ISO 21980:2020
(Main)Space systems — Evaluation of radiation effects on Commercial-Off-The-Shelf (COTS) parts for use on low-orbit satellite
Space systems — Evaluation of radiation effects on Commercial-Off-The-Shelf (COTS) parts for use on low-orbit satellite
This document outlines the evaluation methods for environmental tests that can be conducted on COTS (Commercial-Off-The-Shelf) spacecraft parts intended for use on LEO satellites. The radiation effects considered consist of total dosage, single event, and displacement damage. In addition, this document describes tests that are useful for satellites operating in LEO.
Systèmes spatiaux — Évaluation des effets des radiations sur les parties commerciales sur étagère (COTS) destinées aux satellites à orbite basse
General Information
- Status
- Published
- Publication Date
- 12-Jan-2020
- Technical Committee
- ISO/TC 20/SC 14 - Space systems and operations
- Drafting Committee
- ISO/TC 20/SC 14/WG 4 - Space environment (natural and artificial)
- Current Stage
- 9060 - Close of review
- Completion Date
- 02-Sep-2030
Overview
ISO 21980:2020 - "Space systems - Evaluation of radiation effects on Commercial‑Off‑The‑Shelf (COTS) parts for use on low‑orbit satellite" provides guidance for evaluating radiation effects on COTS electronic parts intended for Low Earth Orbit (LEO) satellites. The standard focuses on practical test methods and evaluation procedures to assess total ionizing dose (TID), single‑event effects (SEE), and displacement damage (DD) for small satellites, nano/microsatellites and CubeSats that increasingly use consumer technology.
Key topics and technical requirements
- Radiation resistance design: Concepts for selecting and applying COTS parts, and integration of mitigation measures (shielding, part selection, design procedures - see Annex A).
- Space radiation environment: Guidance on modelling LEO radiation environments, required environmental parameters, and prediction methods (Annex B, contour maps in Annex C).
- Radiation tolerance tests: Prescribes irradiation test types and procedures:
- Total dose tests (e.g., Co‑60 gamma irradiation)
- Single‑event tests (heavy ions, proton beams)
- Displacement damage tests (proton/particle fluence)
- Alternative irradiation: focused pulsed laser (FPL) for SEE simulation
- Test procedures & fields: Stepwise testing approaches for TID, SEE, DD and laser pulse methods (summarized in Clause 6 and Annexes K–L).
- Supporting guidance: Informative annexes covering prediction methods, comparative model vs. measured data, device‑level radiation deterioration, and mitigation measures (Annexes D–J).
Note: The document contains informative annexes rather than prescriptive thresholds; it does not include normative external references.
Practical applications
ISO 21980:2020 is intended to help suppliers and designers validate COTS components for LEO missions where constrained budgets and rapid development favor consumer semiconductor use. Typical uses:
- Verifying COTS component suitability for CubeSat, pico/nanosatellite and small satellite missions.
- Designing radiation mitigation strategies (shielding thickness estimation, part derating, error detection and correction).
- Planning and executing irradiation test campaigns (gamma, proton, heavy‑ion, laser pulse).
- Estimating mission end‑of‑life radiation exposure using contour maps and environment models.
Who should use this standard
- Satellite system and electronic designers integrating COTS parts
- Test laboratories and radiation test planners
- CubeSat academic teams, small satellite manufacturers, and space integrators
- Project managers evaluating mission lifetime and risk from radiation effects
Related tools and references
- Radiation modelling and analysis tools referenced in the document include SHIELDOSE‑2, SPENVIS, and CREME‑MC (used for TID and SEE estimation). The standard was prepared by ISO/TC 20/SC 14 (Space systems and operations).
Keywords: ISO 21980:2020, COTS parts, LEO satellites, radiation effects, TID, SEE, displacement damage, CubeSat, radiation tolerance test.
Buy Documents
ISO 21980:2020 - Space systems -- Evaluation of radiation effects on Commercial-Off-The-Shelf (COTS) parts for use on low-orbit satellite
ISO 21980:2020 - Space systems — Evaluation of radiation effects on Commercial-Off-The-Shelf (COTS) parts for use on low-orbit satellite Released:1/13/2020
Get Certified
Connect with accredited certification bodies for this standard

DEKRA North America
DEKRA certification services in North America.
Eagle Registrations Inc.
American certification body for aerospace and defense.

Element Materials Technology
Materials testing and product certification.
Sponsored listings
Frequently Asked Questions
ISO 21980:2020 is a standard published by the International Organization for Standardization (ISO). Its full title is "Space systems — Evaluation of radiation effects on Commercial-Off-The-Shelf (COTS) parts for use on low-orbit satellite". This standard covers: This document outlines the evaluation methods for environmental tests that can be conducted on COTS (Commercial-Off-The-Shelf) spacecraft parts intended for use on LEO satellites. The radiation effects considered consist of total dosage, single event, and displacement damage. In addition, this document describes tests that are useful for satellites operating in LEO.
This document outlines the evaluation methods for environmental tests that can be conducted on COTS (Commercial-Off-The-Shelf) spacecraft parts intended for use on LEO satellites. The radiation effects considered consist of total dosage, single event, and displacement damage. In addition, this document describes tests that are useful for satellites operating in LEO.
ISO 21980:2020 is classified under the following ICS (International Classification for Standards) categories: 49.140 - Space systems and operations. The ICS classification helps identify the subject area and facilitates finding related standards.
ISO 21980:2020 is available in PDF format for immediate download after purchase. The document can be added to your cart and obtained through the secure checkout process. Digital delivery ensures instant access to the complete standard document.
Standards Content (Sample)
INTERNATIONAL ISO
STANDARD 21980
First edition
2020-01
Space systems — Evaluation of
radiation effects on Commercial-Off-
The-Shelf (COTS) parts for use on low-
orbit satellite
Systèmes spatiaux — Évaluation des effets des radiations sur les
parties commerciales sur étagère (COTS) destinées aux satellites à
orbite basse
Reference number
©
ISO 2020
© ISO 2020
All rights reserved. Unless otherwise specified, or required in the context of its implementation, no part of this publication may
be reproduced or utilized otherwise in any form or by any means, electronic or mechanical, including photocopying, or posting
on the internet or an intranet, without prior written permission. Permission can be requested from either ISO at the address
below or ISO’s member body in the country of the requester.
ISO copyright office
CP 401 • Ch. de Blandonnet 8
CH-1214 Vernier, Geneva
Phone: +41 22 749 01 11
Fax: +41 22 749 09 47
Email: copyright@iso.org
Website: www.iso.org
Published in Switzerland
ii © ISO 2020 – All rights reserved
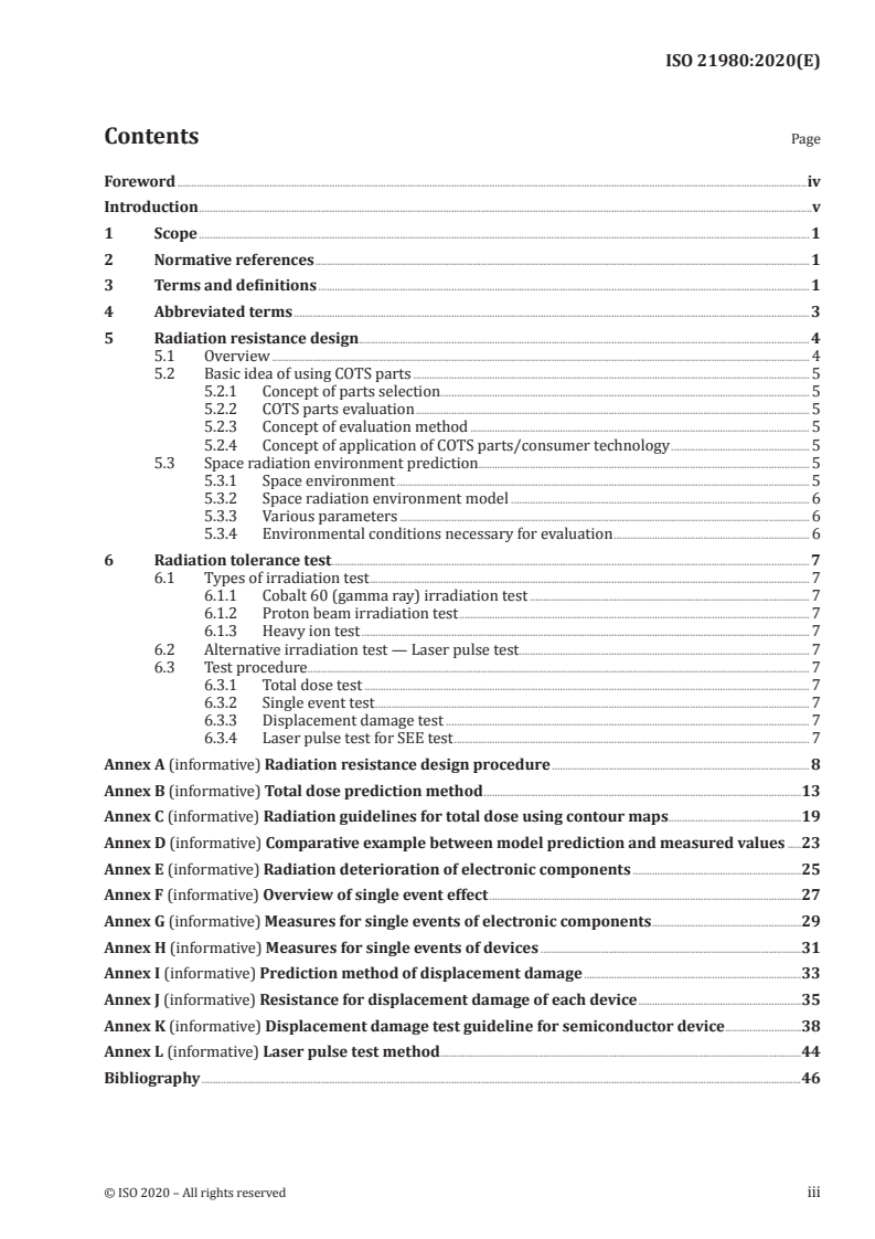
Contents Page
Foreword .iv
Introduction .v
1 Scope . 1
2 Normative references . 1
3 Terms and definitions . 1
4 Abbreviated terms . 3
5 Radiation resistance design . 4
5.1 Overview . 4
5.2 Basic idea of using COTS parts . 5
5.2.1 Concept of parts selection. 5
5.2.2 COTS parts evaluation . 5
5.2.3 Concept of evaluation method . 5
5.2.4 Concept of application of COTS parts/consumer technology . 5
5.3 Space radiation environment prediction. 5
5.3.1 Space environment . 5
5.3.2 Space radiation environment model . 6
5.3.3 Various parameters . 6
5.3.4 Environmental conditions necessary for evaluation . 6
6 Radiation tolerance test . 7
6.1 Types of irradiation test . 7
6.1.1 Cobalt 60 (gamma ray) irradiation test . 7
6.1.2 Proton beam irradiation test . 7
6.1.3 Heavy ion test . 7
6.2 Alternative irradiation test — Laser pulse test. 7
6.3 Test procedure . 7
6.3.1 Total dose test . 7
6.3.2 Single event test . 7
6.3.3 Displacement damage test . 7
6.3.4 Laser pulse test for SEE test . 7
Annex A (informative) Radiation resistance design procedure . 8
Annex B (informative) Total dose prediction method .13
Annex C (informative) Radiation guidelines for total dose using contour maps .19
Annex D (informative) Comparative example between model prediction and measured values .23
Annex E (informative) Radiation deterioration of electronic components .25
Annex F (informative) Overview of single event effect .27
Annex G (informative) Measures for single events of electronic components .29
Annex H (informative) Measures for single events of devices .31
Annex I (informative) Prediction method of displacement damage .33
Annex J (informative) Resistance for displacement damage of each device .35
Annex K (informative) Displacement damage test guideline for semiconductor device .38
Annex L (informative) Laser pulse test method .44
Bibliography .46
Foreword
ISO (the International Organization for Standardization) is a worldwide federation of national standards
bodies (ISO member bodies). The work of preparing International Standards is normally carried out
through ISO technical committees. Each member body interested in a subject for which a technical
committee has been established has the right to be represented on that committee. International
organizations, governmental and non-governmental, in liaison with ISO, also take part in the work.
ISO collaborates closely with the International Electrotechnical Commission (IEC) on all matters of
electrotechnical standardization.
The procedures used to develop this document and those intended for its further maintenance are
described in the ISO/IEC Directives, Part 1. In particular, the different approval criteria needed for the
different types of ISO documents should be noted. This document was drafted in accordance with the
editorial rules of the ISO/IEC Directives, Part 2 (see www .iso .org/ directives).
Attention is drawn to the possibility that some of the elements of this document may be the subject of
patent rights. ISO shall not be held responsible for identifying any or all such patent rights. Details of
any patent rights identified during the development of the document will be in the Introduction and/or
on the ISO list of patent declarations received (see www .iso .org/ patents).
Any trade name used in this document is information given for the convenience of users and does not
constitute an endorsement.
For an explanation of the voluntary nature of standards, the meaning of ISO specific terms and
expressions related to conformity assessment, as well as information about ISO's adherence to
the World Trade Organization (WTO) principles in the Technical Barriers to Trade (TBT), see
www .iso .org/ iso/ foreword .html.
This document was prepared by Technical Committee ISO/TC 20, Aircraft and space vehicles,
Subcommittee SC 14, Space systems and operations.
Any feedback or questions on this document should be directed to the user’s national standards body. A
complete listing of these bodies can be found at www .iso .org/ members .html.
iv © ISO 2020 – All rights reserved
Introduction
This document describes methods of evaluating the radiation effects on COTS (Commercial-Off-The-
Shelf) parts used in low Earth orbit (LEO) satellites. Many small (<180 kg) and nano/microsatellites
(1 kg to 50 kg) are launched to LEO altitudes where space radiation exists but is less than at higher
altitudes. As a result, the designers and manufacturers of such satellites are using COTS semiconductor
devices for their satellite components and boards. New industries taking advantage of nano/
microsatellite and CubeSat [1,33 kg × (1U-3U)] satellite capabilities now include IT ventures, mobile
phones, and internet industries along with universities and research institutions.
Satellite manufacturers who prioritize investment efficiency also aim to extend mission lifetimes (up
to three, five and ten years) longer than one-year missions that were common for educational and
technical demonstrations using nano/microsatellites.
Even with relatively lower space radiation conditions in LEO compared to higher orbits, a longer mission
life in LEO poses critical radiation environment constraints for COTS devices onboard small and nano/
microsatellites as well as CubeSats.
While there are methods of evaluating the radiation resistance of space parts, there are limited methods
for evaluating COTS parts used for LEO satellites and these are often based on legacy parts usage.
This document provides guidance for evaluating radiation tolerance of COTS parts that can help
increase confidence levels of longer-term mission lifetimes.
INTERNATIONAL STANDARD ISO 21980:2020(E)
Space systems — Evaluation of radiation effects on
Commercial-Off-The-Shelf (COTS) parts for use on low-orbit
satellite
1 Scope
This document outlines the evaluation methods for environmental tests that can be conducted on COTS
(Commercial-Off-The-Shelf) spacecraft parts intended for use on LEO satellites. The radiation effects
considered consist of total dosage, single event, and displacement damage. In addition, this document
describes tests that are useful for satellites operating in LEO.
2 Normative references
There are no normative references in this document.
3 Terms and definitions
For the purposes of this document, the following terms and definitions apply.
ISO and IEC maintain terminological databases for use in standardization at the following addresses:
— ISO Online browsing platform: available at https:// www .iso .org/ obp
— IEC Electropedia: available at http:// www .electropedia .org/
3.1
galactic cosmic rays
GCR
high-energy-charged particle fluxes (3.2) penetrating the heliosphere from local interstellar space
Note 1 to entry: Galactic cosmic rays are composed primarily of high-energy protons and atomic nuclei. Upon
impact with the Earth's atmosphere, cosmic rays can produce showers of secondary particles that sometimes
reach the Earth’s surface. There is evidence that a significant fraction of primary cosmic rays originate from
stellar supernova explosions and perhaps from active galactic nuclei.
[SOURCE: ISO 15390:2004, 2.1, modified — Note 1 to entry has been added.]
3.2
flux
number of particles passing through a specific unit area per unit time
[SOURCE: ISO 12208:2015, 2.3]
3.3
fluence
time-integrated flux (3.2)
Note 1 to entry: Fluence is measured as the flux per unit area per unit time. This is used to express the
environment during the operational lifetime of a spacecraft or space instrument. The integrated particles fluence
−2 −2 −1
unit is expressed as particles m . The energy integral fluence unit is expressed as particles m MeV . When the
−1
directional fluence is included, add per steradian ( sr ).
[SOURCE: ISO 12208:2015, 2.4, modified — Note 1 to entry has been added.]
3.4
absorbed dose
D
amount of energy imparted by ionizing radiation per unit mass of irradiated matter
Note 1 to entry: The quotient of dε by dm where dε the mean energy imparted by ionizing radiation to matter
of mass dm is
dε
D= .
dm
−1
Note 2 to entry: The special name of the unit for absorbed dose is the gray (Gy). 1 Gy = 1 J⋅kg .
[SOURCE: ISO 15856:2010, 3.1.1]
3.5
dose
idiomatic term which expresses the radiation dose and the absorbed energy
Note 1 to entry: Dose is used to express various meanings, such as the absorbed dose (3.4), exposure dose, etc.
3.6
total dose
total absorbed dose (3.4) received by components or materials to a specific point
3.7
single event effect
SEE
effect, such as malfunctions of circuit elements (software errors), or latch up, which are caused by the
effect of a single high energy particle
3.8
bremsstrahlung
photon radiation, continuously distributed in energy up to the energy of the incident particle radiation,
emitted from a material due to deceleration of incident particle radiation within the material, mainly
due to electrons
Note 1 to entry: Bremsstrahlung is any radiation produced due to the deceleration (negative acceleration) of a
charged particle, which includes synchrotron radiation (i.e. photon emission by a relativistic particle), cyclotron
radiation (i.e. photon emission by a non-relativistic particle), and the emission of electrons and positrons during
beta decay. The term is frequently used in the narrower sense of radiation from relativistic electrons (from
whatever source) slowing as they penetrate matter.
[SOURCE: ISO 15856: 2010, 3.1.3 — The alternative term "brake radiation" has been removed; Note 1 to
entry has been added.]
3.9
solar flare
explosion phenomenon which occurs on the surface of the sun, accompanied by the release of high
energy particles
3.10
spectrum
array of entities, such as light waves or particles, ordered in accordance with the magnitudes of a
common physical property, such as wavelength or mass
Note 1 to entry: In this document, the spectrum refers to the items that express the particle flux (3.2) density of
the radiation for each energy.
3.11
anneal
phenomenon in which the characteristics degraded by radiation recover due to heat
2 © ISO 2020 – All rights reserved
3.12
linear energy transfer
LET
energy delivered by a charged particle passing through a substance and locally absorbed per unit
length of path
−1 2 −1 2 −1
Note 1 to entry: It is measured in joules per metre. Other dimensions are keV・μ m , J・m・kg , MeV・cm・mg .
[SOURCE: ISO 15856:2010, 3.1.10]
3.13
dose rate
dose (3.5) per unit of time
3.14
heavy ion
ion particles with a large atomic number
Note 1 to entry: Heavy ion generally refers to particles of He or more.
3.15
non-ionizing energy loss
NIEL
damage not caused by ionization of the incidence particles
4 Abbreviated terms
CREME-MC cosmic ray effects on microelectronics MC
SEU single-event upset
SET single-event transient
SEL single-event latch up
SEB single-event burnout
SEGR single-event gate rupture
MCU multiple bit upset
TID total ionizing dose
HUP direct ionization-induced SEE rate calculation
PUP proton-induced SEE rate calculation
CCD charge coupled device
CMOS complementary metal oxide semiconductor
EOL end of life
SPENVIS space environment information system
HAST high acceleration stress test
RTS random telegraph signals
ADC analog-to-digital converter
DAC digital analog converter
NPN negative-positive-negative
FPGA field-programmable gate array
MOSFET metal-oxide-semiconductor field-effect transistor
MSM metal semiconductor metal
LED light emitting device
DC direct current
PN positive-negative
PIN P-intrinsic-N
FPL focused pulsed laser
SOA system operating area
ELDRS enhanced low dose rate sensitivity
EDAC error detection and correction
CTE charge transfer efficiency
CTR current transfer ration
TTL transistor transistor logic
IC integrated circuit
DD displacement damage
5 Radiation resistance design
5.1 Overview
Satellite designers and manufacturers can implement measures against TID, SEU, SEL, and displacement
damage as part of the radiation resistance design when using consumer parts on LEO satellites. See
Annex A for radiation tolerance design procedures.
Generally, TID for a satellite is calculated using the knowledge of total dose in a satellite’s orbit for a
year timed by the design lifetime in years. To mitigate TID effects, the radiation shielding thickness
is increased to a level such that the function and performance of the parts used are still acceptable.
Programs such as SHIELDOSE-2 are often used to estimate total dose in parts. For satellite designers
who cannot use the SHILDOSE-2 program, a contour map that easily estimates the total dose is shown
in Annex C.
To estimate SEU as well as SEL, programs such as HUP and PUP are often used. Generally, if one concludes
that there is no effect on reducing the occurrence frequency of SEU and SEL even after thickening the
shielding material, the measures prescribed in Annex G and Annex H can be taken.
Displacement damage refers to lattice defects that are generated in a semiconductor due to the collision
from energetic particles (heavy ions, alphas, protons, neutrons, or electrons) or high-energy photons.
Such damage is inevitable regardless of COTS parts/space parts, and even increasing the shield thickness
only has a limited effect. In lattice defects, a charge is captured and released, so the influence becomes
conspicuous in CCD, CMOS sensors, photocouplers, solar cells, and other optical components. Often the
4 © ISO 2020 – All rights reserved
magnitude of such lattice defect damage depends on the temperature and options may include lowering
the operating temperature during use or applying sensor signal processing. Conversely, the radiation
resistance design should also consider the state of deterioration (i.e., amount of deterioration) at the
satellite’s EOL. See Annex J.
5.2 Basic idea of using COTS parts
5.2.1 Concept of parts selection
In cases of failure regarding COTS parts, and unlike the parts for space, the user is responsible for failure
analysis. Generally, support from the parts manufacturers cannot be expected. It is therefore important
to select parts covered by failure analysis service or parts having a known internal structure.
With regard to radiation sensitivity that can depend on each manufactured lot of parts and, where
possible, identification management of lots should be carried out.
5.2.2 COTS parts evaluation
As part of the evaluation methods, when the payload is an important or critical one, certain standard
screening tests (e.g., temperature cycling, high-temperature burn-in test) can be conducted to assure
the ruggedness of the COTS devices.
In the case where a long-life mission is planned, such tests as the HAST and sample life test can be
conducted.
5.2.3 Concept of evaluation method
In addition to the task of evaluating each part separately, the merits of higher-level evaluation, such as
at the board or unit level, should also be considered.
5.2.4 Concept of application of COTS parts/consumer technology
Risk assessment is based on the identity of the part being evaluated, the environment in which it will
be used, and the criticality of the part used. Such an assessment usually helps to determine whether the
[6]
parts should be used. A reference for parts risk evaluation methodology is RNC - CNES - Q - 60 – 516 .
5.3 Space radiation environment prediction
5.3.1 Space environment
The natural space radiation environment can be classified into two populations:
1) transient particles that include protons along with heavier ions of all elements of the periodic table
as well as atmospheric albedo (back scattered) neutrons; and
2) trapped particles that include protons, electrons, and heavier ions.
The transient radiation consists of GCR particles and particles from solar events (e.g., coronal mass
ejections, solar flares, and interplanetary medium acceleration shocks). The solar-related events
periodically produce energetic protons, alpha particles, heavy ions, and electrons. Table 1 lists the
orders of magnitude of the maximum energy of the radiation particles.
Table 1 — Maximum energies of particles
Particle type Maximum energy
Trapped electrons 10s of MeV
Trapped protons &heavier ions 100s of MeV
Table 1 (continued)
Particle type Maximum energy
Solar protons 100s of MeV
Solar heavy ions GeV
Galactic cosmic rays TeV
5.3.2 Space radiation environment model
Space environment models that can be used for environmental specification include:
[7] [8]
— trapped electrons: AE-8 , AE-9 ;
[9] [8]
— trapped protons: AP-8 , AP-9 ;
[10]
— solar protons: JPL-91 ;
[11]
— galactic cosmic rays: CREME -MC , ISO 15390:2004;
— geomagnetic vertical cut-off model: ISO 17520:2016;
[12]
— ionizing dose model: SHIELDOSE-2 ;
[11]
— single event effects (SEE): HUP and PUP .
All models contain uncertainty and a good practice for evaluating a design is to add a margin in one of
the following ways:
(a) add a margin to the model input parameters (shielding thickness, lifetime in environment, etc.) and
conduct design evaluation;
(b) first, design and evaluate a part's use with a model using no margin then add the margin (including
uncertainty other than in the model) to the obtained result.
5.3.3 Various parameters
Various model input parameters such as orbital conditions, mission period, solar activity cycle, and
Earth’s magnetic shield should be properly selected.
5.3.4 Environmental conditions necessary for evaluation
The following environmental conditions are necessary for evaluation:
— dose-depth curve;
— integrated energy spectrum of trapped electrons, trapped protons, and solar-related protons;
— LET spectrum of galactic cosmic rays.
Using these calculation results, conduct the radiation evaluation tests specified in Clause 6.
6 © ISO 2020 – All rights reserved
6 Radiation tolerance test
6.1 Types of irradiation test
6.1.1 Cobalt 60 (gamma ray) irradiation test
Cobalt 60 generates high energy gamma rays at 1,17 and 1,33 MeV and such a source decays at a rate
of 1 % per month (half-life is 5,3 years). This test is suitable for total dose testing and cannot test
single events.
6.1.2 Proton beam irradiation test
The proton irradiation test for silicon requires a cyclotron accelerator which can accelerate protons to
at least 50 MeV. In this test, it is possible to simultaneously test the total dose and single event incidents,
including the evaluation of displacement damage. Tests with LET of 25 MeV-cm /mg or more are also
possible using secondary (metal) heavy ions generated by collisions between protons and metal atoms
within the semiconductor.
6.1.3 Heavy ion test
For the heavy ion test, an accelerator should be used, or alternatively a radioisotope (such as
Californium 256) should be used. The heavy ion test using an accelerator is very expensive. It is a
difficult test to conduct, so it is excluded except when it is judged essential in 5.2.4. The method that uses
spontaneous fission of radioisotopes (such as Californium 256) can irradiate a target with heavy ions.
6.2 Alternative irradiation test — Laser pulse test
Pulsed picosecond lasers can be evaluated for SEU in a number of different circuits, as can such devices
as SRAM, DRAM, logic circuit, and an analog/digital converter.
6.3 Test procedure
6.3.1 Total dose test
The total dose test is conducted to evaluate the amount of deterioration accumulated during the mission
[13] [14]
due to radiation effects. Refer to MIL-STD-883 TM1019 and ESCC 22900 for details on how to
conduct the total dose test.
6.3.2 Single event test
The single event test is conducted to evaluate the effects of energetic particles such as galactic cosmic rays
[15] [16] [17]
and trapped protons. Refer to MIL-STD-883 TM1020 /1021 and ESCC 25100 for the test method.
6.3.3 Displacement damage test
This test is conducted to evaluate the displacement damage caused by particles of protons and ions
entering the semiconductor. See Annex K for the displacement damage test method.
6.3.4 Laser pulse test for SEE test
An evaluation equivalent to that of radiation irradiation can be conducted by using a laser pulse. See
Annex L for the laser pulse test method.
Annex A
(informative)
Radiation resistance design procedure
A.1 Total dose
A.1.1 Energy spectrum of electrons & protons
The radiation environment (total dose amount) received by the satellite is calculated by the radiation
environment model, taking into account the operational conditions during orbit (e.g., launch date,
six trajectory elements, mission period).
A.1.2 Calculation of the total dose received by parts
Calculate the shield thickness of the satellite as well as the shield thickness of each device. Calculate
the total dose received by the parts used in the equipment. (The shield is generally made of different
materials, but in order to simplify the evaluation, the value converted to the equivalent shield thickness
of aluminum is used.)
A.1.3 Consideration of shield thickness
When it is difficult to secure the total dose resistance of the parts used, mounting of parts, mass of
equipment etc., consider partial shielding or increase the shield thickness of the equipment housing. In
this way, change to a shield that ensures the total dose tolerance of the parts.
Annex B describes the total dose prediction method in detail. And Annex B also gives the radiation
guidelines for total dose using contour maps. Note that the total predicted values based on Annex B tend
to be overestimated. Annex D describes a comparative example between model prediction including
measured values. Annex E describes the radiation deterioration of electronic components. The design
flow for total dose is shown in Figure A.1.
A.2 Single event upset, single event latch-up
A.2.1 Proton energy spectrum
The radiation environment (heavy ions and proton fluence) received by the satellite is calculated by
using the radiation environment model, taking into consideration the operational conditions in orbit
(e.g., launch date, six trajectory elements, mission period).
However, heavy ions need not be considered for the evaluation of parts other than those used in
important equipment.
A.2.2 Calculation of SEE
Confirm the radiation tolerance data for the selected parts (or conduct an irradiation test if there is no
data). Calculate SEE incidence in orbit from the data, heavy ions, and proton spectrum. Perform critical
analysis of the equipment.
A.2.3 Measures for SEU and SEL
If SEU and SEL resistance is not acceptable in the system, reselect the parts or take countermeasures.
8 © ISO 2020 – All rights reserved
Consider countermeasures to avoid failure by SEU at the component level, circuit level, or equipment
level. The design flow for a single event is shown in Figure A.2.
Annex F gives an overview of the single event effect.
Annex G describes the measures for single events of electronic components.
Annex H describes the measures for single events of devices.
A.3 Displacement damage
A.3.1 Fluence of protons
In consideration of the operational conditions in orbit (e.g., launch date, six trajectory elements, mission
period), use the radiation environment model to calculate the radiation environment (proton fluence)
received by the satellite.
A.3.2 Calculation of displacement damage
Confirm the radiation tolerance data for the selected parts (or conduct a proton irradiation test when
there is no data), calculate displacement damage in orbit from the data together with the proton
spectrum, and then predict possible degradation.
A.3.3 Measures for displacement damage
If the value of degradation in the system is not acceptable, reselect the parts or take countermeasures
for the equipment. The deterioration prediction method by displacement damage to devices in orbit is
shown in Figure A.3.
Annex I describes the prediction method of displacement damage.
Annex J describes the resistance to displacement damage of each device.
a
Include the reliability level for solar flares.
Figure A.1 — Design flow for total dose
10 © ISO 2020 – All rights reserved
Figure A.2 — Design flow for single events
Figure A.3 — Deterioration prediction method by displacement damage to devices in orbit
12 © ISO 2020 – All rights reserved
Annex B
(informative)
Total dose prediction method
B.1 Overview
The types of radiation to be considered for predicting the total dose are trapped electrons, trapped
protons, and solar protons. When these types of radiation penetrate materials, the radiation loses energy
due to its interaction with, and absorption by the materials. In the case of electrons, bremsstrahlung
will be generated due to their interaction with the materials. And since bremsstrahlung has a longer
range than electrons, it can become dominant when a thicker shield is used.
Figure B.1 shows the total dose calculated for parallel incidence radiation. Accordingly, this is
equivalent to the spherical shell model as indicated in B.3.2 when a shield of equal thickness is used for
the isotropic radiation incidence from all directions.
The radiation absorbed dose and amount of bremsstrahlung generated differs according to the types
of materials used for the shielding and target components. However, the total dose is calculated by
using aluminum as the shielding material, and thus converting the density into an equivalent aluminum
thickness for shielding materials of other aluminum components is sufficient. The total dose calculation
results are generally provided by the relationship between the shield thickness (depth) and the
absorbed dose (i.e., dose-depth curve). Figure B.2 shows an example of a dose-depth curve.
B.2 Total dose prediction model
B.2.1 General
The following two methods can be considered as the prediction models used to calculate the actual
radiation dose received by the components.
Key
ϕ (E) incidence radiation fluence (particles per square centimetre)
Z depth (g/cm )
T target components
Figure B.1 — Total dose calculation model
14 © ISO 2020 – All rights reserved
Key
T total
E electrons
P protons
S solar protons
B bremsstrahlung
X shield depth Z(g/cm )
Y dose [Gy(Al)]
Figure B.2 — Dose-depth curve (example)
B.2.2 Simplified method
The purpose of this prediction model is to acquire the relationship between the shield thickness and the
total dose (i.e., dose-depth curve) assuming that the material and configuration of complex shielding is
a simple shape, such as a spherical shell or a plate. Moreover, its purpose is also to acquire the total dose
directly, calculated by using the shield thickness and surface density.
B.2.3 Three-dimensional model
The purpose of this prediction model is to acquire the distribution of the shielding thickness in each
direction as viewed from the target (i.e., calculation point of the total dose), and acquire the total dose
using this calculated value.
B.3 Simplified method
B.3.1 General
When calculating the dose-depth curve, three types of shielding material configurations (i.e., spherical
shell model, semi-infinite plate model, finite plate model) will be used, in connection with use of the
[12]
shielding effect calculation code for space (SHIELDOSE-II) . Figure B.3 shows the three simple
geometries considered by SHIELDOSE-II.
B.3.2 Spherical shell model
This model assumes that the model is covered with a shielding material of equal thickness for
the isotropic radiation incidence. This model is the most basic model for performing the shielding
calculation, and is acquired by the calculation method indicated in B.2.2. However, as the actual
shielding configuration is close to a plate in many cases, the radiation dose calculated using this model
may result in a larger value.
This model is used for the shielding calculations for shielding configurations similar to a spherical shell
or semi-spherical shell, with basic data for the semi-infinite plate model and three-dimensional model
indicated in the following diagram.
B.3.3 Semi-infinite plate model
This model assumes that the model is covered with a shielding material of an infinite width with a
uniform thickness, having an infinite plane surface shielding material and a shielding material of
infinite thickness in the opposite direction.
B.3.4 Finite plate model
This model assumes that the model is covered with a shielding material of a finite thickness, having
a semi-infinite plane surface shielding material and a shielding material of a finite thickness in the
opposite direction (i.e., radiation incidence from one surface of the plate).
In the actually mounted devices, there are many cases where one direction of the shielding has a
sufficiently large thickness compared to the other directions as viewed from the component’s position.
There are also many cases where the configuration of the shielding material is a plate or similar to a
plate. Therefore, the semi-infinite plate model is effective when calculating the radiation absorbed dose
using a simplified method.
16 © ISO 2020 – All rights reserved
(1) Spherical shell model
(2) Semi-infinite plate model
(3) Finite plate model
Key
A aluminum
D detector
Z depth (g/cm )
I incident protons and electrons
NOTE These figures are typically presented in order to easily understand the models, with the back diffusion
scattering taken into consideration in the actual calculation.
Figure B.3 — Model configurations
B.4 Three-dimensional model
This model is used for calculating the total dose of the components and materials more accurately.
The spherical shell model and semi-infinite plate model are simple. However, the total dose of the
components and materials used in spacecraft changes according to the conditions of the surroundings,
such as the mounting position, etc., and the actual shielding configuration is complex and may not
necessarily work in conjunction with those conditions. Therefore, in order to calculate the total dose
more accurately, it is necessary to acquire the mass distribution for each direction with the target as
the center. This model converts the mass distribution into the shield thickness of standard materials,
calculates the absorbed dose in each direction using the dose-depth curve of the spherical shell model,
and then integrates the values for all solid angles. The formulae are as follows:
π
2 2π
DD= ()t ()θϕ, cosdθϕdθ (B.1)
T ∫∫π 0
4π
−
where
D is the absorbed dose of the target;
T
D is the absorbed dose of the spherical shell model when assuming the shield thickness is x;
(x)
t(θ, φ) is the shield thickness of the (θ, φ) direction;
θ is the longitude direction;
φ is the latitude direction.
A conceptual diagram of the mass distribution in spacecrafts is indicated in Figure B.4.
Key
S satellite
T target
M mounted device
X, Y, Z axes
λ incident protons and electrons
Figure B.4 — Mass distribution in spacecrafts
18 © ISO 2020 – All rights reserved
Annex C
(informative)
Radiation guidelines for total dose using contour maps
Figures C.1 to C.6 depict the total dose contour maps with circular orbital altitude (km) and orbital
inclination (degree) in the solar maximum and minimum for a one-year mission using the AE-8/AP-8
[7][9] [12]
NASA radiation belt models and SHIELDOSE-2 dose calculation tool in solar maximum and
minimum (at 2 mm to 4 mm Al thickness).
Key
X inclination (degree)
Y altitude (km)
Z dose (Gy)
Figure C.1 — Total dose contour map at 2 mm Al thickness (Solar minimum)
Key
X inclination (degree)
Y altitude (km)
Z dose (Gy)
Figure C.2 — Total dose contour map at 3 mm Al thickness (solar minimum)
Key
X inclination (degree)
Y altitude (km)
Z dose (Gy)
Figure C.3 — Total dose contour map at 4 mm Al thickness (Solar minimum)
20 © ISO 2020 – All rights reserved
Key
X inclination (degree)
Y altitude (km)
Z dose (Gy)
Figure C.4 — Total dose contour map at 2 mm Al thickness (Solar maximum)
Key
X inclination (degree)
Y altitude (km)
Z dose (Gy)
Figure C.5 — Total dose contour map at 3 mm Al thickness (Solar maximum)
Key
X inclination (degree)
Y altitude (km)
Z dose (Gy)
Figure C.6 — Total dose contour map at 4 mm Al thickness (Solar maximum)
22 © ISO 2020 – All rights reserved
Annex D
(informative)
Comparative example between model prediction and measured
values
The overestimation of total dose calculation at 2 mm to 4 mm Al (aluminum) thickness was found using
the total dose measurement data from a “Tsukuba” (MDS-1) satellite launched in February 2002, flying
[13]
in a highly eccentric orbit, that is, a Geostationary Transfer Orbit (GTO) in 2002-2003 . The total dose
is measured by the small dosimeter using 56 RADFETs mounted in several experimental modules in
the satellites. Eight RADFETs are installed in the center of each of the four hemispherical aluminum
shield domes (DOS-S) with Al (aluminum) thicknesses of 0,7 mm, 3 mm, 6 mm, and 10 mm. The RADFET
sensor cover has Al thickness of 1 mm, and the total Al thicknesses are 1,7 mm, 4 mm, 7 mm, and 11 mm,
respectively. The results were compared with calculation data using SHIELDOSE-2 based on the space
radiation models (NASA AE8 and AP8: standard trapped radiation belt models), and solar proton JPL-
[5]
1991 model (at a confidence level of 75 %) .
The model calculation is considered to overestimate the total dose in shields of 1,7 mm-4 mm thickness
after 100 to 200 days @ GTO (roughly equivalent to the total dose after 5 to 10 years @ 700-km LEO).
This result might reflect the expanded use of COTS (although flight data for shields thicker than 7 mm
show a greater total dose than the model calculation). Figure D.1 shows the total dose data versus
aluminum shield thickness, which is a dose-depth curve, of the flight data and model calculation.
Key
X thickness (Al) (mm)
Y total dose [Gy(Si)]
D1 430 days (Observed value by MDS-1 satellite)
D2 200 days (Observed value by MDS-1 satellite)
D3 100 days (Observed value by MDS-1 satellite)
M1 430 days (SHIELDOSE-2 model calculation)
M2 200 days (SHIELDOSE-2 model calculation)
M3 100 days (SHIELDOSE-2 model calculation)
Figure D.1 — Dose-depth curve from the flight data and SHIELDOSE-2 model calculation
24 © ISO 2020 – All rights reserved
Annex E
(informative)
Radiation deterioration of electronic components
E.1 Semiconductor electronic components — Outline of radiation deterioration
When there is constant radiation, the effect of a positive charge remains in the insulating layers such
as SiO , and the occurrence of interface state density on the insulating layer and interface of the silicon
crystals are the main issues with silicon semiconductors. These issues are expressed by a decrease
in the current amplification factor and an increase in leakage current for bipolar transistors. In ICs,
the circuit characteristics indicate a remarkable fluctuation due to variations of these parameters.
Table E.1 lists the main variable parameters and tendencies of various semiconductor devices for the
total dose. The parameters with the largest effect are as follows:
a) Bipolar transistors
Deterioration in current amplification factor h is most remarkable in the low current range.
FE
Recently, ELDRS of linear bipolar components has been discovered in ground radiation tests, and
with dose rates of 50 rad/s or less, the deterioration of the gain was larger in some linear bipolar
components on which radiation tests were performed at low dose rates.
b) TTL
The output voltage (V ) and propagation delay time (t ) increase remarkably due to the decrease
OL PHL
in current amplification factor h .
FE
c) CMOS
Input levels V and V fluctuate, output driving capabilities I and I de
...
INTERNATIONAL ISO
STANDARD 21980
First edition
2020-01
Space systems — Evaluation of
radiation effects on Commercial-Off-
The-Shelf (COTS) parts for use on low-
orbit satellite
Systèmes spatiaux — Évaluation des effets des radiations sur les
parties commerciales sur étagère (COTS) destinées aux satellites à
orbite basse
Reference number
©
ISO 2020
© ISO 2020
All rights reserved. Unless otherwise specified, or required in the context of its implementation, no part of this publication may
be reproduced or utilized otherwise in any form or by any means, electronic or mechanical, including photocopying, or posting
on the internet or an intranet, without prior written permission. Permission can be requested from either ISO at the address
below or ISO’s member body in the country of the requester.
ISO copyright office
CP 401 • Ch. de Blandonnet 8
CH-1214 Vernier, Geneva
Phone: +41 22 749 01 11
Fax: +41 22 749 09 47
Email: copyright@iso.org
Website: www.iso.org
Published in Switzerland
ii © ISO 2020 – All rights reserved
Contents Page
Foreword .iv
Introduction .v
1 Scope . 1
2 Normative references . 1
3 Terms and definitions . 1
4 Abbreviated terms . 3
5 Radiation resistance design . 4
5.1 Overview . 4
5.2 Basic idea of using COTS parts . 5
5.2.1 Concept of parts selection. 5
5.2.2 COTS parts evaluation . 5
5.2.3 Concept of evaluation method . 5
5.2.4 Concept of application of COTS parts/consumer technology . 5
5.3 Space radiation environment prediction. 5
5.3.1 Space environment . 5
5.3.2 Space radiation environment model . 6
5.3.3 Various parameters . 6
5.3.4 Environmental conditions necessary for evaluation . 6
6 Radiation tolerance test . 7
6.1 Types of irradiation test . 7
6.1.1 Cobalt 60 (gamma ray) irradiation test . 7
6.1.2 Proton beam irradiation test . 7
6.1.3 Heavy ion test . 7
6.2 Alternative irradiation test — Laser pulse test. 7
6.3 Test procedure . 7
6.3.1 Total dose test . 7
6.3.2 Single event test . 7
6.3.3 Displacement damage test . 7
6.3.4 Laser pulse test for SEE test . 7
Annex A (informative) Radiation resistance design procedure . 8
Annex B (informative) Total dose prediction method .13
Annex C (informative) Radiation guidelines for total dose using contour maps .19
Annex D (informative) Comparative example between model prediction and measured values .23
Annex E (informative) Radiation deterioration of electronic components .25
Annex F (informative) Overview of single event effect .27
Annex G (informative) Measures for single events of electronic components .29
Annex H (informative) Measures for single events of devices .31
Annex I (informative) Prediction method of displacement damage .33
Annex J (informative) Resistance for displacement damage of each device .35
Annex K (informative) Displacement damage test guideline for semiconductor device .38
Annex L (informative) Laser pulse test method .44
Bibliography .46
Foreword
ISO (the International Organization for Standardization) is a worldwide federation of national standards
bodies (ISO member bodies). The work of preparing International Standards is normally carried out
through ISO technical committees. Each member body interested in a subject for which a technical
committee has been established has the right to be represented on that committee. International
organizations, governmental and non-governmental, in liaison with ISO, also take part in the work.
ISO collaborates closely with the International Electrotechnical Commission (IEC) on all matters of
electrotechnical standardization.
The procedures used to develop this document and those intended for its further maintenance are
described in the ISO/IEC Directives, Part 1. In particular, the different approval criteria needed for the
different types of ISO documents should be noted. This document was drafted in accordance with the
editorial rules of the ISO/IEC Directives, Part 2 (see www .iso .org/ directives).
Attention is drawn to the possibility that some of the elements of this document may be the subject of
patent rights. ISO shall not be held responsible for identifying any or all such patent rights. Details of
any patent rights identified during the development of the document will be in the Introduction and/or
on the ISO list of patent declarations received (see www .iso .org/ patents).
Any trade name used in this document is information given for the convenience of users and does not
constitute an endorsement.
For an explanation of the voluntary nature of standards, the meaning of ISO specific terms and
expressions related to conformity assessment, as well as information about ISO's adherence to
the World Trade Organization (WTO) principles in the Technical Barriers to Trade (TBT), see
www .iso .org/ iso/ foreword .html.
This document was prepared by Technical Committee ISO/TC 20, Aircraft and space vehicles,
Subcommittee SC 14, Space systems and operations.
Any feedback or questions on this document should be directed to the user’s national standards body. A
complete listing of these bodies can be found at www .iso .org/ members .html.
iv © ISO 2020 – All rights reserved
Introduction
This document describes methods of evaluating the radiation effects on COTS (Commercial-Off-The-
Shelf) parts used in low Earth orbit (LEO) satellites. Many small (<180 kg) and nano/microsatellites
(1 kg to 50 kg) are launched to LEO altitudes where space radiation exists but is less than at higher
altitudes. As a result, the designers and manufacturers of such satellites are using COTS semiconductor
devices for their satellite components and boards. New industries taking advantage of nano/
microsatellite and CubeSat [1,33 kg × (1U-3U)] satellite capabilities now include IT ventures, mobile
phones, and internet industries along with universities and research institutions.
Satellite manufacturers who prioritize investment efficiency also aim to extend mission lifetimes (up
to three, five and ten years) longer than one-year missions that were common for educational and
technical demonstrations using nano/microsatellites.
Even with relatively lower space radiation conditions in LEO compared to higher orbits, a longer mission
life in LEO poses critical radiation environment constraints for COTS devices onboard small and nano/
microsatellites as well as CubeSats.
While there are methods of evaluating the radiation resistance of space parts, there are limited methods
for evaluating COTS parts used for LEO satellites and these are often based on legacy parts usage.
This document provides guidance for evaluating radiation tolerance of COTS parts that can help
increase confidence levels of longer-term mission lifetimes.
INTERNATIONAL STANDARD ISO 21980:2020(E)
Space systems — Evaluation of radiation effects on
Commercial-Off-The-Shelf (COTS) parts for use on low-orbit
satellite
1 Scope
This document outlines the evaluation methods for environmental tests that can be conducted on COTS
(Commercial-Off-The-Shelf) spacecraft parts intended for use on LEO satellites. The radiation effects
considered consist of total dosage, single event, and displacement damage. In addition, this document
describes tests that are useful for satellites operating in LEO.
2 Normative references
There are no normative references in this document.
3 Terms and definitions
For the purposes of this document, the following terms and definitions apply.
ISO and IEC maintain terminological databases for use in standardization at the following addresses:
— ISO Online browsing platform: available at https:// www .iso .org/ obp
— IEC Electropedia: available at http:// www .electropedia .org/
3.1
galactic cosmic rays
GCR
high-energy-charged particle fluxes (3.2) penetrating the heliosphere from local interstellar space
Note 1 to entry: Galactic cosmic rays are composed primarily of high-energy protons and atomic nuclei. Upon
impact with the Earth's atmosphere, cosmic rays can produce showers of secondary particles that sometimes
reach the Earth’s surface. There is evidence that a significant fraction of primary cosmic rays originate from
stellar supernova explosions and perhaps from active galactic nuclei.
[SOURCE: ISO 15390:2004, 2.1, modified — Note 1 to entry has been added.]
3.2
flux
number of particles passing through a specific unit area per unit time
[SOURCE: ISO 12208:2015, 2.3]
3.3
fluence
time-integrated flux (3.2)
Note 1 to entry: Fluence is measured as the flux per unit area per unit time. This is used to express the
environment during the operational lifetime of a spacecraft or space instrument. The integrated particles fluence
−2 −2 −1
unit is expressed as particles m . The energy integral fluence unit is expressed as particles m MeV . When the
−1
directional fluence is included, add per steradian ( sr ).
[SOURCE: ISO 12208:2015, 2.4, modified — Note 1 to entry has been added.]
3.4
absorbed dose
D
amount of energy imparted by ionizing radiation per unit mass of irradiated matter
Note 1 to entry: The quotient of dε by dm where dε the mean energy imparted by ionizing radiation to matter
of mass dm is
dε
D= .
dm
−1
Note 2 to entry: The special name of the unit for absorbed dose is the gray (Gy). 1 Gy = 1 J⋅kg .
[SOURCE: ISO 15856:2010, 3.1.1]
3.5
dose
idiomatic term which expresses the radiation dose and the absorbed energy
Note 1 to entry: Dose is used to express various meanings, such as the absorbed dose (3.4), exposure dose, etc.
3.6
total dose
total absorbed dose (3.4) received by components or materials to a specific point
3.7
single event effect
SEE
effect, such as malfunctions of circuit elements (software errors), or latch up, which are caused by the
effect of a single high energy particle
3.8
bremsstrahlung
photon radiation, continuously distributed in energy up to the energy of the incident particle radiation,
emitted from a material due to deceleration of incident particle radiation within the material, mainly
due to electrons
Note 1 to entry: Bremsstrahlung is any radiation produced due to the deceleration (negative acceleration) of a
charged particle, which includes synchrotron radiation (i.e. photon emission by a relativistic particle), cyclotron
radiation (i.e. photon emission by a non-relativistic particle), and the emission of electrons and positrons during
beta decay. The term is frequently used in the narrower sense of radiation from relativistic electrons (from
whatever source) slowing as they penetrate matter.
[SOURCE: ISO 15856: 2010, 3.1.3 — The alternative term "brake radiation" has been removed; Note 1 to
entry has been added.]
3.9
solar flare
explosion phenomenon which occurs on the surface of the sun, accompanied by the release of high
energy particles
3.10
spectrum
array of entities, such as light waves or particles, ordered in accordance with the magnitudes of a
common physical property, such as wavelength or mass
Note 1 to entry: In this document, the spectrum refers to the items that express the particle flux (3.2) density of
the radiation for each energy.
3.11
anneal
phenomenon in which the characteristics degraded by radiation recover due to heat
2 © ISO 2020 – All rights reserved
3.12
linear energy transfer
LET
energy delivered by a charged particle passing through a substance and locally absorbed per unit
length of path
−1 2 −1 2 −1
Note 1 to entry: It is measured in joules per metre. Other dimensions are keV・μ m , J・m・kg , MeV・cm・mg .
[SOURCE: ISO 15856:2010, 3.1.10]
3.13
dose rate
dose (3.5) per unit of time
3.14
heavy ion
ion particles with a large atomic number
Note 1 to entry: Heavy ion generally refers to particles of He or more.
3.15
non-ionizing energy loss
NIEL
damage not caused by ionization of the incidence particles
4 Abbreviated terms
CREME-MC cosmic ray effects on microelectronics MC
SEU single-event upset
SET single-event transient
SEL single-event latch up
SEB single-event burnout
SEGR single-event gate rupture
MCU multiple bit upset
TID total ionizing dose
HUP direct ionization-induced SEE rate calculation
PUP proton-induced SEE rate calculation
CCD charge coupled device
CMOS complementary metal oxide semiconductor
EOL end of life
SPENVIS space environment information system
HAST high acceleration stress test
RTS random telegraph signals
ADC analog-to-digital converter
DAC digital analog converter
NPN negative-positive-negative
FPGA field-programmable gate array
MOSFET metal-oxide-semiconductor field-effect transistor
MSM metal semiconductor metal
LED light emitting device
DC direct current
PN positive-negative
PIN P-intrinsic-N
FPL focused pulsed laser
SOA system operating area
ELDRS enhanced low dose rate sensitivity
EDAC error detection and correction
CTE charge transfer efficiency
CTR current transfer ration
TTL transistor transistor logic
IC integrated circuit
DD displacement damage
5 Radiation resistance design
5.1 Overview
Satellite designers and manufacturers can implement measures against TID, SEU, SEL, and displacement
damage as part of the radiation resistance design when using consumer parts on LEO satellites. See
Annex A for radiation tolerance design procedures.
Generally, TID for a satellite is calculated using the knowledge of total dose in a satellite’s orbit for a
year timed by the design lifetime in years. To mitigate TID effects, the radiation shielding thickness
is increased to a level such that the function and performance of the parts used are still acceptable.
Programs such as SHIELDOSE-2 are often used to estimate total dose in parts. For satellite designers
who cannot use the SHILDOSE-2 program, a contour map that easily estimates the total dose is shown
in Annex C.
To estimate SEU as well as SEL, programs such as HUP and PUP are often used. Generally, if one concludes
that there is no effect on reducing the occurrence frequency of SEU and SEL even after thickening the
shielding material, the measures prescribed in Annex G and Annex H can be taken.
Displacement damage refers to lattice defects that are generated in a semiconductor due to the collision
from energetic particles (heavy ions, alphas, protons, neutrons, or electrons) or high-energy photons.
Such damage is inevitable regardless of COTS parts/space parts, and even increasing the shield thickness
only has a limited effect. In lattice defects, a charge is captured and released, so the influence becomes
conspicuous in CCD, CMOS sensors, photocouplers, solar cells, and other optical components. Often the
4 © ISO 2020 – All rights reserved
magnitude of such lattice defect damage depends on the temperature and options may include lowering
the operating temperature during use or applying sensor signal processing. Conversely, the radiation
resistance design should also consider the state of deterioration (i.e., amount of deterioration) at the
satellite’s EOL. See Annex J.
5.2 Basic idea of using COTS parts
5.2.1 Concept of parts selection
In cases of failure regarding COTS parts, and unlike the parts for space, the user is responsible for failure
analysis. Generally, support from the parts manufacturers cannot be expected. It is therefore important
to select parts covered by failure analysis service or parts having a known internal structure.
With regard to radiation sensitivity that can depend on each manufactured lot of parts and, where
possible, identification management of lots should be carried out.
5.2.2 COTS parts evaluation
As part of the evaluation methods, when the payload is an important or critical one, certain standard
screening tests (e.g., temperature cycling, high-temperature burn-in test) can be conducted to assure
the ruggedness of the COTS devices.
In the case where a long-life mission is planned, such tests as the HAST and sample life test can be
conducted.
5.2.3 Concept of evaluation method
In addition to the task of evaluating each part separately, the merits of higher-level evaluation, such as
at the board or unit level, should also be considered.
5.2.4 Concept of application of COTS parts/consumer technology
Risk assessment is based on the identity of the part being evaluated, the environment in which it will
be used, and the criticality of the part used. Such an assessment usually helps to determine whether the
[6]
parts should be used. A reference for parts risk evaluation methodology is RNC - CNES - Q - 60 – 516 .
5.3 Space radiation environment prediction
5.3.1 Space environment
The natural space radiation environment can be classified into two populations:
1) transient particles that include protons along with heavier ions of all elements of the periodic table
as well as atmospheric albedo (back scattered) neutrons; and
2) trapped particles that include protons, electrons, and heavier ions.
The transient radiation consists of GCR particles and particles from solar events (e.g., coronal mass
ejections, solar flares, and interplanetary medium acceleration shocks). The solar-related events
periodically produce energetic protons, alpha particles, heavy ions, and electrons. Table 1 lists the
orders of magnitude of the maximum energy of the radiation particles.
Table 1 — Maximum energies of particles
Particle type Maximum energy
Trapped electrons 10s of MeV
Trapped protons &heavier ions 100s of MeV
Table 1 (continued)
Particle type Maximum energy
Solar protons 100s of MeV
Solar heavy ions GeV
Galactic cosmic rays TeV
5.3.2 Space radiation environment model
Space environment models that can be used for environmental specification include:
[7] [8]
— trapped electrons: AE-8 , AE-9 ;
[9] [8]
— trapped protons: AP-8 , AP-9 ;
[10]
— solar protons: JPL-91 ;
[11]
— galactic cosmic rays: CREME -MC , ISO 15390:2004;
— geomagnetic vertical cut-off model: ISO 17520:2016;
[12]
— ionizing dose model: SHIELDOSE-2 ;
[11]
— single event effects (SEE): HUP and PUP .
All models contain uncertainty and a good practice for evaluating a design is to add a margin in one of
the following ways:
(a) add a margin to the model input parameters (shielding thickness, lifetime in environment, etc.) and
conduct design evaluation;
(b) first, design and evaluate a part's use with a model using no margin then add the margin (including
uncertainty other than in the model) to the obtained result.
5.3.3 Various parameters
Various model input parameters such as orbital conditions, mission period, solar activity cycle, and
Earth’s magnetic shield should be properly selected.
5.3.4 Environmental conditions necessary for evaluation
The following environmental conditions are necessary for evaluation:
— dose-depth curve;
— integrated energy spectrum of trapped electrons, trapped protons, and solar-related protons;
— LET spectrum of galactic cosmic rays.
Using these calculation results, conduct the radiation evaluation tests specified in Clause 6.
6 © ISO 2020 – All rights reserved
6 Radiation tolerance test
6.1 Types of irradiation test
6.1.1 Cobalt 60 (gamma ray) irradiation test
Cobalt 60 generates high energy gamma rays at 1,17 and 1,33 MeV and such a source decays at a rate
of 1 % per month (half-life is 5,3 years). This test is suitable for total dose testing and cannot test
single events.
6.1.2 Proton beam irradiation test
The proton irradiation test for silicon requires a cyclotron accelerator which can accelerate protons to
at least 50 MeV. In this test, it is possible to simultaneously test the total dose and single event incidents,
including the evaluation of displacement damage. Tests with LET of 25 MeV-cm /mg or more are also
possible using secondary (metal) heavy ions generated by collisions between protons and metal atoms
within the semiconductor.
6.1.3 Heavy ion test
For the heavy ion test, an accelerator should be used, or alternatively a radioisotope (such as
Californium 256) should be used. The heavy ion test using an accelerator is very expensive. It is a
difficult test to conduct, so it is excluded except when it is judged essential in 5.2.4. The method that uses
spontaneous fission of radioisotopes (such as Californium 256) can irradiate a target with heavy ions.
6.2 Alternative irradiation test — Laser pulse test
Pulsed picosecond lasers can be evaluated for SEU in a number of different circuits, as can such devices
as SRAM, DRAM, logic circuit, and an analog/digital converter.
6.3 Test procedure
6.3.1 Total dose test
The total dose test is conducted to evaluate the amount of deterioration accumulated during the mission
[13] [14]
due to radiation effects. Refer to MIL-STD-883 TM1019 and ESCC 22900 for details on how to
conduct the total dose test.
6.3.2 Single event test
The single event test is conducted to evaluate the effects of energetic particles such as galactic cosmic rays
[15] [16] [17]
and trapped protons. Refer to MIL-STD-883 TM1020 /1021 and ESCC 25100 for the test method.
6.3.3 Displacement damage test
This test is conducted to evaluate the displacement damage caused by particles of protons and ions
entering the semiconductor. See Annex K for the displacement damage test method.
6.3.4 Laser pulse test for SEE test
An evaluation equivalent to that of radiation irradiation can be conducted by using a laser pulse. See
Annex L for the laser pulse test method.
Annex A
(informative)
Radiation resistance design procedure
A.1 Total dose
A.1.1 Energy spectrum of electrons & protons
The radiation environment (total dose amount) received by the satellite is calculated by the radiation
environment model, taking into account the operational conditions during orbit (e.g., launch date,
six trajectory elements, mission period).
A.1.2 Calculation of the total dose received by parts
Calculate the shield thickness of the satellite as well as the shield thickness of each device. Calculate
the total dose received by the parts used in the equipment. (The shield is generally made of different
materials, but in order to simplify the evaluation, the value converted to the equivalent shield thickness
of aluminum is used.)
A.1.3 Consideration of shield thickness
When it is difficult to secure the total dose resistance of the parts used, mounting of parts, mass of
equipment etc., consider partial shielding or increase the shield thickness of the equipment housing. In
this way, change to a shield that ensures the total dose tolerance of the parts.
Annex B describes the total dose prediction method in detail. And Annex B also gives the radiation
guidelines for total dose using contour maps. Note that the total predicted values based on Annex B tend
to be overestimated. Annex D describes a comparative example between model prediction including
measured values. Annex E describes the radiation deterioration of electronic components. The design
flow for total dose is shown in Figure A.1.
A.2 Single event upset, single event latch-up
A.2.1 Proton energy spectrum
The radiation environment (heavy ions and proton fluence) received by the satellite is calculated by
using the radiation environment model, taking into consideration the operational conditions in orbit
(e.g., launch date, six trajectory elements, mission period).
However, heavy ions need not be considered for the evaluation of parts other than those used in
important equipment.
A.2.2 Calculation of SEE
Confirm the radiation tolerance data for the selected parts (or conduct an irradiation test if there is no
data). Calculate SEE incidence in orbit from the data, heavy ions, and proton spectrum. Perform critical
analysis of the equipment.
A.2.3 Measures for SEU and SEL
If SEU and SEL resistance is not acceptable in the system, reselect the parts or take countermeasures.
8 © ISO 2020 – All rights reserved
Consider countermeasures to avoid failure by SEU at the component level, circuit level, or equipment
level. The design flow for a single event is shown in Figure A.2.
Annex F gives an overview of the single event effect.
Annex G describes the measures for single events of electronic components.
Annex H describes the measures for single events of devices.
A.3 Displacement damage
A.3.1 Fluence of protons
In consideration of the operational conditions in orbit (e.g., launch date, six trajectory elements, mission
period), use the radiation environment model to calculate the radiation environment (proton fluence)
received by the satellite.
A.3.2 Calculation of displacement damage
Confirm the radiation tolerance data for the selected parts (or conduct a proton irradiation test when
there is no data), calculate displacement damage in orbit from the data together with the proton
spectrum, and then predict possible degradation.
A.3.3 Measures for displacement damage
If the value of degradation in the system is not acceptable, reselect the parts or take countermeasures
for the equipment. The deterioration prediction method by displacement damage to devices in orbit is
shown in Figure A.3.
Annex I describes the prediction method of displacement damage.
Annex J describes the resistance to displacement damage of each device.
a
Include the reliability level for solar flares.
Figure A.1 — Design flow for total dose
10 © ISO 2020 – All rights reserved
Figure A.2 — Design flow for single events
Figure A.3 — Deterioration prediction method by displacement damage to devices in orbit
12 © ISO 2020 – All rights reserved
Annex B
(informative)
Total dose prediction method
B.1 Overview
The types of radiation to be considered for predicting the total dose are trapped electrons, trapped
protons, and solar protons. When these types of radiation penetrate materials, the radiation loses energy
due to its interaction with, and absorption by the materials. In the case of electrons, bremsstrahlung
will be generated due to their interaction with the materials. And since bremsstrahlung has a longer
range than electrons, it can become dominant when a thicker shield is used.
Figure B.1 shows the total dose calculated for parallel incidence radiation. Accordingly, this is
equivalent to the spherical shell model as indicated in B.3.2 when a shield of equal thickness is used for
the isotropic radiation incidence from all directions.
The radiation absorbed dose and amount of bremsstrahlung generated differs according to the types
of materials used for the shielding and target components. However, the total dose is calculated by
using aluminum as the shielding material, and thus converting the density into an equivalent aluminum
thickness for shielding materials of other aluminum components is sufficient. The total dose calculation
results are generally provided by the relationship between the shield thickness (depth) and the
absorbed dose (i.e., dose-depth curve). Figure B.2 shows an example of a dose-depth curve.
B.2 Total dose prediction model
B.2.1 General
The following two methods can be considered as the prediction models used to calculate the actual
radiation dose received by the components.
Key
ϕ (E) incidence radiation fluence (particles per square centimetre)
Z depth (g/cm )
T target components
Figure B.1 — Total dose calculation model
14 © ISO 2020 – All rights reserved
Key
T total
E electrons
P protons
S solar protons
B bremsstrahlung
X shield depth Z(g/cm )
Y dose [Gy(Al)]
Figure B.2 — Dose-depth curve (example)
B.2.2 Simplified method
The purpose of this prediction model is to acquire the relationship between the shield thickness and the
total dose (i.e., dose-depth curve) assuming that the material and configuration of complex shielding is
a simple shape, such as a spherical shell or a plate. Moreover, its purpose is also to acquire the total dose
directly, calculated by using the shield thickness and surface density.
B.2.3 Three-dimensional model
The purpose of this prediction model is to acquire the distribution of the shielding thickness in each
direction as viewed from the target (i.e., calculation point of the total dose), and acquire the total dose
using this calculated value.
B.3 Simplified method
B.3.1 General
When calculating the dose-depth curve, three types of shielding material configurations (i.e., spherical
shell model, semi-infinite plate model, finite plate model) will be used, in connection with use of the
[12]
shielding effect calculation code for space (SHIELDOSE-II) . Figure B.3 shows the three simple
geometries considered by SHIELDOSE-II.
B.3.2 Spherical shell model
This model assumes that the model is covered with a shielding material of equal thickness for
the isotropic radiation incidence. This model is the most basic model for performing the shielding
calculation, and is acquired by the calculation method indicated in B.2.2. However, as the actual
shielding configuration is close to a plate in many cases, the radiation dose calculated using this model
may result in a larger value.
This model is used for the shielding calculations for shielding configurations similar to a spherical shell
or semi-spherical shell, with basic data for the semi-infinite plate model and three-dimensional model
indicated in the following diagram.
B.3.3 Semi-infinite plate model
This model assumes that the model is covered with a shielding material of an infinite width with a
uniform thickness, having an infinite plane surface shielding material and a shielding material of
infinite thickness in the opposite direction.
B.3.4 Finite plate model
This model assumes that the model is covered with a shielding material of a finite thickness, having
a semi-infinite plane surface shielding material and a shielding material of a finite thickness in the
opposite direction (i.e., radiation incidence from one surface of the plate).
In the actually mounted devices, there are many cases where one direction of the shielding has a
sufficiently large thickness compared to the other directions as viewed from the component’s position.
There are also many cases where the configuration of the shielding material is a plate or similar to a
plate. Therefore, the semi-infinite plate model is effective when calculating the radiation absorbed dose
using a simplified method.
16 © ISO 2020 – All rights reserved
(1) Spherical shell model
(2) Semi-infinite plate model
(3) Finite plate model
Key
A aluminum
D detector
Z depth (g/cm )
I incident protons and electrons
NOTE These figures are typically presented in order to easily understand the models, with the back diffusion
scattering taken into consideration in the actual calculation.
Figure B.3 — Model configurations
B.4 Three-dimensional model
This model is used for calculating the total dose of the components and materials more accurately.
The spherical shell model and semi-infinite plate model are simple. However, the total dose of the
components and materials used in spacecraft changes according to the conditions of the surroundings,
such as the mounting position, etc., and the actual shielding configuration is complex and may not
necessarily work in conjunction with those conditions. Therefore, in order to calculate the total dose
more accurately, it is necessary to acquire the mass distribution for each direction with the target as
the center. This model converts the mass distribution into the shield thickness of standard materials,
calculates the absorbed dose in each direction using the dose-depth curve of the spherical shell model,
and then integrates the values for all solid angles. The formulae are as follows:
π
2 2π
DD= ()t ()θϕ, cosdθϕdθ (B.1)
T ∫∫π 0
4π
−
where
D is the absorbed dose of the target;
T
D is the absorbed dose of the spherical shell model when assuming the shield thickness is x;
(x)
t(θ, φ) is the shield thickness of the (θ, φ) direction;
θ is the longitude direction;
φ is the latitude direction.
A conceptual diagram of the mass distribution in spacecrafts is indicated in Figure B.4.
Key
S satellite
T target
M mounted device
X, Y, Z axes
λ incident protons and electrons
Figure B.4 — Mass distribution in spacecrafts
18 © ISO 2020 – All rights reserved
Annex C
(informative)
Radiation guidelines for total dose using contour maps
Figures C.1 to C.6 depict the total dose contour maps with circular orbital altitude (km) and orbital
inclination (degree) in the solar maximum and minimum for a one-year mission using the AE-8/AP-8
[7][9] [12]
NASA radiation belt models and SHIELDOSE-2 dose calculation tool in solar maximum and
minimum (at 2 mm to 4 mm Al thickness).
Key
X inclination (degree)
Y altitude (km)
Z dose (Gy)
Figure C.1 — Total dose contour map at 2 mm Al thickness (Solar minimum)
Key
X inclination (degree)
Y altitude (km)
Z dose (Gy)
Figure C.2 — Total dose contour map at 3 mm Al thickness (solar minimum)
Key
X inclination (degree)
Y altitude (km)
Z dose (Gy)
Figure C.3 — Total dose contour map at 4 mm Al thickness (Solar minimum)
20 © ISO 2020 – All rights reserved
Key
X inclination (degree)
Y altitude (km)
Z dose (Gy)
Figure C.4 — Total dose contour map at 2 mm Al thickness (Solar maximum)
Key
X inclination (degree)
Y altitude (km)
Z dose (Gy)
Figure C.5 — Total dose contour map at 3 mm Al thickness (Solar maximum)
Key
X inclination (degree)
Y altitude (km)
Z dose (Gy)
Figure C.6 — Total dose contour map at 4 mm Al thickness (Solar maximum)
22 © ISO 2020 – All rights reserved
Annex D
(informative)
Comparative example between model prediction and measured
values
The overestimation of total dose calculation at 2 mm to 4 mm Al (aluminum) thickness was found using
the total dose measurement data from a “Tsukuba” (MDS-1) satellite launched in February 2002, flying
[13]
in a highly eccentric orbit, that is, a Geostationary Transfer Orbit (GTO) in 2002-2003 . The total dose
is measured by the small dosimeter using 56 RADFETs mounted in several experimental modules in
the satellites. Eight RADFETs are installed in the center of each of the four hemispherical aluminum
shield domes (DOS-S) with Al (aluminum) thicknesses of 0,7 mm, 3 mm, 6 mm, and 10 mm. The RADFET
sensor cover has Al thickness of 1 mm, and the total Al thicknesses are 1,7 mm, 4 mm, 7 mm, and 11 mm,
respectively. The results were compared with calculation data using SHIELDOSE-2 based on the space
radiation models (NASA AE8 and AP8: standard trapped radiation belt models), and solar proton JPL-
[5]
1991 model (at a confidence level of 75 %) .
The model calculation is considered to overestimate the total dose in shields of 1,7 mm-4 mm thickness
after 100 to 200 days @ GTO (roughly equivalent to the total dose after 5 to 10 years @ 700-km LEO).
This result might reflect the expanded use of COTS (although flight data for shields thicker than 7 mm
show a greater total dose than the model calculation). Figure D.1 shows the total dose data versus
aluminum shield thickness, which is a dose-depth curve, of the flight data and model calculation.
Key
X thickness (Al) (mm)
Y total dose [Gy(Si)]
D1 430 days (Observed value by MDS-1 satellite)
D2 200 days (Observed value by MDS-1 satellite)
D3 100 days (Observed value by MDS-1 satellite)
M1 430 days (SHIELDOSE-2 model calculation)
M2 200 days (SHIELDOSE-2 model calculation)
M3 100 days (SHIELDOSE-2 model calculation)
Figure D.1 — Dose-depth curve from the flight data and SHIELDOSE-2 model calculation
24 © ISO 2020 – All rights reserved
Annex E
(informative)
Radiation deterioration of electronic components
E.1 Semiconductor electronic components — Outline of radiation deterioration
When there is constant radiation, the effect of a positive charge remains in the insulating layers such
as SiO , and the occurrence of interface state density on the insulating layer and interface of the silicon
crystals are the main issues with silicon semiconductors. These issues are expressed by a decrease
in the current amplification factor and an increase in leakage current for bipolar transistors. In ICs,
the circuit characteristics indicate a remarkable fluctuation due to variations of these parameters.
Table E.1 lists the main variable parameters and tendencies of various semiconductor devices for the
total dose. The parameters with the largest effect are as follows:
a) Bipolar transistors
Deterioration in current amplification factor h is most remarkable in the low current range.
FE
Recently, ELDRS of linear bipolar components has been discovered in ground radiation tests, and
with dose rates of 50 rad/s or less, the deterioration of the gain was larger in some linear bipolar
components on which radiation tests were performed at low dose rates.
b) TTL
The output voltage (V ) and propagation delay time (t ) increase remarkably due to the decrease
OL PHL
in current amplification factor h .
FE
c) CMOS
Input levels V and V fluctuate, output driving capabilities I and I de
...








Questions, Comments and Discussion
Ask us and Technical Secretary will try to provide an answer. You can facilitate discussion about the standard in here.
Loading comments...