IEC 61784-1-3:2023
(Main)Industrial networks - Profiles - Part 1-3: Fieldbus profiles - Communication Profile Family 3
Industrial networks - Profiles - Part 1-3: Fieldbus profiles - Communication Profile Family 3
IEC 61784-1-3:2023 defines Communication Profile Family 3 (CPF 3). CPF 3 specifies a set of protocol specific communication profiles (CPs) based on the IEC 61158 series (Type 3 and Type 10) and other standards, to be used in the design of devices involved in communications in factory manufacturing and process control.
NOTE 1 All CPs are based on standards or draft standards or International Standards published by the IEC or on standards or International Standards established by other standards bodies or open standards processes.
NOTE 2 Some CPs of CPF 3 are specified in IEC 61784-2-3.
Each CP selects an appropriate consistent and compatible subset of services and protocols from the relevant set that is defined and modelled in the IEC 61158 series. For the selected subset of services and protocols, the profile also describes any possible or necessary constraints in parameter values.
Réseaux industriels - Profils - Partie 1-3: Profils de bus de terrain - Famille de profils de communication 3
L’IEC 61784-1-3:2023 définit la famille de profils de communication 3 (CPF 3). La CPF 3 définit un jeu de profils de communication (CP) spécifiques au protocole, fondé sur la série IEC 61158 (Type 3 et Type 10) et d’autres normes, à utiliser pour la conception d’appareils employés en communication dans le cadre de la production industrielle et de la commande de processus.
NOTE 1 Tous les CP sont fondés sur des normes, des projets de normes ou des Normes internationales publiées par l’IEC, ou bien sur des normes ou des Normes internationales établies par d’autres organismes de normalisation, ou encore sur des processus de normes ouvertes.
NOTE 2 Certains CP de la CPF 3 sont spécifiés dans l’IEC 61784-2-3.
Chaque CP sélectionne un sous-ensemble de services et de protocoles approprié, cohérent et compatible, à partir de l’ensemble du jeu disponible défini et modélisé dans la série IEC 61158. Le profil décrit également, pour le sous-ensemble sélectionné de services et de protocoles, toute contrainte possible ou nécessaire au niveau des valeurs des paramètres.
General Information
- Status
- Published
- Publication Date
- 21-Mar-2023
- Technical Committee
- SC 65C - Industrial networks
- Drafting Committee
- WG 9 - TC 65/SC 65C/WG 9
- Current Stage
- PPUB - Publication issued
- Start Date
- 22-Mar-2023
- Completion Date
- 31-Mar-2023
Relations
- Effective Date
- 05-Sep-2023
Overview
IEC 61784-1-3:2023 is an international standard published by the International Electrotechnical Commission (IEC) that defines Communication Profile Family 3 (CPF 3) for industrial networks. This part of IEC 61784 focuses on fieldbus profiles-specifically those based on the IEC 61158 series (Types 3 and 10)-aimed at ensuring interoperability and standardized communication protocols in factory manufacturing and process control environments.
CPF 3 provides a structured set of protocol-specific communication profiles (CPs) used in designing networked devices for industrial automation. The profiles select compatible and consistent subsets of services and protocols, describing necessary constraints and parameter values that guarantee stable and predictable device communication in industrial networks.
Key Topics
- Communication Profile Family 3 (CPF 3): Offers profiles primarily based on IEC 61158 Types 3 and 10 protocols, vital for industrial automation communication.
- Protocol Specific Profiles (CPs): These define standards for physical, data link, and application layers, enabling uniform device communication.
- Service Subsets and Constraints: The standard details how to select consistent subsets of protocol services and defines parameter constraints essential for compatibility and reliability.
- PROFIBUS & PROFINET: CPF 3 extensively covers these communication technologies, which are widely used in industrial fieldbus and Ethernet-based networks, respectively.
- Reference to IEC 61784-2-3: Some CPs within CPF 3 are detailed further in IEC 61784-2-3, ensuring broad coverage of network profile specifications.
- Comprehensive Layer Descriptions:
- Physical Layer specifications enable defining electrical and physical interfaces.
- Data-Link Layer services manage reliable data transfer and network access.
- Application Layer details support device and process-level services, including diagnostics and management.
Applications
IEC 61784-1-3:2023 is crucial for:
- Factory Automation: Implementing consistent communication profiles for devices such as sensors, actuators, and controllers to facilitate smooth integration.
- Process Control Systems: Enabling robust communication protocols in process industries to ensure timely and accurate data exchange.
- Device Development: Guiding manufacturers in designing fieldbus and network-compliant devices adhering to standardized communication profiles.
- Network Configuration and Maintenance: Helping system integrators and engineers configure networks with known and tested communication behaviors, reducing integration effort and risk.
- Protocol Interoperability: Ensuring devices from different vendors can communicate effectively by adhering to the defined subsets of IEC 61158 protocols and services.
With its detailed specification of PROFIBUS DP and PA profiles and related services, IEC 61784-1-3:2023 supports reliable industrial network deployments, improving automation performance and process efficiency.
Related Standards
- IEC 61158 series: Defines the foundation of fieldbus communication protocols, including Types 3 and 10 which CPF 3 profiles are based upon.
- IEC 61784-2-3: Specifies additional aspects of CPF 3 communication profiles and complements Part 1-3 by detailing further profile sets.
- IEC 61784 series: Covers broader industrial network profiles beyond CPF 3, including other communication profile families.
- IEC 61131 series: For programmable controller standards that integrate with fieldbus communication protocols.
- ISO/IEC 11898 (CAN bus): Another key industrial network protocol often referenced in conjunction with IEC profiles for comprehensive automation systems.
Summary
IEC 61784-1-3:2023 provides industrial automation professionals with a detailed and standardized framework for Communication Profile Family 3 within fieldbus networks. It ensures that devices and systems in manufacturing and process control communicate seamlessly using proven protocol subsets from IEC 61158. This promotes interoperability, reduces integration complexity, and supports the robust operation of modern industrial networks such as PROFIBUS and PROFINET. For engineers, system integrators, and device manufacturers, this standard is an essential reference for the design, implementation, and maintenance of industrial communication systems.
Get Certified
Connect with accredited certification bodies for this standard

BSI Group
BSI (British Standards Institution) is the business standards company that helps organizations make excellence a habit.

NYCE
Mexican standards and certification body.
Sponsored listings
Frequently Asked Questions
IEC 61784-1-3:2023 is a standard published by the International Electrotechnical Commission (IEC). Its full title is "Industrial networks - Profiles - Part 1-3: Fieldbus profiles - Communication Profile Family 3". This standard covers: IEC 61784-1-3:2023 defines Communication Profile Family 3 (CPF 3). CPF 3 specifies a set of protocol specific communication profiles (CPs) based on the IEC 61158 series (Type 3 and Type 10) and other standards, to be used in the design of devices involved in communications in factory manufacturing and process control. NOTE 1 All CPs are based on standards or draft standards or International Standards published by the IEC or on standards or International Standards established by other standards bodies or open standards processes. NOTE 2 Some CPs of CPF 3 are specified in IEC 61784-2-3. Each CP selects an appropriate consistent and compatible subset of services and protocols from the relevant set that is defined and modelled in the IEC 61158 series. For the selected subset of services and protocols, the profile also describes any possible or necessary constraints in parameter values.
IEC 61784-1-3:2023 defines Communication Profile Family 3 (CPF 3). CPF 3 specifies a set of protocol specific communication profiles (CPs) based on the IEC 61158 series (Type 3 and Type 10) and other standards, to be used in the design of devices involved in communications in factory manufacturing and process control. NOTE 1 All CPs are based on standards or draft standards or International Standards published by the IEC or on standards or International Standards established by other standards bodies or open standards processes. NOTE 2 Some CPs of CPF 3 are specified in IEC 61784-2-3. Each CP selects an appropriate consistent and compatible subset of services and protocols from the relevant set that is defined and modelled in the IEC 61158 series. For the selected subset of services and protocols, the profile also describes any possible or necessary constraints in parameter values.
IEC 61784-1-3:2023 is classified under the following ICS (International Classification for Standards) categories: 35.100.20 - Data link layer; 35.240.50 - IT applications in industry. The ICS classification helps identify the subject area and facilitates finding related standards.
IEC 61784-1-3:2023 has the following relationships with other standards: It is inter standard links to IEC 61784-1:2019. Understanding these relationships helps ensure you are using the most current and applicable version of the standard.
IEC 61784-1-3:2023 is available in PDF format for immediate download after purchase. The document can be added to your cart and obtained through the secure checkout process. Digital delivery ensures instant access to the complete standard document.
Standards Content (Sample)
IEC 61784-1-3 ®
Edition 1.0 2023-03
INTERNATIONAL
STANDARD
NORME
INTERNATIONALE
Industrial networks – Profiles –
Part 1-3: Fieldbus profiles – Communication Profile Family 3
Réseaux industriels – Profils –
Partie 1-3: Profils de bus de terrain – Famille de profils de communication 3
All rights reserved. Unless otherwise specified, no part of this publication may be reproduced or utilized in any form
or by any means, electronic or mechanical, including photocopying and microfilm, without permission in writing from
either IEC or IEC's member National Committee in the country of the requester. If you have any questions about IEC
copyright or have an enquiry about obtaining additional rights to this publication, please contact the address below or
your local IEC member National Committee for further information.
Droits de reproduction réservés. Sauf indication contraire, aucune partie de cette publication ne peut être reproduite ni
utilisée sous quelque forme que ce soit et par aucun procédé, électronique ou mécanique, y compris la photocopie et
les microfilms, sans l'accord écrit de l'IEC ou du Comité national de l'IEC du pays du demandeur. Si vous avez des
questions sur le copyright de l'IEC ou si vous désirez obtenir des droits supplémentaires sur cette publication, utilisez
les coordonnées ci-après ou contactez le Comité national de l'IEC de votre pays de résidence.
IEC Secretariat Tel.: +41 22 919 02 11
3, rue de Varembé info@iec.ch
CH-1211 Geneva 20 www.iec.ch
Switzerland
About the IEC
The International Electrotechnical Commission (IEC) is the leading global organization that prepares and publishes
International Standards for all electrical, electronic and related technologies.
About IEC publications
The technical content of IEC publications is kept under constant review by the IEC. Please make sure that you have the
latest edition, a corrigendum or an amendment might have been published.
IEC publications search - webstore.iec.ch/advsearchform IEC Products & Services Portal - products.iec.ch
The advanced search enables to find IEC publications by a Discover our powerful search engine and read freely all the
variety of criteria (reference number, text, technical publications previews. With a subscription you will always have
committee, …). It also gives information on projects, replaced access to up to date content tailored to your needs.
and withdrawn publications.
Electropedia - www.electropedia.org
IEC Just Published - webstore.iec.ch/justpublished
The world's leading online dictionary on electrotechnology,
Stay up to date on all new IEC publications. Just Published
containing more than 22 300 terminological entries in English
details all new publications released. Available online and once
and French, with equivalent terms in 19 additional languages.
a month by email.
Also known as the International Electrotechnical Vocabulary
(IEV) online.
IEC Customer Service Centre - webstore.iec.ch/csc
If you wish to give us your feedback on this publication or need
further assistance, please contact the Customer Service
Centre: sales@iec.ch.
A propos de l'IEC
La Commission Electrotechnique Internationale (IEC) est la première organisation mondiale qui élabore et publie des
Normes internationales pour tout ce qui a trait à l'électricité, à l'électronique et aux technologies apparentées.
A propos des publications IEC
Le contenu technique des publications IEC est constamment revu. Veuillez vous assurer que vous possédez l’édition la
plus récente, un corrigendum ou amendement peut avoir été publié.
Recherche de publications IEC - Découvrez notre puissant moteur de recherche et consultez
webstore.iec.ch/advsearchform gratuitement tous les aperçus des publications. Avec un
La recherche avancée permet de trouver des publications IEC abonnement, vous aurez toujours accès à un contenu à jour
en utilisant différents critères (numéro de référence, texte, adapté à vos besoins.
comité d’études, …). Elle donne aussi des informations sur les
projets et les publications remplacées ou retirées. Electropedia - www.electropedia.org
Le premier dictionnaire d'électrotechnologie en ligne au monde,
IEC Just Published - webstore.iec.ch/justpublished
avec plus de 22 300 articles terminologiques en anglais et en
Restez informé sur les nouvelles publications IEC. Just
français, ainsi que les termes équivalents dans 19 langues
Published détaille les nouvelles publications parues.
additionnelles. Egalement appelé Vocabulaire
Disponible en ligne et une fois par mois par email.
Electrotechnique International (IEV) en ligne.
Service Clients - webstore.iec.ch/csc
Si vous désirez nous donner des commentaires sur cette
publication ou si vous avez des questions contactez-nous:
sales@iec.ch.
IEC Products & Services Portal - products.iec.ch
IEC 61784-1-3 ®
Edition 1.0 2023-03
INTERNATIONAL
STANDARD
NORME
INTERNATIONALE
Industrial networks – Profiles –
Part 1-3: Fieldbus profiles – Communication Profile Family 3
Réseaux industriels – Profils –
Partie 1-3: Profils de bus de terrain – Famille de profils de communication 3
INTERNATIONAL
ELECTROTECHNICAL
COMMISSION
COMMISSION
ELECTROTECHNIQUE
INTERNATIONALE
ICS 35.100.20; 35.240.50 ISBN 978-2-8322-6587-1
– 2 – IEC 61784-1-3:2023 © IEC 2023
CONTENTS
FOREWORD . 6
INTRODUCTION . 8
1 Scope . 9
2 Normative references . 9
3 Terms, definitions, abbreviated terms, symbols, and conventions . 10
3.1 Terms and definitions . 10
3.2 Abbreviations and symbols . 10
3.2.1 Common abbreviations and symbols . 10
3.2.2 Other abbreviations and symbols . 10
3.3 Conventions . 10
4 CPF 3 (PROFIBUS & PROFINET) . 11
4.1 General overview . 11
4.2 CP 3/1 (PROFIBUS DP) . 12
4.2.1 Physical layer . 12
4.2.2 Data-link layer . 14
4.2.3 Application layer . 39
4.3 CP 3/2 (PROFIBUS PA) . 95
4.3.1 Physical layer . 95
4.3.2 Data-link layer . 99
4.3.3 Application layer . 111
Annex A (informative) CPF 3 (PROFIBUS & PROFINET) communication concepts . 112
A.1 Basic characteristics . 112
A.1.1 General . 112
A.1.2 PROFIBUS DP . 112
A.2 Physical layer profiles . 113
A.3 Communication feature list (GSD) . 113
Bibliography . 115
Figure 1 – CP 3/2 Slave devices usable in applications . 12
Table 1 – CPF 3: overview of profile sets . 11
Table 2 – CP 3/1: PhL selection . 12
Table 3 – CP 3/1: PhL selection of Clause 3 . 14
Table 4 – CP 3/1: PhL selection of Clause 4 . 14
Table 5 – CP 3/1: General DLL service selection . 15
Table 6 – CP 3/1: DLL service selection for DP-V0 master (class 1) . 16
Table 7 – CP 3/1: DLM service selection for DP-V0 master (class 1) . 17
Table 8 – CP 3/1: DLL service selection for DP-V1 master (class 1) . 18
Table 9 – CP 3/1: DLM service selection for DP-V1 master (class 1) . 19
Table 10 – CP 3/1: DLL service selection for DP-V0 master (class 2). 19
Table 11 – CP 3/1: DLL service selection for DP-V1 master (class 2). 20
Table 12 – CP 3/1: DLL service selection for DP-V0 slave . 22
Table 13 – CP 3/1: DLM service selection for DP-V0 slave . 23
Table 14 – CP 3/1: DLL service selection for DP-V1 slave . 24
Table 15 – CP 3/1: DLM service selection for DP-V1 slave . 25
Table 16 – CP 3/1: General DLL protocol selection . 26
Table 17 – CP 3/1: DLL protocol selection of Clause 5 . 26
Table 18 – CP 3/1: DLL protocol selection of Clause 6 . 27
Table 19 – CP 3/1: DLL protocol selection of Clause 7 . 27
Table 20 – CP 3/1: Time variable selection for DP-V0 master (class 1) . 28
Table 21 – CP 3/1: Timer and counter selection for DP-V0 master (class 1) . 29
Table 22 – CP 3/1: DLPDU selection for DP-V0 master (class 1) . 29
Table 23 – CP 3/1: MAC state selection for DP-V0 master (class 1) . 30
Table 24 – CP 3/1: Time selection for DP-V1 master (class 1) . 31
Table 25 – CP 3/1: Timer and counter selection for DP-V1 master (class 1) . 32
Table 26 – CP 3/1: DLPDU selection for DP-V1 master (class 1) . 32
Table 27 – CP 3/1: MAC state selection for DP-V1 master (class 1) . 33
Table 28 – CP 3/1: CS protocol selection for DP-V1 master (class 1) . 33
Table 29 – CP 3/1: Time selection for DP-V1 master (class 2) . 34
Table 30 – CP 3/1: Timer and counter selection for DP-V1 master (class 2) . 34
Table 31 – CP 3/1: DLPDU selection for DP-V1 master (class 2) . 35
Table 32 – CP 3/1: Time selection for DP-V0 slave . 35
Table 33 – CP 3/1: Timer and counter selection for DP-V0 slave . 36
Table 34 – CP 3/1: DLPDU selection for DP-V0 slave . 36
Table 35 – CP 3/1: MAC state selection for DP-V0 slave . 37
Table 36 – CP 3/1: Time selection for DP-V1 slave . 37
Table 37 – CP 3/1: Timer and counter selection for DP-V1 slave . 38
Table 38 – CP 3/1: DLPDU selection for DP-V1 slave . 38
Table 39 – CP 3/1: CS protocol selection for DP-V1 slave . 39
Table 40 – CP 3/1, 3/2: AL service selection . 39
Table 41 – CP 3/1, 3/2: AL service selection of Clause 6 . 40
Table 42 – CP 3/1, 3/2: AL service selection of I/O data ASE . 40
Table 43 – CP 3/1, 3/2: AL service selection of Diagnosis ASE . 41
Table 44 – CP 3/1, 3/2: AL service selection of Context ASE . 41
Table 45 – CP 3/1, 3/2: AL service selection of Management ASE . 42
Table 46 – CP 3/1, 3/2: AL service selection of AR ASE . 43
Table 47 – CP 3/1, 3/2: AL service selection of Clause 6 . 44
Table 48 – CP 3/1, 3/2: AL service selection of Process data ASE . 44
Table 49 – CP 3/1, 3/2: AL service selection of I/O data ASE . 45
Table 50 – CP 3/1, 3/2: AL service selection of Alarm ASE . 45
Table 51 – CP 3/1, 3/2: AL service selection of Context ASE . 45
Table 52 – CP 3/1, 3/2: AL service selection of Load region ASE . 46
Table 53 – CP 3/1, 3/2: AL service selection of Function invocation ASE . 46
Table 54 – CP 3/1, 3/2: AL service selection of Time ASE . 46
Table 55 – CP 3/1, 3/2: AL service selection of AR ASE . 47
Table 56 – CP 3/1, 3/2: AL service selection of Clause 6 . 48
Table 57 – CP 3/1, 3/2: AL service selection of I/O data ASE . 48
– 4 – IEC 61784-1-3:2023 © IEC 2023
Table 58 – CP 3/1, 3/2: AL service selection of Diagnosis ASE . 49
Table 59 – CP 3/1, 3/2: AL service selection of Context ASE . 49
Table 60 – CP 3/1, 3/2: AL service selection of Management ASE . 49
Table 61 – CP 3/1, 3/2: AL service selection of AR ASE . 50
Table 62 – CP 3/1, 3/2: AL service selection of Clause 6 . 51
Table 63 – CP 3/1, 3/2: AL service selection of Process data ASE . 51
Table 64 – CP 3/1, 3/2: AL service selection of Context ASE . 52
Table 65 – CP 3/1, 3/2: AL service selection of Load region ASE . 52
Table 66 – CP 3/1, 3/2: AL service selection of Function invocation ASE . 53
Table 67 – CP 3/1, 3/2: AL service selection of Time ASE . 53
Table 68 – CP 3/1, 3/2: AL service selection of AR ASE . 54
Table 69 – CP 3/1, 3/2: AL service selection of Clause 6 . 55
Table 70 – CP 3/1, 3/2: AL service selection of I/O data ASE . 56
Table 71 – CP 3/1, 3/2: AL service selection of Diagnosis ASE . 57
Table 72 – CP 3/1, 3/2: AL service selection of Context ASE . 58
Table 73 – CP 3/1, 3/2: AL service selection of AR ASE . 59
Table 74 – CP 3/1, 3/2: AL service selection of Clause 6 . 60
Table 75 – CP 3/1, 3/2: AL service selection of Process data ASE . 60
Table 76 – CP 3/1, 3/2: AL service selection of I/O data ASE . 61
Table 77 – CP 3/1, 3/2: AL service selection of diagnosis ASE . 61
Table 78 – CP 3/1, 3/2: AL service selection of Alarm ASE . 62
Table 79 – CP 3/1, 3/2: AL service selection of Context ASE . 62
Table 80 – CP 3/1, 3/2: AL service selection of Load region ASE . 63
Table 81 – CP 3/1, 3/2: AL service selection of Function invocation ASE . 63
Table 82 – CP 3/1, 3/2: AL service selection of Time ASE . 63
Table 83 – CP 3/1, 3/2: AL service selection of AR ASE . 64
Table 84 – CP 3/1, 3/2: AL protocol selection . 65
Table 85 – CP 3/1, 3/2: AL protocol selection of Clause 4 to 11 . 65
Table 86 – CP 3/1, 3/2: AL protocol selection of APDUs . 67
Table 87 – CP 3/1, 3/2: AL protocol selection of FSPM services primitives . 68
Table 88 – CP 3/1, 3/2: AL protocol selection of DMPM services primitives . 69
Table 89 – CP 3/1, 3/2: AL protocol selection of Clause 4 to 11 . 69
Table 90 – CP 3/1, 3/2: AL protocol selection of APDUs . 71
Table 91 – CP 3/1, 3/2: AL protocol selection of FSPM services primitives . 72
Table 92 – CP 3/1, 3/2: AL protocol selection of DMPM services primitives . 74
Table 93 – CP 3/1, 3/2: AL protocol selection of Clause 4 to 6 . 74
Table 94 – CP 3/1, 3/2: AL protocol selection of APDUs . 76
Table 95 – CP 3/1, 3/2: AL protocol selection of FSPM services primitives . 77
Table 96 – CP 3/1, 3/2: AL protocol selection of DMPM services primitives . 77
Table 97 – CP 3/1, 3/2: AL protocol selection of Clause 4 to 11 . 78
Table 98 – CP 3/1, 3/2: AL protocol selection of APDUs . 80
Table 99 – CP 3/1, 3/2: AL protocol selection of FSPM services primitives . 82
Table 100 – CP 3/1, 3/2: AL protocol selection of DMPM services primitives . 83
Table 101 – CP 3/1, 3/2: AL protocol selection of Clause 4 to 11 . 83
Table 102 – CP 3/1, 3/2: AL protocol selection of APDU selection . 85
Table 103 – CP 3/1, 3/2: AL protocol selection of FSPM services primitives. 86
Table 104 – CP 3/1, 3/2: AL protocol selection of DMPM services primitives . 87
Table 105 – CP 3/1, 3/2: AL protocol selection of Clause 4 to 11 . 87
Table 106 – CP 3/1, 3/2: AL protocol selection of APDUs . 89
Table 107 – CP 3/1, 3/2: AL protocol selection of FSPM services primitives. 91
Table 108 – CP 3/1, 3/2: AL protocol selection of DMPM services primitives . 93
Table 109 – CP 3/2: PhL selection . 95
Table 110 – CP 3/2: PhL selection of Clause 12 for devices and their MAUs . 97
Table 111 – CP 3/2: PhL selection of recommended IS parameters . 98
Table 112 – CP 3/2: PhL selection of Clause 21 for devices and their MAUs . 98
Table 113 – CP 3/2: General DLL protocol selection . 100
Table 114 – CP 3/2: DLL protocol selection of Clause 4 . 100
Table 115 – CP 3/2: DLL protocol selection of Clause 5 . 101
Table 116 – CP 3/2: DLL protocol selection of Clause 6 . 101
Table 117 – CP 3/2: DLL protocol selection of Clause 7 . 102
Table 118 – CP 3/2: Time variable selection for DP-V0 master (class 1) . 103
Table 119 – CP 3/2: Timer and counter selection for DP-V0 master (class 1) . 103
Table 120 – CP 3/2: DLPDU selection for DP-V0 master (class 1) . 104
Table 121 – CP 3/2: Time variable selection for DP-V1 master (class 1) . 105
Table 122 – CP 3/2: Timer and counter selection for DP-V1 master (class 1) . 106
Table 123 – CP 3/2: DLPDU selection for DP-V1 master (class 1) . 106
Table 124 – CP 3/2: Time variable selection for DP-V1 master (class 2) . 107
Table 125 – CP 3/2: Timer and counter selection for DP-V1 master (class 2) . 108
Table 126 – CP 3/2: DLPDU selection for DP-V1 master (class 2) . 108
Table 127 – CP 3/2: Time variable selection for DP-V0 slave . 109
Table 128 – CP 3/2: Timer and counter selection for DP-V0 slave . 109
Table 129 – CP 3/2: DLPDU selection for DP-V0 slave . 110
Table 130 – CP 3/2: Time variable selection for DP-V1 slave . 110
Table 131 – CP 3/2: Timer and counter selection for DP-V1 slave . 111
Table 132 – CP 3/2: DLPDU selection for DP-V1 slave . 111
– 6 – IEC 61784-1-3:2023 © IEC 2023
INTERNATIONAL ELECTROTECHNICAL COMMISSION
____________
INDUSTRIAL NETWORKS –
PROFILES –
Part 1-3: Fieldbus profiles –
Communication Profile Family 3
FOREWORD
1) The International Electrotechnical Commission (IEC) is a worldwide organization for standardization comprising
all national electrotechnical committees (IEC National Committees). The object of IEC is to promote international
co-operation on all questions concerning standardization in the electrical and electronic fields. To this end and
in addition to other activities, IEC publishes International Standards, Technical Specifications, Technical Reports,
Publicly Available Specifications (PAS) and Guides (hereafter referred to as "IEC Publication(s)"). Their
preparation is entrusted to technical committees; any IEC National Committee interested in the subject dealt with
may participate in this preparatory work. International, governmental and non-governmental organizations liaising
with the IEC also participate in this preparation. IEC collaborates closely with the International Organization for
Standardization (ISO) in accordance with conditions determined by agreement between the two organizations.
2) The formal decisions or agreements of IEC on technical matters express, as nearly as possible, an international
consensus of opinion on the relevant subjects since each technical committee has representation from all
interested IEC National Committees.
3) IEC Publications have the form of recommendations for international use and are accepted by IEC National
Committees in that sense. While all reasonable efforts are made to ensure that the technical content of IEC
Publications is accurate, IEC cannot be held responsible for the way in which they are used or for any
misinterpretation by any end user.
4) In order to promote international uniformity, IEC National Committees undertake to apply IEC Publications
transparently to the maximum extent possible in their national and regional publications. Any divergence between
any IEC Publication and the corresponding national or regional publication shall be clearly indicated in the latter.
5) IEC itself does not provide any attestation of conformity. Independent certification bodies provide conformity
assessment services and, in some areas, access to IEC marks of conformity. IEC is not responsible for any
services carried out by independent certification bodies.
6) All users should ensure that they have the latest edition of this publication.
7) No liability shall attach to IEC or its directors, employees, servants or agents including individual experts and
members of its technical committees and IEC National Committees for any personal injury, property damage or
other damage of any nature whatsoever, whether direct or indirect, or for costs (including legal fees) and
expenses arising out of the publication, use of, or reliance upon, this IEC Publication or any other IEC
Publications.
8) Attention is drawn to the Normative references cited in this publication. Use of the referenced publications is
indispensable for the correct application of this publication.
9) Attention is drawn to the possibility that some of the elements of this IEC Publication may be the subject of patent
rights. IEC shall not be held responsible for identifying any or all such patent rights.
Attention is drawn to the fact that the use of some of the associated protocol types is restricted
by their intellectual-property-right holders. In all cases, the commitment to limited release of
intellectual-property-rights made by the holders of those rights permits a layer protocol type to
be used with other layer protocols of the same type, or in other type combinations explicitly
authorized by their respective intellectual property right holders.
NOTE Combinations of protocol types are specified in the IEC 61784-1 series and the IEC 61784-2 series.
IEC 61784-1-3 has been prepared by subcommittee 65C: Industrial networks, of IEC technical
committee 65: Industrial-process measurement, control and automation. It is an International
Standard.
This first edition, together with the other parts of the same series, cancels and replaces the fifth
edition of IEC 61784-1 published in 2019. This first edition constitutes a technical revision.
This edition includes the following significant technical changes with respect to
IEC 61784-1:2019:
a) split of the original IEC 61784-1 into several subparts, one subpart for the material of a
generic nature, and one subpart for each Communication Profile Family specified in the
original document.
The text of this International Standard is based on the following documents:
Draft Report on voting
65C/1207/FDIS 65C/1236/RVD
Full information on the voting for its approval can be found in the report on voting indicated in
the above table.
The language used for the development of this International Standard is English.
This document was drafted in accordance with ISO/IEC Directives, Part 2, and developed in
accordance with ISO/IEC Directives, Part 1 and ISO/IEC Directives, IEC Supplement, available
at www.iec.ch/members_experts/refdocs. The main document types developed by IEC are
described in greater detail at www.iec.ch/publications.
A list of all parts of the IEC 61784-1 series, published under the general title Industrial networks
– Profiles – Part 1: Fieldbus profiles, can be found on the IEC website.
The committee has decided that the contents of this document will remain unchanged until the
stability date indicated on the IEC website under webstore.iec.ch in the data related to the
specific document. At this date, the document will be
• reconfirmed,
• withdrawn,
• replaced by a revised edition, or
• amended.
– 8 – IEC 61784-1-3:2023 © IEC 2023
INTRODUCTION
The IEC 61784-1 series provides a set of Communication Profiles (CP) in the sense of
ISO/IEC TR 10000-1. These answer the need of identifying the protocol families co-existing
within the IEC 61158 series, as a result of the international harmonization of fieldbus
technologies available on the market. More specifically, these profiles help to correctly state
the compliance with the IEC 61158 series, and to avoid the spreading of divergent
implementations, which would limit its use, clearness and understanding. Additional profiles to
address specific market concerns, such as functional safety or information security, can be
addressed by future parts of the IEC 61784-1 series.
The IEC 61784-1 series contains several Communication Profile Families (CPF), which specify
one or more communication profiles. Such profiles identify, in a strict sense, protocol subsets
of the IEC 61158 series via protocol specific communication profiles. They do not define device
profiles that specify communication profiles together with application functions needed to
answer the need of a specific application ("application profiles").
It is agreed that these latter classes of profiles would facilitate the use of the IEC 61158 series
of standards; the profiles defined in the IEC 61784-1 series are a necessary step to achieve
that task.
It is also important to clarify that interoperability – defined as the ability of two or more network
systems to exchange information and to make mutual use of the information that has been
exchanged (see ISO/IEC TR 10000-1) – can be directly achieved on the same link only for those
devices complying with the same communication profile.
Profiles contained in the IEC 61784-1 series are constructed of references to IEC 61158-2 and
the IEC 61158-3, IEC 61158-4, IEC 61158-5 and IEC 61158-6 series, and other IS, TS or
worldwide-accepted standards, as appropriate . Each profile is required to reference at least
one part of the IEC 61158 series in addition to IEC 61158-1.
Two or more Profiles, which are related to a common family, are specified within a
"Communication Profile Family" (CPF).
___________
International Standardised Profiles may contain normative references to specifications other than International
Standards; see ISO/IEC JTC 1 N 4047: The Normative Referencing of Specifications other than International
Standards in JTC 1 International Standardized Profiles – Guidelines for ISP Submitters.
INDUSTRIAL NETWORKS –
PROFILES –
Part 1-3: Fieldbus profiles –
Communication Profile Family 3
1 Scope
This part of IEC 61784-1 defines Communication Profile Family 3 (CPF 3). CPF 3 specifies a
set of protocol specific communication profiles (CPs) based on the IEC 61158 series (Type 3
and Type 10) and other standards, to be used in the design of devices involved in
communications in factory manufacturing and process control.
NOTE 1 All CPs are based on standards or draft standards or International Standards published by the IEC or on
standards or International Standards established by other standards bodies or open standards processes.
NOTE 2 Some CPs of CPF 3 are specified in IEC 61784-2-3.
Each CP selects an appropriate consistent and compatible subset of services and protocols
from the relevant set that is defined and modelled in the IEC 61158 series. For the selected
subset of services and protocols, the profile also describes any possible or necessary
constraints in parameter values.
2 Normative references
The following documents are referred to in the text in such a way that some or all of their content
constitutes requirements of this document. For dated references, only the edition cited applies.
For undated references, the latest edition of the referenced document (including any
amendments) applies.
NOTE All parts of the IEC 61158 series, as well as the IEC 61784-1 series and the IEC 61784-2 series are
maintained simultaneously. Cross-references to these documents within the text therefore refer to the editions as
dated in this list of normative references.
IEC 60079-11, Explosive atmospheres – Part 11: Equipment protection by intrinsic safety "i"
IEC 60079-25, Explosive atmospheres – Part 25: Intrinsically safe electrical systems
IEC 61010 (all parts), Safety requirements for electrical equipment for measurement, control
and laboratory use
IEC 61131-2, Industrial-process measurement and control − Programmable controllers – Part 2:
Equipment requirements and tests
IEC 61158 (all parts), Industrial communication networks – Fieldbus specifications
IEC 61158-2:2023, Industrial communication networks – Fieldbus specifications – Part 2:
Physical layer specification and service definition
IEC 61158-3-3:2014, Industrial communication networks – Fieldbus specifications – Part 3-3:
Data-link layer service definition – Type 3 elements
IEC 61158-4-3:2019, Industrial communication networks – Fieldbus specifications – Part 4-3:
Data-link layer protocol specification – Type 3 elements
– 10 – IEC 61784-1-3:2023 © IEC 2023
IEC 61158-5-3:2014, Industrial communication networks – Fieldbus specifications – Part 5-3:
Application layer service definition – Type 3 elements
IEC 61158-6-3:2019, Industrial communication networks – Fieldbus specifications – Part 6-3:
Application layer protocol specification – Type 3 elements
IEC 61784-1-0:2023, Industrial networks – Profiles – Part 1-0: Fieldbus profiles – General
concepts and terminology
IEC 61784-2-3:2023, Industrial networks – Profiles – Part 2-3: Additional real-time fieldbus
profiles based on ISO/IEC/IEEE 8802-3 – CPF 3
ISO 15745-3:2003, Industrial automation systems and integration – Open systems application
integration framework – Part 3: Reference description for IEC 61158-based control systems
TIA-485-A:1998, Electrical Characteristics of Generators and Receivers for Use in Balanced
Digital Multipoint Systems
3 Terms, definitions, abbreviated terms, symbols, and conventions
3.1 Terms and definitions
For the purposes of this document, all terms and definitions provided in the IEC 61158 series
and IEC 61784-1-0 apply.
ISO and IEC maintain terminological databases for use in standardization at the following
addresses:
• IEC Electropedia: available at https://www.electropedia.org/
• ISO Online browsing platform: available at https://www.iso.org/obp
3.2 Abbreviations and symbols
3.2.1 Common abbreviations and symbols
For the purposes of this document, all abbreviations and symbols defined in the IEC 61158
series and IEC 61784-1-0 apply.
CP communication profile
CPF communication profile family
MAU medium attachment unit
3.2.2 Other abbreviations and symbols
CE "Conformité Européenne" (i.e., "European Conformity")
DP-V0 PROFIBUS DP version 0
DP-V1 PROFIBUS DP version 1
EMC electro-magnetic compatibility
IS intrinsically safe (as an adjective)
intrinsic safety (as a noun)
RS 485 MAU according to TIA-485-A
RS 485-IS MAU according to TIA-485-A and applicable to IS
3.3 Conventions
For the purposes of this document, the conventions defined in IEC 61784-1-0 apply.
4 CPF 3 (PROFIBUS & PROFINET )
4.1 General overview
Communication Profile Family 3 (CPF 3) defines communication profiles using Type 3 and
Type 10 of IEC 61158 series, which corresponds to parts of the communication systems
commonly known as PROFIBUS and PROFINET. CP 3/1 and CP 3/2 are specified in this
document. CP 3/4, CP3/5, and CP 3/6 are RTE specific PROFINET profiles and specified in
IEC 61784-2-3.
Table 1 gives an overview of the specified profile sets.
Table 1 – CPF 3: overview of profile sets
Layer Profile 3/1 Profile 3/2
Application IEC 61158-5-3, IEC 61158-6-3
Data-link IEC 61158-3-3, IEC 61158-3-3,
IEC 61158-4-3 IEC 61158-4-3
Asynchronous transmission Synchronous transmission
a a a a a
Physical
0 2 3 4 1
NOTE PROFIBUS uses Profile 3/1 and 3/2. PROFIBUS DP is the name of AL protocol and service part, which is
identical for CP 3/1 and CP 3/2 and uses the Type 3 DL parts.
a
These numbers are the CP identifier used within Communication Feature List (GSD) in keyword "Physical
Interface".
Coding: 0: RS 485 (TIA-485-A);optional RS 485-IS
1: Manchester coded and bus powered (MBP); optional IS (MBP-IS) and lower power (MBP-LP)
2: Plastic fiber;
3: Glass multi mode fiber or Glass single mode fiber;
4: PCF fiber.
NOTE 1 See Annex A for an overview of PROFIBUS communications concepts and definition of DP-V0, DP-V1 and
Options.
An implementation profile like temperature transmitter or master device shall select from CPF 3
these behaviors that are needed for a certain device type. The manufacturer of a device shall
describe the selection for CP 3/1 and CP 3/2 by writing a Communication Feature List (GSD)
according ISO 15745-3:2003, 6.2. The GSD is necessary to specify an implementation profile.
It is recommended to perform a conformance test, which is not normative but specified within
the consortium PROFIBUS International. Each CP 3/1 and CP 3/2 conformant device shall have
a type specific GSD, which is part of the conformance test.
The CPF3 specifies in this document two distinct profiles:
a) Profile 3/1
Profile 3/1 is a subset of IEC 61158 Type 3 services and protocols and uses the as physical
layer (PhL) four different media, see Table 1. A Communication Profile (CP) identifier
identifies these.
b) Profile 3/2
Profile 3/2 is a subset of IEC 61158 Type 3 services and protocols and uses the Manchester
coded bus powered (MBP) synchronous transmission of PhL specified in Type 3. Based on
___________
PROFIBUS and PROFINET are trademarks of PROFIBUS Nutzerorganisation e.V. (PNO). PNO is a non-profit
trade organization to support the fieldbus PROFIBUS. This information is given for the convenience of users of
this document and does not constitute an endorsement by IEC of the trademark holder or any of its products.
Compliance with this profile does not require use of the registered trademark. Use of the trademark PROFIBUS
and PROFINET requires permission of the trade name holder.
– 12 – IEC 61784-1-3:2023 © IEC 2023
different transmission technologies for PROFIBUS DP, the DLL contains different interfaces
to the PhL. That causes different communication profiles for PROFIBUS DP.
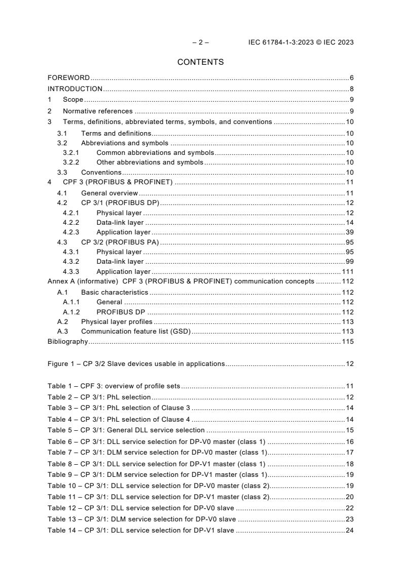
The MBP non-IS PhL is the basis for the extended specification for IS (MBP-IS) and low
power (MBP-LP) capability. MBP-LP supports IS. Slave devices with a MAU supporting
MBP-LP are also usable in systems that require MBP-IS or MBP. Slave devices with a MAU
supporting MBP-IS are also usable in a system that requires MBP. Figure 1 shows this
hierarchy.
Figure 1 – CP 3/2 Slave devices usable in applications
NOTE 2 Additional CPs are defined in IEC 61784-2-3.
NOTE 3 CP 3/3 has been withdrawn.
4.2 CP 3/1 (PROFIBUS DP)
4.2.1 Physical layer
4.2.1.1 PhL selection
Table 2 specifies the selection of IEC 61158-2 for devices of all types of this profile. 4.2.1.2
specifies additional considerations.
Table 2 – CP 3/1: PhL selection
Clause Header Presence Constraints
1 Scope YES —
2 Normative references Partial Relevant references only
3 Terms and definitions Partial See Table 3
4 Symbols and abbreviated terms Partial See Table 4
5 DLL – PhL interface — —
5.1 General YES —
5.2 – 5.3 — NO —
5.4 Type 3: Required services — —
5.4.1 Synchronous transmission NO —
5.4.2 Asynchronous transmission YES —
Next — NO —
subclauses
6 Systems management – PhL interface — —
6.1 General YES —
6.2 Type 1: Systems management – PhL interface NO —
6.3 Type 3: Systems management – PhL interface — —
6.3.1 Synchronous transmission NO —
6.3.2 Asynchronous transmission YES —
Next — NO —
subclauses
Clause Header Presence Constraints
7 DCE Independent sublayer (DIS) — —
7.1 General YES —
7.2 Type 1: DIS NO —
7.3 Type 3: DIS — —
7.3.1 Synchronous transmission NO —
7.3.2 Asynchronous transmission YES —
Next
— NO —
subclauses
8 DTE – DCE interface and MIS-specific functions — —
8.1 General YES —
8.2 Type 1: DTE – DCE interface NO —
8.3 Type 3: DTE – DCE interface — —
8.3.1 Synchronous transmission NO —
8.3.2 Asynchronous transmission YES —
Next — NO —
subclauses
9 Medium dependent sublayer (MDS) — —
9.1 General YES —
9.2 – 9.4 — NO —
9.5 Type 3: MDS: Wire and optical media — —
9.5.1 Synchronous Transmission NO —
9.5.2 Asynchronous Transmission YES —
Next — NO —
subclauses
10 MDS – MAU interface — —
10.1 General YES —
10.2 – 10.4 — NO —
10.5 Type 3: MDS – MAU interface: Wire and optical — —
media
10.5.1 Synchronous Transmission NO —
10.5.2 Asynchronous Transmission YES —
Next — NO —
subclauses
11 – 21 — NO —
22 Type 3: Medium Attachment Unit: Asynchronous — —
Transmission, wire medium
22.1 Medium Attachment Unit for non intrinsic Safety YES For RS 485
22.2 Medium Attachment Unit for intrinsic Safety YES For RS 485-IS
23 Type 3: Medium Attachment Unit: Asynchronous YES For Plastic, Glass and PCF
Transmission, optical medium fiber
Next clauses — NO —
Annex A – H — NO —
Annex I (normative) Type 3: Connector specification — —
I.1 Connector for synchronous transmission NO —
I.2 Connector for asynchronous transmission YES For RS 485
I.3 Connector for fiber optic cable YES For Plastic, Glass and PCF
fiber
– 14 – IEC 61784-1-3:2023 © IEC 2023
Clause Header Presence Constraints
Annex J (normative) Type 3: Redundancy of PhL and medium YES Redundancy is optional
Annex K (normative) Type 3: Optical network topology YES For Plastic, Glass and PCF
fiber
Annex L Reference design examples for asynchronous YES For RS 485-IS
transmission, wire medium, intrinsically safe
Next annexes — NO —
Table 3 – CP 3/1: PhL selection of Clause 3
Clause Header Presence Constraints
3.1 Common terms and definitions Par
...




Questions, Comments and Discussion
Ask us and Technical Secretary will try to provide an answer. You can facilitate discussion about the standard in here.
Loading comments...