EN 13940-1:2007
(Main)Health informatics - System of concepts to support continuity of care - Part 1: Basic concepts
Health informatics - System of concepts to support continuity of care - Part 1: Basic concepts
Main purpose
Continuity of care implies the management of health information in two different perspectives:
local management of information about the subject of care, at the site of care provision;
information interchange between health care providers.
NOTE Record management: Continuity of care requires that every contact and every health care provider activity, in or out of the presence of the subject of care, be recorded. Those health care activities that are performed by health care third parties should also be recorded in order to support continuity. If ever a contact or a health care activity is not recorded, while it remains a contact or health care activity, its contribution to seamless or integrated care can be ignored, and continuity of care jeopardized.
This European Standard seeks to identify and define those processes which relate to the continuity of health care provided to human beings (to the exclusion of other living subjects). It specifically addresses aspects of sharing subject of care related information needed in the process of health care. It identifies and defines relevant data and information flows, together with their relationships to "time slots".
In order to support the delivery of high quality care to each subject of care, and to facilitate continuity of care, a full understanding is needed of the temporal aspects of the delivery of health care, the role of each party in the health care process, and their interaction in the subject's of care environment. The concepts describing the characteristics of the ongoing process of care should not differ in nature from those that are used to structure and organise the data locally in the Electronic Health Record.
This European Standard addresses such topics as:
a) organisational principles of health care;
b) health care actors, health care parties, subjects of care, health care providers, provider organisations, health care professionals and third parties;
c) health issues and their man
Medizinische Informatik - Begriffssystem zur Unterstützung der Kontinuität der Versorgung - Teil 1: Grundbegriffe
Informatique de la santé - Système de concepts en appui de la continuité des soins - Partie 1 : Concepts fondamentaux
1.1 Objet principal
La continuité des soins fait appel à la gestion des informations de santé selon deux perspectives distinctes :
la gestion locale des informations concernant le sujet de soins, sur le lieu des soins ;
l'échange d'informations entre prestataires de soins.
NOTE Gestion du dossier : La continuité des soins exige que chaque contact et chaque prestation de santé soit enregistrée, qu'elle soit ou non pratiquée en présence du sujet de soins. Il serait en outre préférable que les activités réalisées par des tierces parties aux soins soient également enregistrées afin de renforcer la continuité des soins. Une activité de santé qui n'est pas enregistrée reste une activité de santé, mais sa contribution à la coordination ou à l'intégration des soins peut rester ignorée et la continuité des soins en être menacée.
La présente norme européenne a pour but d’identifier et de définir les processus relatifs à la continuité des soins de santé dispensés à des êtres humains (à l'exclusion des autres êtres vivants). Elle concerne tout particulièrement le partage des informations relatives au sujet de soins qui sont nécessaires dans processus de soins de santé. Elle identifie et définit les flux pertinents de données et d’informations ainsi que leurs relations avec les "intervalles de temps".
Pour favoriser la dispensation, à chaque patient, de soins de haute qualité, et pour faciliter la continuité des soins, il est nécessaire de s’assurer d’une parfaite compréhension des aspects temporels, du rôle de chaque partie dans le processus de soins et de leur interaction dans l’environnement du sujet de soins. Il convient que les concepts décrivant les caractéristiques du processus en cours ne divergent pas, en nature, de ceux qui sont utilisés pour structurer et organiser les données localement au sein du dossier informatisé de santé.
La présente Norme européenne traite des sujets suivants :
principes d’organisation des soins de santé ;
Zdravstvena informatika - Sistem pojmov za podporo neprekinjeni oskrbi - 1. del: Osnovni pojmi
General Information
- Status
- Withdrawn
- Publication Date
- 12-Jun-2007
- Withdrawal Date
- 08-Feb-2026
- Technical Committee
- CEN/TC 251 - Medical informatics
- Drafting Committee
- CEN/TC 251/WG 1 - Information models
- Current Stage
- 9960 - Withdrawal effective - Withdrawal
- Start Date
- 27-Jan-2016
- Completion Date
- 11-Feb-2026
Relations
- Effective Date
- 22-Dec-2008
- Effective Date
- 08-Jun-2022
- Effective Date
- 28-Jan-2026
- Refers
EN 14822-2:2005 - Health informatics - General purpose information components - Part 2: Non-clinical - Effective Date
- 28-Jan-2026
- Effective Date
- 28-Jan-2026
- Effective Date
- 28-Jan-2026
- Refers
EN 13606-4:2007 - Health informatics - Electronic health record communication - Part 4: Security - Effective Date
- 28-Jan-2026
- Effective Date
- 28-Jan-2026
- Effective Date
- 28-Jan-2026
- Effective Date
- 28-Jan-2026
- Effective Date
- 28-Jan-2026
- Effective Date
- 28-Jan-2026
- Refers
EN 14822-3:2005 - Health informatics - General purpose information components - Part 3: Clinical - Effective Date
- 28-Jan-2026
Get Certified
Connect with accredited certification bodies for this standard

BSI Group
BSI (British Standards Institution) is the business standards company that helps organizations make excellence a habit.

NYCE
Mexican standards and certification body.
Sponsored listings
Frequently Asked Questions
EN 13940-1:2007 is a standard published by the European Committee for Standardization (CEN). Its full title is "Health informatics - System of concepts to support continuity of care - Part 1: Basic concepts". This standard covers: Main purpose Continuity of care implies the management of health information in two different perspectives: local management of information about the subject of care, at the site of care provision; information interchange between health care providers. NOTE Record management: Continuity of care requires that every contact and every health care provider activity, in or out of the presence of the subject of care, be recorded. Those health care activities that are performed by health care third parties should also be recorded in order to support continuity. If ever a contact or a health care activity is not recorded, while it remains a contact or health care activity, its contribution to seamless or integrated care can be ignored, and continuity of care jeopardized. This European Standard seeks to identify and define those processes which relate to the continuity of health care provided to human beings (to the exclusion of other living subjects). It specifically addresses aspects of sharing subject of care related information needed in the process of health care. It identifies and defines relevant data and information flows, together with their relationships to "time slots". In order to support the delivery of high quality care to each subject of care, and to facilitate continuity of care, a full understanding is needed of the temporal aspects of the delivery of health care, the role of each party in the health care process, and their interaction in the subject's of care environment. The concepts describing the characteristics of the ongoing process of care should not differ in nature from those that are used to structure and organise the data locally in the Electronic Health Record. This European Standard addresses such topics as: a) organisational principles of health care; b) health care actors, health care parties, subjects of care, health care providers, provider organisations, health care professionals and third parties; c) health issues and their man
Main purpose Continuity of care implies the management of health information in two different perspectives: local management of information about the subject of care, at the site of care provision; information interchange between health care providers. NOTE Record management: Continuity of care requires that every contact and every health care provider activity, in or out of the presence of the subject of care, be recorded. Those health care activities that are performed by health care third parties should also be recorded in order to support continuity. If ever a contact or a health care activity is not recorded, while it remains a contact or health care activity, its contribution to seamless or integrated care can be ignored, and continuity of care jeopardized. This European Standard seeks to identify and define those processes which relate to the continuity of health care provided to human beings (to the exclusion of other living subjects). It specifically addresses aspects of sharing subject of care related information needed in the process of health care. It identifies and defines relevant data and information flows, together with their relationships to "time slots". In order to support the delivery of high quality care to each subject of care, and to facilitate continuity of care, a full understanding is needed of the temporal aspects of the delivery of health care, the role of each party in the health care process, and their interaction in the subject's of care environment. The concepts describing the characteristics of the ongoing process of care should not differ in nature from those that are used to structure and organise the data locally in the Electronic Health Record. This European Standard addresses such topics as: a) organisational principles of health care; b) health care actors, health care parties, subjects of care, health care providers, provider organisations, health care professionals and third parties; c) health issues and their man
EN 13940-1:2007 is classified under the following ICS (International Classification for Standards) categories: 35.240.80 - IT applications in health care technology. The ICS classification helps identify the subject area and facilitates finding related standards.
EN 13940-1:2007 has the following relationships with other standards: It is inter standard links to ENV 13940:2001, EN ISO 13940:2016, prEN 54-26, EN 14822-2:2005, EN 13606-1:2007, EN 12381:2005, EN 13606-4:2007, EN 10224:2002, EN 12264:2005, EN 1859:2009, EN ISO 10215:2010, EN 1949:2011+A1:2013, EN 14822-3:2005. Understanding these relationships helps ensure you are using the most current and applicable version of the standard.
EN 13940-1:2007 is available in PDF format for immediate download after purchase. The document can be added to your cart and obtained through the secure checkout process. Digital delivery ensures instant access to the complete standard document.
Standards Content (Sample)
2003-01.Slovenski inštitut za standardizacijo. Razmnoževanje celote ali delov tega standarda ni dovoljeno.Health informatics - System of concepts to support continuity of care - Part 1: Basic conceptsZdravstvena informatika - Sistem pojmov za podporo neprekinjeni oskrbi - 1. del: Osnovni pojmiInformatique de santé - Systeme de concepts en appui de la continuité des soins - Partie 1: Concepts de baseMedizinische Informatik - Begriffssystem zur Unterstützung der Kontinuität
der Versorgung - Teil 1: GrundbegriffeTa slovenski standard je istoveten z:EN 13940-1:2007SIST EN 13940-1:2008en35.240.80ICS:SIST ENV 13940:20031DGRPHãþDSLOVENSKI
STANDARDSIST EN 13940-1:200801-april-2008
EUROPEAN STANDARDNORME EUROPÉENNEEUROPÄISCHE NORMEN 13940-1June 2007ICS 35.240.80Supersedes ENV 13940:2001
English VersionHealth informatics - System of concepts to support continuity ofcare - Part 1: Basic conceptsInformatique de santé - Système de concepts en appui dela continuité des soins - Partie 1: Concepts de baseMedizinische Informatik - Begriffssystem zur Unterstützungder Kontinuität
der Versorgung - Teil 1: GrundbegriffeThis European Standard was approved by CEN on 10 May 2007.CEN members are bound to comply with the CEN/CENELEC Internal Regulations which stipulate the conditions for giving this EuropeanStandard the status of a national standard without any alteration. Up-to-date lists and bibliographical references concerning such nationalstandards may be obtained on application to the CEN Management Centre or to any CEN member.This European Standard exists in three official versions (English, French, German). A version in any other language made by translationunder the responsibility of a CEN member into its own language and notified to the CEN Management Centre has the same status as theofficial versions.CEN members are the national standards bodies of Austria, Belgium, Bulgaria, Cyprus, Czech Republic, Denmark, Estonia, Finland,France, Germany, Greece, Hungary, Iceland, Ireland, Italy, Latvia, Lithuania, Luxembourg, Malta, Netherlands, Norway, Poland, Portugal,Romania, Slovakia, Slovenia, Spain, Sweden, Switzerland and United Kingdom.EUROPEAN COMMITTEE FOR STANDARDIZATIONCOMITÉ EUROPÉEN DE NORMALISATIONEUROPÄISCHES KOMITEE FÜR NORMUNGManagement Centre: rue de Stassart, 36
B-1050 Brussels© 2007 CENAll rights of exploitation in any form and by any means reservedworldwide for CEN national Members.Ref. No. EN 13940-1:2007: E
Page Foreword.5 0 Introduction.6 0.1 General.6 0.2 Target groups.6 0.3 Notes.6 0.3.1 General.6 0.3.2 Subject of care.6 0.3.3 Description and display of concepts.7 0.3.4 Concept modelling vs. information modelling.7 0.3.5 Frequent use of the term 'care' instead of 'health care'.8 1 Scope.9 1.1 Main purpose.9 1.2 Topics outside the scope.10 2 Normative references.10 3 Terms and definitions.12 4 Symbols and abbreviations.14 5 Domain description and organisational principles.14 6 Actors in Continuity of Care.15 6.1 Health care actor.16 6.1.1 Health Care Device.17 6.1.2 Health care party.18 6.1.2.1 Subject of care.20 6.1.2.2 Health care provider.22 6.1.2.2.1 Health care organisation.23 6.1.2.2.2 Health care professional.25 6.1.2.2.2.1 Health care professional entitlement.27 6.1.2.2.2.2 Health care professional appointment.28 6.1.2.3 Health care third party.29 6.1.2.3.1 Other carer.31 6.1.2.3.2 Health care supporting organisation.32 6.1.2.3.2.1 Health care funder.33 7 Health issues and their management.34 7.1 Health issue.35 7.2 Health issue thread.37 8 Time-related concepts in Continuity of Care.39 8.1 Period of care.40 8.2 Contact.41 8.2.1 Record contact.43 8.2.2 Encounter.44 8.3 Contact element.45 8.4 Episode of care.47 8.5 Cumulative episode of care.49 8.6 Sub-episode of care.50 8.6.1 Health approach.51 9 Concepts related to activity, use of clinical knowledge and decision support in Continuity of Care52 9.1 Clinical guideline.53 9.2 Protocol.54 9.3 Programme of care.55 9.4 Care plan.57 9.5 Health objective.59 9.6 Health care goal.60 9.7 Health care activity.61 9.7.1 Health care provider activity.62 9.7.2 Health self care activity.63 9.7.3 Health care contributing activity.64
(informative)
On the issue of the subject of care being a group of persons.94 Annex B
(informative)
Overview and explanatory comments.95 Bibliography.108 Alphabetical Index.111
Table B.1 — Kinds of organisations for health care provision.97 Table B.2 — Hierarchical relationships between concepts related to knowledge, activities and decision support.103 Table B.3 — Levels of support provided by telematic tools for various levels of co-ordination.106
Figures
Page Figure 1: Comprehensive UML diagram of actors in continuity of care 15 Figure 2: Comprehensive UML diagram of health issues and their management 34 Figure 3: Comprehensive UML diagram of time-related concepts in continuity of care 39 Figure 4: Comprehensive UML diagram of concepts related to activity, use of clinical knowledge, and decision support in continuity of care 52 Figure 5: Comprehensive UML diagram of concepts related to responsibility in continuity of care 67 Figure 6: Comprehensive UML diagram of health data management in continuity of care 80
Part 1: Basic concepts
Part 2: Core process and work flow in health care According to the CEN/CENELEC Internal Regulations, the national standards organizations of the following countries are bound to implement this European Standard: Austria, Belgium, Bulgaria, Cyprus, Czech Republic, Denmark, Estonia, Finland, France, Germany, Greece, Hungary, Iceland, Ireland, Italy, Latvia, Lithuania, Luxembourg, Malta, Netherlands, Norway, Poland, Portugal, Romania, Slovakia, Slovenia, Spain, Sweden, Switzerland and United Kingdom.
1.2 Topics outside the scope The scope of this European Standard definitely addresses those concepts that support continuity of health care. Even if the WHO definition of health acknowledgedly establishes the social well being as one of several determinants of health in general, social wellfare is out of the scope of this European Standard. If certain concepts addressed in this European Standard might be felt useful for other kinds of care provision than health care, it is not recommended to do so without carefully re-appraising their specific relevance to these distinct uses; this could be the topic for other future standards. This European Standard does not intend to define how the processes should be performed in a particular health care framework. It does not intend to have any regulatory impact on the actual delivery of care. For example, it defines what "a hospital stay" is, but it does not specify in any way the events that may occur during a hospital stay. The specific management of prescriptions for drug therapy and of laboratory tests and their results are not part of this European Standard; nor does the standard define any other aspects of the health care process, such as security, act specific management, the life cycle of acts, terminology and classification, or the financing mechanism of health care delivery. As stated above, continuity of care depends on the effective transfer and linkage of data and information about the clinical situation and the care provided to a subject of care, between different parties involved in the process, within the framework of ethical, professional and legal, rules. The communication or sharing of personal health data between health care parties imply that such requirements as confidentiality, privacy protection, and security are properly covered by an adequate set of relevant policies. However, while this European Standard addresses the transfer of responsibilities between subjects of care and health care providers, which by the use of mandates includes some aspects of the assignment of access rights, it does not address those policies. In practice, clinical data and information take the form of Record Components, as defined in EN 13606-1:2007. The management of security, access control, access rules etc. is tightly linked to EHR communication, and therefore it actually belongs to the scope of EN 13606 as a whole, and more particularly of its Part 4. In this respect as in others, and in the view of consistency between standards, this European standard follows the provisions of EN 13606. While this European standard can help manage the logistics of health care delivery, particularly in its Part 2: "Core process and work flow in health care" (to be published), it does not intend to refer specifically to the issue of resources needed in the provision of health care activities. 2 Normative references The following referenced documents are indispensable for the application of this document. For dated references, only the edition cited applies. For undated references, the latest edition of the referenced document (including any amendments) applies.
EN 12264:2005, Health Informatics — Categorial structures for systems of concepts EN 12381:2005, Health Informatics — Time standards for health care specific problems EN 13606-1:2007, Health Informatics — Electronic health record communication Part 1: Reference model EN 13606-4:2007, Health Informatics — Electronic health record communication Part 4: Security
[ISO/TR 20514:2005]
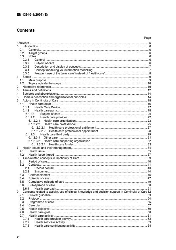
Figure 1 — Comprehensive UML diagram of actors in Continuity of Care
health care partyhealth care actorother carerorganisational patternpersonperson role10.*10.*health care funderhealth care supporting organisationhealth organisation roleorganisation0.*0.10.*0.10.*0.*0.*0.*rolehealth care third partysubject of
care0.*1.*is supported by0.*supports1.*health care professional appointmenthealth care devicehealth care professional entitlementhealth care professional11.*belongs to1has1.*health care organisation0.*0.*appoints0.*is appointed by0.*1.*0.*1.*0.*health care provider
Concept name: health care actor Definition: person, organisation, device, or software that performs a role in a health care activity NOTE 1 This concept of health care actor can include the patients themselves, in that patients can themselves administer their own health care activities and take an active part in those health care provider activities which concern them. NOTE 2 This concept of health care actor can be used to represent any entity that produces data or information which may be included in an EHR. NOTE 3 This superordinate concept can only be instantiated by one of its subordinate concepts. Specialisation of: Generalisation of:
health care party health care device Component of: Multiplicity: Aggregation of: Multiplicity:
Features or related entities not described in this document (Informative): Type (examples): Multiplicity:
Direct relationship with: Name of relationship: Multiplicity: health care activity
performs zero to many UML representation: health care devicehealth care actorhealth care activity1.*0.*is performed by1.*performs0.*health care party
Concept name: health care device Definition: device or equipment, possibly including a piece of software, involved in the provision of health care activities [EN 13606-1:2007, modified] NOTE In order to perform some specific tasks, various health care devices may include pieces of software. However, in spite of the the draft revised directive 93/42/EEC dated 2005-04-05, and because their operation usually depends on direct commands from health care parties, in the context of this European standard Electronic Health Records, Electronic Health Record systems and any other standalone pieces of software are excluded from this definition. EXAMPLES A specific identifiable ECG machine, auto-analyser, syringe pump. Standalone pieces of software such as decision support software, viewing tools, or software used to compute radiation dosage in radiotherapy are excluded from this definition. Specialisation of: Generalisation of: health care actor
Component of: Multiplicity: Aggregation of: Multiplicity:
Features or related entities not described in this document (Informative): Type (examples): Multiplicity: device manufacturer
One device package
One device ID
One software manufacturer
One software package
One software ID
One Direct relationship with: Name of relationship: Multiplicity: health care automated activity performs zero to many UML representation:
Concept name: health care party Definition: organisation or person involved in the process of health care NOTE 1 The involvement of the health care party may be direct (for example the actual provision of care), or indirect (for example at organisational level). NOTE 2 According to this definition, persons or organisations responsible for the funding, payment, or reimbursement of health care provision are health care parties, as well as organisations responsible for health care delivery. Thus, according to this definition, health care party is a superordinate concept to health care provider, (i.e. health care organisation and health care professional), heath care third party, and also subject of care. NOTE 3 This superordinate concept can only be instantiated by one of its subordinate concepts. Specialisation of: Generalisation of: health care actor subject of care health care provider health care third party Component of: Multiplicity: Aggregation of: Multiplicity:
Features or related entities not described in this document (informative): Type (examples): Multiplicity:
Direct relationship with: Name of relationship: Multiplicity: health mandate assigns zero to many health mandate has assigned zero to many local health record maintains zero to many sharable data marks zero to many sharable data repository supervises zero to many specific clinical information request sends out zero to many specific clinical information request receives zero to many tailored clinical information sends out zero to many tailored clinical information receives zero to many health mandate notification receives zero to many health mandate notification sends out zero to many health issue identifies or states zero to many health issue thread defines zero to many clinical guideline makes decisions assisted by zero to many
health care actorhealth care third partyhealth care providersubject of
carehealth mandatetailored clinical informationspecific clinical information requesthealth issue threadhealth mandate notificationhealth issueclinical guidelinesharable datalocal health recordhealth care party10.*is assigned by1assigns0.*10.*is assigned to1
...




Questions, Comments and Discussion
Ask us and Technical Secretary will try to provide an answer. You can facilitate discussion about the standard in here.
Loading comments...