganisms has been established. Cellulose nitrate filters, for example, are used for aqueous,
oily and weakly alcoholic solutions. Cellulose acetate filters, for example, are used for strongly alcoholic
solutions. Specially adapted filters may be needed for certain products.
Sterility test assumes that membranes about 50 mm in diameter will be used. If filters of a different
diameter are used, the volumes of the dilutions and the washings should be adjusted accordingly. The
filtration apparatus and membrane shall be sterilized by appropriate means. The apparatus is designed
so that the solution to be examined can be introduced and filtered under aseptic conditions. It permits
the aseptic removal of the membrane for transfer to the medium or it is suitable for carrying out the
incubation after adding the medium to the apparatus itself.
5.3.5.2.2 Aqueous solutions
If appropriate, transfer a small quantity of a suitable, sterile diluent such as a 1 g/l neutral solution of
meat or casein peptone pH 7,1 ± 0,2 onto the membrane in the apparatus and filter. The diluents may
contain suitable neutralizing substances, appropriate inactivating substances or both, for example in
the case of antibiotics.
Transfer the contents of the container or containers to be tested to the membrane or membranes, if
necessary, after diluting to the volume used in 5.3.4 with the chosen sterile diluent; in any case, using
not less than the quantities of the product to be examined prescribed in Table 3. Filter immediately. If
the product has antimicrobial properties, wash the membrane not less than three times by filtering
through it each time the volume of the chosen sterile diluent used in 5.3.4. Do not exceed a washing
cycle of five times 100 ml per filter, even if during the method suitability test it has been demonstrated
that such a cycle does not fully eliminate the antimicrobial activity. Transfer the whole membrane to the
culture medium or cut it aseptically into two equal parts and transfer one half to each of two suitable
media. Use the same volume of each medium as in the method suitability test. Alternatively, transfer
the medium onto the membrane in the apparatus. Incubate the media for not less than 14 days.
5.3.5.2.3 Soluble solids
Use for each medium not less than the quantity prescribed in Table 3 of the product dissolved in a
suitable solvent, such as the solvent provided with the preparation, water for injections, saline or a 1 g/l
neutral solution of meat or casein peptone. Proceed with the test as described in 5.3.5.2.2 or aqueous
solutions using a membrane appropriate to the chosen solvent.
5.3.5.2.4 Oils and oily solutions
Use for each medium not less than the quantity of the product prescribed in Table 3. Oils and oily
solutions of sufficiently low viscosity may be filtered without dilution through a dry membrane. Viscous
oils may be diluted as necessary with a suitable sterile diluent such as isopropyl myristate shown not
to have antimicrobial activity in the conditions of the test. Allow the oil to penetrate the membrane
by its own weight then filter, applying the pressure or suction gradually. Wash the membrane at least
three times by filtering through it each time about 100 ml of a suitable sterile solution, such as 1 g/l
neutral meat or casein peptone containing a suitable emulsifying agent at a concentration shown to be
appropriate in 5.3.4, for example polysorbate 80 at a concentration of 10 g/l. Transfer the membrane or
membranes to the culture medium or media or vice versa as described in 5.3.5.2.2, and incubate at the
same temperature for the same time.
5.3.5.2.5 Ointments and creams
Use for each medium not less than the quantities of the product prescribed in Table 3. Ointments in
a fatty base and emulsions of the water-in-oil type may be diluted to 1 % in isopropyl myristate as
described in 5.3.5.2.4 by heating, if necessary, to not more than 40 °C. In exceptional cases it may be
necessary to heat to not more than 44 °C. Filter as rapidly as possible and proceed as described in
5.3.5.2.4.
5.3.5.2.6 Sterile aerosol products
For fluid products in pressurized aerosol form, freeze the containers in an alcohol-dry ice mixture of at
least –20 °C for about 1 hour. If feasible, allow the propellant to escape before aseptically opening the
container and transfer the contents to a sterile pooling vessel. Add 100 ml of fluid D (see Table B.2) to
the pooling vessel and mix gently. Proceed as described in 5.3.5.2.2 or 5.3.5.2.4, whichever applies.
Table 3 — Minimum quantity to be used for each medium
Minimum quantity to be used for each medium unless
Quantity per container
otherwise justified and authorized
Liquids
— less than 1 ml The entire contents of each container
— 1 ml to 40 ml Half the contents of each container but not less than 1 ml
— greater than 40 ml and less than 100 ml 20 ml
10 % of the contents of the container but not less than
— greater than 100 ml
20 ml
Antibiotic liquids 1 ml
Insoluble preparations, creams and ointments to be Use the contents of each container to provide not less
suspended or emulsified than 200 mg
Solids
Less than 50 mg The entire contents of each container
Half the contents of each container but not less than
50 mg or more but less than 300 mg
50 mg
300 mg to 5 g 150 mg
Greater than 5 g 500 mg
Table 4 — Minimum number of items to be tested
Number of items in the batch Minimum number of items to be tested for each
medium, unless otherwise justified and author-
ized
Parenteral preparations
Not more than 100 containers 10 % or four containers, whichever is greater
More than 100 but not more than 500 containers 10 containers
More than 500 containers 2 % or 20 containers (10 containers for
large-volume parenterals), whichever is less
Ophthalmic and other non-injectable
Not more than 200 containers 5 % or two containers, whichever is greater
More than 200 containers 10 containers
If the product is presented in the form of single-dose contain-
ers, apply the scheme shown for preparations for parenteral
use
Bulk solid products
Up to four containers Each container
More than four containers but not more than 50 containers 20 % or four containers, whichever is greater
More than 50 containers 2 % or 10 containers, whichever is greater
5.3.5.3 Direct inoculation of the culture medium
5.3.5.3.1 General
Transfer the quantity of the preparation to be examined prescribed in Table 3 directly into the culture
medium so that the volume of the product is not more than 10 % of the volume of the medium, unless
otherwise prescribed.
If the product to be examined has antimicrobial activity, carry out the test after neutralizing this with
a suitable neutralizing substance or by dilution in a sufficient quantity of culture medium. When it
is necessary to use a large volume of the product, it may be preferable to use a concentrated culture
medium prepared in such a way that it takes account of the subsequent dilution. Where appropriate, the
concentrated medium may be added directly to the product in its container.
5.3.5.3.2 Oily liquids
Use media to which have been added a suitable emulsifying agent at a concentration shown to be
appropriate in the method suitability test, for example polysorbate 80 at a concentration of 10 g/l.
5.3.5.3.3 Ointments and creams
Prepare by diluting to about 1 in 10 by emulsifying with the chosen emulsifying agent in a suitable
sterile diluent, such as a 1 g/l neutral solution of meat or casein peptone. Transfer the diluted product
to a medium not containing an emulsifying agent.
Incubate the inoculated media for not less than 14 days. Observe the cultures several times during
the incubation period. Shake cultures containing oily products gently each day. However, when fluid
thioglycollate medium is used for the detection of anaerobic microorganisms, keep shaking or mixing
to a minimum in order to maintain anaerobic conditions.
5.3.5.4 Observation and interpretation of results
At intervals during the incubation period and at its conclusion, examine the media for macroscopic
evidence of microbial growth. If the material being tested renders the medium turbid so that the
presence or absence of microbial growth cannot be readily determined by visual examination, 14 days
after the beginning of incubation transfer portions (each not less than 1 ml) of the medium-to-fresh
vessels of the same medium, and then incubate the original and transfer vessels for not less than 4 days.
The validity of the test is established according to 6.1.4. If the test is declared to be invalid, it is repeated
with the same number of units as in the original test.
5.3.5.5 Minimum number of items to be tested
The minimum number of items to be tested in relation to the size of the batch is given in Table 4. If the
batch size is unknown, use the maximum number of items prescribed. If the contents of one container
are enough to inoculate the two media, this column gives the number of containers needed for both the
media together.
5.4 Microbiological examination of non-sterile products: microbial enumeration tests
5.4.1 General
The test is applied to determinate whether the non-sterile products involving raw materials, herbal
pieces and preparations conformed to the standard or not.
If the product to be examined has antimicrobial activity, this is as far as possible removed or
neutralized. If neutralizers or inactivators are used in tests, their efficacy and their absence of toxicity
for microorganisms shall be demonstrated. If surfactants are used for sample preparation, their
absence of toxicity for microorganisms and their compatibility with any neutralizers or inactivators
used shall be demonstrated.
The enumeration methods involve membrane filtration, the plate count method and the most-probable-
number (MPN) method. Use the membrane filtration method or one of the plate-count methods, as
directed. The MPN method is generally the least-accurate method for microbial counts; however, for
certain product groups with very low bioburden it might be the most appropriate method.
The choice of a method is based on factors such as the nature of the product and the required limit of
microorganisms. The method chosen shall allow testing of a sufficient sample size to judge conformity
with the specification. The suitability of the chosen method shall be established.
The acceptance criteria for microbiological quality of products to be tested shall be done according to
A.2 (Table A.1 to Table A.15) in Annex A.
5.4.2 Growth promotion test, suitability of the counting method and negative controls
5.4.2.1 General
The ability of the test to detect microorganisms in the product to be tested shall be established.
Suitability shall be confirmed if a change in testing performance or a change in the product that may
affect the outcome of the test is introduced.
5.4.2.2 Preparation of test strains
Use standardized stable suspensions of test strains or prepare as described in Table 5. Seed-lot culture
maintenance techniques (seed-lot systems) are used so that the viable microorganisms used for
inoculation are not more than five passages removed from the original master seed-lot. Grow each of
the bacterial and fungal test strains separately as described in Table 5.
Table 5 — Preparation and use of test microorganisms
Microorganism Preparation of Growth promotion Suitability of counting method in
test strain the product
Total aerobic Total yeast and Total aerobic Total yeast and
microbial count mould count microbial count mould count
Staphylococcus Soya-bean casein Soya-bean casein Soya-bean casein
aureus digest agar or digest agar and digest agar/MPN
such as casein soya-bean soya-bean casein soya-bean casein
ATCC 6538, digest broth digest broth digest broth
NCIMB 9518,
30 °C to 35 °C ≤ 100 cfu 30 °C to ≤ 100 cfu
CIP 4.83 or
35 °C
NBRC 13276 18 h to 24 h 30 °C to 35 °C
≤ 3 days
≤ 3 days
Pseudomonas Soya-bean casein Soya-bean casein Soya-bean casein
aeruginosa digest agar or digest agar and digest agar/MPN
such as soya-bean casein soya-bean casein soya-bean casein
ATCC 9027, digest broth digest broth digest broth
NCIMB 8626,
30 °C to 35 °C ≤ 100 cfu 30 °C to ≤ 100 cfu
CIP 82.118 or
35 °C
NBRC 13275 18 h to 24 h 30 °C to 35 °C
≤ 3 days
≤ 3 days
Bacillus subtilis Soya-bean casein Soya-bean casein Soya-bean casein
such as digest agar or digest agar and digest agar/MPN
ATCC 6633, soya-bean casein soya-bean casein soya-bean casein
NCIMB 8054, digest broth digest broth digest broth
CIP 52.62 or
30 °C to 35 °C ≤ 100 cfu 30 °C to ≤ 100 cfu
NBRC 3134
35 °C
18 h to 24 h 30 °C to 35 °C
≤ 3 days
≤ 3 days
Candida albicans Sabouraud-dex- Soya-bean casein Sabouraud-dex- Soya-bean casein Sabouraud-dex-
such as trose agar or digest agar trose agar digest agar trose agar
ATCC 10231, Sabouraud- dex-
≤ 100 cfu 30 °C to ≤ 100 cfu 20 °C to ≤ 100 cfu ≤ 100 cfu
NCPF 3179, trose broth
35 °C 25 °C
IP 48.72 or 30 °C to 35 °C 20 °C to 25 °C
20 °C to 25 °C
NBRC 1594 ≤ 5 days ≤ 5 days
≤ 5 days ≤ 5 days
2 days to 3 days
MPN: not appli-
cable
Aspergillus brasil- Sabouraud-dex- Soya-bean Sabouraud-dex- Soya-bean Sabouraud-dex-
iensis trose agar or casein digest trose casein digest trose
such as potato- dextrose agar ≤ 100 cfu agar ≤ 100 cfu agar ≤ 100 cfu agar ≤ 100 cfu
ATCC 16404, agar 20 °C to
30 °C to 35 °C 20 °C to 25 °C 30 to 35 °C 20 °C to 25 °C
IMI 149007, 25 °C
IP 1431.83 or ≤ 5 days ≤ 5 days ≤ 5 days ≤ 5 days
5 days to 7 days,
NBRC 9455
or until good MPN: not appli-
sporulation is cable
achieved
Use buffered sodium chloride–peptone solution pH 7,0 (see Table B.3) or phosphate buffer solution
pH 7,2 (see Table B.1) to make test suspensions; to suspend Aspergillus brasiliensis spores, 0,05 % of
polysorbate 80 may be added to the buffer. Use the suspensions within 2 hours, or within 24 hours if
stored between 2 °C and 8 °C. As an alternative to preparing and then diluting a fresh suspension of
vegetative cells of Aspergillus brasiliensis or B. subtilis, a stable spore suspension is prepared and then
an appropriate volume of the spore suspension is used for test inoculation. The stable spore suspension
may be maintained at 2 °C to 8 °C for a validated period of time.
The preparation of media in Table 5 are shown in Table B.4 to Table B.8.
5.4.2.3 Negative control
To verify testing conditions, a negative control is performed using the chosen diluent in place of the test
preparation. There shall be no growth of microorganisms. A negative control is also performed when
testing the products as described in 5.4.3. A failed negative control requires an investigation.
5.4.2.4 Growth promotion of the media
Test each batch of ready-prepared medium and each batch of medium prepared either from dehydrated
medium or from the ingredients described.
Inoculate portions or plates of soya-bean casein digest broth (see Table B.4) and soya-bean casein digest
agar (see Table B.5) with a small number (not more than 100 cfu) of the microorganisms indicated in
Table 5, using a separate portion or plate of medium for each. Inoculate plates of Sabouraud dextrose
agar with a small number (not more than 100 cfu) of the microorganisms indicated in Table 5, using a
separate plate of medium for each. Incubate according to the conditions described in Table 5.
For solid media, growth obtained shall not differ by a factor greater than two from the calculated
value for a standardized inoculum. For a freshly prepared inoculum, growth of the microorganisms
comparable to that previously obtained with a previously tested and approved batch of medium occurs.
Liquid media are suitable if clearly visible growth of the microorganisms comparable to that previously
obtained with a previously tested and approved batch of medium occurs.
5.4.2.5 Suitability of the counting method
5.4.2.5.1 Preparation of the sample
The method for sample preparation depends on the physical characteristics of the product to be tested.
If none of the following procedures can be demonstrated to be satisfactory, a suitable alternative
procedure shall be developed.
1) Water-soluble products: dissolve or dilute (usually a 1 in 10 dilution is prepared) the product to be
examined in buffered sodium chloride–peptone solution pH 7,0 (see Table B.3), phosphate buffer
solution pH 7,2 (see Table B.1) or soya-bean casein digest broth (see Table B.4). If necessary, adjust
to a pH of 6 to 8. Further dilutions, where necessary, are prepared with the same diluent.
2) Non-fatty products insoluble in water: suspend the product to be examined (usually a 1 in
10 dilution is prepared) in buffered sodium chloride–peptone solution pH 7,0 (see Table B.3),
phosphate buffer solution pH 7,2 (see Table B.1) or soya-bean casein digest broth (see Table B.4). A
surface-active agent such as 1 g/l of polysorbate 80 may be added to assist the suspension of poorly
wet table substances. If necessary, adjust to a pH of 6 to 8. Further dilutions, where necessary, are
prepared with the same diluent.
3) Fatty products: dissolve in isopropyl myristate sterilized by filtration, or mix the product to be
examined with the minimum necessary quantity of sterile polysorbate 80 or another non-inhibitory
sterile surface-active reagent heated, if necessary, to not more than 40 °C or, in exceptional cases,
to not more than 45 °C. Mix carefully and, if necessary, maintain the temperature in a water bath.
Add a sufficient quantity of the prewarmed chosen diluent to make a 1 in 10 dilution of the original
product. Mix carefully, while maintaining the temperature for the shortest time necessary for the
formation of an emulsion. Further serial tenfold dilutions may be prepared using the chosen diluent
containing a suitable concentration of sterile polysorbate 80 or another non-inhibitory sterile
surface-active reagent.
4) Fluids or solids in aerosol form: aseptically transfer the product into a membrane filter apparatus
or a sterile container for further sampling. Use either the total contents or a defined number of
metered doses from each of the containers tested.
5) Transdermal patches: remove the protective cover sheets (“release liners”) of the transdermal
patches and place them, adhesive side upwards, on sterile glass or plastic trays. Cover the adhesive
surface with a suitable sterile porous material (e.g. sterile gauze) to prevent the patches from
sticking together and transfer the patches to a suitable volume of the chosen diluent containing
inactivators such as polysorbate 80 or lecithin. Shake the preparation vigorously for at least 30 min.
5.4.2.5.2 Inoculation and dilution
Add to the sample prepared as described in 5.4.2.5.1 and to a control (with no test material included)
a sufficient volume of the microbial suspension to obtain an inoculum of not more than 100 cfu. The
volume of the suspension of the inoculum should not exceed 1 % of the volume of diluted product.
To demonstrate acceptable microbial recovery from the product, the lowest possible dilution factor of
the prepared sample shall be used for the test. Where this is not possible due to antimicrobial activity or
poor solubility, further appropriate protocols shall be developed. If inhibition of growth by the sample
cannot otherwise be avoided, the aliquot of the microbial suspension may be added after neutralization,
dilution or filtration.
5.4.2.5.3 Neutralization or removal of antimicrobial
The number of microorganisms recovered from the prepared sample, diluted as described in
5.4.2.5.2 and incubated following the procedure described in 5.4.2.5.4, is compared to the number of
microorganisms recovered from the control preparation.
If growth is inhibited (reduction by a factor greater than two), then modify the procedure for the
particular enumeration test to ensure the validity of the results. Modification of the procedure may
include, for example:
1) an increase in the volume of the diluent or culture medium;
2) incorporation of a specific or general neutralizing agents into the diluent;
3) membrane filtration;
4) a combination of measures 1) to 3).
Neutralizing agents may be used to neutralize the activity of antimicrobial agents (see Table 6). They
may be added to the chosen diluent or the medium, preferably before sterilization. If used, their efficacy
and their absence of toxicity for microorganisms shall be demonstrated by carrying out a blank with
neutralizer and without product.
Table 6 — Common neutralizing agents for interfering substances
Interfering substance Potential neutralizing method
Glutaraldehyde, mercurials Sodium hydrogensulfite (sodium bisulfite)
Phenolics, alcohol, aldehydes, sorbate Dilution
Aldehydes Glycine
Quaternary Ammonium Compounds (QACs), parahy- Lecithin
droxybenzoates (parabens), bis-biguanide
QACs, iodine, parabens Polysorbate
Mercurials Thioglycollate
Mercurials, halogens, aldehydes Thiosulfate
2+ 2+
EDTA (edetate) Mg or Ca ions
If no suitable neutralizing method can be found, it can be assumed that the failure to isolate the
inoculated organism is attributable to the microbicidal activity of the product. This information serves
to indicate that the article is not likely to be contaminated with the given species of the microorganism.
However, it is possible that the product inhibits only some of the microorganisms specified herein,
but does not
...








Questions, Comments and Discussion
Ask us and Technical Secretary will try to provide an answer. You can facilitate discussion about the standard in here.
Loading comments...